Effects of Ginger and Garlic Powders on the Physicochemical and Microbiological Characteristics of Fruit Juices during Storage
Abstract
1. Introduction
2. Materials and Methods
2.1. Materials and Reagents
2.2. Fruit Juice Preparation
2.3. Physicochemical Analysis
2.4. Microbiological Analysis
2.5. Statistical Analysis
3. Results and Discussion
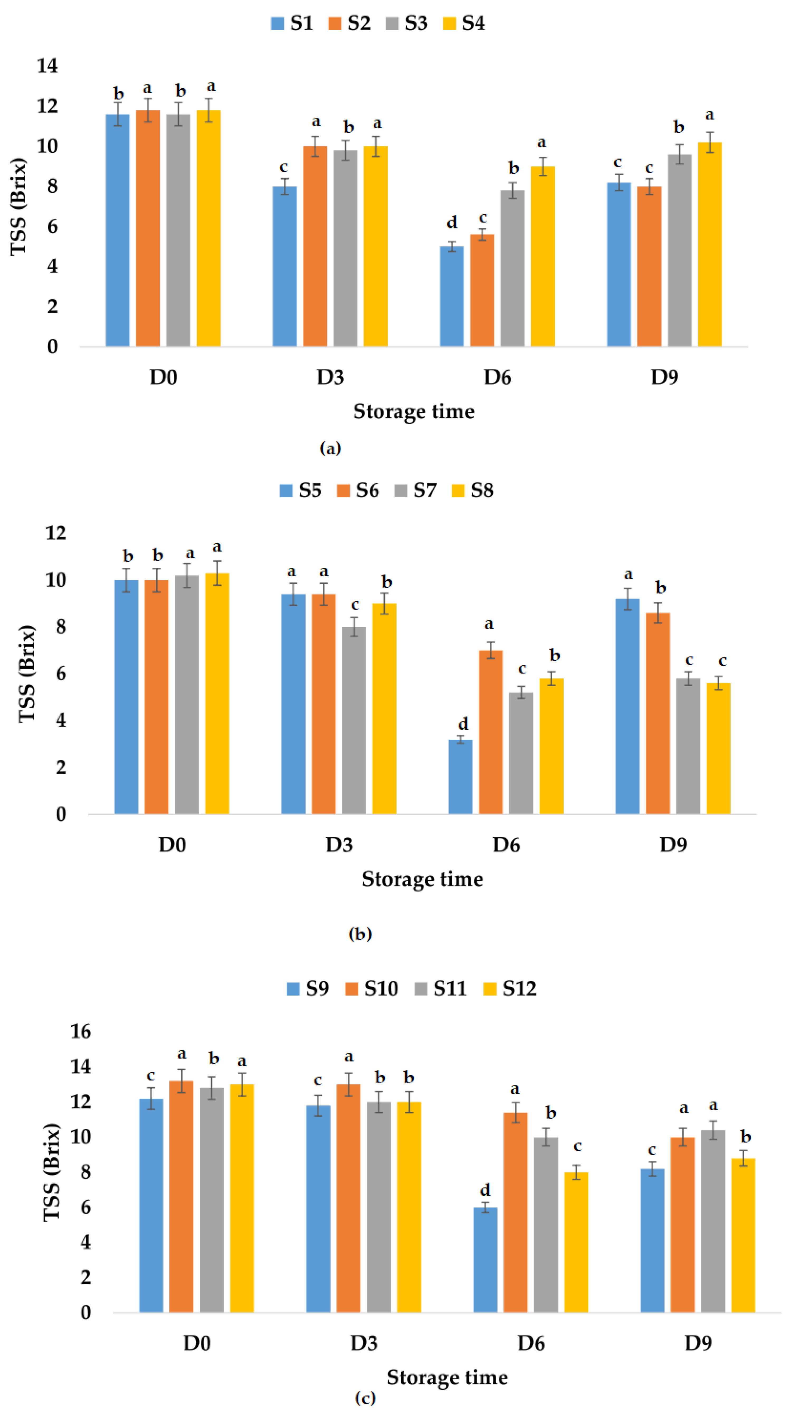
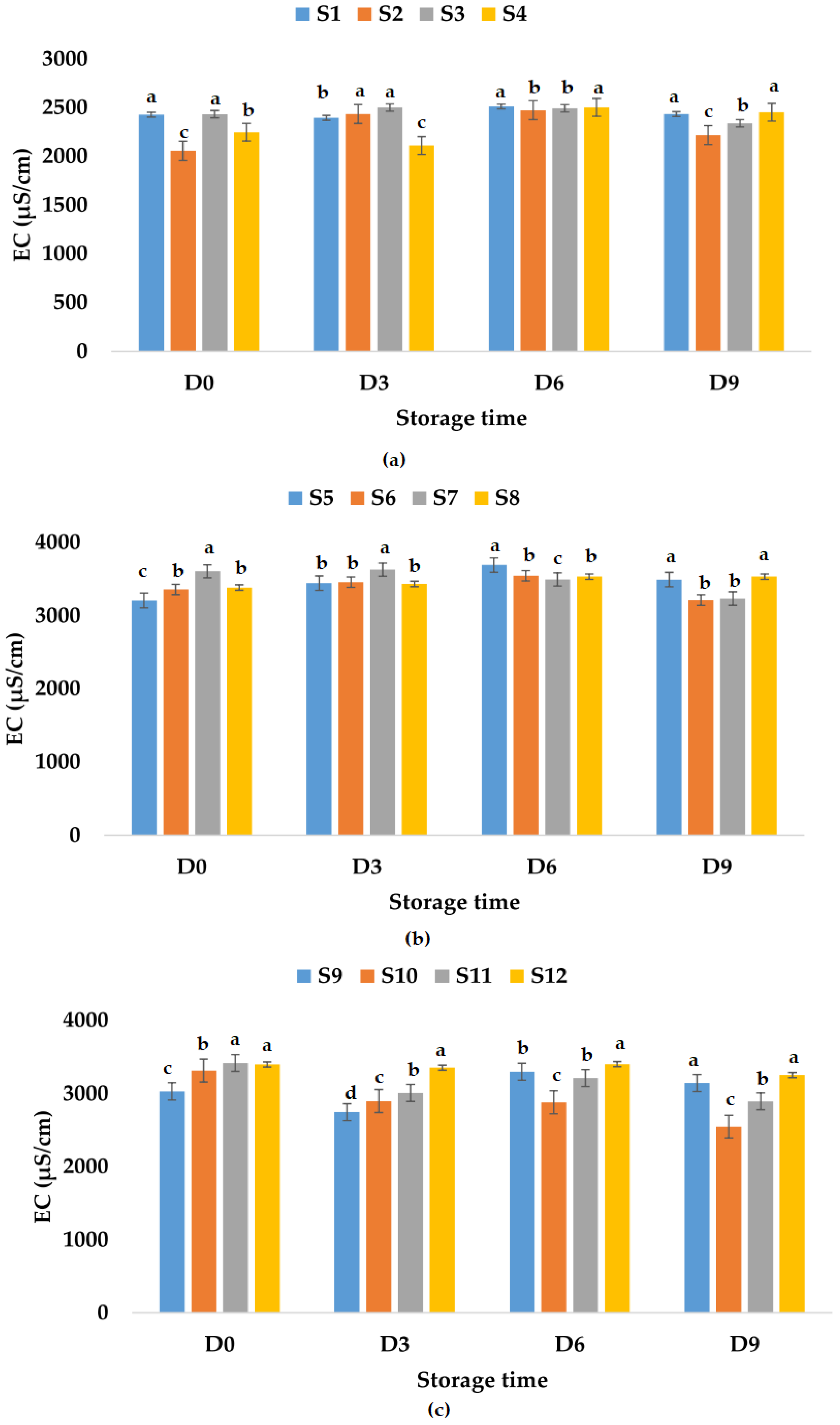
3.1. Physicochemical Analysis
3.2. Microbiological Analysis
3.3. Principal Component Analysis
4. Conclusions
Author Contributions
Funding
Data Availability Statement
Conflicts of Interest
References
- Ghinea, C.; Leahu, A. Valorisation of apple (Malus domestica) wastes. In Mediterranean Fruits Bio-Wastes: Chemistry, Functionality and Technological Applications; Ramadan, M.F., Farag, M.A., Eds.; Springer: Cham, Switzerland, 2022; pp. 325–348. [Google Scholar]
- Pem, D.; Jeewon, R. Fruit and Vegetable Intake: Benefits and Progress of Nutrition Education Interventions—Narrative Review Article. Iran. J. Public Health 2015, 44, 1309–1321. [Google Scholar]
- Leahu, A.; Ghinea, C.; Ropciuc, S.; Oroian, M.A.; Damian, C. Polyphenol-rich smoothies: Sensory and chemical characterization. Studia Univ. Vasile Goldis Arad Ser. Stiintele Vietii 2019, 29, 37–45. [Google Scholar]
- Ghinea, C.; Prisacaru, A.E.; Leahu, A. Physico-Chemical and Sensory Quality of Oven-Dried and Dehydrator-Dried Apples of the Starkrimson, Golden Delicious and Florina Cultivars. Appl. Sci. 2022, 12, 2350. [Google Scholar] [CrossRef]
- Statista. Available online: https://www.statista.com/statistics/279555/global-top-apple-producing-countries/ (accessed on 20 December 2022).
