Abstract
Hollow-core microstructured optical fibres exhibit excellent properties, such as a low loss, tuneable high birefringence, and low nonlinearity, finding extensive applications across communications, industry, agriculture, medicine, military, and sensing technologies. This paper designs two types of asymmetric hollow-core photonic bandgap fibres featuring a high birefringence and low confinement loss. Both feature a cladding structure of rounded hexagonal honeycomb lattice, while the core structures comprise elliptical hollow cores and rounded rhombic hollow cores, respectively. By adjusting the radius of the cladding air holes and the core structure parameters, this study aims to maximise the birefringence coefficient and minimise the confinement loss. The control variable method is employed to optimise the parameters of two fibres. The simulation results indicate that, at a wavelength of 1.55 μm, the birefringence coefficient of the rhombic core, after parameter optimisation, reaches 1.4 × 10−4, with the confinement loss achieving 4.4 × 10−3 dB/km. Its bending loss remains at the order of 10−3 dB/km, indicating that this fibre maintains an exceptionally high transmission efficiency even when wound with a small curvature radius (such as within the resonant cavity of a compact fibre optic gyroscope). The elliptical core’s birefringence coefficient also reaches 3 × 10−4, with the confinement loss achieving 1.9 × 10−1 dB/km. Specifically, this paper employs bismuth tellurite glass as the substrate material to simulate the performance of elliptical cores. Within a specific refractive index range, the elliptical-core fibre with a bismuth tellurite glass substrate exhibits a confinement loss comparable to quartz glass, whilst its birefringence coefficient reaches as high as 5.8 × 10−4. Therefore, the hollow-core photonic bandgap fibres designed in this thesis provide valuable reference and innovative significance, both in terms of the performance of two asymmetric core structures and in the exploration of polarisation-maintaining hollow-core photonic bandgap fibres on novel material substrates.
1. Introduction
Amongst the multitude of specialised microstructured optical fibres, hollow-core photonic bandgap fibres hold a significant research potential for reducing loss and maintaining polarisation. In 1998, J.C. Knight reported a photonic waveguide structure whose light-guiding principle fundamentally differed from conventional optical fibres. Light was confined within and near a low-refractive-index region, achieved through a two-dimensional photonic crystal bandgap structure. The waveguide comprised an additional air zone situated within a conventional honeycomb air-hole structure, running along the longitudinal axis of a fine silica glass fibre. This photonic bandgap waveguide creates specialised guiding modes within the fibre, independent of the total internal reflection [1], termed hollow-core bandgap fibres (HC-PBGFs). Key advantages include ultra-low optical nonlinearity, excellent mode control capability, low delay, and the potential for ultra-low transmission loss performance [2].
In 2023, Bibhatsu proposed a novel circular hollow-core photonic crystal fibre (HC-PBF) for signal transmission in the O + E + S + C + L and U bands [3]. The loss of large-core-diameter HC-PBF has been reduced to 1.7 dB/km [4]. At the 2025 OFC conference, the University of Southampton announced a microstructured fibre for air-guided light transmission, akin to hollow-core photonic bandgap fibres. This hollow-core double-nested anti-resonant node-free fibre has achieved a loss of 0.091 dB/km [5], approaching that of conventional single-mode fibres. Although some studies have proposed a double-ring hollow-core anti-resonant fibre structure capable of achieving low-limit loss [6], the loss remains substantial when kilometre-scale fibres are deployed. A significant cause of high loss is the surface mode formed by coupling between the edge of the fibre core’s fundamental mode and the cladding surface. Several studies have been reported concerning the surface mode changes induced by core structures, including Saitoh’s discovery that surface modes exert a significant influence on fibre loss [7]. Amezcua-Correa et al. investigated techniques for suppressing surface modes in dielectric-surface waveguides [8], discovering that, when the thickness of the core profile support structure is half that of the thinnest characteristic thickness of the cladding, the surface modes of the dielectric-surface waveguide can be suppressed [9,10]. Surface modes have consistently been a key factor in confinement losses and manufacturing processes for photonic bandgap fibres [11,12,13]. In 2025, Yu Zhu et al. proposed a core structure for low-loss photonic bandgap fibres. Their analysis revealed that fibre loss depends not only on core thickness but also on the position and size of nodes surrounding the core, enabling a reduction in loss to below 7.5 dB/km [14]. In 2025, Yuying Guo et al. proposed a novel hybrid hollow-core polarisation-maintaining fibre (HC-PMF) design integrating a 19-core hollow-core photonic bandgap fibre (HC-PBGF) with an antiresonant layer. The proposed hybrid HC-PMF achieves a birefringence of 2.3 × 10−4, with mode losses of 8.08 dB/km for x-polarised modes and 5.65 dB/km for y-polarised modes. At a 1.55 μm wavelength, it exhibits a high-order mode extinction ratio as high as 4.12 × 106 [15]. In 2024, Binhao Gao proposed an eight-tube cladding quasi-symmetric hollow-core antiresonant fibre. Based on this structure, two additional antiresonant fibres were designed. All three fibres exhibited a confinement loss below 10−4 dB/km at 1.55 μm and achieved birefringence coefficients in the 10−4 order of magnitude, marking progress in addressing the dual challenges of low confinement loss and high birefringence in hollow-core antiresonant fibres [16]. In 2023, Wang L, Liao M et al. investigated the effects of structural deformation rates on confinement loss and birefringence coefficients in rhombic-core HC-PBGFs, specifically examining core defects, core-side hole defects, and fibre diameter defects. By adjusting parameters, the rhombic-core HC-PBGF achieved a maximum birefringence coefficient of 4.15 × 10−5 and a minimum confinement loss of 2.9 × 10−2 dB/km [17]. The applications of hollow-core photonic bandgap fibres have expanded to encompass the transmission of high-power laser beams, high-sensitivity gas sensors, pulse compression, supercontinuum generation, plasma-generated ultraviolet (UV) and deep ultraviolet (DUV) radiation sources, gas-phase nanostructuring and molecular trapping, and the generation of non-classical light [18,19,20].
