Abstract
Titanium compounds are an integral component for paint pigments, food additives (E171), catalysts, precursors for resistant structural materials, medicine, and water, and air purification and disinfection processes. A new and rather promising trend for titanium dioxide production is obtaining it from minerals with magnesium titanium structure. Magnesium titanates obtained by pyrometallurgical processing of quartz–leucoxene concentrate (oil sandstones). It was found that the optimal pyrometallurgical processing conditions were 4 h and a temperature of 1425–1450 °C, with TiO2 → MgXTiYOZ conversion exceeding 95%, and that sulfation of the magnesium titanate mixture with 60–70% H2SO4 for 150–210 min allows a 95% extraction of titanium compounds into solution. Investigation of the mechanism of titanium compound precipitation from Mg-Ti-containing sulfuric acid solutions revealed that in the pH range from 3 to 6, only titanium compounds were extracted from solution, while coprecipitation of magnesium compounds begins only at pH above 6.5. The product obtained by precipitation is titanium dioxide with an anatase structure, with particle distribution ranging from 0.8 to 5.0 µm and a developed surface area over 250 m2/g with mesopores characteristic of sorption materials.
1. Introduction
Titanium and its compounds are an integral component of most industrial processes in developed countries. Paint pigments, food additives (E171) [1], catalysts, precursors for producing high-strength, chemically resistant structural materials, medicine, and the aerospace industry [2,3], as well as water and air purification and disinfection processes—this is just a short list of the main consumers of titanium compounds [4,5].
The primary sources of titanium compounds are ilmenite sandstones (China [6], Vietnam [7], and another country [8,9]) as well as various rutile concentrates and slags [10]. Recently, more and more information has emerged about a potential source of titanium—oil sandstone and quartz–leucoxene concentrate obtained from it (Athabasca oil sandstones, Canada [11,12] and the Timan field, Russia [13]).
The primary, most efficient process for producing titanium compounds is selective chlorination of rutile concentrates, titanium-containing slags, and other TiO2-rich but difficult-to-recover raw materials [14,15]. The mixture of metal chlorides is separated by distillation, and the resulting titanium tetrachloride is sent to steam-gas or thermal hydrolysis, yielding a wide range of hydrolysis products (acids, titanium dioxide) [16]. High environmental and industrial hazards and complex equipment significantly limit the application of the process and increase the cost of processing.
Unfortunately, direct selective chlorination is not used for processing quartz–leucoxene sandstones due to the high SiO2 content and significant excess consumption of chlorinating reagent, as well as the need for complex multi-stage distillation to separate ballast, low-quality SiCl4 [17].
Autoclave leaching [18], hydrofluoride technology [19], magnetizing or reducing roasting [17,18] processes, as well as silico- [20] and plasma thermal [21] processes are used as preliminary methods for preparing quartz–leucoxene raw materials. All of the above methods are variations in the enrichment process and do not produce industrial-grade titanium dioxide. The obtained enriched products with TiO2 content over 80–90% are sent for selective chlorination.
Despite multiple variations in primary processing of titanium-containing raw materials, the final stage of processing, which results in the generation of commercial product—titanium dioxide -is hydrolysis, precipitation, and heat treatment [22,23,24,25]. Major breakthroughs in this field are relatively few, and most of the research focuses on improving the traditional processes or changing the properties and characteristics of the obtained titanium dioxide.
Undoubtedly, the most common, well studied and economically validated method for producing titanium dioxide (as well as oxysulfate) is the process of sulfuric acid processing of ilmenite (the most common raw material), arizonite, pseudobrookite [8,9,15], which comprises the processes of ore sulfation, purification of titanium-containing solution of iron sulfates (reduction with metallic iron and crystallization at low temperature) and thermal hydrolysis with precipitation of ortho- and metatitanic acids. Unfortunately, the reserves of ilmenite of the required quality have a rather specific localization and are limited in quantity, which leads to the growing selling price of the obtained product [26,27,28].
Another equally important aspect of producing titanium compounds from ilmenite concentrate is the generation of enormous quantities of hazardous waste—hydrolytic sulfuric acid contaminated with iron sulfates with concentrations of several tens of grams per liter. Despite extensive research worldwide, so far, there is no comprehensive and economically/environmentally sound scheme for processing or decontaminating hydrolytic sulfuric acid. The key factor influencing the formation of hydrolytic sulfuric acid and the quality of the obtained titanium dioxide is the content of iron impurities. The higher their content, the greater the consumption of reducing agents, the higher iron concentration in hydrolytic acid, and, of course, the higher iron impurity content in the final product [29].