- Vlad, I.M.; Butcaru, A.C.; Fîntîneru, G.; Bădulescu, L.; Stănică, F.; Toma, E. Mapping the Preferences of Apple Consumption in Romania. Horticulturae 2023, 9, 35. [Google Scholar] [CrossRef]
- Bondonno, N.P.; Bondonno, C.P.; Ward, N.C.; Hodgson, J.M.; Croft, K.D. The cardiovascular health benefits of apples: Whole fruit vs. isolated compounds. Trends Food Sci. Technol. 2017, 69, 243–256. [Google Scholar] [CrossRef]
- Hussain, A.; Kausar, T.; Sehar, S.; Sarwar, A.; Ashraf, A.H.; Jamil, M.A.; Noreen, S.; Rafique, A.; Iftikhar, K.; Quddoos, M.Y.; et al. A Comprehensive review of functional ingredients, especially bioactive compounds present in pumpkin peel, flesh and seeds, and their health benefits. Food Chem. Adv. 2022, 1, 100067. [Google Scholar] [CrossRef]
- Hussain, A.; Kausar, T.; Sehar, S.; Sarwar, A.; Ashraf, A.H.; Jamil, M.A.; Noreen, S.; Rafique, A.; Iftikhar, K.; Aslam, J.; et al. Utilization of pumpkin, pumpkin powders, extracts, isolates, purified bioactives and pumpkin based functional food products; a key strategy to improve health in current post COVID 19 period; an updated review. Appl. Food Res. 2022, 2, 100241. [Google Scholar] [CrossRef]
- Eurostat. Crop Production in EU Standard Humidity, Gourds and Pumpkins. Available online: https://ec.europa.eu/eurostat/databrowser/view/APRO_CPSH1__custom_93472/bookmark/table?lang=en&bookmarkId=d8bbdae1-d422-488c-b5cf-f46c9c8da5a5 (accessed on 20 December 2022).
- Men, X.; Choi, S.I.; Han, X.; Kwon, H.Y.; Jang, G.W.; Choi, Y.E.; Park, S.M.; Lee, O.H. Physicochemical, nutritional and functional properties of Cucurbita moschata. Food Sci. Biotechnol. 2021, 30, 171–183. [Google Scholar] [CrossRef] [PubMed]
- Suo, G.; Zhou, C.; Su, W.; Hu, X. Effects of ultrasonic treatment on color, carotenoid content, enzyme activity, rheological properties, and microstructure of pumpkin juice during storage. Ultrason. Sonochem. 2022, 84, 105974. [Google Scholar] [CrossRef]
- Kulczyński, B.; Sidor, A.; Gramza-Michałowska, A. Antioxidant potential of phytochemicals in pumpkin varieties belonging to Cucurbita moschata and Cucurbita pepo species. CyTA-J. Food 2020, 18, 472–484. [Google Scholar] [CrossRef]
- Valero-Mendoza, A.G.; Meléndez-Rentería, N.P.; Chávez-González, M.L.; Flores-Gallegos, A.C.; Wong-Paz, J.E.; Govea-Salas, M.; Zugasti-Cruz, A.; Ascacio-Valdés, J.A. The whole pomegranate (Punica granatum. L.), biological properties and important findings: A review. Food Chem. Adv. 2023, 2, 100153. [Google Scholar] [CrossRef]
- Iran, World’s 3rd Biggest Producer of Pomegranate, Iran Chamber of Commerce, Industry, Mines and Agricultures (ICCIMA). Available online: https://en.otaghiranonline.ir/news/33345 (accessed on 20 December 2022).
- Opara, I.K.; Fawole, O.A.; Opara, U.L. Postharvest Losses of Pomegranate Fruit at the Packhouse and Implications for Sustainability Indicators. Sustainability 2021, 13, 5187. [Google Scholar] [CrossRef]
- Dhumal, S.S.; Pawar, R.D.; Patil, S.S. Post-Harvest Management and Value Addition in Pomegranate. In Pomegranate; Lagouri, V., Ed.; IntechOpen: London, UK, 2022; ISBN 978-1-83968-464-7. [Google Scholar]
- Fernandes, L.; Pereira, J.A.; Lopéz-Cortés, I.; Salazar, D.M.; González-Álvarez, J.; Ramalhosa, E. Physicochemical composition and antioxidant activity of several pomegranate (Punica granatum L.) cultivars grown in Spain. Eur. Food Res. Technol. 2017, 243, 1799–1814. [Google Scholar] [CrossRef]
- Esposto, S.; Veneziani, G.; Taticchi, A.; Urbani, S.; Selvaggini, R.; Sordini, B.; Daidone, L.; Gironi, G.; Servili, M. Chemical Composition, Antioxidant Activity, and Sensory Characterization of Commercial Pomegranate Juices. Antioxidants 2021, 10, 1381. [Google Scholar] [CrossRef]
- Leneveu-Jenvrin, C.; Aboudia, A.; Assemat, S.; Remize, F. A three-step approach to assess efficacy of alternative chemical treatments to preserve fresh fruit juices: Application to pineapple (Ananas comosus ‘Queen Victoria’). LWT 2022, 155, 112959. [Google Scholar] [CrossRef]
- Pinto, T.; Vilela, A.; Cosme, F. Chemical and Sensory Characteristics of Fruit Juice and Fruit Fermented Beverages and Their Consumer Acceptance. Beverages 2022, 8, 33. [Google Scholar] [CrossRef]
- Di Gregorio, L.; Tchuenchieu, A.; Poscente, V.; Arioli, S.; Del Fiore, A.; Costanzo, M.; Giorgi, D.; Lucretti, S.; Bevivino, A. Synergistic Action of Mild Heat and Essential Oil Treatments on Culturability and Viability of E. coli ATCC 25922 Tested In Vitro and in Fruit Juice. Foods 2022, 11, 1615. [Google Scholar] [CrossRef]
- Vignali, G.; Gozzi, M.; Pelacci, M.; Stefanini, R. Non-conventional Stabilization for Fruit and Vegetable Juices: Overview, Technological Constraints, and Energy Cost Comparison. Food Bioprocess. Technol. 2022, 15, 1729–1747. [Google Scholar] [CrossRef]
- Aghajanzadeh, S.; Ziaiifar, A.M.; Verkerk, R. Effect of thermal and non-thermal treatments on the color of citrus juice: A review. Food Rev. Int. 2022, 1–23. [Google Scholar] [CrossRef]
- El-Sayed, S.M.; Youssef, A.M. Potential application of herbs and spices and their effects in functional dairy products. Heliyon 2019, 5, e01989. [Google Scholar] [CrossRef] [PubMed]
- Bag, B.B.; Panigrahi, C.; Gupta, S.; Mishra, H.N. Efficacy of plant-based natural preservatives in extending shelf life of sugarcane juice: Formulation optimization by MOGA and correlation study by principal component analysis. Appl. Food Res. 2022, 2, 100164. [Google Scholar] [CrossRef]
- dos Santos, P.C.M.; da Silva, L.M.R.; Magalhaes, F.E.A.; Cunha, F.E.T.; Ferreira, M.J.G.; de Figueiredo, E.A.T. Garlic (Allium sativum L.) peel extracts: From industrial by-product to food additive. Appl. Food Res. 2022, 2, 100186. [Google Scholar] [CrossRef]
- Shang, A.; Cao, S.-Y.; Xu, X.-Y.; Gan, R.-Y.; Tang, G.-Y.; Corke, H.; Mavumengwana, V.; Li, H.-B. Bioactive Compounds and Biological Functions of Garlic (Allium sativum L.). Foods 2019, 8, 246. [Google Scholar] [CrossRef] [PubMed]
- Tavares, L.; Santos, L.; Noreña, C.P.Z. Bioactive compounds of garlic: A comprehensive review of encapsulation technologies, characterization of the encapsulated garlic compounds and their industrial applicability. Trends Food Sci. Technol. 2021, 114, 232–244. [Google Scholar] [CrossRef]
- Melguizo-Rodríguez, L.; García-Recio, E.; Ruiz, C.; De Luna-Bertos, E.; Illescas-Montes, R.; Costela-Ruiz, V.J. Biological properties and therapeutic applications of garlic and its components. Food Funct. 2022, 13, 2415–2426. [Google Scholar] [CrossRef]
- Lidiková, J.; Čeryová, N.; Tóth, T.; Musilová, J.; Vollmannová, A.; Mammadova, K.; Ivanišová, E. Garlic (Allium sativum L.): Characterization of Bioactive Compounds and Related Health Benefits. In Herbs and Spices—New Advances; Ivanišová, E., Ed.; IntechOpen: London, UK, 2022; ISBN 978-1-83969-609-1. [Google Scholar]
- Shafiur Rahman, M.; Ibrahim Al-Sheibani, H.; Hamad Al-Riziqi, M.; Mothershaw, A.; Guizani, N.; Bengtsson, G. Assessment of the anti-microbial activity of dried garlic powders produced by different methods of drying. Int. J. Food Prop. 2006, 9, 503–513. [Google Scholar] [CrossRef]
