Effects of Near-Infrared Photobiomodulation on Local Skin Blood Flow in Healthy Subjects
Abstract
1. Introduction
2. Materials and Methods
2.1. Study Design and Study Participants
2.2. Experimental Equipment
2.3. Interventions and Experimental Procedure
2.4. Data Analysis, Statistical Analysis, and Data Presentation
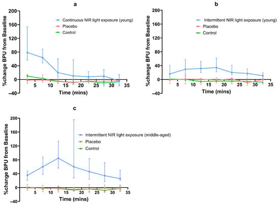
3. Results
3.1. Subject Characteristics
3.2. Effect of Mode of NIR Light Exposure
3.3. Effect of Age
3.4. Effect on Skin Temperature
4. Discussion
5. Conclusions
Author Contributions
Funding
Institutional Review Board Statement
Informed Consent Statement
Data Availability Statement
Conflicts of Interest
Abbreviations
| PBM | Photobiomodulation |
| NIR | Near-Infrared |
| BPU | Blood Perfusion Units |
| LDF | Laser Doppler FLowmeter |
| NO | Nitric Oxide |
References
- Hamblin, M.R. Photobiomodulation or low-level laser therapy. J. Biophotonics 2016, 9, 1122–1124. [Google Scholar] [CrossRef]
- Hamblin, M.R. Shining light on the head: Photobiomodulation for brain disorders. BBA Clin. 2016, 6, 113–124. [Google Scholar] [CrossRef]
- Hamblin, M.R. Mechanisms and applications of the anti-inflammatory effects of photobiomodulation. AIMS Biophys. 2017, 4, 337–361. [Google Scholar] [CrossRef]
- Gavish, L.; Perez, L.S.; Reissman, P.; Gertz, S.D. Irradiation with 780 nm diode laser attenuates inflammatory cytokines but upregulates nitric oxide in lipopolysaccharide-stimulated macrophages: Implications for the prevention of aneurysm progression. Lasers Surg. Med. 2008, 40, 371–378. [Google Scholar] [CrossRef] [PubMed]
- Dompe, C.; Moncrieff, L.; Matys, J.; Grzech-Leśniak, K.; Kocherova, I.; Bryja, A.; Bruska, M.; Dominiak, M.; Mozdziak, P.; Skiba, T.H.I.; et al. Photobiomodulation—Underlying mechanism and clinical applications. J. Clin. Med. 2020, 9, 1724. [Google Scholar] [CrossRef] [PubMed]
- Whelan, H.T.; Buchmann, E.V.; Dhokalia, A.; Kane, M.P.; Whelan, N.T.; Wong-Riley, M.T.; Eells, J.T.; Gould, L.J.; Hammamieh, R.; Das, R.; et al. Effect of NASA light-emitting diode irradiation on molecular changes for wound healing in diabetic mice. J. Clin. Laser Med. Surg. 2003, 21, 67–74. [Google Scholar] [CrossRef] [PubMed]
- Oyebode, O.; Houreld, N.N.; Abrahamse, H. Photobiomodulation in diabetic wound healing: A review of red and near-infrared wavelength applications. Cell Biochem. Funct. 2021, 39, 596–612. [Google Scholar] [CrossRef]
- Yadav, A.; Gupta, A. Noninvasive red and near-infrared wavelength-induced photobiomodulation: Promoting impaired cutaneous wound healing. Photodermatol. Photoimmunol. Photomed. 2017, 33, 4–13. [Google Scholar] [CrossRef]
- Karu, T. Mitochondrial mechanisms of photobiomodulation in context of new data about multiple roles of ATP. Photomed. Laser Surg. 2010, 28, 159–160. [Google Scholar] [CrossRef]
- Hamblin, M.R. Mechanisms and Mitochondrial Redox Signaling in Photobiomodulation. Photochem. Photobiol. 2018, 94, 199–212. [Google Scholar] [CrossRef]
- Hamblin, M.R. The role of nitric oxide in low level light therapy. In Mechanisms for Low-Light Therapy III; SPIE: Bellingham, WA, USA, 2008; Volume 6846, pp. 7–20. [Google Scholar]