Despite significant progress in HC-PBGF research, numerous challenges remain. The birefringence coefficient obtained by introducing a high birefringence-modulated core structure into HC-PBGF still hovers between 10−5 and 10−4. There remains substantial room for further innovation in core structure design, and the birefringence coefficient needs to be further improved beyond the 10−4 order of magnitude. The photonic bandgap mechanism results in a relatively narrow low-loss band, and the practical applicability of HC-PBGF structures still needs further improvement. Furthermore, it remains a challenge to simultaneously achieve both a low confinement loss and a high birefringence coefficient. The surface roughness coefficient of the fibre core may be relatively high. Regarding materials, the current hollow-core optical fibre primarily employs silica, which presents challenges such as a high softening temperature and issues during fibre fabrication, including a poor thermal compatibility and crystallisation tendencies that adversely affect optical performance. This has spurred the emergence of diverse alternatives for hollow-core photonic bandgap fibre materials. To address the poor thermal compatibility of silica substrate materials and the consequent fabrication challenges, this study replaces the host material with a bismuth–tellurite glass substrate to simulate the properties of the elliptical-core fibre.
The fibre core structure designed herein strives for simplicity and regularity while maintaining asymmetry. An elliptical core and a rounded diamond-shaped core structure have been designed. By appropriately adjusting the temperature field, vacuum pressure, and boundary conditions during the preparation process, the feasibility of the fabrication process is significantly enhanced. Moreover, the advent and application of sol–gel techniques, 3D technologies, and precision extrusion methods in optical fibre fabrication processes will also provide multiple viable technical pathways for the production of hollow-core photonic bandgap fibres.
This paper designs two types of hollow-core photonic bandgap fibres—elliptical-core and rounded rhombic-core fibres—based on hexagonal bandgap photonic crystal fibres, with a low-refractive-index region structure formed by removing nine central holes to construct the hollow core. The simulation results indicate that the rhombic core achieves a birefringence coefficient of 1.4 × 10−4 at a wavelength of 1.55 μm following structural optimisation. This value surpasses the 4.15 × 10−5 recorded for the rhombic core structure developed by Wang L et al. [17]. The confinement loss achieved is 4.689 × 10−3 dB/km, which is also lower than the 2.9 × 10−2 dB/km reported for the rhombic core structure by Wang L et al. [17]. At a bending radius of 10 mm, its bending loss is 7.825 × 10−3 dB/km. Elliptical-core bandgap fibres with a slightly inferior performance can achieve a birefringence coefficient of 3 × 10−4 following structural optimisation, with a confinement loss of 1.9 × 10−1 dB/km. At a bending radius of 10 mm, bending loss can be realised at 4 × 10−1 dB/km. Overall, elliptical cores exhibit a higher birefringence coefficient; rhombic cores demonstrate confinement losses two orders of magnitude lower than elliptical cores; elliptical cores demonstrate a superior bending resistance. When the background material is replaced with bismuth tellurite glass (a material with a higher refractive index), the elliptical-core bandgap fibre designed in this paper not only achieves a confinement loss comparable to that of silica-based fibres, but also exhibits a significantly higher birefringence coefficient. Consequently, while its low-loss performance matches that of quartz glass, its birefringence characteristics surpass those of comparable fibres utilising quartz background materials.
2. Fundamental Theory
2.1. Brief Overview of Bandgap Fibre Waveguide Formation Theory
Figure 1 depicts a two-dimensional lattice-arranged photonic crystal, whose unit cell comprises rounded hexagons arranged in a strictly symmetrical triangular pattern. This constitutes the fundamental structure of the air-hole cladding structure of the hollow-core photonic bandgap fibre (HC-PBGF) designed in this paper. The effective radius of the primitive cell is represented by r, p is the periodicity, and t is the inter-wall spacing. The relationship between these three parameters is illustrated in Figure 1c. Electromagnetic waves of specific frequencies, unable to penetrate the photonic crystal bandgap structure of the cladding, are confined within defect regions of the core, thereby achieving the purpose of guiding light propagation within the core. Within the bandgap formed by the photonic crystal lattice, the mechanism governing the formation of this lattice bandgap differs from the band structure observed in conventional semiconductor materials. In hollow-core photonic bandgap fibres, the bandgap width is determined by the pore diameter, pore spacing, and refractive index of the material within the unit cell. When the wavelength of incident light matches the bandgap wavelength, photons cannot traverse the bandgap, thereby achieving light confinement and conduction control.
Figure 1.
Hexagonal medium pores arranged in a triangular pattern. Two-dimensional structure diagram of a photonic crystal. (a) Brievich zone division diagram; (b) progenitor cell arrangement; (c) lattice parameters.
2.2. Analysis of the Hexagonal Lattice Bandgap Structure Designed in This Paper
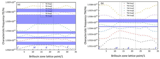
The photonic crystal parameters in Figure 1 are as follows: the effective unit cell radius r = 2 μm, the spacing t = 0.12 μm, and the relative permittivity of air e = 1, with the background material being fused silica optical fibre glass. When the incident light wavelength is 1.55 μm, performing a band distribution scan on the irreducible Brillouin zone of the photonic crystal yields the corresponding photonic crystal energy band (frequency) distribution pattern shown in Figure 2, where the deep blue horizontal bars represent the bandgaps.
Figure 2.
Electromagnetic wave propagation band diagram of a photonic crystal with hexagonal unit cells arranged in a triangular lattice. (a) TE band of the transverse electric mode; (b) transverse magnetic mode TM band.
In Figure 2a,b, there are six TE energy bands and six TM energy bands, respectively. Figure 2a,b show five bandgaps for TE and two bandgaps for TM, respectively, reflecting the following two pieces of information: ① The photonic crystal described herein exhibits a bandgap within its photonic energy band when the incident light has a wavelength of 1.55 μm, which verifies the feasibility of designing bandgap photonic crystal fibres. ② Figure 2a,b exhibit an extremely small number of total bandgap distributions coupled with a wide bandgap range. According to the light-guiding principle of photonic bandgap fibres, this photonic crystal bandgap formed by a triangular lattice imposes a strong light confinement effect on incident light. Modifying the core structure of the bandgap fibre facilitates the fabrication of a more desirable single-mode hollow-core photonic bandgap fibre.