- Bazaraliyeva, A.; Moldashov, D.; Turgumbayeva, A.; Kartbayeva, E.; Kalykova, A.; Sarsenova, L.; Issayeva, R. Chemical and biological properties of bio-active compounds from garlic (Allium sativum). Pharmacia 2022, 69, 955–964. [Google Scholar] [CrossRef]
- Mancini, S.; Mattioli, S.; Nuvoloni, R.; Pedonese, F.; Dal Bosco, A.; Paci, G. Effects of Garlic Powder and Salt on Meat Quality and Microbial Loads of Rabbit Burgers. Foods 2020, 9, 1022. [Google Scholar] [CrossRef]
- Sallam, K.I.; Ishioroshi, M.; Samejima, K. Antioxidant and antimicrobial effects of garlic in chicken sausage. LWT- Food Sci. Technol. 2004, 37, 849–855. [Google Scholar] [CrossRef]
- Najjaa, H.; Chekki, R.; Elfalleh, W.; Tlili, H.; Jaballah, S.; Bouzouita, N. Freeze-dried, oven-dried, and microencapsulation of essential oil from Allium sativum as potential preservative agents of minced meat. Food Sci. Nutr. 2020, 8, 1995–2003. [Google Scholar] [CrossRef]
- Kim, J.H.; Jang, H.J.; Lee, C.H. Effect of aged garlic powder on physicochemical characteristics, texture profiles, and oxidative stability of ready-to-eat pork patties. Asian-Australas J. Anim. Sci. 2019, 32, 1027–1035. [Google Scholar] [CrossRef] [PubMed]
- Gundogdu, E.; Songul, C.; Elif, D. The effect of garlic (Allium sativum L.) on some quality properties and shelf-life of set and stirred yoghurt. Turk. J. Vet. Anim. Sci. 2009, 33, 27–35. [Google Scholar]
- Belewu, M.A.; Belewu, K.; Nkwunonwo, C.C. Effect of biological and chemical preservatives on the shelf life of West African soft cheese. Afr. J. Biotechnol. 2005, 4, 10. [Google Scholar]
- Okokon, E.J.; Okokon, E.O. Proximate analysis and sensory evaluation of freshly produced apple fruit juice stored at different temperatures and treated with natural and artificial preservatives. Global J. Pure Appl. Sci. 2019, 25, 31–37. [Google Scholar] [CrossRef]
- Ali, B.H.; Blunden, G.; Tanira, M.O.; Nemmar, A. Some phytochemical, pharmacological and toxicological properties of ginger (Zingiber officinale Roscoe): A review of recent research. Food Chem. Toxicol. 2008, 46, 409–420. [Google Scholar] [CrossRef]
- An, K.; Zhao, D.; Wang, Z.; Wu, J.; Xu, Y.; Xiao, G. Comparison of different drying methods on Chinese ginger (Zingiber officinale Roscoe): Changes in volatiles, chemical profile, antioxidant properties, and microstructure. Food Chem. 2016, 197, 1292–1300. [Google Scholar] [CrossRef]
- Mao, Q.-Q.; Xu, X.-Y.; Cao, S.-Y.; Gan, R.-Y.; Corke, H.; Beta, T.; Li, H.-B. Bioactive Compounds and Bioactivities of Ginger (Zingiber officinale Roscoe). Foods 2019, 8, 185. [Google Scholar] [CrossRef] [PubMed]
- Santos-Sánchez, N.F.; Salas-Coronado, R.; Valadez-Blanco, R.; Hernández-Carlos, B.; Guadarrama-Mendoza, P.C. Natural antioxidant extracts as food preservatives. Acta Sci. Pol. Technol. Aliment. 2017, 16, 361–370. [Google Scholar] [CrossRef]
- Rahmani, A.H.; Shabrmi, F.M.; Aly, S.M. Active ingredients of ginger as potential candidates in the prevention and treatment of diseases via modulation of biological activities. Int. J. Physiol. Pathophysiol. Pharmacol. 2014, 12, 125–136. [Google Scholar]
- Javaid, A.; Jalalah, M.; Safdar, R.; Khaliq, Z.; Qadir, M.B.; Zulfiqar, S.; Ahmad, A.; Satti, A.N.; Ali, A.; Faisal, M.; et al. Ginger Loaded Polyethylene Oxide Electrospun Nanomembrane: Rheological and Antimicrobial Attributes. Membranes 2022, 12, 1148. [Google Scholar] [CrossRef]
- Bhardwaj, R.L.; Nandal, U. Effect of storage temperature on physico-chemical and sensory evaluation of kinnow mandarin juice blends. J. Food Process. Technol. 2014, 5, 1. [Google Scholar]
- Chandra, D.; Bharti, M.K.; Yadav, A. Development and quality analysis of watermelon juice blends with bitter gourd: Ginger juice during storage. IJCS 2017, 5, 1420–1424. [Google Scholar]
- Shin, S.D.; Lee, M.S.; Lee, J.H. Quality characteristics of grain syrups containing ginger (Zingiber officinale). Food Sci. Technol. 2022, 42, 1–5. [Google Scholar] [CrossRef]
- Regu, M.; Yilma, Z.; Seifu, E. Effect of garlic (Allium sativum) and ginger (Zingiber officinale) powder on chemical composition and sensory property of Ayib-Ethiopian cottage cheese. Int. Food Res. J. 2016, 23, 1226. [Google Scholar]
- Olaniran, A.F.; Okolie, C.; Abu, H.E.; Afolabi, R.O.; Owolabi, A. Preservative effect of garlic-ginger, sodium benzoate and ascorbic acid in unpasteurized cashew apple juice. Asian J. Sci. Res. 2019, 12, 414–420. [Google Scholar] [CrossRef]
- Ekanem, J.O.; Ekanem, O.O. The effect of natural and artificial preservatives and storage temperature on the pH and microbial load of freshly produced apple (Malus domestica) juice. Agro-Science 2019, 18, 16–21. [Google Scholar] [CrossRef]
- Olaniran, A.; Abu, H.; Afolabi, R.; Okolie, C.; Owolabi, A.; Akpor, O. Comparative assessment of storage stability of ginger-garlic and chemical preservation on fruit juice blends. Slovak J. Food Sci. 2020, 14, 88–94. [Google Scholar] [CrossRef]
- Ghinea, C.; Prisacaru, A.E.; Leahu, A. Physico-chemical and sensory quality of pasteurized apple juices extracted by blender and cold pressing juicer. Ovidius Univ. Ann. Chem. 2022, 33, 84–93. [Google Scholar]
- SR EN 12147/1999; Fruit and Vegetable Juices. Determination of Titratable Acidity. CEN: Brussels, Belgium, 1999.
- Zhou, C.L.; Mi, L.; Hu, X.Y.; Zhu, B.H. Evaluation of three pumpkin species: Correlation with physicochemical, antioxidant properties and classification using SPME-GC-MS and E-nose methods. J. Food Sci. Technol. 2017, 54, 3118–3131. [Google Scholar] [PubMed]
- Nafees, M.; Jafar Jaskani, M.; Ahmad, I.; Maryam; Ashraf, I.; Maqsood, A.; Ahmar, S.; Azam, M.; Hussain, S.; Hanif, A.; et al. Biochemical Analysis of Organic Acids and Soluble Sugars in Wild and Cultivated Pomegranate Germplasm Based in Pakistan. Plants 2020, 9, 493. [Google Scholar] [CrossRef]
- Hasnaoui, N.; Jbir, R.; Mars, M.; Trifi, M.; Kamal-Eldin, A.; Melgarejo, P.; Hernandez, F. Organic acids, sugars, and anthocyanins contents in juices of Tunisian pomegranate fruits. Int. J. Food Prop. 2011, 14, 741–757. [Google Scholar] [CrossRef]
- Sadler, G.D.; Murphy, P. pH and Titratable Acidity. In Food Analysis, 4th ed.; Nielsen, S.S., Ed.; Springer: New York, NY, USA, 2010; pp. 219–238. [Google Scholar]
- Prisacaru, A.E.; Ghinea, C.; Apostol, L.C.; Ropciuc, S.; Ursachi, F. Physicochemical Characteristics of Vinegar from Banana Peels and Commercial Vinegars before and after in Vitro Digestion. Processes 2021, 9, 1193. [Google Scholar] [CrossRef]
- ISO 4833-2/2014; Microbiology of the Food Chain—Horizontal Method for the Enumeration of Microorganisms—Part 2: Colony Count at 30 °C by the Surface Plating Technique. ISO: Geneva, Switzerland, 2014.
- Kaddumukasa, P.; Imathiu, S.; Mathara, J.; Nakavuma, J. Influence of physicochemical parameters on storage stability: Microbiological quality of fresh unpasteurized fruit juices. Food Sci. Nutr. 2017, 5, 1098–1105. [Google Scholar] [CrossRef] [PubMed]
- ISO 11290-1/2017; Microbiology of the Food Chain—Horizontal Method for the Detection and Enumeration of Listeria monocytogenes and of Listeria spp.—Part 1: Detection Method. ISO: Geneva, Switzerland, 2017.