A new and rather promising trend for titanium dioxide production is obtaining it from minerals with magnesium titanium structure. Magnesium titanates obtained by pyrometallurgical processing of quartz–leucoxene concentrate demonstrate a high reactivity with sulfuric acid solutions, while precipitation of titanium compounds from magnesium-containing solutions is preferable as compared to iron-containing products [17]. Magnesium compounds not only precipitate at higher pH (11.0–12.0 versus 3.0–4.0 for iron III), but also lack a specific color, and their reduction products during smelting or use as components of compounds or food additives are completely safe.
The objective of this work is to develop a process flowchart for the production of titanium dioxide from magnesium titanates obtained by pyrometallurgical processing of quartz–leucoxene concentrate, a product of oil sandstone beneficiation [17].
To achieve this objective, the following tasks should be resolved:
- To investigate the pyrometallurgical conversion of quartz–leucoxene concentrate in the presence of magnesium oxide to magnesium titanates.
- To investigate the magnesium titanate sulfation process.
- To determine the precipitation conditions of titanium and magnesium compounds from individual and binary solutions.
- To investigate the properties of the obtained titanium dioxide.
2. Results and Discussion
At the first stage of experiments, data on the effect of temperature and processing time on the degree of phase transformations of the quartz–leucoxene concentrate—magnesium oxide system into the magnesium titanates phase were collected (reactions (1)–(3)).
MgO + TiO2 → MgTiO3
2MgO + TiO2 → Mg2TiO4 (2MgO·TiO2)
MgO + 2TiO2 → MgTi2O5 (MgO 2TiO2)
Data on the influence of temperature and time in the process of thermochemical (pyrometallurgical) conversion are presented in Figure 1.
Figure 1.
Dependence of the degree of conversion on the temperature and time of the process (conversion degree for reaction (1)–(3)).
Figure 1 clearly demonstrates that the conversion degree in reactions (1)–(3) increases with growing temperature. Temperature increase from 1400 °C to 1425 °C allowed reducing the heat treatment time and increasing the conversion efficiency to 95.4%. The following pyrometallurgical processing conditions were recognized as the most efficient: time—4 h, temperature 1425–1450 °C. Further temperature growth augmented the conversion degree by 0.1–0.2%, while significantly increasing the energy consumption. The obtained product was ground to 45–75 µm and analyzed for the contents of the main components. The phase composition of the sample is shown in the diffraction pattern in Figure 2.
Figure 2.
Diffraction pattern of a sample obtained by thermochemical treatment of quartz–leucoxene concentrate—MgO mixture [17].
As can be seen from the diffraction pattern, the product has a high content of silicon dioxide (quartz) released from quartz–leucoxene grains. This fully inert (except HF) component will have a negative effect [18,19] for any processes of extracting titanium compounds from ores. It will also have a negative effect on the sulfation of magnesium titanates due to both low reactivity (a ballast, inactive phase in the leaching reactor, and, as experts believe, a decrease in the ratio of solid to liquid phases) and by increasing the solution viscosity (formation of meta- and orthosilicic acids).
To isolate the amorphous (chemically inactive) silicon dioxide impurity, the froth flotation method was applied in the presence of primary aliphatic and ether amines [30]. Data on the sample composition before and after flotation are presented in Table 1.
Table 1.
Composition of the magnesium titanate sample before and after flotation concentration.
Table 1 clearly demonstrates that flotation reduces silicon compound content by 82.5%. The remaining silicon compounds are, probably, partially bound and will be removed at the sulfation stage. The removal of quartz during selective flotation leads to its accumulation in flotation foam (a combination of SiO2-aliphatic and ether amines), and the resulting titanium-containing concentrate will interact more actively with acids due to the increase in the solid-to-liquid ratio (and the exclusion of the ballast additive SiO2).
The next stage of the experiments involved sulfation of the concentrate (reactions (4)–(6)). Sulfuric acid concentration was 50–80% by weight, and the S/L ratio was 1:3 at the boiling point of sulfuric acid solutions (respectively, 50% by weight—124.4 °C; 60% by weight—141.8 °C; 70% by weight—169.2 °C; 80% by weight—210.2°).
MgTiO3 + 2H2SO4 → MgSO4 + TiOSO4 + 2H2O
Mg2TiO4 + 3H2SO4 → 2MgSO4 + TiOSO4 + 3H2O
MgTi2O5 + 3H2SO4 → MgSO4 + 2TiOSO4 + 3H2O
Data on the effect of sulfuric acid concentration on the extraction of titanium compounds into solution are presented in a diagram in Figure 3.
