Abstract
We explore the stability and the electronic properties of hypothetical noble-metal chalcogenide nanotubes PtS2, PtSe2, PdS2 and PdSe2 by means of density functional theory calculations. Our findings show that the strain energy decreases inverse quadratically with the tube diameter, as is typical for other nanotubes. Moreover, the strain energy is independent of the tube chirality and converges towards the same value for large diameters. The band-structure calculations show that all noble-metal chalcogenide nanotubes are indirect band gap semiconductors. The corresponding band gaps increase with the nanotube diameter rapidly approaching the respective pristine 2D monolayer limit.
1. Introduction
Inorganic nanotubes (INTs) are a class of materials that are very attractive for many applications in nanotechnology due to their interesting physical and chemical properties, which arise from their low dimensionality. In 1930, Pauling had already stated that mismatched layered materials may form cylindrical shapes [1]. However, the first carbon-based tubular forms, namely carbon nanotubes (CNTs) have been observed by Iijima in 1991 [2]. At the same time, the synthesis of WS2 NTs by Tenne and co-workers [3], has demonstrated that these tubular systems are not limited to carbon, but can also be obtained from any other layered compound. Later on, several INTs have been prepared and produced such as transition-metal sulfides [3,4]. boron-nitrides [5,6], metal oxides [7,8], rare earth oxide [9] and more recently misfit layered compounds [10].
WS2 and MoS2 NTs, being the first synthesised INTs, are semiconductors. They have demonstrated excellent mechanical properties [11,12,13,14,15,16] and are known to be good solid lubricants [17]. They have also been suggested as scanning probe tips [18], catalysts [19], reinforcements for composite materials [20], photo-transistors [21], gas storage and host materials [22,23], etc. Later, other transition-metal chalcogenide (TMC) NTs have been reported such as TiS2, NbS2, ReS2, TiSe2 and TaS2 [24,25,26,27,28]. Subsequently, many more TMC NTs can be expected due to the large manifold of the layered TMC materials [29,30]. Nowadays, different techniques and strategies have been employed and developed for the synthesis and growth of large amount of NTs such as chemical transport technique [31], thermochemical decomposition [32] and in situ heating [33]. For example, WS2 and MoS2 NTs were produced using gas-solids reactions at high temperatures by the reduction of WO3 (MoO3) in the atmosphere of a mixture of H2, N2 and H2S gases [3,4,34].
In this work, we aim to extend the scope of inorganic nanotubular materials by investigating noble-metal chalcogenide MX2 single wall nanotubes, where M = Pt, Pd and X = S, Se. Tubular forms based on these materials have not yet been experimentally observed, however, considering that PtS2, PtSe2, PdS2, PdSe2 belong to the family of layered TMCs, one can expect that such compounds may also form nanotubes. Structure and electronic structure of these noble metal chalcogenides have been subject to controversial debate in the 1950s and 1960s. Two possible phases of the Pd- and Pt-based TMCs were suggested, namely orthorhombic (pyrite) and 1T. [35,36,37,38]. We have calculated the relative stability of bulk and monolayered forms of these TMCs. While the orthorhombic phase is preferable for the bulk PdS2 material (energy difference of 56 meV - all energies are given per MX2 formula unit), the monolayers (MLs) favor the 1T arrangement (energy difference of 68 meV). For the heavier PdSe2, we have found similar trends for the MLs, where the 1T form is by 0.6 eV more stable than the orthorhombic one. Bulk PdSe2 is unstable in the orthorhombic form, forbidding comparison with the 1T structure. Therefore, the choice of the 1T polytype to simulate the single-wall NTs is justified. In view of the renaissance of layered materials and the advance of experimental technology it is important to reexamine these phases and attempt exfoliation.
A recent study of bi- and monolayered noble-metal materials have shown interesting quantum confinement effects and electromechanical properties, suggesting them for applications in optoelectronics and flexible devices [39]. Therefore we have investigated, using density functional theory (DFT), the stability of the MX2 NTs and their structural and electronic properties. The strain energy is found to be chirality independent and exhibits the characteristic dependence on the tube diameter d (∼1/d2). The band structure analysis shows that noble-metal chalcogenide NTs are all semiconducting in a similar way to their ML counterparts. Unlike MoS2 and WS2 NTs, where the band gap is direct and indirect for zigzag and armchair, respectively, PtX2 and PdX2 NTs have indirect band gaps which increase with the diameter.