- Gasanov, U.; Hughes, D.; Hansbro, P. Methods for the isolation and identification of Listeria spp. and Listeria monocytogenes: A review. FEMS Microbiol. Rev. 2005, 29, 851–875. [Google Scholar] [CrossRef] [PubMed]
- ISO 21528-2/2017; Microbiology of the Food Chain—Horizontal Method for the Detection and Enumeration of Enterobacteriaceae—Part 2: Colony-Count Technique. ISO: Geneva, Switzerland, 2017.
- ISO 4832/2006; Microbiology of Food and Animal Feeding Stuffs—Horizontal Method for the Enumeration of Coliforms—Colony-Count Technique. ISO: Geneva, Switzerland, 2006.
- Mengistu, D.A.; Mulugeta, Y.; Mekbib, D.; Baraki, N.; Gobena, T. Bacteriological Quality of Locally Prepared Fresh Fruit Juice Sold in Juice Houses of Eastern Ethiopia. Environ. Health Insights 2022, 16, 11786302211072949. [Google Scholar] [CrossRef]
- Leneveu-Jenvrin, C.; Quentin, B.; Messaaf, F.-E.; Hoarau, M.; Lebrun, M.; Remize, F. Selection of Microbial Targets for Treatments to Preserve Fresh Carrot Juice. Beverages 2022, 8, 17. [Google Scholar] [CrossRef]
- Sandulachi, E. Water Activity Concept and Its Role in Food Preservation; Technical University of Moldova: Chișinău, Moldova, 2012; pp. 40–48. [Google Scholar]
- Maltini, E.; Torreggiani, D.; Venir, E.; Bertolo, G. Water activity and the preservation of plant foods. Food Chem. 2003, 82, 79–86. [Google Scholar] [CrossRef]
- Giryn, H.; Szteke, B.; Szymczyk, K. Influence of technological process and storage on the content of organic acids in apple juice concentrate. Zywnosc Nauka Technologia Jakosc/Food Sci. Technol. Qual. 2004, 2, 92–107. [Google Scholar]
- Nadulski, R.; Kobus, Z.; Wilczyński, K.; Zawiślak, K.; Grochowicz, J.; Guz, T. Application of freezing and thawing in apple (Malus domestica) juice extraction. J. Food Sci. 2016, 81, E2718–E2725. [Google Scholar] [CrossRef]
- Falguera, V.; Pagán, J.; Ibarz, A. Effect of UV irradiation on enzymatic activities and physicochemical properties of apple juices from different varieties. LWT-Food Sci. Technol. 2011, 44, 115–119. [Google Scholar] [CrossRef]
- Jolicoeur, C. Acidity and pH of Apple Juice. Available online: http://cjoliprsf.ca/Documents/Acidity-pH.pdf (accessed on 20 December 2022).
- Gil, K.A.; Wojdyło, A.; Nowicka, P.; Montoro, P.; Tuberoso, C.I.G. Effect of Apple Juice Enrichment with Selected Plant Materials: Focus on Bioactive Compounds and Antioxidant Activity. Foods 2023, 12, 105. [Google Scholar] [CrossRef] [PubMed]
- Rydzak, L.; Kobus, Z.; Nadulski, R.; Wilczyński, K.; Pecyna, A.; Santoro, F.; Sagan, A.; Starek-Wójcicka, A.; Krzywicka, M. Analysis of Selected Physicochemical Properties of Commercial Apple Juices. Processes 2020, 8, 1457. [Google Scholar] [CrossRef]
- Kiskó, G.; Roller, S. Carvacrol and p-cymene inactivate E. coli O157: H7 in apple juice. BMC Microbiol. 2005, 5, 36. [Google Scholar] [CrossRef]
- Wang, Y.; Fan, L.; Huang, J.; Liang, J.; Wang, X.; Ren, Y.; Li, H.; Yue, T.; Gao, Z. Evaluation of chemical composition, antioxidant activity, and gut microbiota associated with pumpkin juice fermented by Rhodobacter sphaeroides. Food Chem. 2023, 401, 134122. [Google Scholar] [CrossRef]
- Allam, A.G.; El-Wahab, A.; Abdalla Kolkila, A.E. Physico-Chemical Characteristics of Some Fruit Juice Blends and Their Organoleptic Evaluations. J. Food Dairy Sci. 2009, 34, 3173–3187. [Google Scholar] [CrossRef]
- Tarantino, A.; Difonzo, G.; Disciglio, G.; Frabboni, L.; Paradiso, V.M.; Gambacorta, G.; Caponio, F. Fresh pomegranate juices from cultivars and local ecotypes grown in southeastern Italy: Comparison of physicochemical properties, antioxidant activity and bioactive compounds. J. Sci. Food Agric. 2022, 102, 1185–1192. [Google Scholar] [CrossRef]
- Saad, S.E. Evaluation of Physico-Chemical Properties of Some Mixture Juices. Zagazig J. Agric. Res. 2017, 44, 617–634. [Google Scholar] [CrossRef]
- Sattar, S.; Imran, M.; Mushtaq, Z.; Ahmad, M.H.; Arshad, M.S.; Holmes, M.; Maycock, J.; Nisar, M.F.; Khan, M.K. Retention and stability of bioactive compounds in functional peach beverage using pasteurization, microwave and ultrasound technologies. Food Sci. Biotechnol. 2020, 29, 1381–1388. [Google Scholar] [CrossRef]
- Hossain, M.; Shishir, M.R.I.; Saifullah, K.U.S.; Safeuzzaman, R.M. Production and investigation of biochemical and organoleptic changes of mixed fruit juice during storage period. Int. J. Food Sci. Nutri. Diet. 2016, 5, 271–277. [Google Scholar]
- Cortés, C.; Esteve, M.J.; Frígola, A. Color of orange juice treated by high intensity pulsed electric fields during refrigerated storage and comparison with pasteurized juice. Food Control 2008, 19, 151–158. [Google Scholar] [CrossRef]
- Emelike, N.J.; Obinna-Echem, P.C. Effect of pasteurization and storage temperatures on the physicochemical properties and microbiological quality of cashew apple juice. Am. J. Food Sci. Technol. 2020, 8, 63–69. [Google Scholar]
- Park, S.Y.; Kang, T.M.; Kim, M.J.; Kim, M.J. Enzymatic browning reaction of apple juices prepared using a blender and a low-speed masticating household juicer. Biosci. Biotechnol. Biochem. 2018, 82, 2000–2006. [Google Scholar] [CrossRef]
- Jambrak, A.R.; Mason, T.J.; Paniwnyk, L. Ultrasonic effect on pH, electric conductivity and tissue surface of button mushrooms, Brussels sprouts and cauliflower. Czech J. Food Sci. 2007, 25, 90–99. [Google Scholar] [CrossRef]
- Jha, S.N.; Narsaiah, K.; Basediya, A.L.; Sharma, R.; Jaiswal, P.; Kumar, R.; Bhardwaj, R. Measurement techniques and application of electrical properties for nondestructive quality evaluation of foods—A review. J. Food Sci. Technol. 2011, 48, 387–411. [Google Scholar] [CrossRef] [PubMed]
- Banti, M. Review on electrical conductivity in food, the case in fruits and vegetables. World J. Food Sci. Technol. 2020, 4, 80–89. [Google Scholar] [CrossRef]
- Palaniappan, S.; Sastry, S.K. Electrical conductivity of selected juices: Influences of temperature, solids content, applied voltage, and particle size. J. Food Process Eng. 1991, 14, 247–260. [Google Scholar] [CrossRef]
- Topalović, A.; Knežević, M.; Gačnik, S.; Mikulic-Petkovsek, M. Detailed chemical composition of juice from autochthonous pomegranate genotypes (Punica granatum L.) grown in different locations in Montenegro. Food Chem. 2020, 330, 127261. [Google Scholar] [CrossRef]
- Lyu, J.; Liu, X.; Bi, J.; Wu, X.; Zhou, L.; Ruan, W.; Zhou, M.; Jiao, Y. Kinetic modelling of non-enzymatic browning and changes of physio-chemical parameters of peach juice during storage. J. Food Sci. Technol. 2018, 55, 1003–1009. [Google Scholar] [CrossRef]
- Damian, C.; Leahu, A.; Oroian, M.; Ropciuc, S. Analytical characterization of some pasteurized apple juices during storage. Ovidius Univ. Ann. Chem. 2015, 26, 7–11. [Google Scholar] [CrossRef]
- Tobolková, B.; Polovka, M.; Daško, Ľ.; Belajová, E.; Durec, J. Evaluation of qualitative changes of apple-beetroot juice during long-term storage at different temperatures. J. Food Meas. Charact. 2020, 14, 3381–3388. [Google Scholar] [CrossRef]
- Hunterlab, Measuring Color Using Hunter L, a, b Versus CIE 1976 L*a*b*. Available online: https://www.hunterlab.com/media/documents/duplicate-of-an-1005-hunterlab-vs-cie-lab.pdf (accessed on 20 December 2022).