Figure 3.
Degree of sulfuric acid titanium extraction into solution.
Analyzing data in Figure 3, it is clear that magnesium titanate sulfation is rather intense, reaching its maximum (over 98–99%) after just 3.5 h.
A decrease in titanium concentration in solution after 3.5 h and the extraction rates calculated from this point to the onset of thermal hydrolysis of titanium oxysulfate and its precipitation from solution [31]. Atomic emission analysis of precipitates (sintering with alkali, dissolution in acid) showed an increase in the concentration of titanium compounds from 0.4 to 3.9% for 3.5 and 5.0 h of leaching, respectively.
The decanted and filtered solution (15 µm filter) is a mixture of titanium and magnesium sulfates in the amounts of 140 g/dm3 and 68 g/dm3, respectively, along with 19 g/dm3 of free sulfuric acid.
The composition of leaching residue (solid waste) obtained using 70% sulfuric acid is represented by the following components:
- SiO2—99.1%
- TiO2—0.4%
- Fe2O3—0.12%
- Al2O3—0.11%
- CaSO4·2H2O—0.27%
At the next stage of experiments, the process of hydrolytic precipitation of titanium and magnesium compounds from individual and binary solutions was studied. Data on the efficiency of titanium and magnesium compound extraction from sulfuric acid solutions depending on precipitation pH are presented in the diagram in Figure 4.
Figure 4.
Effect of pH on the precipitation degree of metals from solution.
Figure 4 clearly demonstrates that precipitation of titanium compounds occurs quantitatively in the pH range of 3–6, without any recorded coprecipitation of magnesium compounds. Coprecipitation of magnesium compounds begins at pH 6.5 and reaches its maximum at pH 11–12. Titanium compounds begin to dissolve at pH values above 7–8 with the formation of titanates, which is consistent with published data.
To improve energy and resource conservation, neutralization of sulfuric acid solutions to a pH of 3.0–3.5 can be carried out with magnesium oxide, followed by adjustment with sodium hydroxide to a pH of 6.0–7.0. The resulting neutral magnesium sulfate solutions, after drying, can be used as a fertilizer or a component of construction mixtures (Sorel cement).
The obtained precipitate was filtered, washed, dried, and analyzed using a scanning microscope. The results of the analysis are presented in the photos in Figure 5 and the diffraction pattern in Figure 6.
Figure 5.
Elemental composition of precipitate from the precipitation process of a TiOSO4-MgSO4 mixture (yellow—oxygen, purple—titanium).
Figure 6.
Diffraction pattern of precipitate from the precipitation process of a TiOSO4-MgSO4 mixture.
Data presented in Figure 5 and Figure 6 clearly demonstrate that the obtained precipitate is titanium dioxide in the form of anatase. The total amount of magnesium impurities does not exceed 0.1–0.2% by weight.
Key commercial characteristics of titanium dioxide are particle size and specific surface area. Most of the precipitated titanium dioxide particles are in the range of 0.8–5 µm, which meets the requirements for photocatalytic, food-grade, and pharmaceutical-grade titanium oxide [1,2,3,31,32,33].
