Natural Antioxidant Potential of Melon Peels for Fortified Foods
Abstract
1. Introduction
2. Materials and Methods
2.1. Vegetal Materials
2.2. Reagents and Standards
2.3. Phytochemicals and Antioxidant Activity
2.4. Enzymatic Activities
2.5. Seawater Fortification
2.6. Statistical Analysis
3. Results
3.1. Bioactive Compounds and Antioxidant Activity
3.2. Enzymatic Activities
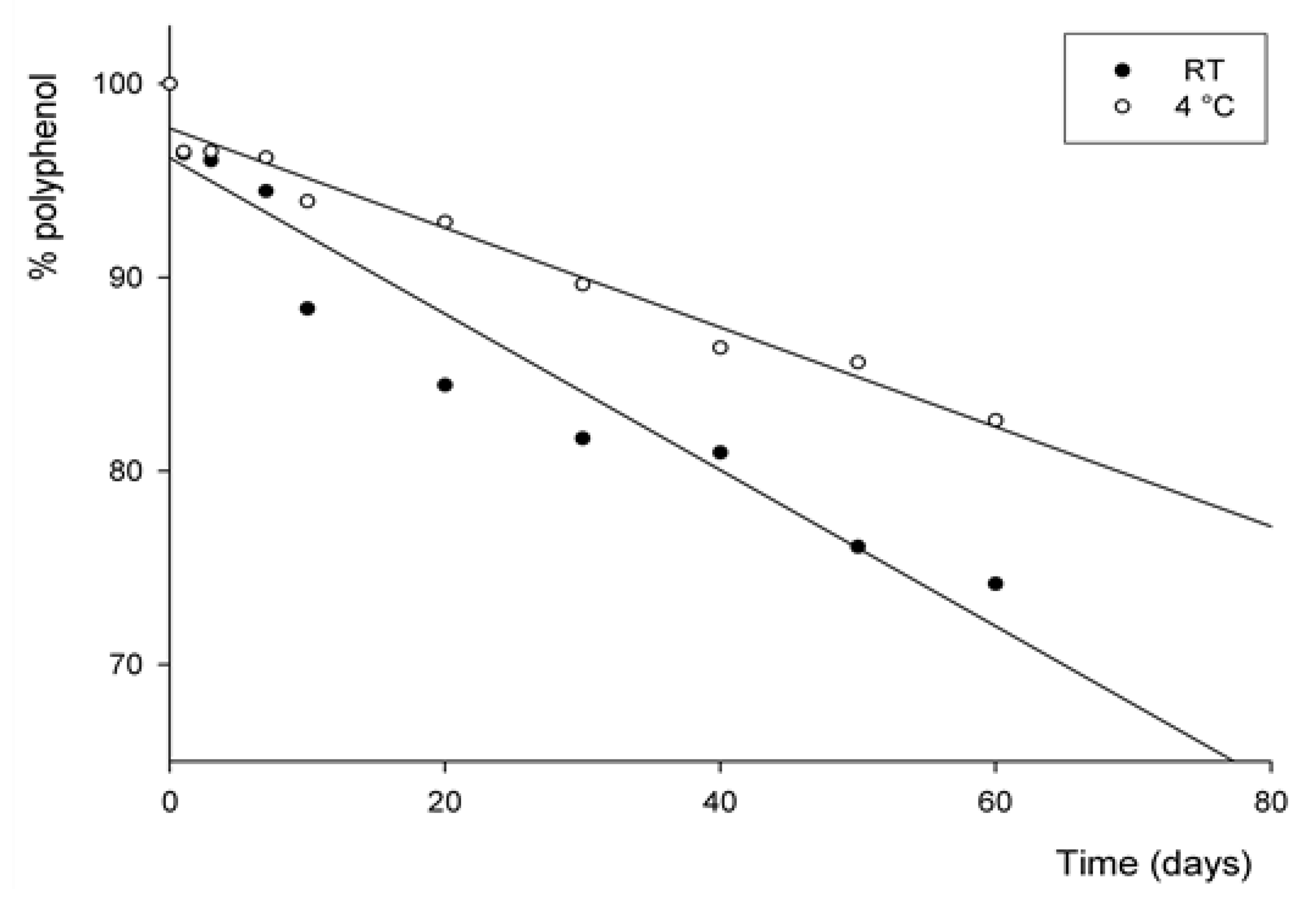
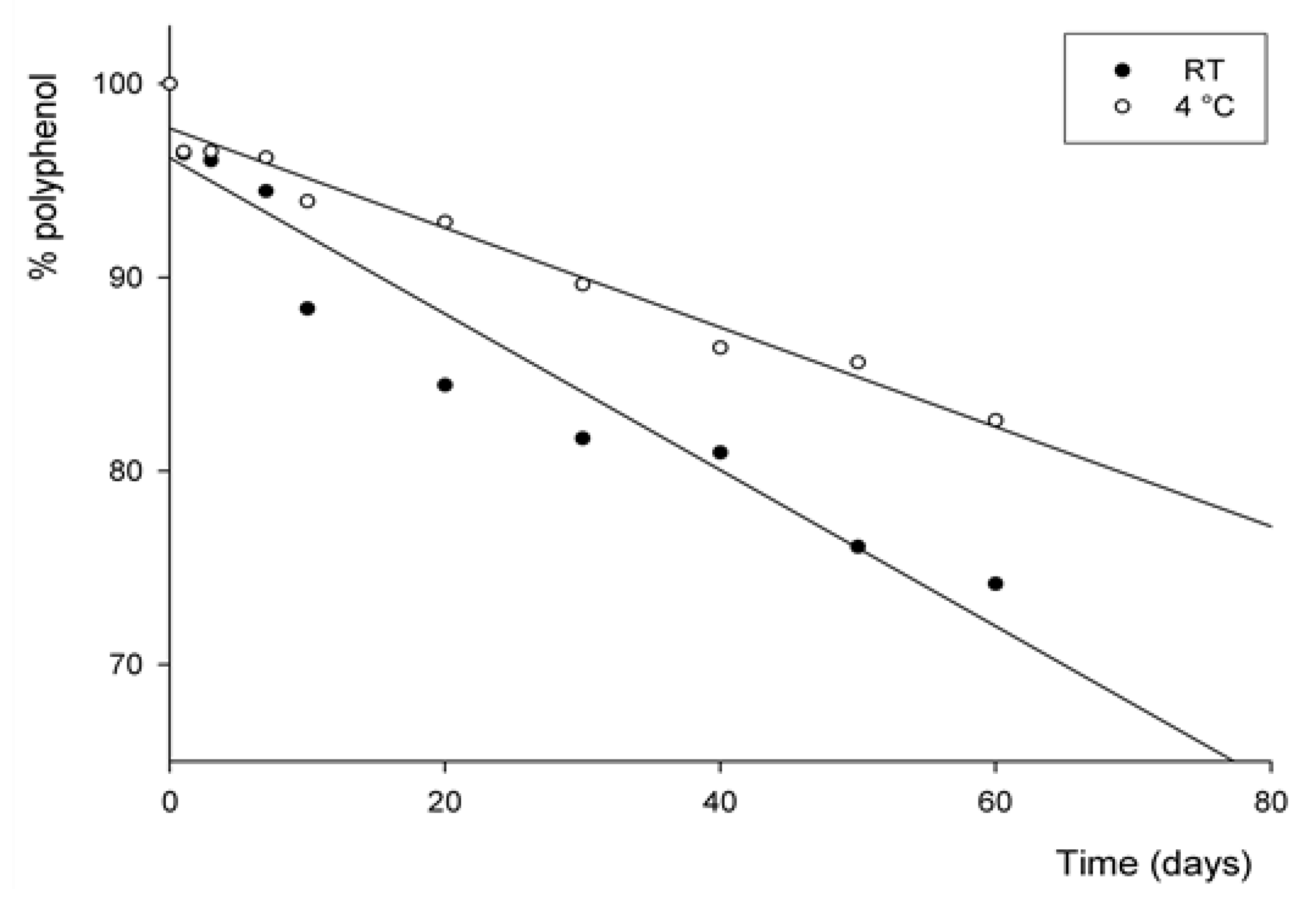
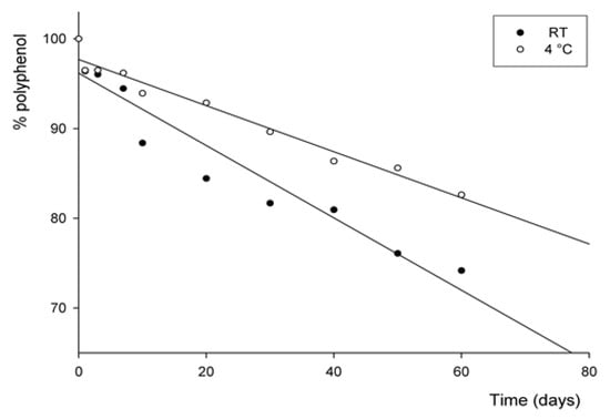
3.3. Stability of Fortified Sea Water
4. Conclusions
Author Contributions
Funding
Data Availability Statement
Acknowledgments
Conflicts of Interest
References
- Sagar, N.A.; Pareek, S.; Sharma, S.; Yahia, E.M.; Lobo, M.G. Fruit and vegetable waste: Bioactive compounds, their extraction, and possible utilization. Compr. Rev. Food Sci. Food Saf. 2018, 17, 512–531. [Google Scholar] [CrossRef] [PubMed]