- Poyton, R.O.; Ball, K.A. Therapeutic photobiomodulation: Nitric oxide and a novel function of mitochondrial cytochrome c oxidase. Discov. Med. 2011, 11, 154–159. [Google Scholar]
- Kochman, A.B. Monochromatic Infrared Photo Energy and Physical Therapy for Peripheral Neuropathy: Influence on Sensation, Balance, and Falls. J. Geriatr. Phys. Ther. 2004, 27, 18–21. [Google Scholar] [CrossRef]
- Mosca, R.C.; Ong, A.A.; Albasha, O.; Bass, K.; Arany, P. Photobiomodulation Therapy for Wound Care: A Potent, Noninvasive, Photoceutical Approach. Adv. Skin Wound Care 2019, 32, 157–167. [Google Scholar] [CrossRef] [PubMed]
- Karu, T.I. Mitochondrial signaling in mammalian cells activated by red and near-IR radiation. Photochem. Photobiol. 2008, 84, 1091–1099. [Google Scholar] [CrossRef] [PubMed]
- de Freitas, L.F.; Hamblin, M.R. Proposed Mechanisms of Photobiomodulation or Low-Level Light Therapy. IEEE J. Sel. Top. Quantum Electron. 2016, 22, 7000417. [Google Scholar] [CrossRef]
- Huang, Y.Y.; Sharma, S.K.; Carroll, J.; Hamblin, M.R. Biphasic dose response in low level light therapy—An update. Dose Response 2011, 9, 602–618. [Google Scholar] [CrossRef]
- Chung, H.; Dai, T.; Sharma, S.K.; Huang, Y.Y.; Carroll, J.D.; Hamblin, M.R. The nuts and bolts of low-level laser (light) therapy. Ann. Biomed. Eng. 2012, 40, 516–533. [Google Scholar] [CrossRef] [PubMed] [PubMed Central]
- Keszler, A.; Lindemer, B.; Weihrauch, D.; Jones, D.; Hogg, N.; Lohr, N.L. Red/near infrared light stimulates release of an endothelium dependent vasodilator and rescues vascular dysfunction in a diabetes model. Free Radic. Biol. Med. 2017, 113, 157–164. [Google Scholar] [CrossRef]
- Lohr, N.L.; Keszler, A.; Pratt, P.; Bienengraber, M.; Warltier, D.C.; Hogg, N. Enhancement of nitric oxide release from nitrosyl hemoglobin and nitrosyl myoglobin by red/near infrared radiation: Potential role in cardioprotection. J. Mol. Cell. Cardiol. 2009, 47, 256–263. [Google Scholar] [CrossRef]
- Colombo, E.; Signore, A.; Aicardi, S.; Zekiy, A.; Utyuzh, A.; Benedicenti, S.; Amaroli, A. Experimental and Clinical Applications of Red and Near-Infrared Photobiomodulation on Endothelial Dysfunction: A Review. Biomedicines 2021, 9, 274. [Google Scholar] [CrossRef]
- Zhang, R.; Mio, Y.; Pratt, P.F.; Lohr, N.; Warltier, D.C.; Whelan, H.T.; Zhu, D.; Jacobs, E.R.; Medhora, M.; Bienengraeber, M. Near infrared light protects cardiomyocytes from hypoxia and reoxygenation injury by a nitric oxide dependent mechanism. J. Mol. Cell. Cardiol. 2009, 46, 4–14. [Google Scholar] [CrossRef] [PubMed]
- Jin, J.; Zheng, X.; He, F.; Zhang, Y.; Zhou, H.; Luo, P.; Xia, Z. Therapeutic efficacy of early photobiomodulation therapy on the zones of stasis in burns: An experimental rat model study. Wound Repair Regen. 2018, 26, 426–436. [Google Scholar] [CrossRef] [PubMed]
- Moriyama, Y.; Moriyama, E.H.; Blackmore, K.; Akens, M.K.; Lilge, L. In vivo study of the inflammatory modulating effects of low-level laser therapy on iNOS expression using bioluminescence imaging. Photochem. Photobiol. 2005, 81, 1351–1355. [Google Scholar] [CrossRef] [PubMed]