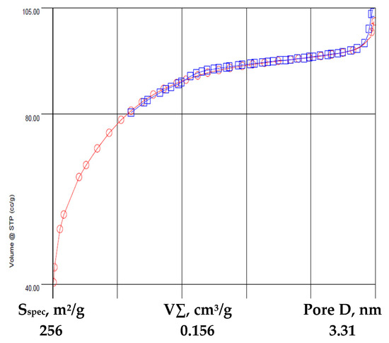
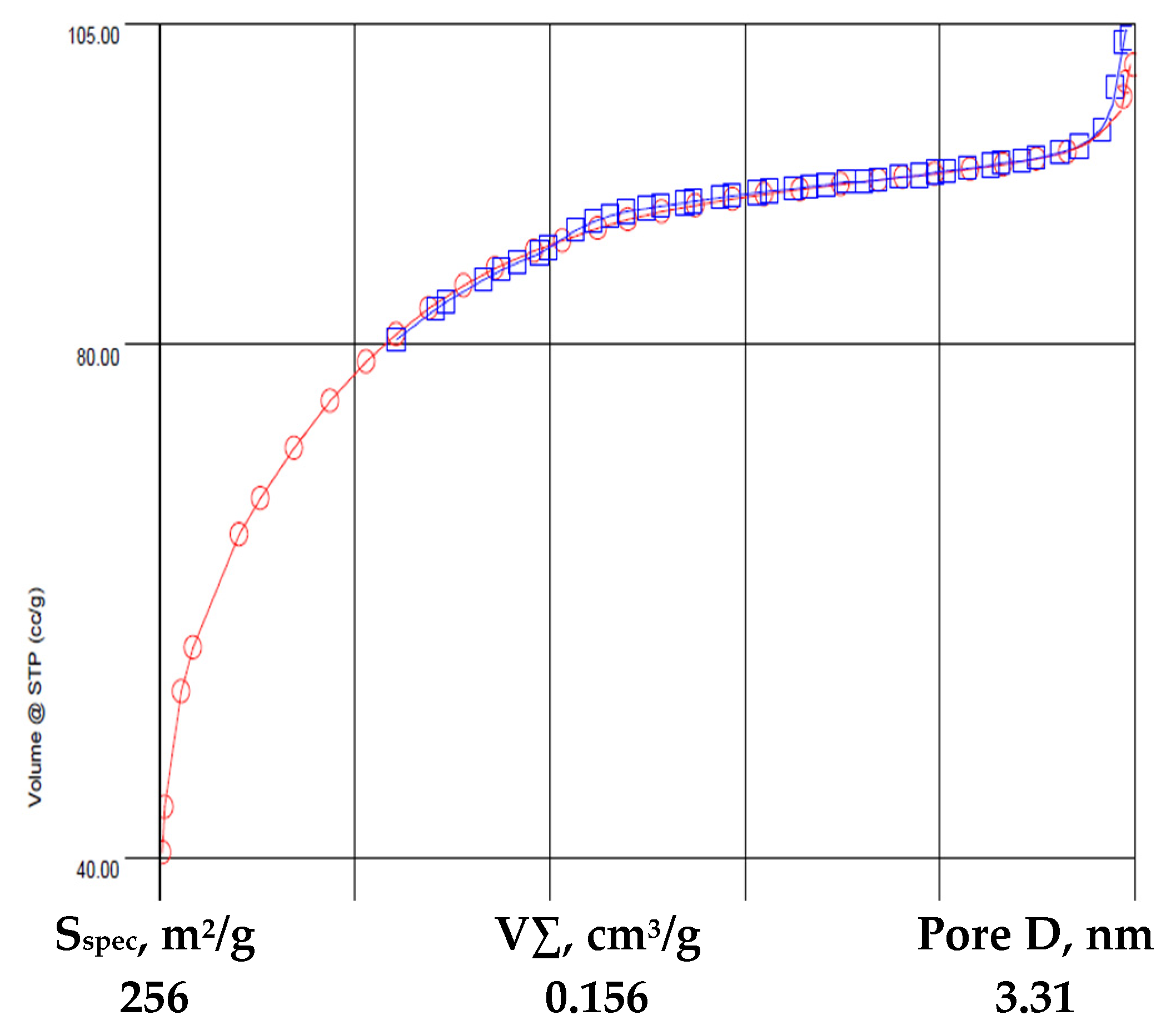
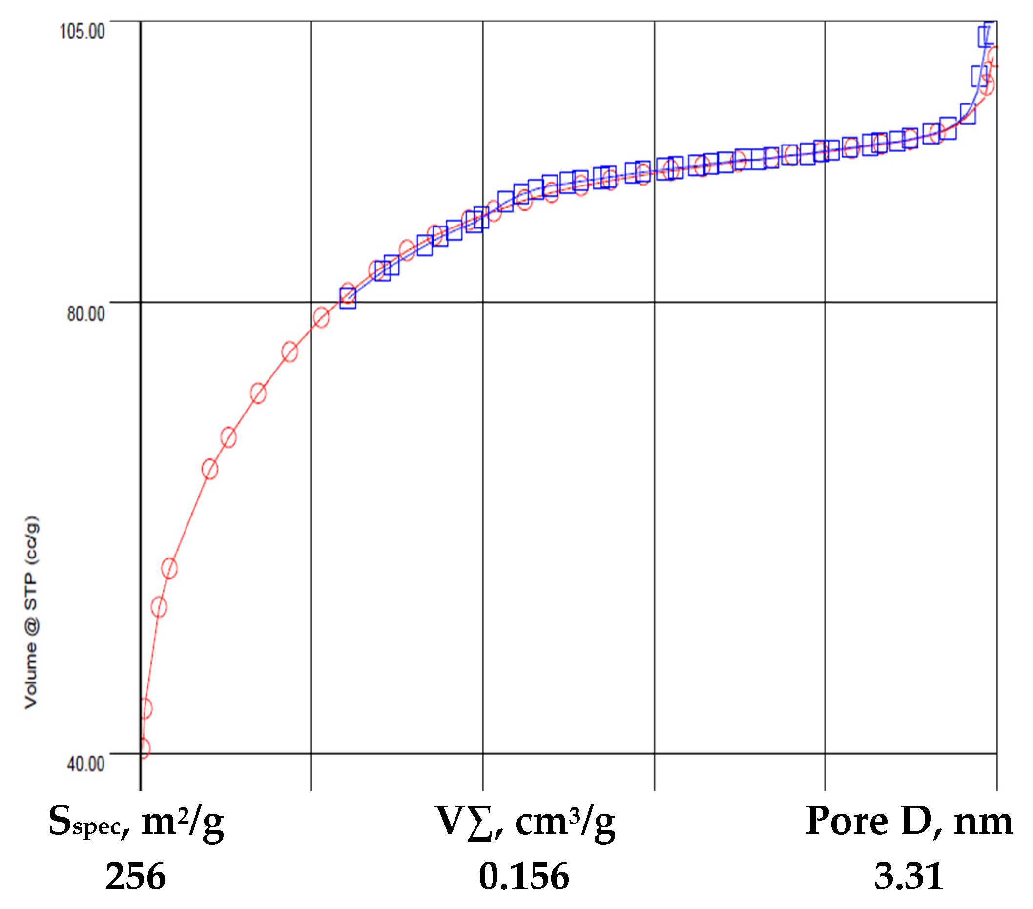
The final stage of research involved the determination of the surface characteristics of the obtained titanium dioxide. Nitrogen sorption/desorption isotherms were measured using the BET/BJH method, and specific surface area, volume, and size of pores were calculated from these isotherms. The results are presented in a diagram in Figure 7.
Figure 7.
Results of DET/BJH analyses of titanium dioxide.
The presented data clearly demonstrate that the obtained anatase has a developed adsorption surface (more than 250 m2/g) and a pronounced mesoporous structure. The zeta potential of dioxide dispersion in water (100 mg/dm3, pH 7.0) is 26–45 mV, which indicates the stability of the dispersed system, high adsorption, and catalytic properties similar to those of industrial titanium dioxide, like DEGUSA P25 or Kemira Pigments [1,2,3,31,32].
Analyzing the data obtained in this study, it is worth noting the following advantages of the proposed titanium dioxide production technology compared to the traditional sulfuric acid method of ilmenite processing [8,9,15]:
1. Sulfation of magnesium titanates is significantly faster (3.5 h, compared to the traditional 6–8 h) than sulfation of ilmenite concentrates.
2. The use of magnesium titanates and sulfate solutions obtained from them eliminates the step of reducing iron compounds, which has a direct resource-saving effect.
