Estimation of Dietary Exposure to Sodium Benzoate (E211) and Potassium Sorbate (E202) of Children and Adolescents in the Oran Region, Algeria
Abstract
1. Introduction
2. Materials and Methods
2.1. Dosage of Potassium Sorbate and Sodium Benzoate
2.1.1. Selection of the Studied Food Products
2.1.2. HPLC Analyses
2.2. Food Survey
2.2.1. Target Population and Sampling
2.2.2. Anthropometric Measurements
2.2.3. Living Standards and Socio-Demographic Data
2.2.4. Food Consumption Data
2.3. Data Processing
2.3.1. Estimation of Dietary Exposure
2.3.2. Risk Assessment
2.4. Statistical Analysis
3. Results
3.1. Characteristics of the Studied Population
3.2. Concentration of Preservatives in Foods
3.3. Dietary Exposure to Preservatives
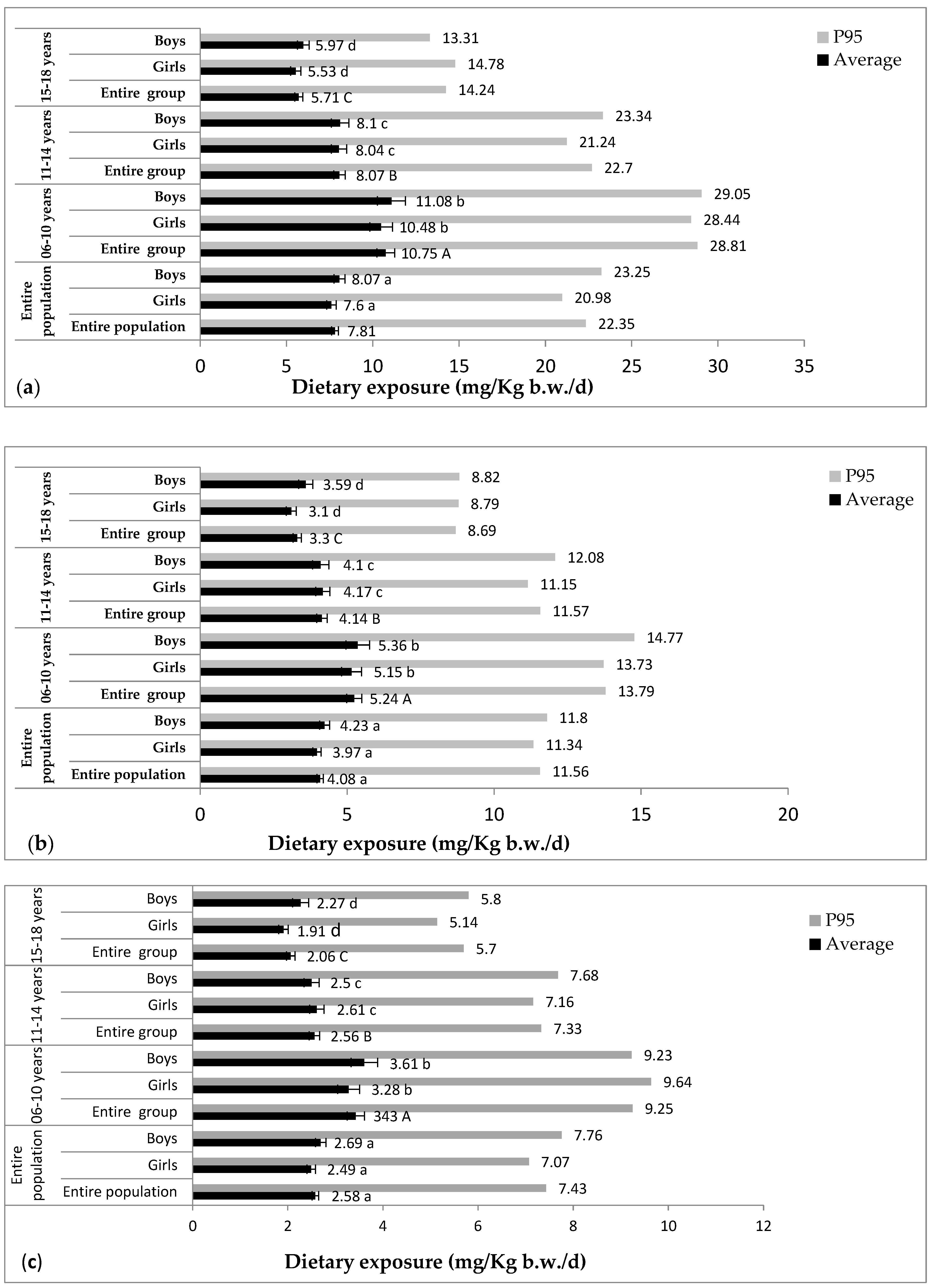
3.3.1. Sodium Benzoate
3.3.2. Potassium Sorbate
4. Discussion
4.1. Concentration of Preservatives in Foods
4.1.1. Sodium Benzoate
4.1.2. Potassium Sorbate
4.2. Dietary Exposure to Preservatives
4.2.1. Sodium Benzoate
4.2.2. Potassium Sorbate
4.3. Survey Limitations
5. Conclusions
Supplementary Materials
Author Contributions
Funding
Institutional Review Board Statement
Informed Consent Statement
Data Availability Statement
Conflicts of Interest
References
- Salwan, S.; Passi, I.; Kumar, B. Various analytical methods for estimation of potassium sorbate in food products. Curr. Anal. Chem. 2022, 18, 977–988. [Google Scholar] [CrossRef]
- Amirpour, M.; Arman, A.; Yolmeh, A.; Akbari Azam, M.; Moradi-Khatoonabadi, Z. Sodium benzoate and potassium sorbate preservatives in foodstuffs in Iran. Food Addit. Contam. Part B Surveill. 2015, 8, 142–148. [Google Scholar] [CrossRef]
- Yazdanfar, N.; Manafi, L.; Ebrahiminejad, B.; Mazaheri, Y.; Sadighara, P.; Basaran, B.; Mohamadi, S. Evaluation of sodium benzoate and potassium sorbate preservative concentrations in different sauce samples in Urmia, Iran. J. Food Prot. 2023, 86, 100118. [Google Scholar] [CrossRef]