- Gonçalves, E.M.; Pinheiro, J.; Abreu, M.; Brandão, T.R.; Silva, C.L. Modelling the kinetics of peroxidase inactivation, colour and texture changes of pumpkin (Cucurbita maxima L.) during blanching. J. Food Eng. 2007, 81, 693–701. [Google Scholar] [CrossRef]
- Weerawardana, M.B.S.; Thiripuranathar, G.; Paranagama, P.A. Natural Antibrowning Agents against Polyphenol Oxidase Activity in Annona muricata and Musa acuminata. J. Chem. 2020, 2020, 1904798. [Google Scholar] [CrossRef]
- Ferrari, G.; Maresca, P.; Ciccarone, R. The application of high hydrostatic pressure for the stabilization of functional foods: Pomegranate juice. J. Food Eng. 2010, 100, 245–253. [Google Scholar] [CrossRef]
- Vegara, S.; Martí, N.; Mena, P.; Saura, D.; Valero, M. Effect of pasteurization process and storage on color and shelf-life of pomegranate juices. LWT-Food Sci. Technol. 2013, 54, 592–596. [Google Scholar] [CrossRef]
- Micó-Vicent, B.; Ramos, M.; Viqueira, V.; Luzi, F.; Dominici, F.; Terenzi, A.; Maron, E.; Hamzaoui, M.; Kohnen, S.; Torre, L.; et al. Anthocyanin Hybrid Nanopigments from Pomegranate Waste: Colour, Thermomechanical Stability and Environmental Impact of Polyester-Based Bionanocomposites. Polymers 2021, 13, 1966. [Google Scholar] [CrossRef] [PubMed]
- Bhat, M.A.; Bhat, A. Study on physico-chemical characteristics of pumpkin blended cake. J. Food Process. Technol. 2013, 4, 4–9. [Google Scholar]
- de Carvalho, L.M.J.; Ortiz, G.M.D.; de Carvalho, J.L.V.; Smirdele, L.; Cardoso, F.D.S.N. Carotenoids in yellow sweet potatoes, pumpkins and yellow sweet cassava. In Carotenoids; Cvetkovic, D.J., Nikolic, G.S., Eds.; IntechOpen: London, UK, 2017; ISBN 978-953-51-3211-0. [Google Scholar]
- Ninčević Grassino, A.; Rimac Brnčić, S.; Badanjak Sabolović, M.; Šic Žlabur, J.; Marović, R.; Brnčić, M. Carotenoid Content and Profiles of Pumpkin Products and By-Products. Molecules 2023, 28, 858. [Google Scholar] [CrossRef]
- Oziyci, H.R.; Karhan, M.; Tetik, N.; Turhan, I. Effects of processing method and storage temperature on clear pomegranate juice turbidity and color. J. Food Process. Preserv. 2013, 37, 899–906. [Google Scholar] [CrossRef]
- Mena, P.; Martí, N.; Saura, D.; Valero, M.; García-Viguera, C. Combinatory effect of thermal treatment and blending on the quality of pomegranate juices. Food Bioprocess Technol. 2013, 6, 3186–3199. [Google Scholar] [CrossRef]
- Xu, J.; Zhou, L.; Miao, J.; Yu, W.; Zou, L.; Zhou, W.; Liu, C.; Liu, W. Effect of cinnamon essential oil nanoemulsion combined with ascorbic acid on enzymatic browning of cloudy apple juice. Food Bioprocess Technol. 2020, 13, 860–870. [Google Scholar] [CrossRef]
- Klimczak, I.; Gliszczyńska-Świgło, A. Green tea extract as an anti-browning agent for cloudy apple juice. J. Sci. Food Agric. 2017, 97, 1420–1426. [Google Scholar] [CrossRef] [PubMed]
- European Commission. Commission regulation (EC) No 2073/2005 of 15 November 2005 on microbiological criteria for foodstuffs. J. Eur. Union 2005, 50, 1–26. [Google Scholar]
- Starek, A.; Kobus, Z.; Sagan, A.; Chudzik, B.; Pawłat, J.; Kwiatkowski, M.; Terebun, P.; Andrejko, D. Influence of ultrasound on selected microorganisms, chemical and structural changes in fresh tomato juice. Sci. Rep. 2021, 11, 3488. [Google Scholar] [CrossRef]
- Arı, B.; Budak, N.H.; Seydim, A.C.; Güzel-Seydim, Z. Effects of Ozonation on Apple Juice Quality. Int. J. Fruit Sci. 2020, 20 (Suppl. S3), S1570–S1578. [Google Scholar] [CrossRef]
- Dziadek, K.; Kopeć, A.; Dróżdż, T.; Kiełbasa, P.; Ostafin, M.; Bulski, K.; Oziembłowski, M. Effect of pulsed electric field treatment on shelf life and nutritional value of apple juice. J. Food Sci. Technol. 2019, 56, 1184–1191. [Google Scholar] [CrossRef]
- Mosca, A.C.; Menghi, L.; Aprea, E.; Mazzucotelli, M.; Benedito, J.; Zambon, A.; Spilimbergo, S.; Gasperi, F. Effect of CO2 Preservation Treatments on the Sensory Quality of Pomegranate Juice. Molecules 2020, 25, 5598. [Google Scholar] [CrossRef]
- Varela-Santos, E.; Ochoa-Martinez, A.; Tabilo-Munizaga, G.; Reyes, J.E.; Pérez-Won, M.; Briones-Labarca, V.; Morales-Castro, J. Effect of high hydrostatic pressure (HHP) processing on physicochemical properties, bioactive compounds and shelf-life of pomegranate juice. Innov. Food Sci. Emerg. Technol. 2012, 13, 13–22. [Google Scholar] [CrossRef]
- Aneja, K.R.; Dhiman, R.; Aggarwal, N.K.; Aneja, A. Emerging preservation techniques for controlling spoilage and pathogenic microorganisms in fruit juices. Int. J. Microbiol. 2014, 2014, 758942. [Google Scholar] [CrossRef]
- Yildiz, S.; Pokhrel, P.R.; Unluturk, S.; Barbosa-Cánovas, G.V. Changes in quality characteristics of strawberry juice after equivalent high pressure, ultrasound, and pulsed electric fields processes. Food Eng. Rev. 2021, 13, 601–612. [Google Scholar] [CrossRef]
- Björklund, M. Be careful with your principal components. Evolution 2019, 73, 2151–2158. [Google Scholar] [CrossRef]













| Samples | Fruits | Preservatives (g/100 mL) |
|---|---|---|
| S1 | Apple (100%) | - |
| S2 | Apple (100%) | 0.5 g garlic powder |
| S3 | Apple (100%) | 0.5 g ginger powder |
| S4 | Apple (100%) | 0.25 g garlic powder + 0.25 g ginger powder |
| S5 | Apple (67%) and pumpkin (33%) | - |
| S6 | Apple (67%) and pumpkin (33%) | 0.5 g garlic powder |
| S7 | Apple (67%) and pumpkin (33%) | 0.5 g ginger powder |