- Moriyama, Y.; Nguyen, J.; Akens, M.; Moriyama, E.H.; Lilge, L. In vivo effects of low level laser therapy on inducible nitric oxide synthase. Lasers Surg. Med. 2009, 41, 227–231. [Google Scholar] [CrossRef]
- Samoilova, K.A.; Zhevago, N.A.; Menshutina, M.A.; Grigorieva, N.B. Role of nitric oxide in the visible light-induced rapid increase of human skin microcirculation at the local and systemic level: I. diabetic patients. Photomed. Laser Surg. 2008, 26, 433–442. [Google Scholar] [CrossRef]
- Samoilova, K.A.; Zhevago, N.A.; Petrishchev, N.N.; Zimin, A.A. Role of nitric oxide in the visible light-induced rapid increase of human skin microcirculation at the local and systemic levels: II. Healthy volunteers. Photomed. Laser Surg. 2008, 26, 443–449. [Google Scholar] [CrossRef]
- Schindl, A.; Heinze, G.; Schindl, M.; Pernerstorfer-Schön, H.; Schindl, L. Systemic effects of low-intensity laser irradiation on skin microcirculation in patients with diabetic microangiopathy. Microvasc. Res. 2002, 64, 240–246. [Google Scholar] [CrossRef]
- Mak, M.C.; Cheing, G.L. Immediate effects of monochromatic infrared energy on microcirculation in healthy subjects. Photomed. Laser Surg. 2012, 30, 193–199. [Google Scholar] [CrossRef]
- Gavish, L.; Hoffer, O.; Rabin, N.; Halak, M.; Shkilevich, S.; Shayovitz, Y.; Weizman, G.; Haim, O.; Gavish, B.; Gertz, S.D.; et al. Microcirculatory response to photobiomodulation—Why some respond and others do not: A randomized controlled study. Lasers Surg. Med. 2020, 52, 863–872. [Google Scholar] [CrossRef]
- Zein, R.; Selting, W.; Hamblin, M.R. Review of light parameters and photobiomodulation efficacy: Dive into complexity. J. Biomed. Opt. 2018, 23, 120901. [Google Scholar] [CrossRef]
- Johnson, J.M. Nonthermoregulatory control of human skin blood flow. J. Appl. Physiol. 1986, 61, 1613–1622. [Google Scholar] [CrossRef] [PubMed]
- Petrofsky, J.; Goraksh, N.; Alshammari, F.; Mohanan, M.; Soni, J.; Trivedi, M.; Lee, H.; Hudlikar, A.N.; Yang, C.H.; Agilan, B.; et al. The ability of the skin to absorb heat; the effect of repeated exposure and age. Med. Sci. Monit. 2011, 17, CR1–CR8. [Google Scholar] [CrossRef] [PubMed]
- Charkoudian, N. Skin blood flow in adult human thermoregulation: How it works, when it does not, and why. Mayo Clin. Proc. 2003, 78, 603–612. [Google Scholar] [CrossRef] [PubMed]
- Ash, C.; Dubec, M.; Donne, K.; Bashford, T. Effect of wavelength and beam width on penetration in light-tissue interaction using computational methods. Lasers Med. Sci. 2017, 32, 1909–1918. [Google Scholar] [CrossRef]
- Finlayson, L.; Barnard, I.R.M.; McMillan, L.; Ibbotson, S.H.; Brown, C.T.A.; Eadie, E.; Wood, K. Depth penetration of light into skin as a function of wavelength from 200 to 1000 nm. Photochem. Photobiol. 2022, 98, 974–981. [Google Scholar] [CrossRef]
- Bashkatov, A.N.; Genina, E.A.; Kochubey, V.I.; Tuchin, V.V. Optical properties of human skin, subcutaneous and mucous tissues in the wavelength range from 400 to 2000 nm. J. Phys. D Appl. Phys. 2005, 38, 2543. [Google Scholar] [CrossRef]