- Piper, J.D.; Piper, P.W. Benzoate and sorbate salts: A systematic review of the potential hazards of these invaluable preservatives and the expanding spectrum of clinical uses for sodium benzoate. Compr. Rev. Food Sci. Food Saf. 2017, 16, 868–880. [Google Scholar] [CrossRef] [PubMed]
- Dehghan, P.; Mohammadi, A.; Mohammadzadeh-Aghdash, H.; Dolatabadi, J.E.N. Pharmacokinetic and toxicological aspects of potassium sorbate food additive and its constituents. Trends Food Sci. Technol. 2018, 80, 123–130. [Google Scholar] [CrossRef]
- Walczyk-Nowicka, Ł.J.; Herbet, M. Sodium benzoate—Harmfulness and potential use in therapies for disorders related to the nervous system. Nutrients 2022, 14, 1497. [Google Scholar] [CrossRef] [PubMed]
- Gray, J.P. Acceptable daily intake. In Encyclopedia of Toxicology, 4th ed.; Elsevier: Amsterdam, The Netherlands, 2024; Volume 1, pp. 15–16. [Google Scholar] [CrossRef]
- EFSA Panel on Food Additives and Flavourings (FAF); Younes, M.; Aquilina, G.; Castle, L.; Engel, K.H.; Fowler, P.; Frutos Fernandez, M.J.; Fürst, P.; Gürtler, R.; Gundert-Remy, U.; et al. Scientific Opinion on the follow-up of the re-evaluation of sorbic acid (E200) and potassium sorbate (E202) as food additives. EFSA J. 2019, 17, e05625. [Google Scholar] [CrossRef] [PubMed]
- EFSA Panel on Food Additives and Nutrient Sources (ANS). Scientific opinion on the re-evaluation of benzoic acid (E 210), sodium benzoate (E 211), potassium benzoate (E 212) and calcium benzoate (E 213) as food additives. EFSA J. 2016, 14, 4433. [Google Scholar] [CrossRef]
- WHO, World Health Organization. Dietary Exposure Assessment for Chemicals in Food (Chapter 6). 2020. Available online: https://www.who.int/docs/default-source/chemical-safety/ehc240-chapter6-edited(4-1).pdf?sfvrsn=96810319_0 (accessed on 15 January 2024).