| S8 | Apple (67%) and pumpkin (33%) | 0.25 g garlic powder + 0.25 g ginger powder |
| S9 | Apple (67%) and pomegranate (33%) | - |
| S10 | Apple (67%) and pomegranate (33%) | 0.5 g garlic powder |
| S11 | Apple (67%) and pomegranate (33%) | 0.5 g ginger powder |
| S12 | Apple (67%) and pomegranate (33%) | 0.25 g garlic powder + 0.25 g ginger powder |
| Samples | D0 | D3 | D6 | D9 | % Decrease |
|---|---|---|---|---|---|
| Stored under ambient conditions | |||||
| S1 | 3.88 ± 0.02 f | 3.46 ± 0.04 e | 3.44 ± 0.02 d | 3.40 ± 0.03 e | 12.37 |
| S2 | 3.89 ± 0.01 e | 3.48 ± 0.02 d | 3.44 ± 0.01 d | 3.43 ± 0.03 d | 11.80 |
| S3 | 3.87 ± 0.03 g | 3.38 ± 0.02 g | 3.33 ± 0.03 g | 3.32 ± 0.02 g | 14.24 |
| S4 | 3.88 ± 0.01 f | 3.48 ± 0.03 d | 3.33 ± 0.02 g | 3.30 ± 0.01 i | 14.97 |
| S5 | 4.36 ± 0.03 d | 4.01 ± 0.02 a | 3.61 ± 0.03 c | 3.60 ± 0.02 b | 17.44 |
| S6 | 4.47 ± 0.01 a | 3.91 ± 0.03 c | 3.66 ± 0.03 b | 3.54 ± 0.03 c | 20.76 |
| S7 | 4.46 ± 0.02 b | 3.98 ± 0.04 b | 3.68 ± 0.02 a | 3.28 ± 0.01 j | 26.47 |
| S8 | 4.45 ± 0.03 c | 3.98 ± 0.03 b | 3.61 ± 0.02 c | 3.61 ± 0.03 a | 18.87 |
| S9 | 3.79 ± 0.04 j | 3.44 ± 0.03 f | 3.35 ± 0.03 f | 3.35 ± 0.01 f | 11.66 |
| S10 | 3.84 ± 0.02 i | 3.26 ± 0.01 i | 3.24 ± 0.03 i | 3.21 ± 0.01 k | 16.42 |
| S11 | 3.84 ± 0.03 i | 3.37 ± 0.02 h | 3.31 ± 0.01 h | 3.30 ± 0.03 i | 14.04 |
| S12 | 3.86 ± 0.01 h | 3.46 ± 0.03 e | 3.38 ± 0.01 e | 3.31 ± 0.03 h | 14.22 |
| Stored at refrigeration temperature | |||||
| S1 | 3.88 ± 0.02 f | 3.27 ± 0.01 i | 3.26 ± 0.01 g | 3.25 ± 0.03 g | 16.23 |
| S2 | 3.89 ± 0.01 e | 3.28 ± 0.03 h | 3.28 ± 0.03 e | 3.26 ± 0.04 f | 16.15 |
| S3 | 3.87 ± 0.03 g | 3.30 ± 0.02 f | 3.30 ± 0.03 d | 3.27 ± 0.01 e | 15.54 |
| S4 | 3.88 ± 0.01 f | 3.29 ± 0.01 g | 3.28 ± 0.01 e | 3.26 ± 0.01 f | 15.99 |
| S5 | 4.36 ± 0.03 d | 3.80 ± 0.01 d | 3.80 ± 0.01 c | 3.80 ± 0.03 c | 12.89 |
| S6 | 4.47 ± 0.01 a | 3.89 ± 0.02 b | 3.86 ± 0.02 b | 3.85 ± 0.01 b | 13.88 |
| S7 | 4.46 ± 0.02 b | 3.92 ± 0.01 a | 3.91 ± 0.02 a | 3.90 ± 0.02 a | 12.58 |
| S8 | 4.45 ± 0.03 c | 3.87 ± 0.02 c | 3.86 ± 0.02 b | 3.85 ± 0.01 b | 13.51 |
| S9 | 3.79 ± 0.04 j | 3.23 ± 0.03 j | 3.22 ± 0.01 h | 3.22 ± 0.01 h | 15.07 |
| S10 | 3.84 ± 0.02 i | 3.28 ± 0.01 h | 3.27 ± 0.05 f | 3.27 ± 0.01 e | 14.85 |
| S11 | 3.84 ± 0.03 i | 3.47 ± 0.01 e | 3.3 0 ± 0.01 d | 3.28 ± 0.02 d | 14.58 |
| S12 | 3.86 ± 0.01 h | 3.29 ± 0.01 g | 3.28 ± 0.02 e | 3.26 ± 0.02 f | 15.51 |
| Type of Fruit Juice | Room Temperature | Refrigeration Temperature |
|---|---|---|
| Apple juice | S4 > S3 > S1 > S2 | S1 > S2 > S4 > S3 |
| Apple and pumpkin juice | S7 > S6 > S8 > S5 | S6 > S8 > S5 > S7 |
| Apple and pomegranate juice | S10 > S12 > S11 > S9 | S12 > S9 > S10 > S11 |
| Sample | L* | a* | b* | BI | |
|---|---|---|---|---|---|
| Apple (100%) juice samples | S1 | 21.42 ± 0.40 c | −0.14 ± 0.02 i | 4.55 ± 0.11 e | 22.81 ± 0.23 ef |
| S2 | 20.86 ± 0.24 c | −0.34 ± 0.01 j | 4.06 ± 0.51 e | 19.90 ± 2.73 efgh | |
| S3 | 20.49 ± 0.05 c | −0.14 ± 0.03 i | 3.54 ± 0.03 f | 18.01 ± 0.24 gh | |
| S4 | 20.55 ± 0.19 c | 0.17 ± 0.05 h | 3.57 ± 0.01 f | 19.26 ± 0.05 fgh | |
| Apple (67%) and pumpkin (33%) juice samples | S5 | 25.02 ± 0.48 b | 0.30 ± 0.02 g | 11.94 ± 0.02 a | 63.30 ± 1.42 a |
| S6 | 24.54 ± 0.97 b | 1.05 ± 0.02 e | 8.90 ± 0.02 c | 47.20 ± 2.11 b | |
| S7 | 29.57 ± 0.20 a | 0.13 ± 0.04 h | 10.19 ± 0.75 b | 41.46 ± 3.47 c | |
| S8 | 23.47 ± 0.95 b | 0.73 ± 0.03 f | 6.94 ± 0.17 d | 36.60 ± 0.65 d | |
| Apple (67%) and pomegranate (33%) juice samples | S9 | 16.47 ± 0.97 e | 3.78 ± 0.02 b | 1.24 ± 0.13 g | 23.84 ± 0.45 e |
| S10 | 18.41 ± 0.02 d | 3.22 ± 0.03 d | 0.75 ± 0.08 g | 16.39 ± 0.55 h | |
| S11 | 17.95 ± 0.46 de | 3.40 ± 0.11 c | 1.37 ± 0.02 g | 21.20 ± 0.00 efg | |
| S12 | 18.03 ± 0.38 de | 4.18 ± 0.05 a | 1.14 ± 0.23 g | 22.65 ± 1.10 ef |
| Sample | L* | a* | b* | BI | |
|---|---|---|---|---|---|
| Stored under ambient conditions | |||||
| Apple (100%) juice samples (3rd day) | S1 | 19.87 ± 0.05 c | −0.07 ± 0.01 f | 4.41 ± 0.04 d | 24.23 ± 0.22 d |
| S2 | 20.18 ± 0.82 bc | −0.15 ± 0.03 f | 3.32 ± 0.03 e | 17.01 ± 0.47 efg | |
| S3 | 20.81 ± 0.01 b | −0.11 ± 0.02 f | 4.09 ± 0.32 d | 20.98 ± 1.93 de | |
| S4 | 22.77 ± 0.04 a | −0.14 ± 0.01 f | 2.90 ± 0.40 e | 12.85 ± 1.97 g | |
| Apple (67%) and pumpkin (33%) juice samples (3rd day) | S5 | 22.67 ± 0.20 a | 0.95 ± 0.05 d | 7.42 ± 0.05 c | 41.86 ± 0.04 c |
| S6 | 22.76 ± 0.05 a | 0.59 ± 0.20 e | 9.53 ± 0.40 b | 54.56 ± 3.39 b | |
| S7 | 23.03 ± 0.52 a | 1.17 ± 0.03 cd | 10.42 ± 0.20 a | 62.12 ± 0.25 a | |
| S8 | 23.54 ± 0.02 a | 0.72 ± 0.40 d | 10.66 ± 0.02 a | 60.57 ± 1.44 a | |
| Apple (67%) and pomegranate (33%) juice samples (3rd day) | S9 | 17.70 ± 0.30 e | 1.85 ± 0.22 bc | 1.81 ± 0.01 f | 18.12 ± 0.63 ef |
| S10 | 17.65 ± 0.05 e | 2.17 ± 0.06 b | 1.92 ± 0.05 f | 20.16 ± 0.50 de | |
| S11 | 18.74 ± 0.02 d | 3.00 ± 0.20 a | 1.81 ± 0.03 f | 21.41 ± 0.90 de | |
| S12 | 19.71 ± 0.30 c | 2.23 ± 0.70 b | 1.44 ± 0.01 f | 15.51 ± 2.32 fg | |
| Apple (100%) juice samples (6th day) | S1 | 21.14 ± 0.90 g | −0.10 ± 0.02 i | 5.16 ± 0.20 de | 26.95 ± 0.03 d |
| S2 | 24.26 ± 0.03 cd | −0.17 ± 0.03 i | 5.65 ± 0.30 d | 25.35 ± 1.63 d | |
| S3 | 22.91 ± 0.10 def | 0.65 ± 0.05 h | 5.23 ± 0.20 de | 27.46 ± 1.14 d | |
| S4 | 23.65 ± 0.60 cde | 1.09 ± 0.01 g | 4.85 ± 0.84 def | 25.88 ± 3.69 d | |