2. Computational Details
All calculations were carried out using density functional theory with the PBE (Perdew-Burke-Ernzerhof) exchange-correlation functional [40] as implemented in the Crystal09 code [41]. We have used an all electron triple-zeta valence basis set with one polarization function for sulphur atoms [42], a scalar-relativistic pseudopotential with 18 valence electrons for platinum atoms [43], Hay and Wadt effective core potentials with small core for palladium atoms [41], and the relativistic multi-electron pseudopotential with six valence electrons for selenium atoms [44]. We have employed helical boundary conditions, as implemented in the Crystal09 code [41], for the generation of the NT structures in order to reduce computational costs. Lattice vectors and atomic positions of MX2 MLs and NTs were fully optimized. The tube diameters considered here are in the range of 10–50 Å, corresponding to chiral indices (10,0)–(32,0) and (6,6)–(24,24) for zigzag and armchair NTs, respectively. The shrinking factors of 16 for MLs and 8 for NTs were used, resulting in 30 and 5 k-points in the irreducible Brillouin zone, respectively, following the Monkhorst-Pack sampling [45]. Band structures were calculated along the high symmetry k-points using the M–Γ–K–M and X–Γ paths for MLs and NTs, respectively.
3. Results and Discussion
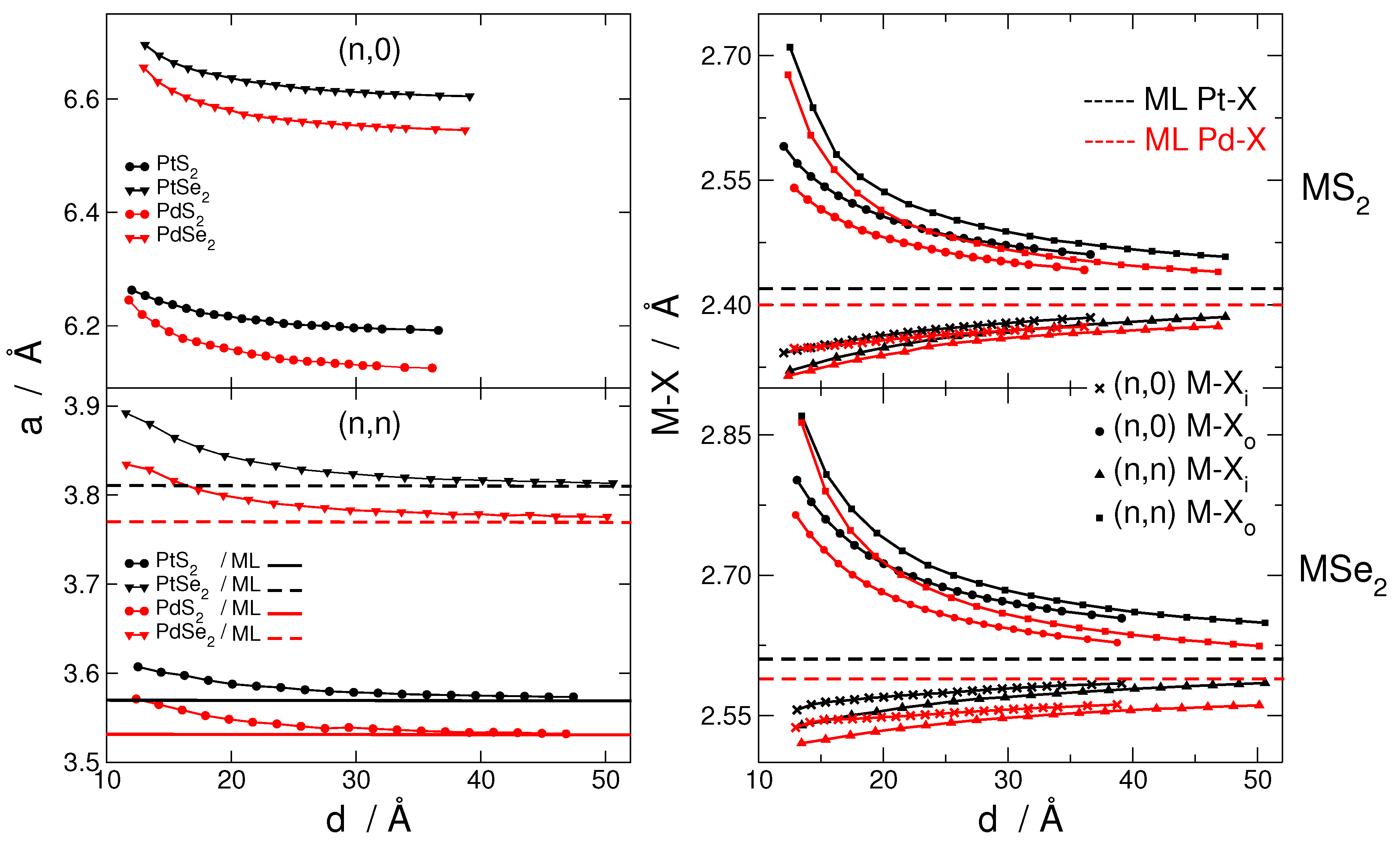
The monolayered noble-metal chalcogenides, considered here as large diameter NT limits, were adopted in the 1T polymorph, with space group (P-3m1). Figure 1 shows the 1T geometry for a monolayered structures in the left side, the top and the side views of zigzag and armchair NTs are represented in the middle and the right parts, respectively. The optimized lattice parameters and bond lengths with respect