Abstract
The multi-sublattice ferrimagnet Co2FeO2BO3, a prominent example of lanthanide-free magnets, was the subject of element-selective studies using X-ray magnetic circular dichroism (XMCD) observations at the L- and K- X-ray absorption edges. Research findings indicate that the distinct magnetic characteristics of Co2FeO2BO3, namely its remarkable high coercivity (which surpasses 7 Tesla at low temperatures), originate from an atypical arrangement of magnetic ions in the crystal structure (sp.gr. Pbam). The antiferromagnetic nature of the Co2+-O-Fe3+ exchange interaction was confirmed by identifying the spin and orbital contributions to the total magnetization from Co (mL = 0.27 ± 0.1 μB/ion and meffS = 0.53 ± 0.1 μB/ion) and Fe (mL = 0.05 ± 0.1 μB/ion and meffS = 0.80 ± 0.1 μB/ion) ions through element-selective XMCD analysis. Additionally, the research explicitly revealed that the strong magnetic anisotropy is a result of the significant unquenched orbital magnetic moment of Co, a feature that is also present in the related compound Co3O2BO3. A complex magnetic structure in Co2FeO2BO3, with infinite Co²⁺O6 layers in the bc-plane and strong antiferromagnetic coupling through Fe3⁺ ions, is suggested by element-selective hysteresis data, which revealed that Co²⁺ ions contribute both antiferromagnetic and ferromagnetic components to the total magnetization. The findings underline the suitability of Co2FeO2BO3 for applications in extreme environments, such as low temperatures and high magnetic fields, where its unique magnetic topology and anisotropy can be harnessed for advanced technologies, including materials for space exploration and quantum devices. This XMCD study opens the door to the production of novel high-coercivity, lanthanide-free magnetic materials by showing that targeted substitution at specific crystallographic sites can significantly enhance the magnetic properties of such materials.
1. Introduction
Permanent magnets play a crucial role in modern technologies, ranging from electronic devices to renewable energy sources [1,2]. Although significant advancements have been made in developing powerful magnets like Nd2Fe14B and SmCo5, progress in creating new permanent magnets with enhanced properties has slowed. This slowdown is partly due to concerns about the availability and environmental impact of lanthanides, which has increased interest in alternative materials such as strontium ferrites [3] and single-molecule [4,5,6] and single-chain magnets [7,8]. Researchers are particularly focused on developing lanthanide-free hard magnets using charge-ordering phenomena [9], which stabilize magnetic nanodomains and enhance resistance to demagnetization. One promising area of research involves multi-component systems, such as transition metal oxyborates like M2+2M3+O2BO3 with the mineral ludwigite structure (sp. gr. Pbam), where M represents a transition metal or a metalloid. These materials exhibit charge-ordering properties [10,11,12,13,14,15,16,17,18] and show potential for creating magnets with high coercive force and magnetic anisotropy [13,19,20]. Additionally, their ability to operate in extreme environments, such as low temperatures and high magnetic fields, makes them particularly suitable for studying fundamental quantum cooperative phenomena like Bose–Einstein condensation, exotic magnetism, and spin-density waves.
Fe3O2BO3 and Co3O2BO3 are the only known homometallic ludwigites, recognized for their complex magnetic behaviors, primarily due to their crystal structures, which contain four non-equivalent crystallographic sites. In Fe3O2BO3, multiple transitions take place, including a structural transformation at TS= 283 K, where Fe2+ and Fe3+ ions pair up to form dimers in a 4–2–4 triad configuration (Fe3+—Fe2+—Fe3+ bound charge states) [10,21]. This structural change leads to antiferromagnetic (AFM) ordering at TN = 112 K. As the temperature decreases further, the material transitions to ferromagnetic chains in a 3–1–3 spin ladder at T = 74 K [12], and finally to an AFM state at T = 30 K [22,23]. In this low-temperature AFM phase, the direction of magnetic anisotropy transitions from the a-axis to the b-axis, with the coercive force reaching a peak of approximately 3 T at T = 35 K.
In contrast, Co3O2BO3 exhibits typical behavior, characterized by a single ferrimagnetic transition at TN = 42 K along the b-axis. This transition is characterized by high uniaxial magnetic anisotropy and a coercive field of ~2 T at T = 2 K [11,22,24,25,26]. Replacing nonmagnetic Co3+ ions in Co3O2BO3 with magnetic Fe3+ ions to create Co2FeO2BO3 significantly alters its magnetic properties. This replacement results in a twofold increase in the ferrimagnetic transition temperature, reaching TN2 = 70 K, and additionally brings about an AFM transition at TN1 = 115 K along the b-axis [13,19,20,27]. Replacing nonmagnetic Co3+ ions with magnetic Fe3+ ions leads to a threefold reduction in remanent magnetization (from Mr = 3.5 μB/f.u. to Mr = 1.1 μB/f.u.), attributed to antiferromagnetic interactions between Co and Fe. At the same time, the material’s magnetic hardness is enhanced, producing coercive fields exceeding 7 T at temperatures below 15 K [25]. The combination of high magnetic anisotropy and unique cation distribution in Co2FeO2BO3 makes it a key material for applications requiring resilience to extreme magnetic and thermal conditions, such as resilient electronics for space missions or materials for high-pressure physics. Recent DFT + GGA calculations show that high-spin Fe3+ occupies crystallographic site 4, while high-spin Co2+ occupies sites 1, 2, and 3 [27]. This unusual cation distribution in Co2FeO2BO3 plays a critical role in altering its magnetic topology.
We utilized polarization-dependent X-ray absorption spectroscopy (XAS) to investigate the significant increase in magnetic properties of Co2FeO2BO3. By focusing on the charge and magnetic characteristics of the Co and Fe ions, this study aimed to uncover the underlying mechanisms driving these enhancements in magnetic behavior. Compared to conventional techniques, X-ray magnetic circular dichroism (XMCD) [28] offers a unique advantage by providing element-specific insights into spin and orbital contributions to magnetization. This capability allows for precise identification of the magnetic interactions driving phenomena such as coercivity and magnetic anisotropy, which are critical for the development of advanced lanthanide-free magnets. These findings not only advance the understanding of low-dimensional magnetism in complex systems but also contribute to broader efforts in the discovery of quantum states of matter under extreme conditions.