- Martyn, D.; Lau, A.; Darch, M.; Roberts, A. Benzoates intakes from non-alcoholic beverages in Brazil, Canada, Mexico and the United States. Food Addit. Contam. Part A 2017, 34, 1485–1499. [Google Scholar] [CrossRef] [PubMed]
- [JECFA] Joint Expert Committee on Food Additives. Benzoates: Dietary exposure assessment. In Safety Evaluation of Certain Food Additives and Contaminants; Eightieth meeting of JECFA; WHO Technical Report Series, no 71); WHO: Geneva, Switzerland, 2015; pp. 3–26, 129–130. Available online: https://iris.who.int/bitstream/handle/10665/198360/9789240694897_eng.pdf?sequence=1 (accessed on 7 March 2024).
- [EFSA] European Food Safety Authority. Scientific opinion on the re-evaluation of sorbic acid (E 200), potassium sorbate (E 202) and calcium sorbate (E 203) as food additives. EFSA J. 2015, 13, 4144. [Google Scholar] [CrossRef]
- Soubra, L.; Sarkis, D.; Hilan, C.; Verger, P. Dietary exposure of children and teenagers to benzoates, sulphites, butylhydroxyanisol (BHA) and butylhydroxytoluen (BHT) in Beirut (Lebanon). Regul. Toxicol. Pharmacol. 2007, 47, 68–77. [Google Scholar] [CrossRef] [PubMed]
- Leth, T.; Christensen, T.; Larsen, I.K. Estimated intake of benzoic and sorbic acids in Denmark. Food Addit. Contam. Part A Chem. Anal. Control Expo. Risk Assess 2010, 27, 783–792. [Google Scholar] [CrossRef] [PubMed]
- Chaleshtori, F.S.; Arian, A.; Chaleshtori, R.S. Assessment of sodium benzoate and potassium sorbate preservatives in some products in Kashan, Iran with estimation of human health risk. Food Chem. Toxicol. 2018, 120, 634–638. [Google Scholar] [CrossRef] [PubMed]
- Das, S.; Uddin, M.N.; Khaled, A.S.M.; Khan, M.R.O.; Chakraborty, D.; Mostafa, M.; Islam, S.M.M.M.; Bhattacharjee, S.C.; Das, S.K.; Uddin, M. Health risk assessment of three preservatives in beverage, cake, ketchup, and therapeutic products available in Bangladesh using the new validated HPLC-PDA method. J. Food Compos. Anal. 2024, 126, 105907. [Google Scholar] [CrossRef]
- Vandevijvere, S.; Andjelkovic, M.; De Wil, M.; Vinkx, C.; Huybrechts, I.; Van Loco, J.; Van Oyen, H.; Goeyens, L. Estimate of intake of benzoic acid in the Belgian adult population. Food Addit. Contam. Part A 2009, 26, 958–968. [Google Scholar] [CrossRef] [PubMed]
- Lino, C.M.; Pena, A. Occurrence of caffeine, saccharin, benzoic acid and sorbic acid in soft drinks and nectars in Portugal and subsequent exposure assessment. Food Chem. 2010, 121, 503–508. [Google Scholar] [CrossRef]
- [FSANZ] Food Standards Australia New Zealand. A total diet study of sulphites, benzoates and sorbates. The food supply: Report of the 21st Australian Total Diet Study. 2005. Available online: https://www.foodstandards.gov.au/sites/default/files/2023-11/21st-%20ATDS.pdf (accessed on 7 March 2024).