- Ben-Othman, S.; Jõudu, I.; Bhat, R. Bioactives from agri-food wastes: Present insights and future challenges. Molecules 2020, 25, 510. [Google Scholar] [CrossRef]
- Rolim, P.M.; Seabra, L.M.A.J.; de Macedo, G.R. Melon by-products: Biopotential in human health and food processing. Food Rev. Int. 2020, 36, 15–38. [Google Scholar] [CrossRef]
- Rico, X.; Gullón, B.; Alonso, J.L.; Yáñez, R. Recovery of high value-added compounds from pineapple, melon, watermelon and pumpkin processing by-products: An overview. Food Res. Int. 2020, 132, 109086. [Google Scholar] [CrossRef]
- Laratta, B.; Pignone, D.; Vella, F.M. Leveraging the Cucumis melo wastes. In Mediterranean Fruits Bio-Wastes—Chemistry, Functionality and Technological Applications; Ramadan, M.F., Farag, M.A., Eds.; Springer International Publishing: Cham, Switzerland, 2022. [Google Scholar]
- Silva, M.A.; Albuquerque, T.G.; Alves, R.C.; Oliveira, M.B.P.; Costa, H.S. Melon (Cucumis melo L.) by-products: Potential food ingredients for novel functional foods? Trends Food Sci. Technol. 2020, 98, 181–189. [Google Scholar] [CrossRef]
- Galanakis, C.M. Recovery of high added-value components from food wastes: Conventional, emerging technologies and commercialized applications. Trends Food Sci. Technol. 2012, 26, 68–87. [Google Scholar] [CrossRef]
- International plant genetic resources Institute. Descriptors for Melon (Cucumis melo L.); IPGRI: Rome, Italy, 2003. [Google Scholar]
- Faostat, Food and Agriculture Organization of the United States. Available online: http://www.fao.org/home/en/ (accessed on 11 May 2023).