2. Experimental Details
High-quality Co2FeO2BO3 single crystals were grown using a flux melt technique based on bismuth trimolybdate, following the method detailed in [19]. This approach ensures that Bi2O3 and MoO3 effectively prevent the incorporation of Bi into the crystal structure, enabling the formation of well-defined crystals. The flux melt, composed of Bi2Mo3O12 and B2O3, has low melting temperatures (643 °C for Bi2Mo3O12 and 450 °C for B2O3) and low viscosity, facilitating the growth of large needle-shaped crystals (2–5 mm). B2O3 ensures efficient dissolution of oxides. A mixture of 50 g of reactants (Bi2Mo3O12:B2O3:CoO:Na2CO3:Fe2O3 = 3:2:4:3:3) was heated in a platinum crucible at 900–1000 °C. The components were melted sequentially, with Na2CO3 added last due to its decomposition at high temperatures. After homogenization at 1100 °C for 3 h, the temperature was reduced to 960 °C and cooled slowly. The resulting crystals were separated using 20% nitric acid. Black, rectangular prisms approximately 2.5 mm long and 50 microns wide were selected for the experiments. X-ray diffraction analysis was then performed using a Bruker SMART APEX II diffractometer (MoKα radiation, CCD detector) to determine the crystal structure. Magnetization measurements were taken using a Quantum Design PPMS 6000 vibrating sample magnetometer. Static magnetization measurements were performed in the temperature range of 2–300 K, and magnetization curves were obtained in magnetic fields up to 9 T. Prior to the measurements, the single crystal was accurately weighed using DV 215 CD microbalances. The single crystal, oriented with the aid of an X-ray diffractometer, was mounted on a plexiglass holder to ensure the magnetic field was sequentially aligned along each of the crystallographic axes. For each direction, dependencies of magnetization on temperature and magnetic field were recorded. For measurements along the crystallographic b-axis, the demagnetization effect due to the sample shape was evaluated. Taking into account uncertainties arising from weighing, holder signal subtraction, and measurements, the overall error in determining the sample magnetization did not exceed 5%. Soft X-ray measurements (L3,2-edges of 3d metals and K-edge of O) were carried out at the UE46-PGM1 beamline at BESSY II in Berlin. Additionally, hard X-ray measurements (K-edges of Co and Fe) were performed at the ESRF ID12 beamline in Grenoble. Both experiments utilized the same oriented sample and were performed under varying temperatures and magnetic fields, offering a detailed understanding of the magnetic properties.
3. Results and Discussion
Co2FeO2BO3 was determined to crystallize in the orthorhombic Pbam space group, and the measured unit cell parameters align closely with values reported in earlier research [19]. Specifically, the unit cell parameters are as follows: a = 9.3818(16) Å, b = 12.344(2) Å, c = 3.0578(5) Å, α = β = γ = 90°.
Ludwigite minerals exhibit structural features characterized by chains of metal ions in octahedral coordination across four non-equivalent crystallographic sites (1, 2, 3, and 4). These chains create a zigzag pattern along the c-axis, linked by trigonal BO3 units and shared oxygen atoms (Figure 1). In Co3O2BO3, divalent ions predominantly occupy sites 1, 2, and 3, whereas trivalent ions are mainly situated at site 4, positioned among the BO3 groups [26]. This specific arrangement leads to a compact structure comprising alternating layers of divalent and trivalent ions, supporting charge-ordered configurations. Below 300 K, Co-O interionic distances remain stable, with ‹Co4-O› being significantly shorter at 1.962(2) Å compared to ‹Co1-O› (2.094(2) Å), ‹Co2-O› (2.0640(17) Å), and ‹Co3-O› (2.0810(16) Å). This indicates that the CoO6 octahedron is characterized by the shortest inter-ion distance and the highest regularity. This reflects the small ionic radius of the Co3+ ion in the low-spin state (LS) (t2g6eg, S = 0, ri = 0.545 Å), which occupies the crystallographic site 4. In contrast, high-spin (HS) Co2+ ions (t2g4eg2, S = 3/2, ri = 0.745 Å) are found at sites 1, 2, and 3, contributing to ferrimagnetism [25].
Figure 1.
Crystal structure of Co2FeO2BO3 in the ab-plane. The structure comprises octahedra that correspond to divalent and trivalent metal ions positioned at non-equivalent crystallographic sites (1, 2, 3, and 4). Planar BO3 triangles are also illustrated. Black octahedra indicate (Co/Fe)3+O6, with a specific emphasis on FeO6, while gray octahedra represent continuous Co2+O6 layers that interact through BO3 groups and Fe3+O6 octahedra.
In Co2FeO2BO3, the metal–oxygen interionic distances revealed that the (Co/Fe)4-O bond is shorter at 2.0666(14) Å compared to ‹Co1-O› (2.1173(19) Å), ‹(Co/Fe)2-O› (2.0954(19) Å), and ‹Co3-O› (2.1163(18) Å). These shorter average metal–oxygen bond lengths suggest higher valence Fe3+ ions (ri = 0.645 Å) compared to Co2+ ions (ri = 0.745 Å) It should be noted that mixed metal ion occupancy at crystallographic sites of 1, 2, 3, and 4 complicates the structure. Single-crystal X-ray diffraction shows that crystallographic sites 2 and 4 are occupied by Co(65.2%)/Fe(34.8%) and Co(21%)/Fe(79%), respectively, while sites 1 and 3 are exclusively filled by Co [19]. It is important to note that non-resonant X-ray diffraction struggles to distinguish Co from Fe due to their similar atomic scattering factors, so it is reasonable to assume that Fe predominantly occupies site 4, which is also found to be energetically favored [27]. In this case, it is reasonable to propose that the structure consists of continuous Co2+O6 layers lying in the bc-plane, linked along the a-axis through BO3 triangles and Fe3+O6 octahedra.
The magnetic properties of Co2FeO2BO3 depend on its complex crystallography. Figure 2 shows a comparison of the macroscopic magnetic hysteresis curve (at 15 K) with element-selective magnetization curves along the b-axis, highlighting their impact on magnetic behavior. The shape of the loops suggests a mixture of ferromagnetic and antiferromagnetic contributions, where remagnetization proceeds through the motion of domain walls. Substituting Co with Fe increases the coercive field, achieving over 7 T for Co2FeO2BO3 below 15 K, surpassing those of Nd15.4Fe77.8B6.8 [29], Nd2Fe14B (5–6.5 T at 80 K) [30], SmCo5 (4.3 T at 4.2 K) [31], Sm2Co17 (1.5–1.7 T at 4.2 K) [32]. The increased coercive field in Co2FeO2BO3 likely results from crystal defects caused by substituting inactive Co3⁺ ions with active Fe3⁺ ions.