2.3. Mechanism of Birefringence Generation
One approach to achieving birefringence is to break the symmetry of the fibre core structure. The mechanism by which it produces birefringence is as follows: Within the asymmetric cross-section of the optical fibre, an anisotropic waveguide environment is formed. This anisotropy causes the two fundamental orthogonal polarisation states of the light wave to propagate at different phase velocities, thereby inducing the birefringence effect. This serves as the fundamental design basis for the design of the bandgap birefringent optical fibre discussed herein. This paper designs two birefringent bandgap fibre core structures—elliptical and rhombic cores—by altering the core geometry or modifying the arrangement of air holes in the cladding. Figure 3 illustrates the schematic of an asymmetric hollow-core bandgap fibre structure, wherein the hollow region adopts a rhombic configuration [17]. This design enables a flexible control over the asymmetry of the core structure, thereby enhancing the birefringence effect.
Figure 3.
Hexagonal unit cell arranged in triangular patterns. Rhombic-core bandgap photonic crystal structure and mode field diagram. (a) Schematic diagram of a bandgap photonic crystal structure with hexagonal unit cells arranged in a triangular pattern; (b) schematic diagram of the mould cavity.
3. Structural Design
As illustrated in Figure 4, this paper designs two types of hollow-core bandgap photonic crystal fibres with distinct core structures: a rounded rhombic core and an elliptical core. The primary consideration in selecting these two core structures is that they represent two orthogonal asymmetric configurations. The geometric asymmetry exhibited by these structures significantly enhances the difference in effective refractive indices between the two polarisation modes compared to conventional symmetric cores, endowing the fibres with the potential to achieve a high birefringence. Moreover, these two structures exhibit simpler and more regular physical shapes, with higher fabrication tolerances. They can achieve a low confinement loss and high birefringence properties while maintaining excellent single-mode behaviour. The optical fibre background material selected for this design is quartz glass, with a refractive index of 1.0 for both the cladding air holes and the hollow-core region, and a background material refractive index of 1.44. Employing the finite element method, this paper utilises COMSOL Multiphysics 6.2 software for numerical analysis. Proceeding from fundamental physical principles, it establishes mathematical equations based on finite element meshing of the optical fibre geometric model, subsequently performing iterative solutions on the physical field to reveal the intrinsic laws governing physical phenomena. This paper establishes the electromagnetic wave equation describing the propagation characteristics of light waves. To accurately simulate the physical environment, scattering boundary conditions are implemented in addition to perfect matching layers at the structure’s periphery. No incident field is applied to all boundaries, and the scattered waves are defined as first-order plane waves. To ensure that the simulation results align closely with the theoretical analysis, the geometric model employs a free triangular mesh partitioning. The mesh resolution features a maximum cell size of 4.14 μm and a minimum cell size of 0.0235 μm, with a maximum cell growth rate of 1.3 and a curvature factor of 0.3. The resolution in narrow regions is set to 1, and the mesh resolution satisfies numerical convergence requirements. Finally, the characteristic equations are solved using the finite element method combined with mode analysis algorithms, yielding performance data such as the mode field distribution, effective refractive index, and loss of the optical fibre.
Figure 4.
Diamond-shaped core, elliptical core cross-section, and adjustable parameters around the fibre core. (a) Oval core cross-section; (b) rhombic core cross-section; (c) adjustable parameters around the fibre core.
Moreover, surface scattering loss is directly related to the surface roughness σ of the fibre core, based on the Rayleigh roughness criterion [21], When the root mean square roughness s satisfies the condition σ < λ/4, the core surface may be regarded as optically smooth. This paper employs a constrained design for the radius and arrangement of the cladding air holes. For instance, the radius of the cladding air holes is designed to be approximately 2 μm, and they are arranged in a dense configuration, as shown in Figure 4. Since roughness represents the average of the curvature radii of surface irregularities, the s-value for the core surface in this paper is close to 0.5 μm. Given that the operating wavelength is 1.55 μm, σ < λ/3. Furthermore, considering the thermal softening behaviour of the glass surface at the air holes surrounding the fibre core during fabrication, the roughness can be reduced. The core surface is approximated as optically smooth in this study. Furthermore, as the primary work involves numerical mode field simulation using the finite element method, no analysis of surface scattering loss is performed.
In the model of a hollow-core bandgap photonic crystal fibre, the geometric parameters are as follows: the radius of the cladding air holes is r = 2 μm, the chamfer radius of the thin-layer air hole is dc = 0.65 d, d = 2 r, the spacing between air holes is t = 0.03 μm, and the major and minor semi-axial lengths of the core structure are a and b, respectively. This study employed a single-variable control method to first investigate the effect of air-hole radius r on fibre loss to determine the optimal air-hole radius for each core structure. Subsequently, by varying the core structure parameter b/a, the influence of b/a on confinement loss and the birefringence coefficient was evaluated.
Figure 5 shows the electric field mode field diagrams of polarised light for the elliptical hollow-core photonic bandgap fibre (designated as E-BPCF) and the rhombic hollow-core photonic bandgap fibre (designated as D-BPCF). The arrows indicate the x and y electric polarisation directions of the fibre mode field. Through simulation calculations, the polarisation intensity distribution values in two directions were obtained, denoted as Ey and Ex. According to wave theory, the distribution of the birefringent mode field determines the extent to which light wave energy is confined within the fibre core, meaning E(x,y) is the physical reason for the specific values of neff being generated. If Ey/Ex = 1, it indicates that neffx and neffy are degenerate states within the same waveguide mode. However, when Ey/Ex ≠ 1, neffx and neffy are lifted out of degeneracy, indicating a distinct occurrence of the birefringence effect. It should be noted that, for the calculation results of Ex and Ey, the two orthogonal components of the electric field mode E(x,y), COMSOL does not perform normalisation processing. However, it provides the calculated values of Ex and Ey under the same structural conditions, and the ratio of Ex to Ey may not be equal to 1, which can indirectly reflect the polarisation information of the mode field. The electric field intensity ratios of the two polarised mode fields shown in Figure 5 are 0.86 and 1.51, respectively. This demonstrates that both the elliptical core and the rhombic core exhibit pronounced birefringence characteristics.

Figure 5.
Elliptical core and diamond core x, y-axis polarisation mode field diagrams. (a) Elliptical core x-axis polarisation mode field diagram; (b) elliptical core y-axis polarisation mode field diagram; (c) rhombic core x-axis polarisation mode field diagram; (d) diamond core y-axis polarisation mode field diagram.