to the tube diameter are shown in Figure 2. Increasing the tube diameter d, the lattice vectors of the tubes decrease for both zigzag and armchair chiralities. For (n,n) NTs, the lattice vectors correspond to those of the MLs; however, due to the curvature they enlarge as the diameters become smaller. Similar behaviour is observed for the bond lengths between metal and chalcogen atoms (M–X), nevertheless, the convergence to the ML limit is much slower. Generally, the bond lengths and lattice vectors of selenide NTs are larger than those of sulphide NTs, and the same holds for the comparison of the platinum over the palladium forms.
The M–X bond lengths can be divided into two types, the inner and the outer wall bond lengths, which are referred hereafter as M–Xi and M–Xo, respectively. The M–Xo (M–Xi) are longer (shorter) than the corresponding bond lengths found in the ML structures, and the deviations are more pronounced for armchair NTs than for zigzag NTs, particularly for small d. For diameters below 15 Å, the difference between outer and inner bond reaches 0.40 Å and 0.25 Å for armchair and zigzag NTs, respectively. These numbers strongly reduce to about 0.10 Å difference for diameters of at least 40 Å. Recently, we have reported that the bond lengths of MoS2 and WS2 NTs exhibit opposite behaviour, where the zigzag NTs have longer (shorter) M–Xo (M–Xi) bond lengths than the armchair NTs [46].
Figure 1.
1T 2D (monolayer) and 1D (tubular) forms of noble metal chalcogenides. The unit cell of 2D systems is shown.
Figure 1.
1T 2D (monolayer) and 1D (tubular) forms of noble metal chalcogenides. The unit cell of 2D systems is shown.

Figure 2.
Lattice parameters and bond lengths vs. diameter of MX2 NTs.
Figure 2.
Lattice parameters and bond lengths vs. diameter of MX2 NTs.