Figure 2.
Comparison of macroscopic magnetic hysteresis curve (measured with H = ±9 T) with element-selective magnetization curves for Co2FeO2BO3, measured at 779.3 eV of the Co L3-edge, at 710.3 eV of the Fe L3-edge, at 7711.0 eV of the Co K-edge, at 7119.5 eV of the Fe K-edge along the b-axis.
Element-sensitive studies, such as XMCD, are crucial for analyzing this material, as they reveal its magnetic behaviors and spin dynamics [28]. L-edge spectroscopy provides distinct benefits compared to K-edge spectroscopy, including sharper multiplet features and reduced core–hole lifetime broadening, even though K-edge spectroscopy offers deeper probing capabilities. L-edge studies are surface-sensitive, probing the top ~10 nm of the material.
Surface-sensitive XAS and XMCD at the Co and Fe L3-edges were performed on a Co2FeO2BO3 sample from 5 K to 130 K under a magnetic field of 6 T. The Co L3 XAS spectrum (Figure S1) of Co2FeO2BO3 at 5 K shows a complex multiplet structure [33]. The primary features are observed at 776.6 eV, 777.93 eV, and 779.25 eV, aligning with those typical of HS Co2+ in solids. Analysis with reference spectra for HS Co³⁺, LS Co3⁺, and HS Co2⁺ [34] reveals that the spectrum consists solely of HS Co2⁺. Thus, all Co ions in Co2FeO2BO3 are in the HS Co2⁺ state, with no LS Co3⁺ or HS Co3⁺ detected.
The Fe L3 XAS spectrum (Figure S1b) exhibits a characteristic double peak often observed in oxides, resembling HS Fe3⁺ in hematite (α-Fe2O₃) [35]. The Fe L3-spectrum exhibits the primary features L3 and L2 at 708.43 eV, and 710.25 eV, respectively, corresponding to HS Fe3+ in solids. We performed charge transfer multiplet calculations to analyze the spectral shape of the experimental X-ray absorption spectra. For this purpose, the used the CTM4XAS program package [36], which is based on a semi-empirical approach including crystal field theory, core–hole effects, spin–orbit coupling, multiplet effects, and charge transfer.
For Fe3+ ions on octahedral sites, the best fit for the spectra was obtained with a crystal field splitting of 10Dq = +1.8 eV, with the values of the Slater integrals reduced to 80% of the atomic value, accounting for reduced Coulomb repulsion. For Co2+ ions, the crystal field was smaller due to the lower charge of the cation. We obtained 10Dq = +1.2 eV for the octahedral case, with the values of the Slater integrals reduced to approximately 90% of the atomic value. For all other quantities, corresponding atomic values were used. Lorentzian lifetime broadenings of 0.2 eV and 0.5 eV for the L3 and L2 absorption edges, respectively, were included. An additional Gaussian broadening of 0.1 eV accounts for the instrumental broadening. Thus, these calculations confirm the presence of HS Co2+ and HS Fe3+ states in Co2FeO2BO3.
The XMCD spectrum of Fe exhibits a positive onset at the L3 peak (Figure S1b). Combined with the negative sign of the Co L3 XMCD in the same measurement geometry (Figure S1a), this indicates an antiferromagnetic coupling between the magnetic moments of the two constituents. The XMCD sign remains unchanged with temperature, and the asymptotic behavior is also conserved, indicating the stability of the electronic structure. Only the amplitude changes, reflecting temperature-induced variations in the magnetic moments. The absence of an inversion in the Fe and Co XMCD confirms that the coupling of the Fe and Co magnetic moments is a collinear antiferromagnetic configuration across the entire temperature range.
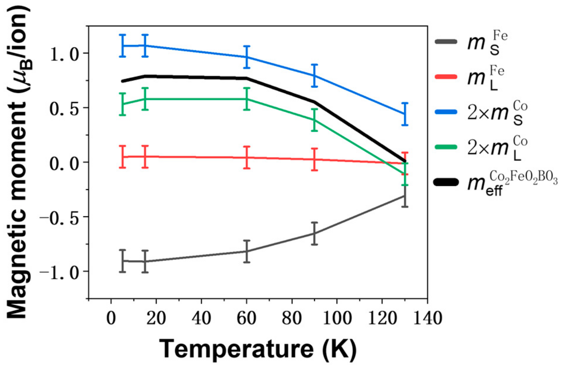
A quantitative analysis of the spin and orbital components contributing to the overall magnetic moment was carried out using well-established sum rules [37,38]. From the XMCD spectra, one can extract the orbital magnetic moment (mL) and the effective spin magnetic moment (meffS). The temperature dependencies of the orbital and spin moments for iron and cobalt are shown in Figure 3.
Figure 3.
Orbital magnetic moments, effective spin magnetic moments, and total magnetic moment Co2FeO2BO3, obtained via sum rules [37,38], as a function of temperature along the b-axis.
The cobalt orbital moment remains notably substantial and aligns with the spin moment, whereas in the iron sublattice, the spin magnetic moment exhibits a consistent negative orientation, being antiparallel to that of cobalt’s spin moment. The XMCD data shows that the Co2FeO2BO3 system possesses a large unquenched orbital magnetic moment of Co, which contributes to the giant magnetic anisotropy. It also suggests a unique ferrimagnetic alignment of the Co2+ and Fe3+ spins. At 5 K, the magnetic orbital moment for Co was calculated to be 0.27 ± 0.1 μB/ion, and the spin moment was 0.53 ± 0.1 μB/ion, resulting in a total effective magnetic moment of 0.80 ± 0.1 μB/ion for one cobalt atom. The orbital moments of Fe ions in Co2FeO2BO3 are very close to zero (0.05 ± 0.1 μB/ion), as expected for Fe3+ with its half-filled d-shell (3d⁵). The spin moment was −0.90 ± 0.1 μB/ion, resulting in a total effective magnetic moment of −0.85 ± 0.1 μB/ion.
