Abstract
All-dielectric metasurfaces based on quasi-bound states in the continuum (quasi-BICs) have emerged as a powerful platform for nanophotonic sensing, as they support high-Q resonances and strong near-field enhancements. Herein, we propose and numerically investigate an asymmetric bow-tie metasurface composed of two silicon semi-cylinders with unequal radii and a central bar to achieve a quasi-BIC resonance with a Q-factor of 11,000. The transition mechanism of the BIC modes in the asymmetric bow-tie metasurface is analyzed. Additionally, the spectral features of the asymmetric bow-tie metasurface as a function of the refractive index and temperature of the local environment are also investigated. The proposed structure exhibits a refractive index sensitivity of 454 nm/RIU and a temperature sensitivity of 134 pm/°C. Furthermore, a high figure of merit (FOM) of 3159 RIU−1 is achieved, and the nearly 100% modulation depth maintained across three distinct resonance dips. Our study suggests that the proposed asymmetric bow-tie metasurface offers a promising approach for the development of high-sensitivity biosensing platforms.
1. Introduction
Metasurface optical sensors have attracted widespread attention due to their exceptional light confinement and ultrahigh quality (Q) factors, enabling the detection and analysis of small variations in the environment [1,2,3]. Over the past decade, significant progress has been made in metasurface optical sensors, particularly in hybrid designs that combine metallic and dielectric elements [4]. These structures have demonstrated an improved sensitivity to refractive index changes owing to strong light confinement at metal–dielectric interfaces [5,6,7]. However, intrinsic ohmic losses in metals severely limit the achievable Q-factors, while thermal instability further compromises long-term performance. These limitations have motivated the exploration of alternative low-loss platforms capable of supporting sharper resonances and improved stability [8]. Conversely, all-dielectric metasurface optical sensors employing high-refractive index and low-loss dielectric materials, such as silicon or titanium dioxide, have emerged as promising alternatives to their plasmonic counterparts [9,10,11]. These structures support Mie-type resonances with minimal absorption losses and are inherently compatible with standard CMOS fabrication technologies, enabling scalable and cost-effective integration. On the other hand, Fano-resonant metasurface optical sensors leverage the interference between bright and dark modes to produce sharp asymmetric resonances [12,13,14]. These resonances simultaneously offer narrowband spectral response and strong local field enhancement, making Fano-type high-Q metasurfaces highly promising for applications in high-resolution sensing [15,16,17].
Recently, metasurfaces governed by bound states in the continuum (BICs) have been introduced as a theoretical framework to realize ideal non-radiative modes with infinite Q-factors [18,19]. By introducing symmetry-breaking perturbations, BICs can be transformed into quasi-BICs, which are accessible from free space while retaining extremely high Q-factors and strong electromagnetic field confinement [20,21,22]. These quasi-BIC-based dielectric metasurfaces exhibit sharp resonance features and enhanced sensitivity, making them ideal candidates for high-resolution optical sensing [23,24,25]. For instance, Wang et al. [26] proposed an asymmetric silicon nanorod metasurface supporting dual Fano resonances, which has achieved a Q-factor of 7750 and a figure of merit (FOM) of 1823 RIU−1. Similarly, Chen et al. [27] designed a hybrid cross–fan-shaped silicon metasurface with multiple Fano resonances, reporting Q-factors exceeding 3000 and FOMs above 1000 RIU−1. On the other hand, temperature sensing is vital in environmental monitoring and optoelectronic thermal management, which also benefits from high-Q all-dielectric metasurfaces due to their non-contact operation and spectral shift under thermal effects [28,29]. Sun et al. [30] demonstrated a silicon quasi-BIC metasurface supporting magnetic quadrupole and toroidal dipole modes, achieving a thermal sensitivity of 86.4 pm/°C. In addition to refractive index-based sensing, high-Q dielectric metasurfaces have also been explored for alternative sensing approaches, such as molecular fingerprint detection enabled by Fano resonances [31]. These studies further demonstrate the versatility of high-Q dielectric resonances for diverse sensing applications.