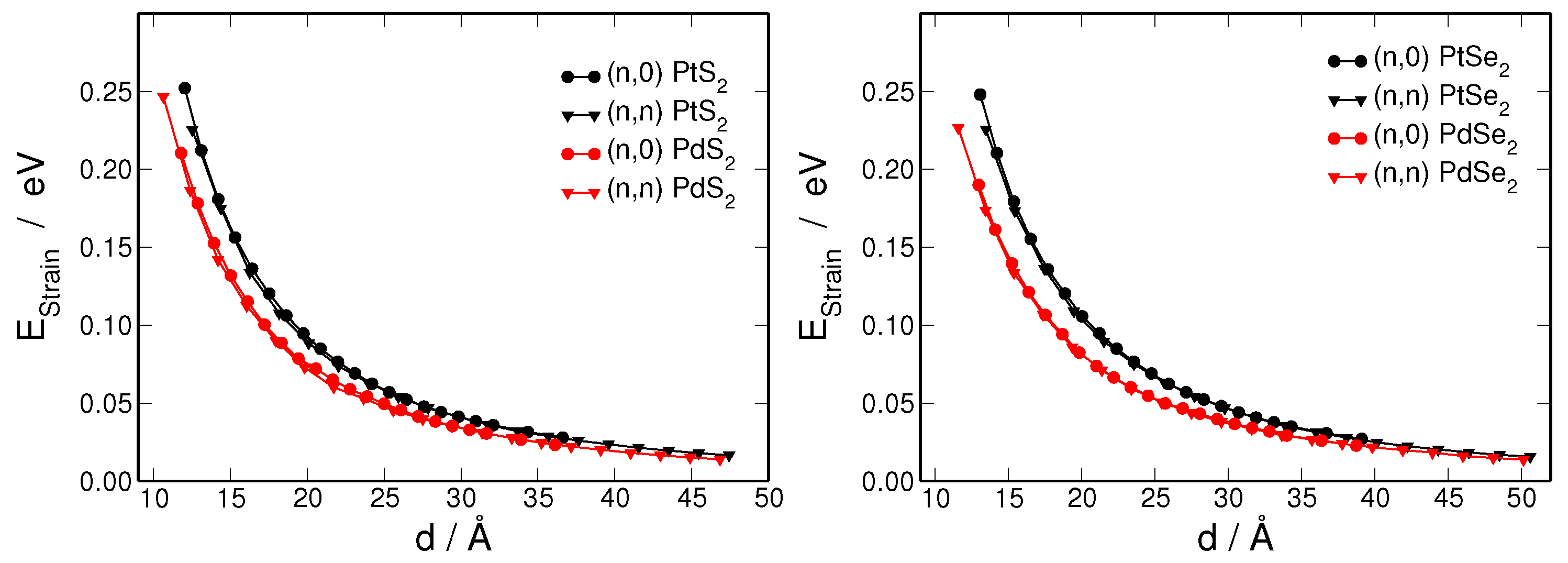
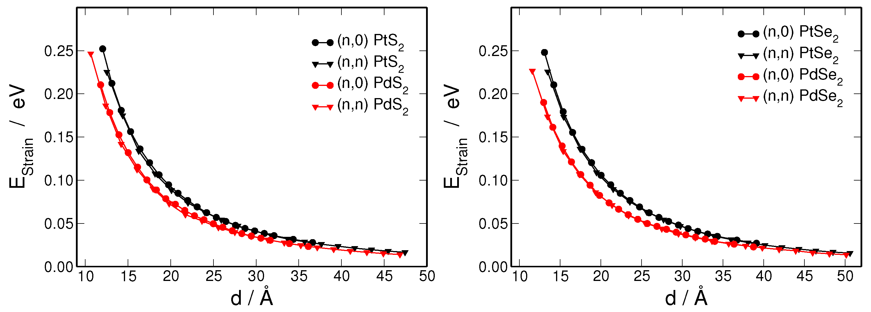
The stability of NTs can be expressed by the strain energy, EStrain, which is the difference of total energy per atom of the tube and the respective ML. Generally, the strain energy of NTs is correlated to the tube diameter through the archetypal relation EStrain ∼ 1/d2. The calculated EStrain of MX2 NTs with respect to their diameters (see Figure 3) follow the same dependence, where the strain energies decrease quadratically with the diameter and converge to the same value for all systems. The curves EStrain(d) were fitted to the equation EStrain = C/d2 with correlation coefficients greater than 0.999 and the values of coefficients C are given in the Table 1 for each system. We note that strain energies of the PdX2 NTs are smaller than for PtX2 NTs for small diameters, this means that PdX2 NTs are more stiff than PtX2 NTs in that range. Furthermore, the strain energy of noble-metal chalcogenide tubes is the same for both zigzag and armchair chiralities, whereas for MoS2 and WS2 counterparts, armchair NTs are more stable than zigzag NTs, especially for large diameters [46]. In addition, the coefficients C and the strain energy values of the noble-metal chalcogenide NTs are smaller than those of MoS2 and WS2 NTs. This means that noble-metal chalcogenide NTs are more favorable and easier to form than MoS2 and WS2 NTs.
Figure 3.
Strain energy vs. diameter of MX2 nanotubes.
Figure 3.
Strain energy vs. diameter of MX2 nanotubes.

Table 1.