The effective spin moment can have a significant contribution from the intra-atomic spin dipole term ‹TZ›, related to aspherical spin density distributions. Note that for Co ions, a significant contribution of ‹TZ› may be present that does not average out due to the larger spin–orbit coupling. Thus, the resulting magnetic moment, defined as 2 × (mLCo + mSCo) − (mLFe + mSFe) = ~0.8 μB/f.u. at 5 K, is close to that observed in macroscopic measurements with an experimental magnetic moment of approximately 1.4 μB/f.u. at 6 T (as seen in Figure 2) [19]. Therefore, we can conclude that the total magnetization is determined by the contributions of both subsystems to the magnetization of Co2FeO2BO3. Unfortunately, within our accuracy limits, we could not reliably observe features that might be associated with magnetic transitions at 70 K, which is observed in this sample along the b-axis [19].
Moreover, it is worth noting that according to recent DFT calculations [27], the total magnetic moment of the Co sublattice along the b-axis was determined to be +2.5 μB, while the magnetic moment of the Fe sublattice was −3.6 μB, and it is oppositely directed. The orbital moments were parallel to the spin moments: ~0.15–0.30 μB for Co ions and ~0.06 μB for Fe ions [27]. The differences in the total magnetic moments from those obtained using DFT are likely due to the dielectric nature of the samples, which ultimately distorts the XAS spectrum, despite all our measurements being in agreement with the macroscopic data.
Additionally, the strong covalent bonding between B and O atoms suggests that the BO3 unit acts as a rigid structure, contributing to the stability of the crystal. A qualitative experimental indication of this stability can be observed at the oxygen K-edge [39,40,41]. In Figure S3, we present the O K-edge XAS spectrum measured at 6 T and 5 K. The O K-edge XAS reflects electron transitions from the O 1s core level to O 2p unoccupied states that are hybridized with the orbitals of neighboring Co/Fe ions. The lower energy range (529–535 eV) represents the Co/Fe 3d state hybridized with O 2p, while the higher energy range (535–545 eV) corresponds to the Co/Fe 4sp states hybridized with O 2p. The main absorption peaks in the energy range of 535–554 eV correspond to oxygen 2p states hybridized with the 4p and 4s states of the transition metal cations. More relevant in the present context are the absorption peaks in the pre-edge region around 530–532 eV, which correspond to electron transitions into oxygen 2p states hybridized with 3d states.
Analysis of the oxygen spectrum indicates that there are also 4sp orbitals from iron and cobalt involved in covalent bonding; i.e., there are 4sp from the transition metal involved in the covalency. Unfortunately, the XMCD signal from oxygen was very noisy; however, a small magnetic signal was still detectable. This may indicate that oxygen is magnetic due to super-exchange interactions.
Field-dependent and temperature-dependent XMCD measurements at the maximum XMCD signal energies for Co and Fe ions were performed to trace the magnetic sublattice contributions to overall magnetization and determine the origin of the large magnetic stiffness. First, we examine the data obtained at the L-edges. Figure 2 presents the Co and Fe element-selective hysteresis loops in Co2FeO2BO3, measured at the L3-edges under an applied magnetic field oriented along the b-axis at 5 K. The distinct XMCD signals confirm antiparallel magnetic sublattices, with amplitudes corresponding to the ratio of elements in the formula Co/Fe = 2/1. The slope of the Co XMCD loop suggests that antiferromagnetic interactions at Co sites are more pronounced compared to those at Fe sites. The Co L3-edge XMCD loop exhibits a coercive field near 0.1 T, whereas that of the Fe L3-edge is approximately 0.145 T. This differs significantly from the hysteresis measured at 15 K using macroscopic magnetization measurements. Surface effects, such as strain and defects, likely cause variations in measured coercive fields due to the shallow escape depth (less than 10 nm).
To further verify the small value of coercivity obtained from the Co and Fe L-edge measurements, we performed measurements in the hard X-ray region at the K-edges of X-ray absorption. Hard X-rays at the K-edge penetrate up to approximately 10 microns, allowing for bulk property analysis that extends beyond the surface sensitivity typically associated with L-edge XAS. Before discussing the field dependencies from the XANES/XMCD spectra measurements at the K-edges, it should be noted that we recently proposed a method for isolating the contributions of different valence subsystems of cobalt in Co3O2BO3 [25] and additionally confirmed the presence of HS Co2+ and HS Fe3+. A detailed description of this method is provided in the Supplementary Materials.
Figure 2 also shows the magnetization curves obtained through element-selective measurements for Co2FeO2BO3 at Co (7711.0 eV) and Fe (7119.5 eV), recorded near their pre-K edges at 15 K with an applied field of ±17 T along the b-axis. The XMCD data for cobalt and iron clearly show hysteresis behavior. At 15 K, these element-selective loops show notable coercivity, though it remains lower than the values detected in the bulk macroscopic experiments.
Fe magnetization measured at the K-absorption edge is close to the saturation state, indicating ferromagnetic ordering of Fe3⁺ moments. Co magnetization tilts in high fields, suggesting mixed antiferromagnetic and ferromagnetic contributions, which are characteristic of Co2⁺ ferrimagnetic ordering in Co2FeO2BO3. These contributions from AFM and ferromagnetic Co are experimentally observed at the Co L3-edge (Figure S2a,b), while the XMCD Fe L3-edge is always in the saturation state, indicating the presence of only one contribution.
Temperature-dependent behavior of the Co and Fe magnetic sublattices in Co2FeO2BO3 was investigated by analyzing measurements at the L3- and K-edges, in comparison with macroscopic magnetization data recorded at 5 T along the b-axis (Figure S4). XMCD signals peak around 70 K, consistent with macroscopic magnetization data, and reveal magnetic coupling between the Co and Fe subsystems, contrary to earlier interpretations suggesting that these subsystems act independently in similar compounds [13,21,42,43].
Throughout the temperature range, the oppositely directed hysteresis loops for Co and Fe indicate the antiferromagnetic nature of the Co2+-O-Fe3+ exchange interaction, suggesting different contributions from each subsystem to the total magnetization. Element-selective magnetization of Co in Co2FeO2BO3 shows that the Co2⁺ magnetic subsystem primarily determines the total magnetization due to its significant orbital moment (mL). At low temperatures, mL orientation is determined by both the magnetic field (H) and intraatomic spin–orbit coupling (HLS), which, according to Hund’s third rule, favors parallel alignment of the orbital (mL) and spin (mS) moments. The exchange field (HexFe-Co) at low temperatures tends to align Fe moments antiparallel to Co and, hence, to the external field, leading to magnetic moment compensation along the b-axis from Mr = 3.5 μB/f.u. for Co3O2BO3 [19] to ~1.5 μB/f.u. for Co2FeO2BO3 (Figure 2). Thus, the metal ion at crystallographic site 4 critically determines the magnetic state [25]. These results are supported by magnetization [19], heat capacity [13], Mössbauer effect [27], and DFT calculations [27], which show an almost collinear spin configuration 1(↓)2(↑)3(↑)4(↓) with Fe3+ (d5, HS) at site 4 and Co2+ (d7, HS) at sites 1, 2, and 3.