In this work, we propose and numerically demonstrate an asymmetric bow-tie metasurface composed of two silicon semi-cylinders with unequal radii and a central bar, which supports two asymmetry-protected quasi-BIC resonance modes with a Q-factor of 11,000. The transition mechanisms of these two resonance modes in the asymmetric bow-tie metasurface are analyzed. Being different from the previous studies, the designed asymmetric bow-tie metasurface sensor exhibits a high FOM of 3159 RIU−1, and the nearly 100% modulation depth is maintained across three distinct resonance dips. This work may inspire the further development of metasurface optical sensors.
2. Design and Methods
Figure 1a shows the proposed sensor structure composed of an asymmetric bow-tie metasurface array. The metasurface is constructed on a silicon dioxide substrate and consists of periodic silicon units. Each unit cell includes a rectangular nanorod and two semi-cylindrical elements located at both ends, as shown in Figure 1b. The lattice period is Px = Py = 910 nm, and the height of the silicon unit is h = 200 nm. Figure 1c shows that the rectangular nanorod has a length of a = 200 nm and a width of b = 100 nm, while the radii of the top and bottom semi-cylindrical elements are r1 = 275 nm and r2 = 290 nm, respectively, forming an asymmetry of δ = r2 − r1. This asymmetry breaks the mirror symmetry and supports quasi-bound states in the continuum (quasi-BICs) in the dielectric medium, leading to high-Q Fano resonances. Compared with simpler asymmetric metasurfaces composed of a single perturbed element, the proposed unit cell provides additional geometric degrees of freedom, supports multiple Fano resonances within a single unit cell, and enables enhanced near-field confinement in the narrow gap region, which is advantageous for sensing applications.
Figure 1.
(a) Schematic diagram of the proposed asymmetric bow-tie metasurface, where the surrounding particles represent analyte molecules. (b) Geometry and parameters of the asymmetric bow-tie metasurface unit cell. (c) Vertical view of the asymmetric bow-tie metasurface unit cell, where r1 = 275 nm, r2 = 290 nm, a = 200 nm, and b = 100 nm.
In the following study, the optical performance of the proposed structure is investigated using the three-dimensional finite-difference time-domain (FDTD) method, implemented via the Lumerical FDTD Solutions software (2024 R2). To simulate practical sensing conditions, the entire structure is immersed in a liquid medium with a refractive index of n = 1.33. Periodic boundary conditions are applied in the x and y directions, and perfectly matched layers (PML) are set along the z axis. The refractive index data used in the simulation are taken from the Palik database [32]. A normalized incident plane wave propagating along the negative z-axis and polarized along the x-axis is used to excite the resonance modes. To improve accuracy, the simulation time is set to 80,000 fs, and the mesh size is set to 8 nm × 8 nm × 8 nm.
3. Results and Discussion
Figure 2a shows the transmission spectra of the symmetric (δ = 0 nm) and asymmetric (δ = 15 nm) bow-tie metasurfaces. In the symmetric configuration (r1 = r2 = 290 nm), a single Fano resonance is observed at λ = 1479.37 nm; the observed Fano resonance originates from the interference between a broad background mode and a weakly radiative leaky mode rather than from a symmetry-protected BIC. Introducing asymmetry (r1 = 275 nm, r2 = 290 nm) perturbs the bound state in the continuum (BIC), enabling radiation leakage and enhancing coupling to the continuum, which causes the original resonance to blueshift to λ = 1466.17 nm (FR2) and simultaneously gives rise to two additional high-Q Fano resonances at λ = 1430.71 nm (FR1) and λ = 1609.79 nm (FR3). The proposed metasurface exhibits a polarization-dependent response. As shown in Figure 2b, under y-polarized (TE) excitation, the transmission spectrum is significantly modified, and the quasi-BIC resonances become weak and poorly defined due to reduced coupling efficiency. Consequently, the following analysis focuses on x-polarized (TM) illumination, under which strong quasi-BIC resonances are efficiently excited. In Figure 2c, FR1, FR2, and FR3 remain spectrally well-separated under oblique incidence, while the peak transmission gradually decreases with the increasing incident angle due to altered excitation conditions and enhanced radiative leakage. As shown in Figure 2d, the transmission spectra are calculated for a series of δ values. The FR1 and FR3 become increasingly pronounced due to the excitation of quasi-BICs when the asymmetry increases. The increasing prominence of FR1 and FR3 with greater asymmetry arises from the enhanced coupling between the originally non-radiative mode and the free-space continuum. When δ = 0 nm, the structure maintains perfect symmetry, the radiation channel remains closed, and both FR1 and FR3 vanish, indicating the existence of a true BIC. Furthermore, all resonance peaks progressively blueshift with increasing δ, reflecting enhanced radiative interactions driven by greater structural asymmetry. Strong symmetry breaking and oblique incidence do not induce spectral coupling or interference among FR1, FR2, and FR3; their persistent spectral separation is beneficial for independent resonance tracking in sensing applications.