- Bemrah, N.; Leblanc, J.C.; Volatier, J.L. Assessment of dietary exposure in the French population to 13 selected food colours, preservatives, antioxidants, stabilizers, emulsifiers and sweeteners. Food Addit Contam Part B. 2008, 1, 2–14. [Google Scholar] [CrossRef] [PubMed]
- Cressey, P.; Jones, S. Levels of preservatives (sulfite, sorbate and benzoate) in New Zealand foods and estimated dietary exposure. Food Addit. Contam. Part A Chem. Anal. Control Expo. Risk Assess. 2009, 26, 604–613. [Google Scholar] [CrossRef] [PubMed]
- Mischek, D.; Krapfenbauer-Cermak, C. Exposure assessment of food preservatives (sulphites, benzoic and sorbic acid) in Austria. Food Addit. Contam. Part A 2012, 29, 371–382. [Google Scholar] [CrossRef]
- Tfouni, S.A.; Toledo, M.C. Estimates of the mean per capita daily intake of benzoic and sorbic acids in Brazil. Food Addit. Contam. 2002, 19, 647–654. [Google Scholar] [CrossRef] [PubMed]
- Azuma, S.L.; Quartey, N.K.A.; Ofosu, I.W. Sodium benzoate in non-alcoholic carbonated (soft) drinks: Exposure and health risks. Sci. Afr. 2020, 10, e00611. [Google Scholar] [CrossRef]
- Magomya, A.M.; Yebpella, G.G.; Okpaegbe, U.C.; Oko, O.J.; Gambo, S.B. Analysis and health risk assessment of sodium benzoate and potassium sorbate in selected fruit juice and soft drink brands in Nigeria. Int. J. Pharm. Chem. 2020, 5, 54–59. [Google Scholar] [CrossRef]
- Shoeb, M.; Islam, M.M.; Reza, M.S.; Nahar, N.; Islam, M.M. HPLC analysis of artificial preservatives, stimulants and sweeteners in carbonated beverages in Bangladesh. Curr. Res. Biosci. Biotechnol. 2022, 3, 215–221. [Google Scholar] [CrossRef]
- Refat, M.R.A.; Nandi, P.; Shoeb, M.; Sultana, A. Composition of energy drink samples in Bangladesh. Dhaka Univ. J. Sci. 2022, 70, 42–48. [Google Scholar] [CrossRef]
- Akbari-Adergani, B.; Poorasad, M.; Esfandiari, Z. Sunset yellow, tartrazine and sodium benzoate in orange juice distributed in Iranian market and subsequent exposure assessment. Int. Food Res. J. 2018, 25, 975–981. [Google Scholar]
- Karatasli, M.; Çakmak, B.; Özpinar, H. Investigation of sorbic acid and benzoic acid amount of some food exposed for sale in Istanbul. Int. J. Food Eng. Res. 2016, 2, 43–58. [Google Scholar]
- Mustafa, A.; Ayub, R.; Irfan, S.; Iftikhar, B.; Inamullah, M. Determination of food preservatives (benzoic and sorbic acids) in bakery products of district Peshawar, Pakistan. J. Med. Sci. 2021, 29, 87–90. [Google Scholar] [CrossRef]
- Verger, P.; Chambolle, M.; Babayou, P.; Le Breton, S.; Volatier, J.L. Estimation of the distribution of the maximum theoretical intake for ten additives in France. Food Addit. Contam. 1998, 15, 759–766. [Google Scholar] [CrossRef] [PubMed]
- Bilau, M.; Matthys, C.; Vinkx, C.; De Henauw, S. Intake assessment for benzoates in different subgroups of the Flemish population. Food Chem. Toxicol. 2008, 46, 717–723. [Google Scholar] [CrossRef] [PubMed]
- Vin, K.; Connolly, A.; McCaffrey, T.; McKevitt, A.; O’Mahony, C.; Prieto, M.; Tennant, D.; Hearty, A.; Volatier, J.L. Estimation of the dietary intake of 13 priority additives in France, Italy, the UK and Ireland as part of the FACET project. Food Addit. Contam. Part A Chem. Anal. Control Expo. Risk Assess 2013, 30, 2050–2080. [Google Scholar] [CrossRef]
- Ma, K.M.; Chan, C.M.; Chung, S.W.C.; Ho, Y.Y.; Xiao, Y. Dietary exposure of secondary school students in Hong Kong to benzoic acid in prepackaged non-alcoholic beverages. Food Addit. Contam. Part A Chem. Anal. Control Expo. Risk Assess 2009, 26, 12–16. [Google Scholar] [CrossRef]
- [JECFA] Joint Expert Committee on Food Additives. Benzoates: Dietary Exposure Assessment. Evaluation of Certain Food Additives and Contaminants. Eightieth Report of the Joint FAO/WHO Expert Committee on Food Additives (JECFA). 2016, 16–25. (WHO Technical Report Series, no 995), pp. 13–16, 105–106. Available online: http://apps.who.int/iris/bitstream/10665/204410/1/9789240695405_eng.pdf?ua=1 (accessed on 7 March 2024).