Figure 4, which represents the temperature variation in the measured element-selective XMCD hysteresis loop area, shows a significant reduction in coercivity (and so small compared to the macroscopic) measured by XMCD for the Co and Fe sublattices. In Co2FeO2BO3, the element-selective HC areas peak at 15 K as the temperature decreases from 60 K, indicating strong magnetic coupling between these sublattices. This behavior is consistent with the magnetic measurements on the Ni2FeO2BO3 sample in [13], where this effect was first detected. The origin of the temperature dependence of coercivity in each case should reflect the compromise of the temperature dependence for all the magnetic anisotropy energy contributions, namely magnetoelastic, magnetocrystalline and shape or magnetostatic terms.
Figure 4.
Temperature-dependent CoK- and FeK-edge XMCD HC areas for Co2FeO2BO3, measured across a temperature range of 5 to 130 K.
In Co2FeO2BO3, the transition at TN2 = 70 K is metamagnetic, consistent with ac magnetic susceptibility measurements showing a frequency-dependent peak indicative of domain wall motion in ferrimagnetic domains, which slightly shifts to higher temperatures with increasing frequency [20]. The increase in the magnetic transition temperature and Curie–Weiss temperature indicates a rise in exchange energy (A) in Co2FeO2BO3 compared to Co3O2BO3, but this alone does not explain the increased coercivity (HC). If the anisotropy constant (K) remains the same due to identical Co2⁺ ion concentration and distribution, the primary cause of the increased HC is the higher defect density introduced by Fe3⁺ ions, which significantly reduces the average distance between magnetic domains [19].
In Nd2Fe14B-based magnets, the coercive field is significantly affected by factors such as soft magnetic grain boundaries, misalignment of the anisotropy axes [44,45], and structural imperfections [44,46]. These elements account for approximately 60% of the reduction, while internal demagnetizing fields and temperature-driven fluctuations contribute an additional 18%. Our study demonstrates a reduction exceeding 70%, suggesting the influence of other contributing mechanisms. Non-uniformly demagnetizing fields may lead to uneven magnetization reversal, thereby impacting element-selective coercivity. For Co2FeO2BO3, these effects should not exceed 3%. Local self-demagnetizing fields at single sites, initiating reversed domain nucleation [47], contribute significantly, as observed in mixed cobalt–zinc ferrite nanoparticles [48], where cationic distribution and spin-canting reduce coercivity. The significant difference between local and bulk coercive fields suggests domain walls are bound to crystallographic sites, contributing to high bulk coercivity.
The coercivity of magnetic materials usually increases as the domain wall width (δ) decreases, due to enhanced pinning from defects, impurities, and grain boundaries, following the relation HC ∝ 1/δ [49]. In Co2FeO2BO3, variations in coercivity with temperature can be attributed to a domain wall pinning mechanism influenced by changes in the anisotropy field and thermally activated domain wall motion, where magnetocrystalline anisotropy plays a crucial role [50]. We performed an estimation of the domain wall width (δ), which is presented in Figure S6. Co2FeO2BO3, a multi-sublattice ferrimagnet, shows similar local coercivity fields (signals differ in Figure 4 by a factor of two due to the different elemental content Co/Fe = 2/1), indicating comparable anisotropy constants for the cobalt and iron sublattices [20]. The calculated temperature-dependent domain wall widths, which are less than 1 nm, are comparable to the lattice constant b and the metal–metal distance 4–2 (~0.3 nm) [19], but are smaller than those for Sm-Co-based magnets (1–3 nm) [51,52]. Recently, atomically sharp domain walls under 1 nm were directly observed in CuMnAs films [53], suggesting similar domain walls may exist in our samples. Thus, the high coercivity of Co2FeO2BO3 can be attributed to significant pinning effects, high magnetic anisotropy, and domain wall dynamics.
4. Conclusions
In conclusion, this study shows that Co2FeO2BO3, a lanthanide-free multi-sublattice ferrimagnet, exhibits exceptional magnetic properties, particularly its extremely high coercivity. These properties arise from charge-ordering and the distinctive spatial distribution of magnetic ions in its crystal lattice. The specific cation arrangement significantly impacts the magnetic behavior of ludwigites by altering the anisotropic energy landscape and creating localized barriers that impede domain wall motion, thereby enhancing coercivity.
Element-selective XMCD analysis reveals that Co and Fe contribute to the total magnetization in a temperature-dependent manner, with Co2⁺-O-Fe3⁺ antiferromagnetic interactions occurring across the entire temperature range. The XMCD experiments show that while the magnetization of Fe nears saturation at low temperatures, Co exhibits both antiferromagnetic and ferromagnetic contributions. This suggests a magnetic structure comprising infinite Co2⁺O6 layers in the bc-plane, with strong antiferromagnetic coupling through Fe3⁺ ions.
We propose that controlling the substitution of specific inequivalent crystallographic sites, which act as pinning centers for domain walls, can help create materials with high coercivity. These sites may exhibit different magnetic anisotropies, and substituting atoms in these locations can modify local anisotropy, creating regions with high energy barriers for domain wall movement. By optimizing the composition and substitution of atoms at these sites, it is possible to enhance the magnetic properties of lanthanide-free materials, resulting in high-coercivity materials suitable for various applications.
Lanthanide-free magnetic materials, such as Co2FeO2BO3, represent a class of sustainable alternatives to rare-earth-based magnets. Other examples include SrFe12O19 (strontium ferrites), which are widely used in low-cost permanent magnets, and Fe3O4 (magnetite), known for its excellent magnetic performance in specific applications. These materials demonstrate the possibility of achieving desirable magnetic properties, such as high coercivity and strong magnetic anisotropy, without relying on rare-earth elements. Their development is particularly significant for addressing global challenges in resource availability and the environmental impact of rare-earth mining and processing.
In summary, this research highlights Co2FeO2BO3 as an example of a promising lanthanide-free magnetic material, offering insights into the design principles that could guide the development of other advanced magnets.