- Fundo, J.F.; Miller, F.A.; Garcia, E.; Santos, J.R.; Silva, C.L.M.; Brandão, T.R.S. Physicochemical characteristics, bioactive compounds and antioxidant activity in juice, pulp, peel and seeds of cantaloupe melon. J. Food Meas. Charact. 2017, 12, 292–300. [Google Scholar] [CrossRef]
- Ismail, H.I.; Chan, K.W.; Mariod, A.A.; Ismail, M. Phenolic content and antioxidant activity of cantaloupe (Cucumis melo) methanolic extracts. Food Chem. 2010, 119, 643–647. [Google Scholar] [CrossRef]
- Šamec, D.; Karalija, E.; Šola, I.; Vujčić Bok, V.; Salopek-Sondi, B. The role of polyphenols in abiotic stress response: The influence of molecular structure. Plants 2021, 10, 118. [Google Scholar] [CrossRef] [PubMed]
- Sharma, A.; Shahzad, B.; Rehman, A.; Bhardwaj, R.; Landi, M.; Zheng, B. Response of phenylpropanoid pathway and the role of polyphenols in plants under abiotic stress. Molecules 2019, 24, 2452. [Google Scholar] [CrossRef]
- Miller, F.A.; Fundo, J.F.; Garcia, E.; Santos, J.R.; Silva, C.L.M.; Brandão, T.R.S. Physicochemical and Bioactive Characterisation of Edible and Waste Parts of “Piel de Sapo” Melon. Horticulturae 2020, 6, 60. [Google Scholar] [CrossRef]
- Gómez-García, R.; Campos, D.A.; Oliveira, A.; Aguilar, C.N.; Madureira, A.R.; Pintado, M. A chemical valorisation of melon peels towards functional food ingredients: Bioactives profile and antioxidant properties. Food Chem. 2021, 335, 127579. [Google Scholar] [CrossRef]
- Ganji, S.M.; Singh, H.; Friedman, M. Phenolic content and antioxidant activity of extracts of 12 melon (Cucumis melo) peel powders prepared from commercial melons. J. Food Sci. 2019, 84, 1943–1948. [Google Scholar] [CrossRef] [PubMed]
- Vella, F.M.; Calandrelli, R.; Laratta, B. Influence of ripening on polyphenolic content, degradative, and browning enzymes in cantaloupe varieties (C. melo L.). Horticulturae 2021, 7, 421. [Google Scholar] [CrossRef]
- Saby, M.; Gauthier, A.; Barial, S.; Egoumenides, L.; Jover, B. Supplementation with a Bioactive Melon Concentrate in Humans and Animals: Prevention of Oxidative Damages and Fatigue in the Context of a Moderate or Eccentric Physical Activity. Int. J. Environ. Res. Public Health 2020, 17, 1142. [Google Scholar] [CrossRef] [PubMed]
- Ginoux, J.P.; Dreyer, A.; Roch, P.; Baccou, J.C.; Lacan, D. Cucumis melo Protein Extract with Antioxidant Activity and Process for Preparing It, Cosmetic or Pharmaceutical Composition or Food Composition Containing Such an Extract. U.S. Patent 5,616,323, 1 April 1997. [Google Scholar]
- Sroy, S.; Miller, F.A.; Fundo, J.F.; Silva, C.L.; Brandão, T.R. Freeze-Drying Processes Applied to Melon Peel: Assessment of Physicochemical Attributes and Intrinsic Microflora Survival during Storage. Foods 2022, 11, 1499. [Google Scholar] [CrossRef]
- Simsek, S.; Martinez, M.O. Quality of dough and bread prepared with sea salt or sodium chloride. J. Food Process Eng. 2016, 39, 44–52. [Google Scholar] [CrossRef]
- Vella, F.M.; Cautela, D.; Laratta, B. Characterization of polyphenolic compounds in cantaloupe melon by-products. Foods 2019, 8, 196. [Google Scholar] [CrossRef] [PubMed]
- Singleton, V.L.; Rossi, J.A., Jr. Colorimetry of total phenolics with phosphomolybdic-phosphotungstic acid reagents. Am. J. Enol. Vitic. 1965, 16, 144–158. [Google Scholar] [CrossRef]