3. Precipitation of titanium dioxide from magnesium-titanium sulfate solutions allows for the production of titanium dioxide free of iron impurities, significantly improving its properties and reducing the consumption of water and reagents for washing.
4. The use of the developed technology eliminates the formation of a highly hazardous waste product from the production of titanium dioxide from ilmenite—hydrolytic sulfuric acid (5–10% sulfuric acid solutions with a high iron sulfate content) [34].
5. Solutions containing magnesium sulfate can be evaporated to produce a valuable fertilizer or a Sorel cement [35,36].
3. Materials and Methods
Magnesium titanate samples were obtained by pyrometallurgical (thermochemical) treatment of a pre-crushed (less than 45 μm) mixture of quartz–leucoxene concentrate (mixture of 51% SiO2, 42% TiO2, and 7% other impurities FeO/Fe2O3, MgO, and Al2O3) obtained from the Timan field, Russia [17,18,19,20,21], and brucite (99.9% MgO produced by Sigma Aldrich. St. Louis, MO, USA) at different temperatures, varying the process time. The temperature of the onset of phase formation in the system was taken to be 1350 °C [17].
Individual magnesium- or titanium-containing sulfuric acid solutions were neutralized with 1% sodium hydroxide solution, centrifuged at 5000 rpm for 5 min, and analyzed for titanium compounds and impurity metals. The degree of metal precipitation from solution (Cextraction) was determined from the following formula:
where Cinit is the metal content in solution, and Csol is the metal concentration in solution after precipitation.
The forming precipitate was washed three times with distilled water and dried at 105 °C for 5 h.