Supplementary Materials
The following supporting information can be downloaded at: https://www.mdpi.com/article/10.3390/inorganics13010024/s1.
Funding
This work was supported by the Ministry of Science and Higher Education of the Russian Federation (Agreement No. 075-15-2022-263).
Data Availability Statement
The datasets generated and analyzed during this study, including the raw spectra, are available from the corresponding author upon reasonable request.
Acknowledgments
The author deeply appreciates the late L.N. Bezmaternykh for synthesizing the Co2FeO2BO3 sample and for his insightful discussions that shaped this work. This study explores controlling magnetic interactions in charge-ordered, lanthanide-free materials, inspired by Bezmaternykh’s ideas. The authors also thank colleagues and co-authors from previous collaborations: J. Bartolome, S. G. Ovchinnikov, A. Rogalev, F. Wilhelm, the late N.B. Ivanova, and others for their discussions. Gratitude is also extended to ESRF and BESSY II for the provision of beamtime and staff support. X-ray diffraction (A. Vasiliev) and magnetization measurements (E. Eremin) were performed at the Common Access Facility Centres of SB RAS in Krasnoyarsk, Russia. The investigations were performed using the large-scale research facility ‘EXAFS Spectroscopy Beamline’ at the Siberian Synchrotron and Terahertz Radiation Center in Novosibirsk, Russia.
Conflicts of Interest
The author declares that they have no known competing financial interests or personal relationships that could appear to have influenced the work reported in this paper.
References
- Gutfleisch, O.; Willard, M.A.; Brück, E.; Chen, C.H.; Sankar, S.G.; Liu, J.P. Magnetic materials and devices for the 21st century: Stronger, lighter, and more energy efficient. Adv. Mater. 2011, 23, 821–842. [Google Scholar] [CrossRef] [PubMed]
- Chu, S.; Majumdar, A. Opportunities and challenges for a sustainable energy future. Nature 2012, 488, 294–303. [Google Scholar] [CrossRef] [PubMed]
- Bollero, A.; Palmero, E.M. Recent advances in hard ferrite magnets. Mod. Perm. Magn. 2022, 3, 65–112. [Google Scholar] [CrossRef]
- Kwon, H.; McClain, K.R.; Kragskow, J.G.C.; Staab, J.K.; Ozerov, M.; Meihaus, K.R.; Harvey, B.G.; Choi, E.S.; Chilton, N.F.; Long, J.R. Coercive fields exceeding 30 T in the mixed-valence single-molecule magnet (CpiPr5)2Ho2I3. J. Am. Chem. Soc. 2024, 146, 18714–18721. [Google Scholar] [CrossRef] [PubMed]
- Perlepe, P.; Oyarzabal, I.; Mailman, A.; Yquel, M.; Platunov, M.; Dovgaliuk, I.; Rouzières, M.; Négrier, P.; Mondieig, D.; Suturina, E.A.; et al. Metal-organic magnets with large coercivity and ordering temperatures up to 242 °C. Science 2020, 370, 587–592. [Google Scholar] [CrossRef]
- Miller, J.S. Organic-and molecule-based magnets. Mater. Today 2014, 17, 224–235. [Google Scholar] [CrossRef]
- Goodwin, C.A.P.; Ortu, F.; Reta, D.; Chilton, N.F.; Mills, D.P. Molecular magnetic hysteresis at 60 kelvin in dysprosocenium. Nature 2017, 548, 439–442. [Google Scholar] [CrossRef]
- Guo, F.-S.; Day, B.M.; Chen, Y.-C.; Tong, M.-L.; Mansikkamäki, A.; Layfield, R.A. Magnetic hysteresis up to 80 kelvin in a dysprosium metallocene single-molecule magnet. Science 2018, 362, 1400–1403. [Google Scholar] [CrossRef]
- Coey, M. Charge-ordering in oxides. Nature 2004, 430, 155–157. [Google Scholar] [CrossRef]
- Mir, M.; Guimarães, R.B.; Fernandes, J.C.; Continentino, M.A.; Doriguetto, A.C.; Mascarenhas, Y.P.; Ellena, J.; Castellano, E.E.; Freitas, R.S.; Ghivelder, L. Structural transition and pair formation in Fe3O2BO3. Phys. Rev. Lett. 2001, 87, 147201. [Google Scholar] [CrossRef]
- Galdino, C.W.; Freitas, D.C.; Medrano, C.P.C.; Tartaglia, R.; Rigitano, D.; Oliveira, J.F.; Mendonça, A.A. Magnetic; electronic; structural, and thermal properties of the Co3O2BO3 ludwigite in the paramagnetic state. Phys. Rev. B 2019, 100, 165138. [Google Scholar] [CrossRef]
- Larrea, J.; Sánchez, D.R.; Litterst, F.J.; Baggio-Saitovitch, E.M.; Fernandes, J.C.; Guimaraes, R.B.; Continentino, M.A. Magnetism and charge ordering in Fe₃O₂BO₃ studied by Fe⁵⁷ Mössbauer spectroscopy. Phys. Rev. B 2004, 70, 174452. [Google Scholar] [CrossRef]
- Freitas, D.C.; Continentino, M.A.; Guimaraes, R.B.; Fernandes, J.C.; Oliveira, E.P.; Santelli, R.E.; Ellena, J.; Eslava, G.G.; Ghivelder, L. Partial magnetic ordering and crystal structure of the ludwigites Co2FeO2BO3 and Ni2FeO2BO3. Phys. Rev. B 2009, 79, 134437. [Google Scholar] [CrossRef]
- Kumar, J.; Panja, S.N.; Mukkattukavil, D.J.; Bhattacharyya, A.; Nigam, A.K.; Nair, S. Reentrant superspin glass state and magnetization steps in the oxyborate Co2AlBO5. Phys. Rev. B 2017, 95, 144409. [Google Scholar] [CrossRef]