Coefficients C ( in eV Å2) of the fitted curves EStrain = C/d2.
| System | Zigzag (n,0) | Armchair (n,n) |
|---|---|---|
| PtS2 | 36.60 | 35.71 |
| PtSe2 | 42.47 | 41.22 |
| PdS2 | 29.71 | 28.46 |
| PdSe2 | 32.50 | 31.38 |
| MoS2 [46] | 57.50 | 50.90 |
| WS2 [46] | 58.14 | 59.68 |
We have also investigated the electronic structure of these noble-metal chalcogenide systems. The MX2 MLs are found to be semiconducting with indirect band gaps of 1.26 eV, 1.75 eV, 0.74 eV and 1.38 eV for PdS2, PtS2, PdSe2, PtSe2, respectively. This is in agreement with the results of Miró et al. [39] for these MX2 MLs, where the obtained band gaps are 1.11 eV, 1.75 eV, 0.39 eV and 1.05 eV for PdS2, PtS2, PdSe2 and PtSe2, respectively, using similar level of theory.
The band gaps Δ versus the tube diameter of all MX2 NTs are plotted in Figure 4. Similar to MoS2 and WS2 NTs, these band gaps of MX2 NTs increase with the diameter and approach the band gaps of their respective MLs. For small d, the band gaps of armchair NTs become larger than zigazag NTs for all systems. Substituting Pd with Pt causes an increase in Δ, while replacing S by Se decreases it. The band structures of noble-metal MX2 MLs and NTs are depicted in Figure 5. Unlike MoS2 and WS2 MLs, where the band gaps are direct with values of 1.9 and 2.1 eV, respectively [47], the noble-metal MLs are all indirect bandgap semiconductors. This difference could be understood in the electronic configuration of the metal elements, as well as, in the 2H and 1T symmetries of MoS2/WS2 and the noble-metal chalcogenides, respectively. The MX2 chalcogenide NTs also exhibit indirect band gaps, for both zigazags and armchairs and for all systems, whereas MoS2 and WS2 NTs show direct and indirect band gaps for zigzag and armchair forms, respectively [46].
Figure 4.
Band gap vs. diameter of MX2 nanotubes.
Figure 4.
Band gap vs. diameter of MX2 nanotubes.

Figure 5.
Band structures of monolayers, (32,0), (18,18) nanotubes of MX2 systems, respectively.
Figure 5.
Band structures of monolayers, (32,0), (18,18) nanotubes of MX2 systems, respectively.

4. Conclusions
In analogy to the existing transition metal chalcogenide nanotubes, we have investigated hypothetical noble-metal chalcogenide nanotubes (PdS2, PdSe2, PtS2 and PtSe2 NTs) through density functional theory calculations. We have shown that formation of these nanotubes is possible, since they have smaller strain energies than MoS2 or WS2 nanotubes. Furthermore, we have found that the strain energy of the studied nanotubes is chirality independent and decreases inverse quadratically with the tube diameter. Moreover, PdX2 nanotubes are more stable than PtX2 for nanotubes with small diameters. We have also examined the electronic structure of noble-metal chalcogenide monolayers and nanotubes, which are found to be all indirect band gap semiconductors in the ranges of 0.6–1.1 eV (0.9–1.7 eV) and 0.3–0.8 eV (0.6–1.3 eV) for PdS2 (PtS2) and PdSe2 (PtSe2) NTs, respectively. These NTs band gaps increase with the diameter rapidly approaching that of the respective pristine 2D monolayer.
Acknowledgements
This work was supported by the German Research Council (Deutsche Forschungsgemeinschaft, HE 3543/18-1), the European Commission (FP7-PEOPLE-2009-IAPP QUASINANO, GA 251149 and FP7-PEOPLE-2012-ITN MoWSeS, GA 317451).
Author Contributions
Nourdine Zibouche, Agnieszka Kuc, Pere Miró and Thomas Heine generated, analyzed and discussed the results. Thomas Heine conceived this project. All authors contributed in writing this paper.
Conflicts of Interest
The authors declare no conflict of interest.