Elemental content in solid samples was measured using scanning electron microscopy on an OMICRON ESCA+ spectrometer. Spectra were recorded by an Argus hemispherical detector-analyzer (Scienta Omicron, Taunusstein, Germany).
Phase composition of samples was studied by X-ray diffraction on a TDM-10 diffractometer at Dandong Tongda Science & Technology Co., Ltd. (Dandong, China).
Particle sizes and zeta potentials of dispersed particles were determined using Analysette 22 NanoTec (Fritsch, Idar-Oberstein, Germany) and Zetasizer Nano (Malvern Panalytical, Malvern, Worcestershire, United Kingdom), respectively.
Sample surface characteristics (BET/BJH) were determined on a Gemini VII 2390t automatic specific surface area and porosity analyzer (Micromeritics Instrument Corp., Norcross, GA, USA).
pH of solutions was determined by Portable Meters HQ1110 pH ion meter (HACH, Loveland, CO, USA).
Sample preparation was performed on the Milestone Ethos Up/Ethos Easy microwave sample preparation device (Milestone, Sorisole, Italy).
Metal content of solutions was determined by magnetic plasma atomic emission spectroscopy using the Spektrosky instrument (SkyGrad, Korolev, Russia) [37].
4. Conclusions
The process proposed in the work will make it possible to take a step towards solving the problem of processing oil sands, which corresponds to SDG 12.
It was found that the optimal pyrometallurgical processing conditions were 4 h and a temperature of 1425–1450 °C, with TiO2 → MgXTiYOZ conversion exceeding 95%. It was proved that sulfation of a magnesium titanate mixture with 60–70% sulfuric acid for 150–210 min allows a 95% extraction of titanium compounds into solution.
Investigation of the mechanism of titanium compound precipitation from Mg-Ti-containing sulfuric acid solutions allows conducting high-selectivity separation of Ti/Mg through pH control with the production of high surface area (over 250 m2/g) anatase titanium dioxide suitable for industrial applications as a pigment and catalyst for photodegradation processes.
Funding
This research received no external funding.
Institutional Review Board Statement
Not applicable.
Informed Consent Statement
Not applicable.
Data Availability Statement
The original contributions presented in this study are included in the article. Further inquiries can be directed to the corresponding author.
Acknowledgments
The author expresses his deep gratitude to his scientific supervisor, Natalia Kruchinina, Department of Industrial Ecology, Mendeleev University of Chemical Technology of Russia.
Conflicts of Interest
The author declares no conflicts of interest.
References
- Boutillier, S.; Fourmentin, S.; Laperche, B. History of titanium dioxide regulation as a food additive: A review. Environ. Chem. Lett. 2022, 20, 1017–1033. [Google Scholar] [CrossRef]
- Farooq, N.; Kallem, P.; ur Rehman, Z.; Imran, K.M.; Kumar, G.R.; Tahseen, T.; Mushtaq, Z.; Ejaz, N.; Shanableh, A. Recent trends of titania (TiO2) based materials: A review on synthetic approaches and potential applications. J. King Saud Univ. Sci. 2024, 36, 103210. [Google Scholar] [CrossRef]
- Haider, A.J.; Jameel, Z.N.; Al-Hussaini, I.H. Review on: Titanium Dioxide Applications. Energy Procedia 2019, 157, 17–29. [Google Scholar] [CrossRef]
- Lazić, V.; Nikšić, V.; Nedeljković, J.M. Application of TiO2 in Photocatalytic Bacterial Inactivation: Review. Int. J. Mol. Sci. 2025, 26, 10593. [Google Scholar] [CrossRef]
- Zoubi, W.A.; Al-Hamdani, A.A.S.; Sunghun, B.; Ko, Y.G. A review on TiO2- based composites for superior photocatalytic activity. Rev. Inorg. Chem. 2021, 41, 213–222. [Google Scholar] [CrossRef]