- Ling, M.P.; Lien, K.W.; Wu, C.H.; Ni, S.P.; Huang, H.Y.; Hsieh, D.P. Dietary exposure estimates for the food preservatives benzoic acid and sorbic acid in the total diet in Taiwan. J. Agric. Food Chem. 2015, 63, 2074–2082. [Google Scholar] [CrossRef] [PubMed]
- Haftenberger, M.; Heuer, T.; Heidermann, C.; Kube, F.; Krems, C.; Mensink, G.B.M. Relative validation of a food frequency questionnaire for national health and nutrition monitoring. Nutr J. 2010, 9, 36. [Google Scholar] [CrossRef] [PubMed]
- Darch, M.; Martyn, D.; Ngo, K.; Jack, M.M. An updated estimate of benzoate intakes from non-alcoholic beverages in Canada and the United States. Food Addit. Contam. Part A 2021, 38, 701–717. [Google Scholar] [CrossRef] [PubMed]


| Food Category | Food Type | N | Sodium Benzoate | Potassium Sorbate | ||||||||
|---|---|---|---|---|---|---|---|---|---|---|---|---|
| n | Maximum Concent 1 | Maximum Concent 2 | Ave ± SE (Scenario 2) | Ave ± SE (Scenario 3) | N | Maximum Concent1 | Maximum Concent2 | Ave ± SE (Scenario 2) | Ave ± SE (Scenario 3) | |||
| 14.1. Non-alcoholic Drinks | Carbonated drinks | 16 | 16/16 | 1000 | 300 | 148.09 ± 22.92 | 148.09 ± 22.92 | - | 1000 | 300 | - | - |
| Juices | 11 | 3/11 | 1000 | 300 | 90.95 ± 5.46 | 24.80 ± 3.56 | 3/11 | 1000 | 300 | 279.62 ± 76.32 | 76.26 ± 7.25 | |
| Energy drinks | 6 | 3/6 | 600 | 300 | 54.37 ± 3.32 | 27.18 ± 5.80 | - | 500 | 300 | - | - | |
| Flower waters and aromas | 6 | 6/6 | 1000 | 300 | 112.1 ± 4.22 | 112.1 ± 4.22 | - | 300 | 300 | - | - | |
| 01.0. Dairy products and derivatives | Milky desserts | 16 | - | 300 | - | - | - | 10/16 | 1000 | - | 209.36 ± 21.34 | 130.85 ± 15.28 |
| Cheeses | 6 | - | 1000 | - | - | - | 6/6 | 3000 | 2000 | 1667.24 ± 129.43 | 1667.24 ± 129.43 | |
| 02.0. Fats, oils and fat emulsions | Margarines and butters | 6 | - | 1000 | - | - | - | 4/6 | 2000 | 2000 | 621.10 ± 61.99 | 414.06 ± 35.65 |
| 07.0. Bakery Products | Cakes and madeleines | 6 | - | 1000 | - | - | - | 6/6 | 1000 | 2000 | 994.44 ± 177.1 | 994.44 ± 177.1 |
| Bricks | 6 | - | - | - | - | - | 6/6 | - | 2000 | 577.33 ± 31.2 | 577.33 ± 31.2 | |
| 12.6. Sauces and similar products | Mayonnaise | 7 | 1/7 | 1000 | 1000 | 205.12 ± 7.43 | 205.12 ±7.43 | 7/7 | 1000 | 1000 | 966.56 ± 261.67 | 966.56 ± 261.67 |
| Catchups | 6 | - | 1000 | - | - | - | 3/6 | 1000 | - | 868.13 ± 137.64 | 434.06 ± 90.20 | |
| 05.0. Confec- tionery | Candies | 6 | - | 1500 | - | - | - | 1/6 | 1500 | - | 467.01 ± 29.21 | 77.83 ± 10.64 |
| Food | % Contribution to Average Exposure to Preservatives (Scenario 2/Scenario 3) | |