References
- Pauling, L. The structure of the chlorites. Proc. Natl. Acad. Sci. USA 1930, 16, 578–582. [Google Scholar] [CrossRef] [PubMed]
- Iijima, S. Helical Microtubules of Graphitic Carbon. Nature 1991, 354, 56–58. [Google Scholar] [CrossRef]
- Tenne, R.; Margulis, L.; Genut, M.; Hodes, G. Polyhedral and Cylindrical Structures of Tungsten Disulfide. Nature 1992, 360, 444. [Google Scholar] [CrossRef]
- Margulis, L.; Salitra, G.; Tenne, R.; Talianker, M. Nested fullerene-like structures. Nature 1993, 365, 113–114. [Google Scholar] [CrossRef]
- Chopra, N.G.; Luyken, R.J.; Cherrey, K.; Crespi, V.H.; Cohen, M.L.; Louie, S.G.; Zettl, A. Boron Nitride Nanotubes. Science 1995, 269, 966–967. [Google Scholar] [CrossRef] [PubMed]
- Yin, L.W.; Bando, Y.; Golberg, D.; Li, M.S. Growth of Single-Crystal Indium Nitride Nanotubes and Nanowires by a Controlled-Carbonitridation Reaction Route. Adv. Mater. 2004, 16, 1833–1838. [Google Scholar] [CrossRef]
- Spahr, M.; Bitterli, P.; Nesper, R.; Mueller, M.; Krumeich, F.; Nissen, H.U. Redoxaktive Nanoröhren aus Vanadiumoxid. Angew. Chem. 1998, 110, 1339–1342. [Google Scholar] [CrossRef]
- Kasuga, T.; Hiramatsu, M.; Hoson, A.; Sekino, T.; Niihara, K. Titania Nanotubes Prepared by Chemical Processing. Adv. Mater. 1999, 11, 1307–1311. [Google Scholar] [CrossRef]
- Yada, M.; Mihara, M.; Mouri, S.; Kuroki, M.; Kijima, T. Rare Earth (Er, Tm, Yb, Lu) Oxide Nanotubes Templated by Dodecylsulfate Assemblies. Adv. Mater. 2002, 14, 309–313. [Google Scholar] [CrossRef]
- Radovsky, G.; Popovitz-Biro, R.; Stroppa, D.G.; Houben, L.; Tenne, R. Nanotubes from Chalcogenide Misfit Compounds: Sn–S and Nb–Pb–S. Acc. Chem. Res. 2014, 47, 406–416. [Google Scholar] [CrossRef] [PubMed]
- Zhu, Y.Q.; Sekine, T.; Brigatti, K.S.; Firth, S.; Tenne, R.; Rosentsveig, R.; Kroto, H.W.; Walton, D.R.M. Shock-Wave Resistance of WS2 Nanotubes. J. Am. Chem. Soc. 2003, 125, 1329–1333. [Google Scholar] [CrossRef] [PubMed]
- Kaplan-Ashiri, I.; Cohen, S.R.; Gartsman, K.; Rosentsveig, R.; Ivanovskaya, V.; Heine, T.; Seifert, G.; Wagner, H.D.; Tenne, R. Mechanical properties of individual WS2 nanotubes. Electron. Prop. Synth. Nanostruct. 2004, 723, 306–312. [Google Scholar]
- Kaplan-Ashiri, I.; Cohen, S.R.; Gartsman, K.; Rosentsveig, R.; Seifert, G.; Tenne, R. Mechanical behavior of individual WS2 nanotubes. J. Mater. Res. 2004, 19, 454–459. [Google Scholar] [CrossRef]
- Kaplan-Ashiri, I.; Cohen, S.R.; Gartsman, K.; Rosentsveig, R.; Ivanovskaya, V.; Heine, T.; Seifert, G.; Wagner, H.D.; Tenne, R. Direct tensile tests of individual WS2 nanotubes. Mater. Sci. Forum 2005, 475–479, 4097–4102. [Google Scholar]
- Kaplan-Ashiri, I.; Cohen, S.R.; Gartsman, K.; Ivanovskaya, V.V.; Heine, T.; Seifert, G.; Wiesel, I.; Wagner, H.D.; Tenne, R. On the Mechanical Behavior of WS2 Nanotubes under Axial Tension and Compression. Proc. Natl. Acad. Sci. USA 2006, 103, 523–528. [Google Scholar] [CrossRef] [PubMed]
- Kaplan-Ashiri, I.; Tenne, R. Mechanical Properties of WS2 Nanotubes. J. Clust. Sci. 2007, 18, 549–563. [Google Scholar] [CrossRef]