- Arnow, L.E. Colorimetric determination of the components of 3,4-dihydroxyphenylalaninetyrosine mixtures. J. Biol. Chem. 1937, 118, 531–537. [Google Scholar] [CrossRef]
- Zhishen, J.; Mengcheng, T.; Jianming, W. The determination of flavonoids contents in mulberry and their scavenging effects on superoxide radicals. Food Chem. 1999, 64, 555–559. [Google Scholar] [CrossRef]
- Benzie, I.F.; Strain, J.J. The ferric reducing ability of plasma (FRAP) as a measure of “antioxidant power”: The FRAP assay. Anal. Biochem. 1996, 239, 70–76. [Google Scholar] [CrossRef]
- Blois, M.S. Antioxidant determination by the use of a stable free radical. Nature 1958, 181, 1199–1200. [Google Scholar] [CrossRef]
- Bradford, M.M. A rapid and sensitive method for the quantitation of microgram quantities of protein utilizing the principle of protein-dye binding. Anal. Biochem. 1976, 72, 248–254. [Google Scholar] [CrossRef]
- Palma, J.M.; Pastori, G.M.; Bueno, P.; Distefano, S.; Del Río, L.A. Purification and properties of cytosolic copper, zinc superoxide dismutase from watermelon (Citrullus vulgaris Schrad.) cotyledons. Free. Radic. Res. 1997, 26, 83–91. [Google Scholar] [CrossRef] [PubMed]
- Laratta, B.; De Masi, L.; Minasi, P.; Giovane, A. Pectin methylesterase in Citrus bergamia R.: Purification, biochemical characterization and sequence of the exon related to the enzyme active site. Food Chem. 2008, 110, 829–837. [Google Scholar] [CrossRef] [PubMed]
- Hagerman, A.E.; Austin, P.J. Continuous spectrophotometric assay for plant pectin methyl esterase. J. Agric. Food Chem. 1986, 34, 440–444. [Google Scholar] [CrossRef]
- Miller, G.L. Use of dinitrosalicylic acid reagent for determination of reducing sugar. Anal. Chem. 1959, 31, 426–428. [Google Scholar] [CrossRef]
- Costa, J.R.; Monteiro, M.J.; Tonon, R.V.; Cabral, L.M.; Pastrana, L.; Pintado, M.E. Fortification of coconut water with microencapsulated grape pomace extract towards a novel electrolyte beverage: Biological, sensorial and quality aspects. Future Foods 2021, 4, 100079. [Google Scholar] [CrossRef]
- Menon, S.V.; Ramana Rao, T.V. Nutritional quality of muskmelon fruit as revealed by its biochemical properties during different rates of ripening. Int. Food Res. J. 2012, 19, 1621–1628. [Google Scholar]
- Chisari, M.; Silveira, A.C.; Barbagallo, R.N.; Spagna, G.; Artés, F. Ripening stage influenced the expression of polyphenol oxidase, peroxidase, pectin methylesterase and polygalacturonase in two melon cultivars. Int. J. Food Sci. Technol. 2009, 44, 940–946. [Google Scholar] [CrossRef]
- Prasanna, V.; Prabha, T.N.; Tharanathan, R.N. Fruit ripening phenomena—An overview. Crit. Rev. Food Sci. Nutr. 2007, 47, 1–19. [Google Scholar] [CrossRef] [PubMed]
- Toivonen, P.M.; Brummell, D.A. Biochemical bases of appearance and texture changes in fresh-cut fruit and vegetables. Postharvest Biol. Technol. 2008, 48, 1–14. [Google Scholar] [CrossRef]
- Singh, B.; Suri, K.; Shevkani, K.; Kaur, A.; Kaur, A.; Singh, N. Enzymatic browning of fruit and vegetables: A review. In Enzymes in Food Technology; Springer: Singapore, 2018; pp. 63–78. [Google Scholar]
- Moon, K.M.; Kwon, E.B.; Lee, B.; Kim, C.Y. Recent trends in controlling the enzymatic browning of fruit and vegetable products. Molecules 2020, 25, 2754. [Google Scholar] [CrossRef] [PubMed]
