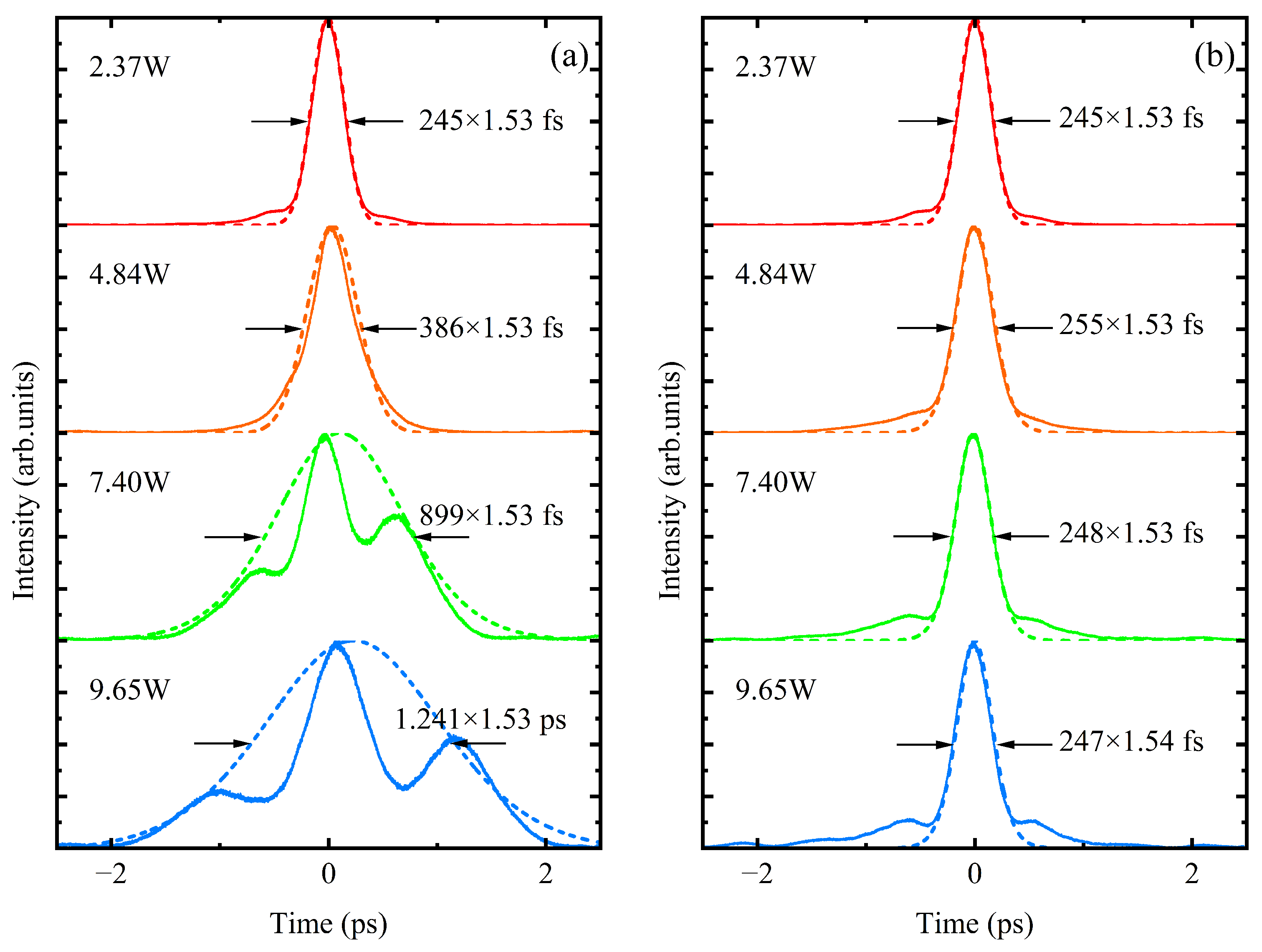
Dispersion Analysis and Control in a Yb-Doped Fiber Chirped Pulse Amplification System and Second-Harmonic Generation
Abstract
Share and Cite
You, Z.; Wang, Q.; Fan, Y.; Zhao, Y.; Qi, Y.; Yan, B.; Wen, N.; Han, Z.; Zhou, M.; Wang, Y. Dispersion Analysis and Control in a Yb-Doped Fiber Chirped Pulse Amplification System and Second-Harmonic Generation. Photonics 2026, 13, 118. https://doi.org/10.3390/photonics13020118
You Z, Wang Q, Fan Y, Zhao Y, Qi Y, Yan B, Wen N, Han Z, Zhou M, Wang Y. Dispersion Analysis and Control in a Yb-Doped Fiber Chirped Pulse Amplification System and Second-Harmonic Generation. Photonics. 2026; 13(2):118. https://doi.org/10.3390/photonics13020118
Chicago/Turabian StyleYou, Zhengying, Qian Wang, Yuanyuan Fan, Yifan Zhao, Yan Qi, Boxia Yan, Ning Wen, Zhe Han, Mi Zhou, and Yanwei Wang. 2026. "Dispersion Analysis and Control in a Yb-Doped Fiber Chirped Pulse Amplification System and Second-Harmonic Generation" Photonics 13, no. 2: 118. https://doi.org/10.3390/photonics13020118
APA StyleYou, Z., Wang, Q., Fan, Y., Zhao, Y., Qi, Y., Yan, B., Wen, N., Han, Z., Zhou, M., & Wang, Y. (2026). Dispersion Analysis and Control in a Yb-Doped Fiber Chirped Pulse Amplification System and Second-Harmonic Generation. Photonics, 13(2), 118. https://doi.org/10.3390/photonics13020118