4. Performance Simulation and Structural Optimisation Analysis
4.1. Effect of Air-Hole Radius r on Fibre Properties
When dc = 0.65 d, b = 0.55 a, and a = 5.9 d, the loss variation curve of the cladding air-hole radius r from 2.0 μm to 2.5 μm, the birefringence coefficient variation curve, and the mode field for x and y electric polarisation directions are shown in Figure 6. This figure illustrates the effect of the cladding air-hole radius r on fibre performance for E-BPCF and D-BPCF at a wavelength of 1.55 μm. Figure 6a shows the performance data and mode field diagram for E-BPCF, while Figure 6b presents the performance data and mode field diagram for D-BPCF.
Figure 6.
Performance diagram of changing the radius of air holes in E-BPCF and D-BPCF cladding: (a) E-BPCF performance curve and mode field diagram; (b) D-BPCF performance curve and mode field diagram.
- (1)
- Confinement Loss
Due to the limited confinement capability of the cladding, not all light can be confined within the core. Therefore, the confinement capability of photonic crystal fibres for electromagnetic waves is characterised by the confinement loss. Confinement loss is typically calculated using the following formula:
As shown in Figure 6a, at r = 2.0 μm, the confinement loss of the E-BPCF remains relatively high at 9.7 × 10−1 dB/km. This is because the limited photonic bandgap formed by the small air core cladding radius restricts light confinement, leading to the easy leakage of core modes into the cladding. As r increases, loss decreases rapidly, reaching its minimum at r = 2.3 μm with a value of 9.4 × 10−2 dB/km. Beyond r = 2.3 μm, the loss curve tends to be flat. Similarly to E-BPCF, D-BPCF exhibits a relatively high confinement loss at r = 2.0 μm (3.4 × 10−1 dB/km). However, as r increases, the confinement loss of D-BPCF decreases rapidly. At corresponding radii of 2.3 μm, 2.4 μm, and 2.5 μm, the confinement losses are 3.7 × 10−2 dB/km, 1.6 × 10−2 dB/km, and 4.4 × 10−3 dB/km, respectively. The D-BPCF exhibits stronger optical confinement capabilities over the core region compared to the E-BPCF, resulting in a limitation loss that is one order of magnitude lower than that of the E-BPCF.
- (2)
- Analysis of Birefringence Properties
Within a PCF featuring a bidirectional asymmetric structure, two polarisation modes exist along the x and y directions. These modes possess mutually perpendicular polarisation states and mode refractive indices, meaning they exhibit distinct propagation velocities and dispersion curves. Birefringence is defined as the absolute value B of the difference in effective refractive indices between the two polarisation modes. It serves as an optical parameter characterising the magnitude of fibre birefringence, defined as follows:
In the above equation, and denote the propagation constants of the modes propagating in the x and y polarisation directions, respectively, while nx and ny represent the effective refractive indices for the two polarisation directions.
As shown in Figure 6b, the birefringence curve of E-BPCF follows the pattern below: As the air core radius r increases, a monotonically decreasing trend emerges. This occurs because the small change in the E-BPCF air core radius causes the splitting of the x and y degenerate modes in the core region to be modulated by the cladding photonic bandgap, resulting in a significant birefringence effect. When r = 2.0 μm, the birefringence coefficient reaches 4.3 × 10−4. As r increases to 2.5 μm, the birefringence coefficient decreases to 6 × 10−5. The birefringence curve of D-BPCF, however, remains relatively stable without significant fluctuations as r varies. When r is 2.0 μm, 2.4 mm, and 2.5 μm, the birefringence coefficients are 1.9 × 10−4, 1.1 × 10−4, and 1.4 × 10−4, respectively.
In summary, when the air-hole radius r of the E-BPCF cladding is set to 2.3 μm, the confinement loss is relatively low, while the birefringence coefficient is relatively high. When the cladding air-hole radius r of the D-BPCF cladding is set to 2.5 μm, the confinement loss is minimised, being one order of magnitude lower than other radius. Although the birefringence coefficient is not the highest, it still reaches a 10−4 order of magnitude level.
4.2. Influence of Core Structure Parameters b/a on Fibre Performance
Under conditions where d = 2.3 μm for the E-BPCF and d = 2.5 μm for the D-BPCF, the properties of birefringence and confinement loss in both E-BPCF and D-BPCF can be regulated by the ratio b/a of the short semi-axis b to the long semi-axis a. In this design, the loss curve with b/a ranging from 0.50 to 0.60 and the birefringence coefficient curve are depicted in Figure 7. Figure 7a shows the loss curve and Figure 7b displays the birefringence coefficient curve, while Figure 7c and Figure 7d, respectively, illustrate the real-part refractive index curves of the X and Y mode fields for the E-BPCF and D-BPCF.
Figure 7.
Performance diagrams for two core structures b/a. (a) Confinement loss curve; (b) birefringence coefficient curve; (c) schematic of E-BPCF X- and Y-axis mode field refractive index real-part curves; (d) schematic of D-BPCF X- and Y-axis mode field refractive index real-part curves.
As shown in Figure 7a, the confinement loss of the E-BPCF exhibits a distinct fluctuating trend with variations in b/a. At b/a values of 0.50 and 0.51, the confinement losses were 6.8 × 10−1 dB/km and 9.45 dB/km, respectively. Subsequently, at b/a = 0.52, the loss drops sharply to 2.76 × 10−2 dB/km, followed by another fluctuation. At b/a = 0.59, a peak reappeared, reaching 2.43 dB/km. The reason for such fluctuations lies in the BPCF designed in this paper, whose air-hole cladding structure and fibre core structural parameter (b/a ratio) exhibit a relatively complex interface structure. When the b/a ratio changes, it causes irregular and periodic alterations in the size of the contact surface between the cladding lattice and the fibre core edge, which tend to form a complex photonic bandgap structure. For example: Multi-layer dielectric cladding possesses multiple photonic bandgaps, while numerous leakage modes may exist between bandgaps; strong dispersion is observed in edge-bandgap modes; core modes readily couple with multiple discrete wavelengths to generate higher-order spatial harmonic modes, leading to multiple loss modes and oscillations. This results in irregular fluctuations in both confinement loss and birefringence with respect to wavelength. The difference in changes induced by D-BPCF and E-BPCF lies in their distinct contact surfaces. D-BPCF confinement loss consistently remains at a low level of 10−2 to 10−3 dB/km, exhibiting a smoother trend with b/a variations. At b/a = 0.54, the confinement loss peaks at 2.45 × 10−2 dB/km. When b/a is 2.55 and 2.56, respectively, the confinement loss is comparatively lower at 4.4 × 10−3 dB/km and 3.74 × 10−3 dB/km. Although minor fluctuations in loss occur with variations in b/a, the overall loss level remains consistently low.