Figure 2.
(a) Transmission spectra of symmetric (δ = 0 nm) and asymmetric (δ = 15 nm) structures. (b) Transmission spectra of the proposed metasurface under x-polarized (TM) and y-polarized (TE) normal incidence. (c) Transmission spectra under oblique incidence at different incident angles. (d) Spectral transmission responses of structures with different asymmetry parameters.
To further characterize the resonance performance, we investigate the modulation depth of the three distinct resonance dips (FR1, FR2, and FR3). The modulation depth (MD) is defined as follows:
where Tmax and Tmin denote the local maximum and minimum transmission values around each resonance dip, respectively. Based on this definition, the modulation depths of FR1, FR2, and FR3 are calculated to be 99.9%, 99.7%, and 99.7%, respectively.
The following Fano formula is used to analyze the two resonance peaks induced by quasi-BIC modes [33]:
where is the resonance frequency; i is the imaginary unit; a1, a2, and b are real constants; and is the total damping rate. The asymmetric Fano resonances observed in the transmission spectrum are well-fitted using the Fano model described in Equation (2). As shown in Figure 3a,b, the resonance features at 1430.71 nm (FR1) and 1609.79 nm (FR3) are clearly identified, the fitted parameters of FR1 and FR3 are 5.75 × 1010 and 2.17 × 1011, respectively. The fitted curves exhibit excellent agreement with the simulated results, validating both the accuracy of the designed metamaterial’s Fano response and the applicability of the employed physical model.
Figure 3.
(a) Simulated transmission spectrum of the asymmetric structure at 1430.71 nm (FR1) and the corresponding Fano fitting curve. (b) The Fano model accurately fits the simulated transmission response of the asymmetric structure at 1609.79 nm (FR3).
To determine the quality factor (Q) of the spectrum, the simulated transmission data are first fitted using the Fano line-shape model described in Equation (2) to extract the characteristic parameters of the resonance peak. These parameters are then substituted into Equation (2) to calculate the corresponding quality factor [34]:
in the formula, is the resonance peak frequency, is the total damping rate. When the structural asymmetry parameter δ = 15 nm, simulation results indicate that the Q-factors of the three resonant modes FR1, FR2, and FR3 are approximately 11,000, 1979, and 2680. To explore the impact of asymmetry, we systematically examined the dependence of the Q-factor on structural deviation. Results indicate that symmetry breaking opens a radiation channel between the ideal BIC and the free-space continuum, transforming the BIC into a quasi-BIC with finite radiative loss and high-Q Fano resonances. We define the asymmetry parameter as , where represents the area change due to radius reduction and S is the original silicon area. When δ = 15 nm, the corresponding asymmetry degree is α = 0.04684 in Figure 4, whereas higher Q-factors exceeding 105 occur at much smaller α values as the structure approaches the symmetry-protected BIC condition. The Q-factor follows a scaling law of [35], evidencing strong sensitivity to structural perturbation, as shown in Figure 4.
Figure 4.
Relationship between the level of structural asymmetry degree () and the corresponding radiation Q-factor.