|---|---|---|
| Sodium Benzoate | Potassium Sorbate | |
| Carbonated drinks | 66.98/88.15 | 0.00/0.00 |
| Juices | 33.01/11.84 | 40.63/17.62 |
| Energy drinks | 0.00/0.00 | 0.00/0.00 |
| Flower waters and aromas | 0.00/0.00 | 0.00/0.00 |
| Milky desserts (e.g., cream desserts, fruity or flavored yogurts) | 0.00/0.00 | 14.57/14.49 |
| Cheeses | 0.00/0.00 | 27.23/51.97 |
| Margarines and butters | 0.00/0.00 | 2.57/2.72 |
| Cakes and madeleines | 0.00/0.00 | 0.00/0.00 |
| Bricks | 0.00/0.00 | 0.00/0.00 |
| Mayonnaise | 0.00/0.00 | 6.24/10.28 |
| Author | Country | Type of Food and Amount of Preservative |
|---|---|---|
| Vandevijvere et al., 2009 [18]. | Belgium | Carbonated drinks: 128.3 mg/kg. Lemonade: 128.3 mg/kg. Mayonnaise: 585.6 mg/kg. |
| Lino and Pena, 2010 [19]. | Portugal | Carbonated drinks: 148 mg/kg |
| Soubra et al., 2007 [14]. | Lebanon | Carbonated drinks: 120 mg/kg. Juices: 245 mg/kg. |
| Bemrah et al., 2008 [21]. | France | Carbonated drinks: 71.2 mg/kg. |
| Cressey and Jones, 2009 [22]. | New Zealand | Carbonated drinks: 63.1 mg/kg. |
| Mischek and Krapfenbauer-Cermak, 2012 [23]. | Austria | Carbonated drinks: 69.8 mg/kg. Juices: 210.7 mg/kg. |
| Chaleshtori et al., 2018 [16]. | Iran | Carbonated drinks: 61.75 mg/kg. Mayonnaise: 243.42 mg/kg. |
| Tfouni and Toledo, 2002 [24]. | Brazil | Carbonated drinks: 259 mg/kg. Juices: 495 mg/kg. |
| Azuma et al., 2020 [25]. | Ghana | Carbonated drinks: From 5.1 to 277 mg/L. Juices: From 25.80 to 245.10 mg/L. |
| Magomya et al., 2020 [26]. | Nigeria | Carbonated drinks: From 14.25 to 218.32 mg/L. |
| Shoeb et al., 2022 [27]. | Bangladesh | Carbonated drinks: From 96.05 to 285.51 mg/L. |
| Refat et al., 2022 [28]. | Bangladesh | Energy drinks: From 52.92 to 1575.37 mg/L. |
| Amirpour et al., 2015 [2]. | Iran | Juices: 213.2 mg/kg. |
| Akbari-Adergani et al., 2018 [29]. | Iran | Juices: From 12.23 to 56.80 mg/kg. |
| Yazdanfar et al., 2023 [3]. | Iran (Ourmia) | Mayonnaise: From 10.3 to 673 mg/kg. |
| Author | Country | Type of Food and Amount of Preservative |
|---|---|---|
| FSANZ, 2015 [20]. | Australia | Carbonated drinks: 119 mg/kg. Juices: 191 mg/kg. Melted cheese: 1506 mg/kg. Margarine: 421 mg/kg. |
| Cressey and Jones, 2009 [22]. | New Zealand | Melted cheese: 368 mg/kg. Juices: 216 mg/kg. Margarine: 414 mg/kg. |
| Leth et al., 2010 [15]. | Denmark | Melted cheese: 213 mg/kg. |
| Tfouni and Toledo, 2002 [24]. | Brazil | Melted cheese: 629 mg/kg. Margarine: 532 mg/kg. Yogurt: 183.2 mg/kg. |