| Apple (67%) and pumpkin (33%) juice samples (6th day) | S5 | 22.12 ± 0.12 fg | 2.02 ± 0.11 e | 8.57 ± 0.92 c | 54.77 ± 6.52 c |
| S6 | 36.15 ± 0.02 a | 2.54 ± 0.02 c | 17.90 ± 0.4 a | 71.16 ± 1.99 b | |
| S7 | 22.38 ± 0.03 efg | 1.87 ± 0.05 f | 12.83 ± 0.50 b | 87.21 ± 4.55 a | |
| S8 | 26.59 ± 0.50 b | 2.33 ± 0.02 d | 11.58 ± 0.40 b | 62.15 ± 1.07 c | |
| Apple (67%) and pomegranate (33%) juice samples (6th day) | S9 | 18.63 ± 0.50 h | 2.24 ± 0.03 d | 3.21 ± 0.03 g | 27.36 ± 0.48 d |
| S10 | 24.35 ± 0.01 c | 2.56 ± 0.04 c | 3.81 ± 0.04 fg | 24.37 ± 0.30 d | |
| S11 | 22.41 ± 0.52 efg | 3.26 ± 0.03 a | 2.96 ± 0.02 g | 24.41 ± 0.40 d | |
| S12 | 23.54 ± 0.80 cde | 3.10 ± 0.02 b | 3.98 ± 0.01 efg | 27.81 ± 0.90 d | |
| Apple (100%) Juice samples (9th day) | S1 | 25.73 ± 0.30 de | 0.06 ± 0.01 i | 3.96 ± 0.40 gh | 16.49 ± 1.62 i |
| S2 | 26.10 ± 0.90 d | −0.49 ± 0.05 j | 6.10 ± 0.02 e | 24.56 ± 0.73 fg | |
| S3 | 22.54 ± 0.40 f | 0.36 ± 0.04 h | 4.33 ± 0.50 g | 22.03 ± 2.39 gh | |
| S4 | 19.65 ± 0.44 g | 0.63 ± 0.03 g | 5.31 ± 0.40 ef | 33.18 ± 1.97 d | |
| Apple (67%) and pumpkin (33%) juice samples (9th day) | S5 | 22.89 ± 0.20 f | 1.43 ± 0.01 e | 9.57 ± 0.50 d | 57.34 ± 2.94 bc |
| S6 | 38.25 ± 0.10 a | 1.09 ± 0.03 f | 16.84 ± 0.03 a | 58.29 ± 0.00 b | |
| S7 | 24.34 ± 0.20 e | 1.77 ± 0.02 c | 11.83 ± 0.02 b | 69.71 ± 0.55 a | |
| S8 | 26.79 ± 0.20 d | 1.63 ± 0.04 d | 10.58 ± 0.40 c | 53.50 ± 1.97 c | |
| Apple (67%) and pomegranate (33%) juice samples (9th day) | S9 | 19.63 ± 0.50 g | 2.72 ± 0.02 b | 3.60 ± 0.40 gh | 29.99 ± 1.74 de |
| S10 | 30.33 ± 0.01 b | 1.06 ± 0.05 f | 4.51 ± 0.20 fg | 18.33 ± 0.88 hi | |
| S11 | 28.38 ± 0.60 c | 2.76 ± 0.02 b | 3.28 ± 0.30 h | 19.08 ± 0.82 hi | |
| S12 | 26.11 ± 0.94 d | 3.64 ± 0.01 a | 4.38 ± 0.20 fg | 28.18 ± 0.14 ef | |
| Stored at refrigerator temperature | |||||
| Apple (100%) juice samples (3rd day) | S1 | 20.93 ± 0.50 bc | −0.38 ± 0.03 k | 3.90 ± 0.1 c | 18.75 ± 0.18 d |
| S2 | 21.37 ± 0.30 b | −0.45 ± 0.04 k | 3.83 ± 0.3 c | 17.68 ± 1.53 de | |
| S3 | 20.96 ± 0.25 bc | −0.21 ± 0.02 j | 3.16 ± 0.6 cd | 15.21 ± 3.16 de | |
| S4 | 19.75 ± 0.45 cd | −0.08 ± 0.04 i | 2.38 ± 0.5 de | 12.22 ± 2.66 e | |
| Apple (67%) and pumpkin (33%) juice samples (3rd day) | S5 | 21.83 ± 0.20 b | 0.28 ± 0.01 h | 9.57 ± 0.4 a | 56.72 ± 2.40 a |
| S6 | 24.03 ± 0.5 a | 1.11 ± 0.02 e | 10.10 ± 0.1 a | 56.42 ± 0.76 a | |
| S7 | 23.25 ± 0.55 a | 0.78 ± 0.06 f | 7.75 ± 0.8 b | 42.07 ± 3.97 b | |
| S8 | 21.38 ± 0.43 b | 0.53 ± 0.03 g | 8.06 ± 0.4 b | 47.88 ± 1.77 b | |
| Apple (67%) and pomegranate (33%) juice samples (3rd day) | S9 | 17.89 ± 0.23 e | 2.41 ± 0.01 d | 1.49 ± 0.2 e | 18.16 ± 1.02 de |
| S10 | 17.31 ± 0.60 e | 3.06 ± 0.03 c | 2.21 ± 0.6 de | 26.06 ± 3.19 c | |
| S11 | 19.37 ± 0.90 d | 3.55 ± 0.03 b | 1.63 ± 0.4 e | 21.61 ± 1.37 cd | |
| S12 | 20.63 ± 0.40 bcd | 3.66 ± 0.04 a | 1.71 ± 0.2 e | 21.09 ± 0.79 cd | |
| Apple (100%) juice samples (6th day) | S1 | 22.57 ± 0.3 bc | −0.23 ± 0.01 g | 3.98 ± 0.02 d | 18.17 ± 0.13 e |
| S2 | 21.32 ± 0.8 c | −0.46 ± 0.04 h | 3.18 ± 0.6 de | 14.10 ± 2.78 ef | |
| S3 | 22.03 ± 0.5 bc | −0.32 ± 0.03 g | 2.81 ± 0.9 e | 12.23 ± 4.37 f | |
| S4 | 21.40 ± 0.9 c | −0.63 ± 0.03 i | 2.50 ± 0.4 e | 9.89 ± 1.72 f | |
| Apple (67%) and pumpkin (33%) juice samples (6th day) | S5 | 22.02 ± 0.8 bc | 1.01 ± 0.02 d | 8.82 ± 0.02 c | 53.28 ± 2.22 b |
| S6 | 24.95 ± 0.4 a | 1.22 ± 0.04 c | 9.82 ± 0.03 b | 52.37 ± 0.74 b | |
| S7 | 22.96 ± 0.1 b | 0.22 ± 0.05 f | 11.05 ± 0.01 a | 63.80 ± 0.12 a | |
| S8 | 22.65 ± 0.3 bc | 0.82 ± 0.02 e | 8.16 ± 0.04 c | 46.26 ± 0.42 c | |
| Apple (67%) and pomegranate (33%) juice samples (6th day) | S9 | 16.45 ± 0.5 de | 2.82 ± 0.02 a | 2.63 ± 0.01 e | 29.53 ± 0.79 d |
| S10 | 15.62 ± 0.4 e | 1.32 ± 0.01 b | 3.06 ± 0.05 de | 27.62 ± 0.34 d | |
| S11 | 17.45 ± 0.5 d | 2.83 ± 0.04 a | 1.24 ± 0.06 f | 18.75 ± 0.01 e | |
| S12 | 21.21 ± 0.1 c | 2.85 ± 0.03 a | 1.14 ± 0.02 f | 14.97 ± 0.13 ef | |
| Apple (100%) Juice samples (9th day) | S1 | 24.55 ± 0.9 ab | −0.15 ± 0.04 f | 3.66 ± 0.6 d | 15.27 ± 2.32 e |
| S2 | 21.46 ± 0.7 e | −0.36 ± 0.06 g | 3.68 ± 0.6 d | 17.06 ± 2.88 e | |
| S3 | 23.63 ± 0.8 bcd | −0.15 ± 0.04 f | 2.41 ± 0.4 de | 10.00 ± 1.61 ef | |
| S4 | 24.40 ± 0.9 abc | −0.23 ± 0.02 f | 2.00 ± 0.3 ef | 7.63 ± 1.07 f | |
| Apple (67%) and pumpkin (33%) juice samples (9th day) | S5 | 22.78 ± 0.4 bcde | 0.91 ± 0.01 c | 8.12 ± 0.2 bc | 45.98 ± 0.36 b |
| S6 | 25.67 ± 0.6 a | 1.00 ± 0.05 c | 9.09 ± 0.9 b | 45.54 ± 4.06 b | |
| S7 | 22.27 ± 0.8 de | 0.10 ± 0.02 e | 10.85 ± 0.1 a | 64.50 ± 2.26 a | |
| S8 | 23.95 ± 0.9 abcd | 0.62 ± 0.06 d | 7.06 ± 0.6 c | 36.01 ± 2.04 c | |
| Apple (67%) and pomegranate (33%) juice samples (9th day) | S9 | 14.25 ± 0.2 f | 2.12 ± 0.01 a | 2.30 ± 0.2 de | 28.08 ± 1.31 d |
| S10 | 13.80 ± 0.5 f | 1.82 ± 0.06 b | 2.06 ± 0.6 ef | 25.40 ± 4.44 d | |
| S11 | 14.02 ± 0.2 f | 2.23 ± 0.03 a | 0.64 ± 0.4 f | 15.82 ± 2.93 e | |
| S12 | 22.53 ± 0.7 cde | 2.23 ± 0.02 a | 0.64 ± 0.3 f | 9.84 ± 1.12 ef | |
| Sample | Total Number of Aerobic Mesophilic Germs (TAMG) | Total Number of Yeasts and Molds (TYM) | |
|---|---|---|---|
| Apple (100%) juice samples | S1 | 7.59 ± 0.01 bc | 6.29 ± 0.01 abc |
| S2 | 7.64 ± 0.02 b | 6.40 ± 0.01 abc | |
| S3 | 7.40 ± 0.03 gh | 6.54 ± 0.01 a | |
| S4 | 7.47 ± 0.01 ef | 6.09 ± 0.02 cd | |
| Apple (67%) and pumpkin (33%) juice samples | S5 | 7.46 ± 0.03 fg | 6.50 ± 0.01 ab |