- Qiu, G.; Guo, Y. Current situation and development trend of titanium metal industry in China. Int. J. Miner. Metall. Mater. 2022, 29, 599–610. [Google Scholar] [CrossRef]
- Nam, B.; Giao, H. Status of development orientations for mining titanium placer in Vietnam. Min. Sci. Technol. 2016, 1, 40–50. [Google Scholar] [CrossRef][Green Version]
- Aviandharie, S.A.; Aidha, N.N.; Jati, B.N.; Ermawati, R.; Cahyaningtyas, A.A. TiO2 Purification from Ilmenite the Tin Industry By-Product for Pigment. J. Phys. Conf. Ser. 2020, 1503, 012030. [Google Scholar] [CrossRef]
- Sampath, A.H.J.; Wickramasinghe, N.D.; de Silva, K.M.N.; de Silva, R.M. Methods of Extracting TiO2 and Other Related Compounds from Ilmenite. Minerals 2023, 13, 662. [Google Scholar] [CrossRef]
- Ma, J.; Fu, G.Q.; Li, W.; Zhu, M.-Y. Influence of TiO2 on the melting property and viscosity of Cr-containing high-Ti melting slag. Int. J. Miner. Metall. Mater. 2020, 27, 310–318. [Google Scholar] [CrossRef]
- Baritto, M.; Kumar, A. The development of process-based techno-economic models for the assessment of critical minerals recovery from bitumen extraction tailings. Miner. Eng. 2025, 232, 109583. [Google Scholar] [CrossRef]
- Wang, D.; Wang, D.; Tan, X.; Yeung, A.; Liu, Q. A review of the roles of constituent minerals and residual bitumen in the solid-liquid separation of oil sands tailings. J. Hazard. Mater. 2023, 451, 131178. [Google Scholar] [CrossRef]
- Makeyev, A.B.; Skublov, S.G.; Galankina, O.L.; Vasiliev, E.A.; Krasotkina, A.O. Pseudorutile-leucoxene-quartz ores of Timan—A new genetic type of titanium raw materials: Prospects for industrial development. Georesursy 2023, 25, 163–174. [Google Scholar] [CrossRef]
- Gázquez, M.; Bolívar, J.; Garcia-Tenorio, R.; Vaca, F. A Review of the Production Cycle of Titanium Dioxide Pigment. Mater. Sci. Appl. 2014, 5, 441–458. [Google Scholar] [CrossRef]
- Maldybayev, G.; Korabayev, A.; Sharipov, R.; Al Azzam, K.M.; Negim, E.S.; Baigenzhenov, O.; Alimzhanova, A.; Panigrahi, M.; Shayakhmetova, R. Processing of titanium-containing ores for the production of titanium products: A comprehensive review. Heliyon 2024, 10, e24966. [Google Scholar] [CrossRef]
- Wang, T.-H.; Navarrete-López, A.M.; Li, S.; Dixon, D.A.; Gole, J.L. Hydrolysis of TiCl4: Initial Steps in the Production of TiO2. J. Phys. Chem. A 2010, 114, 7561–7570. [Google Scholar] [CrossRef]
- Kuzin, E.N.; Mokrushin, I.G.; Kruchinina, N.E. Assessment of the possibility of using leucoxene-quartz concentrate as raw material for production of aluminium and magnesium titanates. J. Min. Inst. 2023, 264, 886–894. [Google Scholar] [CrossRef]
- Zablotskaya, Y.V.; Sadykhov, G.B.; Olyunina, T.V.; Goncharenko, T.V. Prospects for development of the Yaregskoye field as a source for obtaining artificial rutile and wollastonite. Chernaya Metall. Byulleten Nauchno-Tekhnicheskoi Ekon. Informatsii 2015, 9, 12–15. [Google Scholar]
- Perovskiy, I.A.; Burtsev, I.N.; Ponaryadov, A.V.; Smorokov, A.A. Ammonium fluoride roasting and water leaching of leucoxene concentrates to produce a high-grade titanium dioxide resource (of the Yaregskoye deposit, Timan, Russia). Hydrometallurgy 2022, 210, 105858. [Google Scholar] [CrossRef]
- Nikolaev, A.A.; Kirpichev, D.E.; Nikolaev, A.V. Thermophysical parameters of the anode region of plasma arc under the reduction smelting of quartz-leucoxene concentrate in a metal-graphite reactor. Inorg. Mater. Appl. Res. 2020, 11, 563–567. [Google Scholar] [CrossRef]
- Istomina, E.I.; Istomin, P.V.; Nadutkin, A.V.; Grass, V.E. Desiliconization of leucoxene concentrate through the vacuum silicothermic reduction. Novye Ogneupory 2020, 3, 5–9. [Google Scholar] [CrossRef]
- Shakeel, N.; Piwoński, I.; Iqbal, P.; Kisielewska, A. Green Synthesis of Titanium Dioxide Nanoparticles: Physicochemical Characterization and Applications: A Review. Int. J. Mol. Sci. 2025, 26, 5454. [Google Scholar] [CrossRef] [PubMed]