The birefringence coefficients are shown in Figure 7b,c. The amplitude fluctuations in the real part of the refractive index for the Y-axis mode field of the E-BPCF are markedly greater than those for the X-axis mode field. The birefringence coefficients of the E-BPCF exhibit significant fluctuations with variations in b/a. At b/a = 0.51, it peaks at 4.2 × 10−4, where the synergistic effect of core geometric anisotropy and cladding photonic bandgap constraints on the mode enhances the birefringence. Subsequently, as b/a increases, the birefringence first drops sharply (to 4 × 10−5 at b/a = 0.52) before fluctuating upwards again. When b/a approaches 0.60, the birefringence decreases once more. This reflects how variations in b/a cause irregular and periodic changes in the size of the contact surface between the cladding lattice and the core edge, leading to more complex alterations in the bandgap structure. The core modes of both E-BPCF and D-BPCF fibres also exhibit irregular fluctuations, causing irregular alterations in the polarisation behaviour. Owing to D-BPCF’s higher geometric symmetry and weaker anisotropy compared to E-BPCF, its overall birefringence coefficient remains lower than that of E-BPCF. However, as depicted in Figure 7d, the real-part fluctuations of the refractive indices along the X and Y axes of D-BPCF’s mode field exhibit similar amplitudes, resulting in relatively smoother birefringence variations. At b/a = 0.50, the birefringence is approximately 2 × 10−4. As b/a increases, the birefringence fluctuates slightly around the 10−4 magnitude. At b/a = 0.53, it briefly drops to 9 × 10−5 before gradually changing again, indicating that the birefringence characteristics of the D-BPCF structure are more stable.
In summary, the E-BPCF exhibits an optimal performance when b/a is set to 0.57, at which point the confinement loss is relatively low, reaching 1.9 × 10−1 dB/km; the birefringence coefficient is relatively large, reaching 3 × 10−4. For the D-BPCF, b/a is set to 0.55, yielding a relatively low confinement loss of 4.4 × 10−3 dB/km, with a relatively high birefringence coefficient of 1.4 × 10−4. The birefringence differences between E-BPCF and D-BPCF indicate that E-BPCF is more suitable for application in longer-distance polarisation-maintaining fibres, while D-BPCF can be utilised in short-distance birefringence-stable fibre sensors.
4.3. Relationship Between Wavelength and Fibre Performance
E-BPCF and D-BPCF, as typical orthogonal asymmetric structures, exhibit irregular and periodic alterations in the contact area between the cladding lattice and fibre core edge when structural parameters vary. This induces complex modifications in the bandgap structure, resulting in erratic periodic fluctuations in their mode transmission characteristics with respect to wavelength evolution. This section employs the optimal parameters obtained from the preceding experiment: an air gap radius of 2.3 μm for the cladding of the E-BPCF, with b/a = 0.57, and with the cladding air-hole radius of D-BPCF being 2.5 μm and b/a = 0.55. By varying the incident light wavelength λ from 1.52 μm to 1.56 μm, the confinement loss curve and birefringence coefficient curve are shown in Figure 8. Figure 8a depicts the confinement loss curve, while Figure 8b illustrates the birefringence coefficient curve.
Figure 8.
Performance diagram of E-BPCF versus D-BPCF at different wavelengths. (a) Confinement loss curve; (b) birefringence coefficient curve.
Figure 8a illustrates the confinement loss behaviour of the two core structures. The confinement loss of the E-BPCF exhibits relatively stable characteristics with respect to the incident light wavelength λ. Within the 1.52–1.54 μm range, the loss remains at the 10−2 dB/km level, owing to the enhanced confinement of the core-region light field by the cladding photonic bandgap at shorter wavelengths, resulting in minimal leakage. Between 1.54 and 1.55 μm, the loss increases from the 10−2 dB/km range to the 10−1 dB/km range. At λ = 1.55 μm, the confinement loss reaches 1.9 × 10−1 dB/km. This arises because the increased wavelength enhances coupling between the core mode and the cladding leaky modes, weakening the confinement force and gradually increasing leakage. At 1.55 μm, the post-loss stabilises, with loss characteristics residing within a stable range. The D-BPCF confinement loss remains consistently at the 10−3 dB/km level. This is attributed to the D-BPCF’s regular polygonal structure, which imposes strong constraints on the light field within the photonic bandgap. Consequently, at λ = 1.55 μm, the confinement loss is notably low at 4.4 × 10−3 dB/km. Across the entire wavelength range, although minor fluctuations occur, the overall loss remains substantially lower than that of the E-BPCF.
The birefringence coefficients of the D-BPCF and E-BPCF core structures are shown in Figure 8b. The birefringence coefficient of the E-BPCF exhibits a monotonically increasing trend with increasing wavelength λ. In the 1.52–1.56 μm range, the birefringence coefficient steadily increases from 2.36 × 10−4 to a peak value of 3.2 × 10−4. As the wavelength increases, the D-BPCF birefringence exhibits behaviour opposite to that of the E-BPCF. From a physical mechanism perspective, for D-BPCF, a larger effective refractive index difference △n_eff between the core and cladding, coupled with a larger numerical aperture NA, results in a higher normalised frequency . This imposes strong constraints on the optical field mode, making it insensitive to the asymmetry of the core boundary and thus exhibiting lower birefringence effects. Conversely, when the numerical aperture (NA) of the E-BPCF is smaller, the normalised frequency is lower, resulting in weaker constraints on the light field mode. This leads to a higher sensitivity to asymmetry at the fibre core boundary, thereby increasing birefringence effects. Furthermore, the birefringence coefficients of D-BPCFs are generally lower than those of E-BPCFs. Compared to E-BPCF, its variation rate remains relatively stable, with the maximum and minimum difference being only 0.3 × 10−4. It ranges from 1.62 × 10−4 at 1.52 μm to 1.32 × 10−4 at 1.56 μm, and at 1.55 μm the birefringence coefficient is 1.4 × 10−4.