| S6 | 7.57 ± 0.02 cd | 5.67 ± 0.19 e | |
| S7 | 7.47 ± 0.04 ef | 6.38 ± 0.02 abc | |
| S8 | 7.71 ± 0.01 a | 6.13 ± 0.05 bc | |
| Apple (67%) and pomegranate (33%) juice samples | S9 | 7.49 ± 0.01 ef | 5.52 ± 0.24 e |
| S10 | 7.53 ± 0.01 de | 6.12 ± 0.04 bc | |
| S11 | 7.36 ± 0.02 h | 5.60 ± 0.30 e | |
| S12 | 7.43 ± 0.02 fg | 5.72 ± 0.12 de |
| Sample | Total Number of Aerobic Mesophilic Germs (TAMG) | Total Number of Yeasts and Molds (TYM) | |||
|---|---|---|---|---|---|
| (S at 4 °C) | (S at 20 °C) | (S at 4 °C) | (S at 20 °C) | ||
| Apple (100%) juice samples (3rd day) | S1 | 8.62 ± 0.01 cd | 8.63 ± 0.01 i | 8.25 ± 0.02 d | 7.92 ± 0.03 b |
| S2 | 8.58 ± 0.02 d | 8.70 ± 0.00 h | 8.80 ± 0.02 a | 8.10 ± 0.02 b | |
| S3 | 8.11 ± 0.03 g | 8.66 ± 0.01 i | 7.36 ± 0.10 g | 7.63 ± 0.06 b | |
| S4 | 8.49 ± 0.01 e | 8.58 ± 0.01 j | 7.63 ± 0.06 f | 7.73 ± 0.05 b | |
| Apple (67%) and pumpkin (33%) juice samples (3rd day) | S5 | 8.65 ± 0.01 c | 9.00 ± 0.00 c | 8.59 ± 0.01 b | 9.55 ± 0.01 a |
| S6 | 8.78 ± 0.00 a | 9.17 ± 0.00 a | 8.53 ± 0.01 bc | 9.54 ± 0.00 a | |
| S7 | 8.71 ± 0.01 b | 8.96 ± 0.00 d | 8.33 ± 0.03 d | 9.24 ± 0.58 a | |
| S8 | 8.67 ± 0.03 bc | 9.07 ± 0.01 b | 8.39 ± 0.01 cd | 9.58 ± 0.00 a | |
| Apple (67%) and pomegranate (33%) juice samples (3rd day) | S9 | 8.63 ± 0.01 c | 8.82 ± 0.01 g | 7.63 ± 0.06 f | 9.19 ± 0.01 a |
| S10 | 8.51 ± 0.01 e | 8.91 ± 0.01 e | 7.85 ± 0.00 e | 9.20 ± 0.00 a | |
| S11 | 8.62 ± 0.01 cd | 8.86 ± 0.01 f | 7.52 ± 0.07 f | 9.30 ± 0.00 a | |
| S12 | 8.42 ± 0.01 f | 8.85 ± 0.01 f | 7.36 ± 010 g | 9.28 ± 0.02 a | |
| Apple (100%) juice samples (6th day) | S1 | 9.31 ± 0.00 j | 9.74 ± 0.00 a | 7.46 ± 0.15 e | 10.01 ± 0.01 a |
| S2 | 9.53 ± 0.00 e | 9.66 ± 0.00 c | 6.95 ± 0.00 f | 9.85 ± 0.01 a | |
| S3 | 9.46 ± 0.00 g | 9.74 ± 0.00 a | 6.95 ± 0.00 f | 8.95 ± 0.58 cd | |
| S4 | 9.36 ± 0.00 i | 9.04 ± 0.01 i | 8.66 ± 0.03 a | 8.15 ± 0.07 f | |
| Apple (67%) and pumpkin (33%) juice samples (6th day) | S5 | 9.61 ± 0.01 c | 9.68 ± 0.00 b | 8.41 ± 0.02 b | 9.03 ± 0.01 cd |
| S6 | 9.66 ± 0.01 a | 9.60 ± 0.00 e | 7.56 ± 0.07 de | 9.26 ± 0.00 bc | |
| S7 | 9.63 ± 0.00 b | 9.62 ± 0.01 d | 7.69 ± 0.09 d | 8.66 ± 0.03 de | |
| S8 | 9.47 ± 0.00 f | 9.68 ± 0.00 b | 8.09 ± 0.02 c | 9.06 ± 0.01 cd | |
| Apple (67%) and pomegranate (33%) juice samples (6th day) | S9 | 9.47 ± 0.01 fg | 9.21 ± 0.00 h | 8.21 ± 0.02 c | 8.81 ± 0.01 cd |
| S10 | 9.58 ± 0.00 d | 9.66 ± 0.00 c | 8.18 ± 0.03 c | 8.84 ± 0.01 cd | |
| S11 | 9.43 ± 0.00 h | 9.53 ± 0.00 f | 8.18 ± 0.03 c | 9.60 ± 0.00 ab | |
| S12 | 9.52 ± 0.00 e | 9.43 ± 0.01 g | 8.23 ± 0.03 c | 8.23 ± 0.03 ef | |
| Apple (100%) Juice samples (9th day) | S1 | 10.06 ± 0.00 d | 10.68 ± 0.58 c | 9.73 ± 0.02 i | 11.02 ± 0.00 a |
| S2 | 10.39 ± 0.00 abcd | 10.67 ± 0.58 c | 10.39 ± 0.01 e | 11.00 ± 0.00 ab | |
| S3 | 10.31 ± 0.00 abcd | 10.98 ± 0.00 a | 10.31 ± 0.01 f | 10.99 ± 0.00 b | |
| S4 | 10.28 ± 0.58 bcd | 10.98 ± 0.01 a | 9.94 ± 0.00 h | 10.98 ± 0.00 b | |
| Apple (67%) and pumpkin (33%) juice samples (9th day) | S5 | 10.95 ± 0.00 a | 10.95 ± 0.00 a | 10.58 ± 0.00 d | 10.65 ± 0.00 h |
| S6 | 10.99 ± 0.00 a | 10.99 ± 0.01 a | 10.88 ± 0.00 a | 10.93 ± 0.00 c | |
| S7 | 10.22 ± 0.00 cd | 10.35 ± 0.56 d | 10.22 ± 0.01 g | 11.03 ± 0.00 a | |
| S8 | 10.22 ± 0.00 cd | 11.03 ± 0.57 a | 10.22 ± 0.00 g | 10.71 ± 0.00 g | |
| Apple (67%) and pomegranate (33%) juice samples (9th day) | S9 | 10.61 ± 0.58 abcd | 10.75 ± 0.00 b | 10.65 ± 0.01 c | 10.74 ± 0.03 f |
| S10 | 10.52 ± 0.01 abcd | 10.98 ± 0.00 a | 10.52 ± 0.01 d | 10.99 ± 0.00 b | |
| S11 | 10.84 ± 0.00 abc | 10.84 ± 0.01 b | 10.84 ± 0.00 b | 10.85 ± 0.00 d | |
| S12 | 10.83 ± 0.00 abc | 10.89 ± 0.01 b | 10.72 ± 0.00 c | 10.79 ± 0.00 e | |
Disclaimer/Publisher’s Note: The statements, opinions and data contained in all publications are solely those of the individual author(s) and contributor(s) and not of MDPI and/or the editor(s). MDPI and/or the editor(s) disclaim responsibility for any injury to people or property resulting from any ideas, methods, instructions or products referred to in the content. |
© 2023 by the authors. Licensee MDPI, Basel, Switzerland. This article is an open access article distributed under the terms and conditions of the Creative Commons Attribution (CC BY) license (https://creativecommons.org/licenses/by/4.0/).
Share and Cite
Prisacaru, A.E.; Ghinea, C.; Albu, E.; Ursachi, F. Effects of Ginger and Garlic Powders on the Physicochemical and Microbiological Characteristics of Fruit Juices during Storage. Foods 2023, 12, 1311. https://doi.org/10.3390/foods12061311
Prisacaru AE, Ghinea C, Albu E, Ursachi F. Effects of Ginger and Garlic Powders on the Physicochemical and Microbiological Characteristics of Fruit Juices during Storage. Foods. 2023; 12(6):1311. https://doi.org/10.3390/foods12061311
Chicago/Turabian StylePrisacaru, Ancuța Elena, Cristina Ghinea, Eufrozina Albu, and Florin Ursachi. 2023. "Effects of Ginger and Garlic Powders on the Physicochemical and Microbiological Characteristics of Fruit Juices during Storage" Foods 12, no. 6: 1311. https://doi.org/10.3390/foods12061311
APA StylePrisacaru, A. E., Ghinea, C., Albu, E., & Ursachi, F. (2023). Effects of Ginger and Garlic Powders on the Physicochemical and Microbiological Characteristics of Fruit Juices during Storage. Foods, 12(6), 1311. https://doi.org/10.3390/foods12061311