- Henderson, T.A.; Morries, L.D. Near-infrared photonic energy penetration: Can infrared phototherapy effectively reach the human brain? Neuropsychiatr. Dis. Treat. 2015, 11, 2191. [Google Scholar] [CrossRef]
- Padalkar, M.; Pleshko, N. Wavelength-dependent penetration depth of near infrared radiation into cartilage. Analyst 2015, 140, 2093–2100. [Google Scholar] [CrossRef]
- Heu, F.; Forster, C.; Namer, B.; Dragu, A.; Lang, W. Effect of low-level laser therapy on blood flow and oxygen-hemoglobin saturation of the foot skin in healthy subjects: A pilot study. Laser Ther. 2013, 22, 21–30. [Google Scholar] [CrossRef]
- Fredriksson, I.; Larsson, M.; Strömberg, T. Measurement depth and volume in laser Doppler flowmetry. Microvasc. Res. 2009, 78, 4–13. [Google Scholar] [CrossRef]
- Gibney, M.A.; Arce, C.H.; Byron, K.J.; Hirsch, L.J. Skin and subcutaneous adipose layer thickness in adults with diabetes at sites used for insulin injections: Implications for needle length recommendations. Curr. Med. Res. Opin. 2010, 26, 1519–1530. [Google Scholar] [CrossRef]
- Lindgård, A.; Hultén, L.M.; Svensson, L.; Soussi, B. Irradiation at 634 nm releases nitric oxide from human monocytes. Lasers Med. Sci. 2007, 22, 30–36. [Google Scholar] [CrossRef]
- Petrofsky, J.S. Resting blood flow in the skin: Does it exist, and what is the influence of temperature, aging, and diabetes? J. Diabetes Sci. Technol. 2012, 6, 674–685. [Google Scholar] [CrossRef]
- Cracowski, J.L.; Roustit, M. Human Skin Microcirculation. Compr. Physiol. 2020, 10, 1105–1154. [Google Scholar] [CrossRef]
- Li, L.; Mac-Mary, S.; Sainthillier, J.M.; Nouveau, S.; de Lacharrière, O.; Humbert, P. Age-related changes of the cutaneous microcirculation in vivo. Gerontology 2006, 52, 142–153. [Google Scholar] [CrossRef]
- Lister, T.; Wright, P.A.; Chappell, P.H. Optical properties of human skin. J. Biomed. Opt. 2012, 17, 090901. [Google Scholar] [CrossRef]





| Parameter | Value |
|---|---|
| Peak Wavelength | 890 nm |
| Radiant Intensity per LED | 18.4 mW/sr |
| Number of LEDs | 20 (4 × 5 in a rectangular pattern) |
| Area LED device | 23 × 34 mm2 |
| Distance to Skin | 19 mm |
| Skin area illuminated | 23 × 34 mm2 |
| LED operation | 292 Hz with 50% Duty-Cycle |
| Irradiance at skin level | 5.1 mW/cm2 |
| Radiant exposure (fluence) both experiments | 4.6 J/cm2 |
| Total radiant energy deposited | 35.9 J |
| Time Average Radiant Flux | 20 mW (continuous)/12 mW (intermittent) |
| Characteristics * | Young Experiment 1 | Young Experiment 2 | Middle-Aged Experiment 3 |
|---|---|---|---|
| N (males/females) | 12 (6/6) | 12 (6/6) | 12 (7/5) |
| Age (years) | 25 (21–31) | 25 (21–31) | 51 (41–58) |
| Heart rate (bpm): | |||
| Baseline | 63 (50–75) | 65 (55–77) | 66 (56–75) |
| Post-exposure | 60 (48–70) | 58 (50–69) | 62 (55–70) |
| Blood pressure (mmHg): | |||
| Baseline | 115/72 (102/66–121/79) | 110/69 (101/68–114/77) | 117/78 (107/66–129/82) |
| Post-exposure | 109/76 (105/66–115/83) | 121/79 (103/68–124/79) | 111/75 (103/67–123/78) |