- Rapoport, L.; Bilik, Y.; Feldman, Y.; Homyonfer, M.; Cohen, S.R.; Tenne, R. Hollow nanoparticles of WS2 as potential solid-state lubricants. Nature 1997, 387, 791–793. [Google Scholar]
- Rothschild, A.; Cohen, S.R.; Tenne, R. WS2 nanotubes as tips in scanning probe microscopy. Appl. Phys. Lett. 1999, 75, 4025. [Google Scholar] [CrossRef]
- Komarneni, M.R.; Yu, Z.; Burghaus, U.; Tsverin, Y.; Zak, A.; Feldman, Y.; Tenne, R. Characterization of Ni-Coated WS2 Nanotubes for Hydrodesulfurization Catalysis. Isr. J. Chem. 2012, 52, 1053–1062. [Google Scholar] [CrossRef]
- Zhang, W.; Ge, S.; Wang, Y.; Rafailovich, M.H.; Dhez, O.; Winesett, D.A.; Ade, H.; Shafi, K.V.; Ulman, A.; Popovitz-Biro, R. Use of functionalized WS2 nanotubes to produce new polystyrene/polymethylmethacrylate nanocomposites. Polymer 2003, 44, 2109–2115. [Google Scholar] [CrossRef]
- Unalan, H.E.; Yang, Y.; Zhang, Y.; Hiralal, P.; Kuo, D.; Dalal, S.; Butler, T.; Cha, S.N.; Jang, J.E.; Chremmou, K.; et al. ZnO Nanowire and WS2 Nanotube Electronics. IEEE Trans. Electron Devices 2008, 55, 2988–3000. [Google Scholar] [CrossRef]
- Wang, G.X.; Bewlay, S.; Yao, J.; Liu, H.K.; Dou, S.X. Tungsten Disulfide Nanotubes for Lithium Storage. Electrochem. Solid-State Lett. 2004, 7, A321–A323. [Google Scholar] [CrossRef]
- Hua, M.; Zhanliang, T.; Feng, G.; Jun, C.; Huatang, Y. Synthesis, characterization and hydrogen storage capacity of MS2 (M = Mo, Ti) nanotubes. Front. Chem. China 2006, 1, 260–263. [Google Scholar]
- Chen, J.; Li, S.L.; Tao, Z.L.; Gao, F. Low-temperature synthesis of titanium disulfide nanotubes. Chem. Commun. 2003, 980–981. [Google Scholar] [CrossRef]
- Remskar, M.; Mrzel, A.; Jesih, A.; Leperevy, F. Metal-Alloyed NbS2 Nanotubes Synthesized by the Self-Assembly of Nanoparticles. Adv. Mater. 2002, 14, 680–684. [Google Scholar] [CrossRef]
- Coleman, K.S.; Sloan, J.; Hanson, N.A.; Brown, G.; Clancy, G.P.; Terrones, M.; Terrones, H.; Green, M.L.H. The Formation of ReS2 Inorganic Fullerene-like Structures Containing Re4 Parallelogram Units and Metal–Metal Bonds. J. Am. Chem. Soc. 2002, 124, 11580–11581. [Google Scholar] [CrossRef] [PubMed]
- Chen, J.; Tao, Z.L.; Li, S.L.; Fan, X.B.; Chou, S.L. Synthesis of TiSe2 Nanotubes/Nanowires. Adv. Mater. 2003, 15, 1379–1382. [Google Scholar] [CrossRef]
- Li, P.; Stender, C.L.; Ringe, E.; Marks, L.D.; Odom, T.W. Synthesis of TaS2 Nanotubes from Ta2O5 Nanotube Templates. Small 2010, 6, 1096–1099. [Google Scholar] [CrossRef] [PubMed]
- Miro, P.; Audiffred, M.; Heine, T. An Atlas of Two-Dimensional Materials. Chem. Soc. Rev. 2014, 43, 6537–6554. [Google Scholar] [CrossRef] [PubMed]
- Nicolosi, V.; Chhowalla, M.; Kanatzidis, M.G.; Strano, M.S.; Coleman, J.N. Liquid Exfoliation of Layered Materials. Science 2013, 340. [Google Scholar] [CrossRef]
- Remskar, M.; Skraba, Z.; Regula, M.; Ballif, C.; Sanjines, R.; Levy, F. New crystal structures of WS2: Microtubes, ribbons, and ropes. Adv. Mater. 1998, 10, 246–249. [Google Scholar] [CrossRef]
- Catherine, M.; Zelenski, P.K.D. Template Synthesis of Near-Monodisperse Microscale Nanofibers and Nanotubules of MoS2. J. Am. Chem. Soc. 1998, 120, 734–742. [Google Scholar]