- Zimmermann, P.; Heinlein, C.; Orendi, G.; Zentgraf, U. Senescence specific regulation of catalase in Arabidopsis thaliana (L.) Heynh. Plant Cell Environ. 2006, 29, 1049–1060. [Google Scholar] [CrossRef] [PubMed]
- Farcuh, M.; Copes, B.; Le-Navenec, G.; Marroquin, J.; Jaunet, T.; Chi-Ham, C.; Van Deynze, A. Texture diversity in melon (Cucumis melo L.): Sensory and physical assessments. Postharvest Biol. Technol. 2020, 159, 111024. [Google Scholar] [CrossRef]
- Gómez-Garcia, R.; Campos, D.A.; Aguilar, C.N.; Madureira, A.R.; Pintado, M. Valorization of melon fruit (Cucumis melo L.) by-products: Phytochemical and Biofunctional properties with Emphasis on Recent Trends and Advances. Trends Food Sci. Technol. 2020, 99, 507–519. [Google Scholar] [CrossRef]


| Cultivar | Total Polyphenols (µg GAE/mg) | Ortho-Diphenols (µg CAE/mg) | Flavonoids (µg CE/mg) | Tannins (µg GAE/mg) | Antioxidant Power (µg AAE/mg) | EC50 (mg/mL) |
|---|---|---|---|---|---|---|
| Eminenza | 6.70 ± 0.01 | 1.93 ± 0.03 | 3.25 ± 0.06 | 3.07 ± 0.04 | 2.45 ± 0.02 | 14.41 ± 0.66 |
| SV7881 | 9.84 ± 0.01 | 3.03 ± 0.03 | 3.64 ± 0.10 | 3.81 ± 0.01 | 3.79 ± 0.01 | 10.57 ± 0.16 |
| Iperione | 10.35 ± 0.01 | 3.38 ± 0.02 | 7.02 ± 0.09 | 5.21 ± 0.02 | 4.90 ± 0.02 | 10.06 ± 0.13 |
| Day | µg/mL GAE—RT | µg/mL GAE—4 °C |
|---|---|---|
| 0 | 59.07 ± 3.051 | 59.07 ± 2.1705 |
| 1 | 56.93 ± 0.513 | 57.07 ± 0.391 |
| 3 | 56.73 ± 0.265 | 57.01 ± 0.464 |
| 7 | 55.80 ± 1.163 | 56.82 ± 0.7335 |
| 10 | 52.21 ± 0.8675 | 55.49 ± 0.755 |
| 20 | 49.88 ± 0.0085 | 54.86 ± 0.8315 |
| 30 | 48.25 ± 0.6165 | 52.95 ± 0.154 |
| 40 | 47.82 ± 0.5685 | 51.02 ± 0.1995 |
| 50 | 44.94 ± 0.2775 | 50.57 ± 0.373 |
| 60 | 43.82 ± 0.269 | 48.80 ± 0.382 |
| Formulation | Rate Constant (k) | t1/2 (Days) |
|---|---|---|
| Seawater + peel extract (RT) | 0.0050 | 139.3 |
| Seawater + peel extract (4 °C) | 0.0032 | 217.8 |
Disclaimer/Publisher’s Note: The statements, opinions and data contained in all publications are solely those of the individual author(s) and contributor(s) and not of MDPI and/or the editor(s). MDPI and/or the editor(s) disclaim responsibility for any injury to people or property resulting from any ideas, methods, instructions or products referred to in the content. |
© 2023 by the authors. Licensee MDPI, Basel, Switzerland. This article is an open access article distributed under the terms and conditions of the Creative Commons Attribution (CC BY) license (https://creativecommons.org/licenses/by/4.0/).
Share and Cite
Vella, F.M.; Calandrelli, R.; Cautela, D.; Laratta, B. Natural Antioxidant Potential of Melon Peels for Fortified Foods. Foods 2023, 12, 2523. https://doi.org/10.3390/foods12132523
Vella FM, Calandrelli R, Cautela D, Laratta B. Natural Antioxidant Potential of Melon Peels for Fortified Foods. Foods. 2023; 12(13):2523. https://doi.org/10.3390/foods12132523
Chicago/Turabian StyleVella, Filomena Monica, Roberto Calandrelli, Domenico Cautela, and Bruna Laratta. 2023. "Natural Antioxidant Potential of Melon Peels for Fortified Foods" Foods 12, no. 13: 2523. https://doi.org/10.3390/foods12132523
APA StyleVella, F. M., Calandrelli, R., Cautela, D., & Laratta, B. (2023). Natural Antioxidant Potential of Melon Peels for Fortified Foods. Foods, 12(13), 2523. https://doi.org/10.3390/foods12132523