- Heringer, M.A.V.; Mariano, D.L.; Freitas, D.C.; Baggio-Saitovitch, E.; Continentino, M.A.; Sanchez, D.R. Spin-glass behavior in Co3Mn3(O2BO3)2 ludwigite with weak disorder. Phys. Rev. Mater. 2020, 4, 064412. [Google Scholar] [CrossRef]
- Kulbakov, A.A.; Sarkar, R.; Janson, O.; Dengre, S.; Weinhold, T.; Moshkina, E.M.; Portnichenko, P.Y. Destruction of long-range magnetic order in an external magnetic field and the associated spin dynamics in Cu2GaBO5 and Cu2AlBO5 ludwigites. Phys. Rev. B 2021, 103, 024447. [Google Scholar] [CrossRef]
- Medrano, C.P.C.; Sadrollahi, E.; Da Fonseca, R.G.M.; Passamani, E.C.; Freitas, D.C.; Continentino, M.A.; Sanchez, D.R.; Litterst, F.J.; Baggio-Saitovitch, E. Magnetic properties of Ni5Sn(O2BO3)2 ludwigite. Phys. Rev. B 2021, 103, 064430. [Google Scholar] [CrossRef]
- Damay, F.; Sottmann, J.; Fauth, F.; Suard, E.; Maignan, A.; Martin, C. High temperature spin-driven multiferroicity in ludwigite chromocuprate Cu2CrBO5. Appl. Phys. Lett. 2021, 118, 192903. [Google Scholar] [CrossRef]
- Ivanova, N.B.; Kazak, N.V.; Knyazev, Y.V.; Velikanov, D.A.; Bezmaternykh, L.N.; Ovchinnikov, S.G.; Vasiliev, A.D.; Platunov, M.S.; Bartolomé, J.; Patrin, G.S. Crystal structure and magnetic anisotropy of ludwigite Co2FeO2BO3. J. Exp. Theor. Phys. 2011, 113, 1015–1024. [Google Scholar] [CrossRef]
- Bartolomé, J.; Arauzo, A.; Kazak, N.V.; Ivanova, N.B.; Ovchinnikov, S.G.; Knyazev, Y.V.; Lyubutin, I.S. Uniaxial magnetic anisotropy in Co2.25Fe0.75O2BO3 compared to Co3O2BO3 and Fe₃O2BO3 ludwigites. Phys. Rev. B 2011, 83, 144426. [Google Scholar] [CrossRef]
- Bordet, P.; Suard, E. Magnetic structure and charge ordering in Fe3BO5: A single-crystal x-ray and neutron powder diffraction study. Phys. Rev. B 2009, 79, 144408. [Google Scholar] [CrossRef]
- Freitas, D.C.; Continentino, M.A.; Guimaraes, R.B.; Fernandes, J.C.; Ellena, J.; Ghivelder, L. Structure and magnetism of homometallic ludwigites: Co3O2BO3 versus Fe3O2BO3. Phys. Rev. B 2008, 77, 184422. [Google Scholar] [CrossRef]
- Angst, M.; Hermann, R.P.; Schweika, W.; Kim, J.W.; Khalifah, P.; Xiang, H.J.; Whangbo, M.H.; Kim, D.H.; Sales, B.C.; Mandrus, D. Incommensurate charge order phase in Fe2OBO3 due to geometrical frustration. Phys. Rev. Lett. 2007, 99, 256402. [Google Scholar] [CrossRef] [PubMed]
- Freitas, D.C.; Medrano, C.P.C.; Sanchez, D.R.; Regueiro, M.N.; Rodríguez-Velamazán, J.A.; Continentino, M.A. Magnetism and charge order in the ladder compound Co3O2BO3. Phys. Rev. B 2016, 94, 174409. [Google Scholar] [CrossRef]
- Kazak, N.V.; Platunov, M.S.; Knyazev, Y.V.; Molokeev, M.S.; Gorev, M.V.; Ovchinnikov, S.G.; Pchelkina, Z.V. Spin state crossover in Co3BO5. Phys. Rev. B 2021, 103, 094445. [Google Scholar] [CrossRef]
- Galdino, C.W.; Freitas, D.C.; Medrano, C.P.C.; Sanchez, D.R.; Tartaglia, R.; Rabello, L.P.; Mendonça, A.A. Structural and spectroscopic investigation of the charge-ordered, short-range ordered, and disordered phases of the Co3O2BO3 ludwigite. Phys. Rev. B 2021, 104, 195151. [Google Scholar] [CrossRef]
- Knyazev, Y.V.; Kazak, N.V.; Zhandun, V.S.; Bartolomé, J.; Arauzo, A.; Belskaya, N.A.; Bayukov, O.A.; Bezmaternykh, L.N.; Ovchinnikov, S.G. Electronic and magnetic states of Fe ions in Co2FeBO5. Dalton Trans. 2021, 50, 9735–9745. [Google Scholar] [CrossRef]
- Stöhr, J. Exploring the microscopic origin of magnetic anisotropies with X-ray magnetic circular dichroism (XMCD) spectroscopy. J. Magn. Magn. Mater. 1999, 200, 470–497. [Google Scholar] [CrossRef]
- Kawai, T.; Ma, B.M.; Sankar, S.G.; Wallace, W.E. Effect of crystal alignment on the remanence of sintered NdFeB magnets. J. Appl. Phys. 1990, 67, 4610–4612. [Google Scholar] [CrossRef]
- Cardarelli, F. Materials Handbook, 2nd ed.; Springer: London, UK, 2008. [Google Scholar] [CrossRef]
- Kütterer, R.; Hilzinger, H.-R.; Kronmüller, H. The temperature dependence of the coercive field of Co5Sm magnets. J. Magn. Magn. Mater. 1977, 4, 1–7. [Google Scholar] [CrossRef]
- Tellez-Blanco, J.C.; Kou, X.C.; Grössinger, R.; Estevez-Rams, E.; Fidler, J.; Ma, B.M. Coercivity and magnetic anisotropy of sintered Sm2Co17-type permanent magnets. J. Appl. Phys. 1997, 82, 3928–3933. [Google Scholar] [CrossRef]
- De Groot, F. High-resolution X-ray emission and X-ray absorption spectroscopy. Chem. Rev. 2001, 101, 1779–1808. [Google Scholar] [CrossRef] [PubMed]
- Liu, J.; Si, L.; Zhang, Q.; Wang, X.; Freese, J.; Harris, G.; Wu, M.; Zhang, X.; Lin, T.; Sutarto, R.; et al. Realization of fully high-spin state and strong ferromagnetism in LaCoO₃ monolayer. Adv. Funct. Mater. 2024, 2401859. [Google Scholar] [CrossRef]
- Brotton, S.J.; Shapiro, R.; van der Laan, G.; Guo, J.; Glans, P.A.; Ajello, J.M. Valence state fossils in Proterozoic stromatolites by L-edge X-ray absorption spectroscopy. J. Geophys. Res. Biogeosci. 2007, 112, G03004. [Google Scholar] [CrossRef]