In summary, both E-BPCF and D-BPCF exhibit birefringence coefficients exceeding 10−4. Notably, E-BPCF achieves a high birefringence of 3.0 × 10−4 at a wavelength of 1.55 μm. Whilst D-BPCF demonstrates a relatively lower birefringence coefficient, its loss is as low as 3.9 × 10−3 dB/km, representing a lower value than that of E-BPCF.
4.4. Bending Loss
Birefringent hollow-core photonic bandgap fibres may be employed within the fibre resonant cavities of fibre optic gyroscopes, where bending loss constitutes a critical performance metric. Meanwhile, other fibre applications may also experience bending due to various factors. Since fibre bending disrupts the continuity of the geometric symmetry of the fibre structure, the wavefront of light wave becomes distorted in the curved segment. This distortion alters the effective refractive index of the bent fibre’s mode field, resulting in additional losses. Therefore, the loss caused by fibre bending must be taken into account.
Perform an equivalent transformation of the refractive index for bending, converting the refractive index of an unbent straight fibre into that of a bent fibre, then calculate the loss. The refractive index transformation formula is as follows [22]:
Rb denotes the bending radius, P represents the direction of fibre curvature, n(x, y) signifies the effective refractive index of the straight fibre, and nb denotes the effective refractive index after bending.
Figure 9 depicts the variation curves of the confinement loss for E-BPCF and D-BPCF, together with the bent mode field distributions, as the bending radius R increases from 10 mm to 40 mm. As shown in the figure, the E-BPCF loss exhibits a slow fluctuating decrease with increasing radius before stabilising, dropping from 2.421 × 10−1 dB/km at 10 mm to 1.968 × 10−1 dB/km at 40 mm. This indicates that, when the elliptical core undergoes small-radius bending, the light wave energy leakage into the cladding slightly increases due to mode field distortion. The D-BPCF curve exhibits a minor loss peak (approximately 6.73 × 10−3 dB/km) near 23–24 mm. This is typically caused by mode coupling phenomena, where fundamental mode energy resonantly couples with cladding modes or high-order modes under specific bending conditions. Nevertheless, its overall loss remains significantly lower than that of E-BPCF. The rounded rhombic core geometric structure of D-BPCF enables a more compact confinement of the mode field, rendering it insensitive to bending-induced photonic bandgap mismatch. Although the E-BPCF curve has relatively high loss values, its fluctuations are remarkably smooth, showing no distinct resonance coupling points. The D-BPCF magnitude of 10−3 dB/km indicates that this fibre maintains an exceptionally high transmission efficiency even under compact winding conditions, such as in miniature fibre optic gyroscopes.
Figure 9.
Variation in loss in E-BPC and FE-BPCF with bending radius, and mode field diagram during bending. (a) E-BPCF bending modulus; (b) D-BPCF bending modulus; (c) relationship between bending radius and confinement loss.
4.5. Study on the Influence of Tellurium–Bismuthate Glass on the Performance of Hollow-Core Bandgap Photonic Crystal Fibres
To investigate the influence of different background glasses on the birefringence and loss characteristics of bandgap fibres, this paper introduces tellurium–bismuth glass as the substrate material for the E-BPCF structure, termed EBT-BPCF. Its performance is analysed below.
Tellurium–bismuthate glasses exhibit a relatively high refractive index. In 2025, Hrabovský, Jan et al. investigated the linear and nonlinear optical properties, as well as magneto-optical characteristics, of TeO2–BaO–Bi2O3 (TeBaBi) glasses prepared using conventional melt-quenching techniques. These glasses exhibit high refractive indices, Verdet constants, and optical bandgap energies, with refractive indices ranging from 1.922 to 2.084 at a wavelength of 1.55 μm [23]. In 2025, Tan Fang et al. investigated the structural evolution and 2 μm luminescence of Yb3+/Ho3+ co-doped bismuth tellurate laser glass. The researchers employed a melt annealing method to prepare samples with varying concentrations of Yb3+ and Ho3+ ions, analysing their thermal stability, structural properties, and luminescent performance. The results indicated that, through multicomponent modulation and structural evolution, the glass matrix density increased, with significant enhancements in the refractive index and thermodynamic properties [24]. Tellurium–bismuth oxide glass exhibits a relatively low melting temperature. During the fabrication of hollow-core bandgap fibres, this property enables thermodynamic processes to reduce surface roughness on the core. The lower fabrication temperature not only reduces energy consumption but also helps mitigate the adverse effects of high temperatures on the fibre structure and performance, offering distinct technological advantages. This experiment simulated the confinement loss and birefringence coefficient of E-BPCF at a wavelength of 1.55 μm under refractive indices ranging from 1.89 to 2.04. Figure 10 shows the performance of EBT-BPCF across the refractive index range of 1.89–2.04, with the dashed line indicating the performance of the previously mentioned optimised structure at a refractive index of 1.44.
Figure 10.
Performance of elliptical core at different refractive indices. (a) Confinement loss curve; (b) birefringence coefficient curve.
Figure 10 illustrates the relationship between confinement loss and refractive index variation. The graph demonstrates that, within the refractive index range of 1.89 to 2.04 for tellurium–bismuth glass, confinement loss exhibits complex fluctuating characteristics. This occurs because alterations in the background material’s refractive index induce irregular changes in the bandgap structure, consequently causing irregular fluctuations in confinement loss. In regions of lower refractive index (such as near 1.89–1.90), the confinement loss exhibits a relatively large peak, reaching 2.23 dB/km at a refractive index of 1.9. This is considerably higher than the confinement loss corresponding to silica glass (indicated by the horizontal dashed line in the figure, approximately 0.1951 dB/km). As the refractive index increases, the confinement loss initially decreases, reaching relatively low values within a specific refractive index range (e.g., around 1.90–1.95), partially approaching the confinement loss of silica glass. At a refractive index of 1.94, the confinement loss is 2.03 × 10−1 dB/km. However, as the refractive index continues to increase (e.g., beyond 1.95), the confinement loss rises markedly, exhibiting another peak of elevated loss.