- Chandoliya, R.; Sharma, S.; Sharma, V.; Joshi, R.; Sivanesan, I. Titanium Dioxide Nanoparticle: A Comprehensive Review on Synthesis, Applications and Toxicity. Plants 2024, 13, 2964. [Google Scholar] [CrossRef] [PubMed]
- Rajaram, P.; Jeice, A.R.; Jayakumar, K. Review of green synthesized TiO2 nanoparticles for diverse applications. Surf. Interfaces 2023, 39, 102912. [Google Scholar] [CrossRef]
- Macwan, D.P.; Dave, P.N.; Chaturvedi, S. A review on nano-TiO2 sol–gel type syntheses and its applications. J. Mater. Sci. 2011, 46, 3669–3686. [Google Scholar] [CrossRef]
- Abdelgalil, M.S.; El-Barawy, K.; Ge, Y.; Xia, L. The Recovery of TiO2 from Ilmenite Ore by Ammonium Sulfate Roasting–Leaching Process. Processes 2023, 11, 2570. [Google Scholar] [CrossRef]
- Dubenko, A.V.; Nikolenko, M.V.; Kostyniuk, A.; Likozar, B. Sulfuric Acid Leaching of Altered Ilmenite Using Thermal, Mechanical and Chemical Activation. Minerals 2020, 10, 538. [Google Scholar] [CrossRef]
- Khalloufi, E.; Drevelle, M.; Soucy, O.G. Titanium: An Overview of Resources and Production Methods. Minerals 2021, 11, 1425. [Google Scholar] [CrossRef]
- Thambiliyagodage, C.; Wijesekera, R.; Bakker, M.G. Leaching of ilmenite to produce titanium based materials: A review. Discover Mater. 2021, 1, 20. [Google Scholar] [CrossRef]
- Massola, C.P.; Chaves, A.P.; Lima, J.R.B.; Andrade, C.F. Separation of silica from bauxite via froth flotation. Miner. Eng. 2009, 22, 315–318. [Google Scholar] [CrossRef]
- Shabanova, N.A.; Popov, V.V.; Sarkisov, P.D. The Chemistry and Technology of Nanodispersed Oxides; Learner’s Guide; IKTs “Akademkniga”: Moscow, Russia, 2007; p. 309. [Google Scholar]
- Song, C.; Xiao, L.; Chen, Y.; Yang, F.; Meng, H.; Zhang, W.; Zhang, Y.; Wu, Y. TiO2-Based Catalysts with Various Structures for Photocatalytic Application: A Review. Catalysts 2024, 14, 366. [Google Scholar] [CrossRef]
- Lin, Y.; Qian, Q.; Chen, Z.; Dinh Tuan, P.; Feng, D. Fabrication of high specific surface area TiO2 nanopowders by anodization of porous titanium. Electrochem. Commun. 2022, 136, 107234. [Google Scholar] [CrossRef]
- Han, F.; Wang, M.; Liu, W.; Song, W. Recovery of sulfuric acid and iron from titanium dioxide waste acid by membrane electrolysis combined with selective electrodialysis. Sep. Purif. Technol. 2024, 344, 127199. [Google Scholar] [CrossRef]
- Bai, R.; Liu, H.; Liu, Y.; Yong, J.W.H. Effects of Foliar Application of Magnesium Fertilizer on Photosynthesis and Growth in Grapes. Agronomy 2024, 14, 2659. [Google Scholar] [CrossRef]
- Liu, P.; Dong, J.; Chang, C.; Zheng, W.; Liu, X.; Xiao, X.; Wen, J. Preparation of Low-Cost Magnesium Oxychloride Cement Using Magnesium Residue Byproducts from the Production of Lithium Carbonate from Salt Lakes. Materials 2021, 14, 3899. [Google Scholar] [CrossRef] [PubMed]
- Kuzin, E.N. Application of atomic emission spectroscopy with microwave (magnetic) plasma in the processes of identifying the chemical composition of steelmaking waste. Chernye Metally 2022, 10, 79–82. [Google Scholar] [CrossRef]
Disclaimer/Publisher’s Note: The statements, opinions and data contained in all publications are solely those of the individual author(s) and contributor(s) and not of MDPI and/or the editor(s). MDPI and/or the editor(s) disclaim responsibility for any injury to people or property resulting from any ideas, methods, instructions or products referred to in the content. |
© 2026 by the author. Licensee MDPI, Basel, Switzerland. This article is an open access article distributed under the terms and conditions of the Creative Commons Attribution (CC BY) license.