- Stavitski, E.; De Groot, F.M.F. The CTM4XAS program for EELS and XAS spectral shape analysis of transition metal L edges. Micron 2010, 41, 687–694. [Google Scholar] [CrossRef]
- Carra, P.; Thole, B.T.; Altarelli, M.; Wang, X. X-ray circular dichroism and local magnetic fields. Phys. Rev. Lett. 1993, 70, 694. [Google Scholar] [CrossRef]
- Thole, B.T.; Carra, P.; Sette, F.; van der Laan, G. X-ray circular dichroism as a probe of orbital magnetization. Phys. Rev. Lett. 1992, 68, 1943. [Google Scholar] [CrossRef]
- De Groot, F.M.F.; Grioni, M.; Fuggle, J.C.; Ghijsen, J.; Sawatzky, G.A.; Petersen, H. Oxygen 1s X-ray absorption edges of transition-metal oxides. Phys. Rev. B 1989, 40, 5715. [Google Scholar] [CrossRef]
- Colliex, C.; Manoubi, T.; Ortiz, C. Electron-energy-loss-spectroscopy near-edge fine structures in the iron-oxygen system. Phys. Rev. B 1991, 44, 11402. [Google Scholar] [CrossRef]
- Pong, W.F.; Su, M.H.; Tsai, M.H.; Hsieh, H.H.; Pieh, J.Y.; Chang, Y.K.; Kuo, K.C.; Tseng, P.K.; Lee, J.F.; Chung, S.C.; et al. Oxygen 1s X-ray absorption near-edge structure of Zn-Ni ferrites: A comparison with the theoretical calculations. Phys. Rev. B 1996, 54, 16641. [Google Scholar] [CrossRef]
- Fernandes, J.C.; Guimaraes, R.B.; Continentino, M.A.; Borges, H.A.; Sulpice, A.; Tholence, J.L.; Siqueira, J.L.; Zawislak, L.I.; Da Cunha, J.B.M.; Santos, C.A.D. Magnetic interactions in the ludwigite Ni2FeO2BO3. Phys. Rev. B 1998, 58, 287. [Google Scholar] [CrossRef]
- Continentino, M.A.; Fernandes, J.C.; Guimarães, R.B.; Borges, H.A.; Sulpice, A.; Tholence, J.-L.; Siqueira, J.L.; Da Cunha, J.B.M.; Santos, C.A.D. Magnetic interactions in the monoclinic ludwigite Cu2FeO2BO3. Eur. Phys. J. B 1999, 9, 613–618. [Google Scholar] [CrossRef]
- Hrkac, G.; Woodcock, T.G.; Butler, K.T.; Saharan, L.; Bryan, M.T.; Schrefl, T.; Gutfleisch, O. Impact of different Nd-rich crystal-phases on the coercivity of Nd-Fe-B grain ensembles. Scr. Mater. 2014, 70, 35–38. [Google Scholar] [CrossRef]
- Kulesh, N.; Bolyachkin, A.; Dengina, E.; Tang, X.; Ohkubo, T.; Kajiwara, T.; Miyawaki, H.; Sepehri-Amin, H.; Hono, K. Coercivity limits in Nd-Fe-B hot-deformed magnets with ultrafine microstructure. Acta Mater. 2024, 276, 120159. [Google Scholar] [CrossRef]
- Woodcock, T.G.; Zhang, Y.; Hrkac, G.; Ciuta, G.; Dempsey, N.M.; Schrefl, T.; Gutfleisch, O.; Givord, D. Understanding the microstructure and coercivity of high-performance NdFeB-based magnets. Scr. Mater. 2012, 67, 536–541. [Google Scholar] [CrossRef]
- Bance, S.; Seebacher, B.; Schrefl, T.; Exl, L.; Winklhofer, M.; Hrkac, G.; Zimanyi, G.; Shoji, T.; Yano, M.; Sakuma, N.; et al. Grain-size dependent demagnetizing factors in permanent magnets. J. Appl. Phys. 2014, 116, 233903. [Google Scholar] [CrossRef]
- Fischbacher, J.; Kovacs, A.; Exl, L.; Kühnel, J.; Mehofer, E.; Sepehri-Amin, H.; Ohkubo, T.; Hono, K.; Schrefl, T. Searching the weakest link: Demagnetizing fields and magnetization reversal in permanent magnets. Scr. Mater. 2018, 154, 253–258. [Google Scholar] [CrossRef]
- Bishop, A.R.; Lewis, W.F. A theory of intrinsic coercivity in narrow magnetic domain wall materials. J. Phys. C Solid State Phys. 1979, 12, 3811. [Google Scholar] [CrossRef]
- Guo, X.; Chen, X.; Altounian, Z.; Ström-Olsen, J.O. Temperature dependence of coercivity in MnBi. J. Appl. Phys. 1993, 73, 6275–6277. [Google Scholar] [CrossRef]
- Hubert, A. Schäfer, Magnetic Domains, 1st ed.; Springer: Berlin/Heidelberg, Germany, 1998. [Google Scholar] [CrossRef]
- Duerrschnabel, M.; Yi, M.; Üstüner, K.; Liesegang, M.; Katter, M.; Kleebe, H.-J.; Xu, B.; Gutfleisch, O.; Molina-Luna, L. Atomic structure and domain wall pinning in samarium-cobalt-based permanent magnets. Nat. Commun. 2017, 8, 54. [Google Scholar] [CrossRef]
- Krizek, F.; Reimers, S.; Kašpar, Z.; Marmodoro, A.; Michalička, J.; Man, O.; Edström, A.; Amin, O.J.; Edmonds, K.W.; Campion, R.P.; et al. Atomically sharp domain walls in an antiferromagnet. Sci. Adv. 2022, 8, eabn3535. [Google Scholar] [CrossRef]
Disclaimer/Publisher’s Note: The statements, opinions and data contained in all publications are solely those of the individual author(s) and contributor(s) and not of MDPI and/or the editor(s). MDPI and/or the editor(s) disclaim responsibility for any injury to people or property resulting from any ideas, methods, instructions or products referred to in the content. |
© 2025 by the author. Licensee MDPI, Basel, Switzerland. This article is an open access article distributed under the terms and conditions of the Creative Commons Attribution (CC BY) license (https://creativecommons.org/licenses/by/4.0/).