From the relationship diagram of birefringence coefficient variation, it can be observed that, when the refractive index of tellurium–bismuth glass falls within the range of 1.89 to 2.04, the birefringence coefficient exhibits a distinct trend of change. In the region of lower refractive indices (close to 1.89), the birefringence coefficient is slightly higher than that of quartz glass. Subsequently, as the refractive index increases, the birefringence coefficient first decreases and then remains relatively stable within a certain range (approximately 1.90–1.95), approaching the birefringence coefficient of 3 × 10−4 corresponding to quartz glass (refractive index 1.444). However, as the refractive index increases further (beyond 1.95), the birefringence coefficient begins to rise significantly, with its growth rate accelerating progressively. Near a refractive index of 2.04, the birefringence coefficient increases substantially, far exceeding that of quartz glass, to reach 5.8 × 10−4. This indicates that increasing the refractive index of tellurium–bismuthate glass, particularly within the higher-refractive-index range, can substantially enhance the birefringence characteristics of optical fibres.
Tellurium–bismuthate glass, as a material for hollow-core bandgap photonic crystal fibres, exhibits significant effects of refractive index variation on both the fibre’s birefringence coefficient and confinement loss. Regarding birefringence, higher refractive indices (particularly beyond 1.95) substantially enhance the birefringence coefficient; regarding confinement loss, specific refractive index ranges (such as portions within 1.90–1.95) result in a relatively low confinement loss, approaching or even surpassing silica glass at 2.03 × 10−1 dB/km, whilst other ranges exhibit a higher confinement loss. This provides a valuable reference for the design and application of hollow-core bandgap photonic crystal fibres based on tellurium–bismuthate glass.
5. Conclusions
This paper designs two types of high-birefringence, low-loss hollow-core bandgap photonic crystal fibres. The cladding consists of a rounded hexagonal honeycomb lattice, while two asymmetric core structures—elliptical and rounded rhombic—are proposed. By combining the method of controlled variables with finite element analysis, this study systematically investigated the regulation mechanisms of fibre confinement loss and the birefringence coefficient as functions of the cladding air-hole radius r, core structure parameter b/a, incident light wavelength λ, and bending radius R. Optimal structural parameters were determined for both fibre types. The research findings indicate the following: (1) At a cladding air-hole radius r = 2.3 μm and b/a = 0.57, the E-BPCF exhibits outstanding birefringence characteristics, achieving a birefringence coefficient of 3 × 10−4 at an incident wavelength of 1.55 μm; its loss remains at the order of magnitude of 10−2 dB/km. (2) For D-BPCF with cladding air-hole radius r = 2.5 μm and b/a = 0.55, the birefringence coefficient at a 1.55 μm wavelength is 1.4 × 10−4; the confinement loss is 4.4 × 10−3 dB/km, two orders of magnitude lower than that of E-BPCF, indicating that D-BPCF offers advantages in loss reduction and also exhibits a superior bending loss performance compared to E-BPCF. The confinement loss of D-BPCF, which is on the order of 10−3 dB/km, indicates that this fibre maintains an exceptionally high transmission efficiency even when this fibre is bent to small radii (e.g., in the fibre resonator cavity of a compact fibre gyroscope). Its birefringence coefficient exhibits a stable wavelength dependence. The D-BPCF’s confinement loss of 10−3 dB/km is lower than the current industry standard of 10−2 dB/km for confinement loss in similar fibres, while its birefringence coefficient of 10−4 is higher than the birefringence coefficient of 10−5 typically observed in comparable fibres.
Additionally, to investigate the impact of novel materials on the key properties of birefringent bandgap photonic crystal fibres with identical structures, this study replaced the E-BPCF substrate material with bismuth telluride glass and conducted a mode analysis of its birefringence and loss characteristics. The results indicate that, at a 1.55 μm wavelength, within a specific refractive index range (1.90–1.95), the confinement loss is 2.03 × 10−1 dB/km, demonstrating a comparable capability to quartz glass. The bismuth–tellurite glass E-BPCF exhibits a significant advantage in birefringence, reaching 5.8 × 10−4. This provides a valuable reference and novel avenues for exploring the design and application of hollow-core bandgap photonic crystal fibres using novel host materials.
Author Contributions
Validation, F.T.; Investigation, Z.Z.; Data curation, S.C.; Writing—original draft, S.C.; Writing—review & editing, S.C.; Visualization, S.C.; Supervision, F.T., Z.Z., D.C., S.G., Y.Z. and D.Z.; Project administration, S.C.; Funding acquisition, F.T. All authors have read and agreed to the published version of the manuscript.
Funding
This research was funded by Jilin Province Science and Technology Development plan, project (20260203079SF).
Data Availability Statement
Data are contained within the article.
Conflicts of Interest
The authors declare no conflict of interest.