| Mode of NIR Light Exposure | Maximal Median (95% CI) BPU | Time Interval of Maximal BPU |
|---|---|---|
| Continuous (young) | 79 (57, 154) | 0–5 min (post exposure) |
| Intermittent (young) | 34 (22, 62) | 15–20 min (during exposure) |
| Intermittent (middle-aged) | 85 (56, 134) | 10–15 min (during exposure) |
| Mode of NIR Light Exposure | Baseline Temperature | Post NIR Exposure Temperature | Temperature Change |
|---|---|---|---|
| Young subjects continuous NIR (n = 12) | 30.0 (1.4) °C | 36.0 (1.7) °C | 6.0 (1.6) °C |
| Young subjects intermittent NIR (n = 12) | 31.0 (1.7) °C | 33.0 (1.6) °C | 2.0 (0.9) °C |
| Middle-aged subjects intermittent NIR (n = 12) | 32.0 (1.6) °C | 34.0 (1.6) °C | 2.0 (0.6) °C |
| Young subjects continuous placebo (n = 12) | 31.2 (0.9) °C | 30.0 (0.7) °C | −1.2 (0.6) °C |
| Young subjects intermittent placebo (n = 12) | 30.4 (0.9) °C | 29.6 (1.1) °C | −0.8 (0.5) °C |
| Middle-aged subjects intermittent placebo (n = 12) | 31.4 (1.3) °C | 30.1 (1.2) °C | −1.1 (0.6) °C |
| Control Experiments | Baseline Temperature | Post Control Temperature | Temperature Change |
|---|---|---|---|
| Young subjects continuous (n = 7) | 30.1 (1.2) °C | 32.2 (0.9) °C | 2.1 (0.8) °C |
| Young subjects intermittent (n = 5) | 30.8 (1.4) °C | 30.1 (1.6) °C | −0.7 (0.8) °C |
| Middle-aged subjects intermittent (n = 6) | 30.3 (1.3) °C | 29.6 (1.2) °C | −0.7 (0.4) °C |
Disclaimer/Publisher’s Note: The statements, opinions and data contained in all publications are solely those of the individual author(s) and contributor(s) and not of MDPI and/or the editor(s). MDPI and/or the editor(s) disclaim responsibility for any injury to people or property resulting from any ideas, methods, instructions or products referred to in the content. |
© 2026 by the authors. Licensee MDPI, Basel, Switzerland. This article is an open access article distributed under the terms and conditions of the Creative Commons Attribution (CC BY) license.
Share and Cite
Riaz, M.; Bösch, P.C.; Åm, M.K.; Ellingsen, R.; Hjelme, D.R.; Carlsen, S.M.; Christiansen, S.C. Effects of Near-Infrared Photobiomodulation on Local Skin Blood Flow in Healthy Subjects. Photonics 2026, 13, 119. https://doi.org/10.3390/photonics13020119
Riaz M, Bösch PC, Åm MK, Ellingsen R, Hjelme DR, Carlsen SM, Christiansen SC. Effects of Near-Infrared Photobiomodulation on Local Skin Blood Flow in Healthy Subjects. Photonics. 2026; 13(2):119. https://doi.org/10.3390/photonics13020119
Chicago/Turabian StyleRiaz, Misbah, Patrick Christian Bösch, Marte Kierulf Åm, Reinold Ellingsen, Dag Roar Hjelme, Sven Magnus Carlsen, and Sverre Christian Christiansen. 2026. "Effects of Near-Infrared Photobiomodulation on Local Skin Blood Flow in Healthy Subjects" Photonics 13, no. 2: 119. https://doi.org/10.3390/photonics13020119
APA StyleRiaz, M., Bösch, P. C., Åm, M. K., Ellingsen, R., Hjelme, D. R., Carlsen, S. M., & Christiansen, S. C. (2026). Effects of Near-Infrared Photobiomodulation on Local Skin Blood Flow in Healthy Subjects. Photonics, 13(2), 119. https://doi.org/10.3390/photonics13020119