- Zhu, Y.Q.; Hsu, W.K.; Grobert, N.; Chang, B.H.; Terrones, M.; Terrones, H.; Kroto, H.W.; Walton, D.R.M. Production of WS2 Nanotubes. Chem. Mater 2000, 12, 1190–1194. [Google Scholar] [CrossRef]
- Feldman, Y.; Wasserman, E.; Srolovitz, D.J.; Tenne, R. High-Rate, Gas-Phase Growth of MoS2 Nested Inorganic Fullerenes and Nanotubes. Science 1995, 267, 222–225. [Google Scholar] [CrossRef] [PubMed]
- Gronvold, F.; Rost, E. On the sulfides, selenides and tellurides of palladium. Acta Chem. Scand. 1956, 10, 1620–1634. [Google Scholar] [CrossRef]
- Kjekshus, A.; Gronvold, F. High temperature X-ray study of the thermal expansionn of PtS2, PtSe2, PtTe2 and PdTe2. Acta Chem. Scand. 1959, 13, 1767–1774. [Google Scholar] [CrossRef]
- Gronvold, F.; Haraldsen, H.; Kjekshus, A. On the sulfides, selenides and tellurides of platinium. Acta Chem. Scand. 1960, 14, 1879–1893. [Google Scholar] [CrossRef]
- Wilson, J.A.; Yoffe, A.D. The Transition Metal Dichalcogenides Discussion and Interpretation of Observed Optical, Electrical and Structural Properties. Adv. Phys. 1969, 18, 193–335. [Google Scholar] [CrossRef]
- Miro, P.; Ghorbani-Asl, M.; Heine, T. Two Dimensional Materials Beyond MoS2: Noble-Transition-Metal Dichalcogenides. Angew. Chem. Int. Ed. 2014, 53, 3015–3018. [Google Scholar] [CrossRef] [PubMed]
- Perdew, J.P.; Burke, K.; Ernzerhof, M. Generalized gradient approximation made simple. Phys. Rev. Lett. 1996, 77, 3865. [Google Scholar] [CrossRef]
- Dovesi, R.; Saunders, V.R.; Roetti, R.; Orlando, R.; Zicovich-Wilson, C.M.; Pascale, F.; Civalleri, B.; Doll, K.; Harrison, N.M.; Bush, I.J.; et al. CRYSTAL09 User’s Manual; University of Torino: Torino, Italy, 2009. [Google Scholar]
- Peintinger, M.F.; Oliveira, D.V.; Bredow, T. Consistent Gaussian basis sets of triple-zeta valence with polarization quality for solid-state calculations. J. Comput. Chem. 2013, 34, 451–459. [Google Scholar] [CrossRef] [PubMed]
- Doll, K. Adsorption on the Pt surface a comparison of a gradient corrected functional and a hybrid functional. Surf. Sci. 2004, 573, 464–473. [Google Scholar] [CrossRef] [Green Version]
- Stoll, H.; Metz, B.; Dolg, M. Relativistic energy-consistent pseudopotentials–recent developments. J. Comput. Chem. 2002, 23, 767–778. [Google Scholar] [CrossRef] [PubMed]
- Monkhorst, H.J.; Pack, J.D. Special Points For Brillouin-Zone Integrations. Phys. Rev. B 1976, 13, 5188. [Google Scholar] [CrossRef]
- Zibouche, N.; Kuc, A.; Heine, T. From layers to nanotubes: Transition metal disulfides TMS2. Eur. Phys. J. B 2012, 85, 49. [Google Scholar] [CrossRef]
- Kuc, A.; Zibouche, N.; Heine, T. Influence of quantum confinement on the electronic structure of the transition metal sulfide TS2. Phys. Rev. B 2011, 83. [Google Scholar] [CrossRef]
© 2014 by the authors; licensee MDPI, Basel, Switzerland. This article is an open access article distributed under the terms and conditions of the Creative Commons Attribution license (http://creativecommons.org/licenses/by/4.0/).