References
- Knight, J.C.; Broeng, J.; Birks, T.A.; Russell, P.S.J. Photonic band gap guidance in optical fibers. Science 1998, 282, 1476–1478. [Google Scholar] [CrossRef] [PubMed]
- Poletti, F.; Petrovich, M.N.; Richardson, D.J. Hollow-core photonic bandgap fibers: Technology and applications. Nanophotonics 2013, 2, 315–340. [Google Scholar] [CrossRef]
- Kuiri, B.; Dutta, B.; Sarkar, N.; Atta, R.; Mallick, K.; Sharma, M.D.; Patra, A.S. Development of ring-core photonic crystal fiber based on LiNbO3 supporting higher-order OAM modes. Opt. Quantum Electron. 2023, 55, 726. [Google Scholar] [CrossRef]
- Mangan, B.; Farr, L.; Langford, A.; Roberts, P.J.; Williams, D.P.; Couny, F.; Lawman, M.; Mason, M.; Coupland, S.; Flea, R. Low loss (1.7 dB/km) hollow core photonic bandgap fiber. In Proceedings of the Optical Fiber Communication Conference, Los Angeles, CA, USA, 22–27 February 2004; Optica Publishing Group: Washington, DC, USA, 2004; p. PD24. [Google Scholar]
- Petrovich, M.; Fokoua, E.N.; Chen, Y.; Sakr, H.; Adamu, A.I.; Hassan, R.; Wu, D.; Ando, R.F.; Papadimopoulos, A.; Sandoghchi, S.R. Broadband optical fibre with an attenuation lower than 0.1 decibel per kilometre. Nat. Photonics 2025, 19, 1203–1208. [Google Scholar] [CrossRef]
- Kuiri, B.; Pathak, A.K.; Sarkar, N.; Das, A.; Sharma, M.D.; Patra, A.S. Deep learning prediction of novel hollow core photonic crystal fiber with tuned As2S3−LiNbO3 ring for multimode applications. Opt. Fiber Technol. 2024, 88, 103998. [Google Scholar] [CrossRef]
- Saitoh, K.; Mortensen, N.; Koshiba, M. Air-core photonic band-gap fibers: The impact of surface modes. Opt. Express 2004, 12, 394–400. [Google Scholar] [CrossRef]
- Amezcua-Correa, R.; Broderick, N.; Petrovich, M.; Poletti, F.; Richardson, D. Optimizing the usable bandwidth and loss through core design in realistic hollow-core photonic bandgap fibers. Opt. Express 2006, 14, 7974–7985. [Google Scholar] [CrossRef]
- Amezcua-Correa, R.; Broderick, N.; Petrovich, M.; Poletti, F.; Richardson, D. Design of 7 and 19 cells core air-guiding photonic crystal fibers for low-loss, wide bandwidth and dispersion controlled operation. Opt. Express 2007, 15, 17577–17586. [Google Scholar] [CrossRef]
- Amezcua-Correa, R.; Gérôme, F.; Leon-Saval, S.; Broderick, N.; Birks, T.; Knight, J. Control of surface modes in low loss hollow-core photonic bandgap fibers. Opt. Express 2008, 16, 1142–1149. [Google Scholar] [CrossRef]
- Zhang, H.; Wang, Q.; Yang, B. Research Progress of Photonic Bandgap-photonic Crystal Fibers. Semicond. Optoelectron.—Chongqing 2007, 28, 301. [Google Scholar]
- Fokoua, E.N.; Richardson, D.J.; Poletti, F. Impact of Structural Distortions on the Loss Properties of Hollow-Core Photonic Bandgap Fibers. In Proceedings of the Asia Communications and Photonics Conference, Beijing, China, 12–15 November 2013; Optica Publishing Group: Washington, DC, USA, 2013; p. AW3C.2. [Google Scholar]
- Cheng, S.-F.; Peng, J.-G.; Li, J.-Y.; Cheng, L.; Jiang, Z.-W.; Li, H.-Q.; Neng-Li, J.F.-G.D.; Yang, X.-B. The surface modes loss control of hollow-core photonic crystal fibers. Acta Phys. Sin. 2012, 61, 244207. [Google Scholar] [CrossRef]
- Zhu, Y.; Gao, F.; Song, N.; Liu, J.; Xu, X. Effect of core chamfering on the loss of photonic band-gap fiber. Opt. Commun. 2025, 591, 132122. [Google Scholar] [CrossRef]
- Guo, Y.; Tian, X.; Hou, D.; Lian, Z.; Lou, S.; Wang, X. A Wide-Bandwidth Single-mode Low-loss Hybrid Hollow-core Polarization-maintaining Fiber with High Bend Performance and Excellent Temperature Stability. J. Light. Technol. 2025, 43, 7819–7827. [Google Scholar] [CrossRef]
- Gao, B.; Tan, F.; Chen, D.; Cui, S.; Hou, Z.; Zhang, Y.; Wang, W.; Ban, Y.; Zhou, D. Design and study of low loss, high birefringence quasi-symmetric hollow-core anti-resonant fiber. Photonics 2024, 11, 675. [Google Scholar] [CrossRef]
- Wang, L.; Liao, M.; Yu, F.; Chen, L.; Wang, Y.; Wu, D.; Wang, T.; Hu, L.; Gao, W. The structural defects and optical performance of polarization-maintaining hollow-core photonic bandgap fiber. IEEE Photonics J. 2023, 15, 2200907. [Google Scholar] [CrossRef]
- Arman, H.; Olyaee, S. Photonic bandgap fiber-based gas sensor with high sensitivity and high birefringence. J. Comput. Electron. 2022, 21, 1357–1364. [Google Scholar] [CrossRef]
- Osório, J.H.; Rosolem, J.B.; Bassan, F.R.; Amrani, F.; Gérôme, F.; Benabid, F.; Cordeiro, C.M. Hollow-core photonic crystal fibers for Power-over-Fiber systems. Opt. Fiber Technol. 2022, 73, 103041. [Google Scholar] [CrossRef]
- Debord, B.; Amrani, F.; Vincetti, L.; Gérôme, F.; Benabid, F. Hollow-core fiber technology: The rising of “gas photonics”. Fibers 2019, 7, 16. [Google Scholar] [CrossRef]
- Beckmann, P.; Spizzichino, A. The Scattering of Electromagnetic Waves from Rough Surfaces; Artech House: Dedham, MA, USA, 1987; Chapter 2; pp. 9–16. [Google Scholar]
- Hui, Z.Q.; Yang, X.; Han, D.D.; Li, T.T.; Zhao, F.; Yang, Y.; Chen, S.G. High birefringence hollow-core anti-resonant terahertz photonic crystal fiber with ultra-low loss. J. Infrared Millim. Waves 2022, 41, 563–572. [Google Scholar]
- Hrabovský, J.; Love, J.R.; Střižík, L.; Ishibashi, T.; Zollner, S.; Veis, M. TeO2-BaO-Bi2O3 tellurite optical glasses II—Linear and non-linear optical and magneto-optical properties. arXiv 2025, arXiv:2507.01258. [Google Scholar] [CrossRef]
- Tan, F.; Chen, D.; Gao, B.; Cui, S.; Zhang, Z.; Ge, S.; Zhang, Y.; Zhou, D.; Leng, Z.; Zhang, Y. Structural evolution and 2 μm luminescence of Yb3+/Ho3+ co-doped bismuth telluride laser glass. Infrared Phys. Technol. 2025, 150, 105947. [Google Scholar] [CrossRef]
Disclaimer/Publisher’s Note: The statements, opinions and data contained in all publications are solely those of the individual author(s) and contributor(s) and not of MDPI and/or the editor(s). MDPI and/or the editor(s) disclaim responsibility for any injury to people or property resulting from any ideas, methods, instructions or products referred to in the content. |
© 2026 by the authors. Licensee MDPI, Basel, Switzerland. This article is an open access article distributed under the terms and conditions of the Creative Commons Attribution (CC BY) license.