| Amirpour et al., 2015 [2]. | Iran | Juices: From 113.8 to 233.3 mg/kg. Yogurt: 36.2 mg/kg. |
| Magomya et al., 2020 [26]. | Nigeria | Juices: From 1.36 to 122.50 mg/L. |
| Mischek and Krapfenbauer-Cermak, 2012 [23]. | Austria | Mayonnaise: 1008.8 mg/kg. Ketchup: 486 mg/kg. |
| Yazdanfar et al., 2023 [3]. | Iran (Ourmia) | Mayonnaise: From 0.005 to 460.3 mg/kg. |
| Karatasli et al., 2016 [30]. | Turkey | Ketchup: 227.27 mg/kg. Mayonnaise: From 0.00 to 892.46 mg/kg. |
| Chaleshtori et al., 2018 [16]. | Iran | Cakes: 127.93 mg/kg. |
| Mustafa et al., 2021 [31]. | Pakistan | Cakes: From 49 to 895 mg/kg. |
Disclaimer/Publisher’s Note: The statements, opinions and data contained in all publications are solely those of the individual author(s) and contributor(s) and not of MDPI and/or the editor(s). MDPI and/or the editor(s) disclaim responsibility for any injury to people or property resulting from any ideas, methods, instructions or products referred to in the content. |
© 2024 by the authors. Licensee MDPI, Basel, Switzerland. This article is an open access article distributed under the terms and conditions of the Creative Commons Attribution (CC BY) license (https://creativecommons.org/licenses/by/4.0/).
Share and Cite
Zouaoui, F.S.; Boukhari, R.; Heroual, N.; Djemouai, N.; Redouane, D.; Saidi, D.; Addou, S.; Kheroua, O. Estimation of Dietary Exposure to Sodium Benzoate (E211) and Potassium Sorbate (E202) of Children and Adolescents in the Oran Region, Algeria. Foods 2024, 13, 3880. https://doi.org/10.3390/foods13233880
Zouaoui FS, Boukhari R, Heroual N, Djemouai N, Redouane D, Saidi D, Addou S, Kheroua O. Estimation of Dietary Exposure to Sodium Benzoate (E211) and Potassium Sorbate (E202) of Children and Adolescents in the Oran Region, Algeria. Foods. 2024; 13(23):3880. https://doi.org/10.3390/foods13233880
Chicago/Turabian StyleZouaoui, Fatima Saida, Rachid Boukhari, Nabila Heroual, Nadjette Djemouai, Dalal Redouane, Djamel Saidi, Samia Addou, and Omar Kheroua. 2024. "Estimation of Dietary Exposure to Sodium Benzoate (E211) and Potassium Sorbate (E202) of Children and Adolescents in the Oran Region, Algeria" Foods 13, no. 23: 3880. https://doi.org/10.3390/foods13233880
APA StyleZouaoui, F. S., Boukhari, R., Heroual, N., Djemouai, N., Redouane, D., Saidi, D., Addou, S., & Kheroua, O. (2024). Estimation of Dietary Exposure to Sodium Benzoate (E211) and Potassium Sorbate (E202) of Children and Adolescents in the Oran Region, Algeria. Foods, 13(23), 3880. https://doi.org/10.3390/foods13233880