To clarify the underlying mechanism of multiple resonances in all-dielectric metasurfaces, the electromagnetic near-field distributions under asymmetric structural conditions were investigated, as shown in Figure 5. At the first resonance frequency, FR1, the electric field distribution shown in Figure 5a presents two clockwise electric field rings with the same direction, which are formed on the xoy plane, indicating the existence of a pair of co-directional localized circulations corresponding to the out-of-plane magnetic dipole (MD) mode. The corresponding magnetic field distribution in Figure 5b, plotted in the yoz plane, exhibits linear polarization aligned along the negative z-direction and concentrated on both sides of the structure, indicating that the MD mode is oriented anti-parallel to the z-axis. At FR2, the electric field in Figure 5c forms clockwise and counterclockwise current loops in the upper and lower regions, respectively, constituting an anti-symmetric current distribution. The magnetic field in Figure 5d reverses in the upper and lower regions and displays an anti-phase feature along the z-axis, forming a closed-loop configuration characteristic of a toroidal dipole (TD) response induced by in-plane symmetry breaking. This indicates the excitation of a TD mode, where several coupled MDs form a closed magnetic current loop. For FR3, the electric field in the xoy plane, as shown in Figure 5e, forms a large-scale counterclockwise circulating current loop. The magnetic field in Figure 5f is polarized along the positive z-direction, corresponding to an MD mode with an opposite orientation compared to that of FR1.
Figure 5.
Electromagnetic near-field distributions for three Fano resonances under asymmetric conditions (δ = 15 nm). White and black arrows indicate electric and magnetic field directions, respectively. (a) Electric field of FR1 on xoy plane. (b) Magnetic field of FR1 on yoz plane. (c) Electric field of FR2 on xoy plane. (d) Magnetic field of FR2 on yoz plane. (e) Electric field of FR3 on xoy plane. (f) Magnetic field of FR3 on xoz plane.
Next, we investigate the nature of multipolar excitations with the multipole decomposition in Cartesian coordinates [36]. The multipole moments are calculated from the simulated polarization current distribution inside the Si resonator of one unit cell, and the scattering cross section of each multipolar contribution is evaluated using standard multipole radiation expressions. The integration region is defined as the volume of the Si structure, excluding the surrounding background. Figure 6 shows the dominant contributions at the three resonance wavelengths originate from magnetic dipole (MD), toroidal dipole (TD), and MD modes, respectively. The dominant contributions of the quasi-BIC modes were found to remain invariant when the structural parameters of the asymmetric bow-tie metasurface were modified. The quasi-BIC mode exhibits dominant toroidal dipole (TD) and magnetic dipole (MD) resonant features. These results are consistent with the near-field distributions shown in Figure 5, providing further evidence for the excitation of distinct resonance modes mediated by structural asymmetry. Thus, although all three resonances exhibit sharp spectral profiles, our analysis mainly focuses on the optical properties and sensing performance of the MD-TD quasi-BIC mode due to its superior refractometric sensitivity.
Figure 6.
Calculated scattered power for individual electromagnetic multipoles for FR1, FR2, and FR3 of the asymmetric bow-tie metasurface. The five strongest multipoles are presented, including electric dipole (ED), toroidal dipole (TD), magnetic dipole (MD), electric quadrupole (EQ), and magnetic quadrupole (MQ), respectively.
It is well-known that the performance of metasurface optical sensors is closely related to structural parameters. Figure 7 shows the influence of structural parameters on the transmission behavior of the asymmetric bow-tie metasurface at a fixed spacer thickness of δ = 15 nm. As illustrated in Figure 7a, increasing the silicon rod length a from 170 nm to 210 nm leads to a noticeable redshift in the FR1 mode, attributed to the elongated optical path within the resonator. Simultaneously, the full width at half maximum (FWHM) of FR2 decreases, enhancing its spectral sharpness, while FR3 remains largely insensitive to changes in a, indicating its weak dependence on longitudinal perturbations. In Figure 7b, increasing the rod width b from 80 nm to 120 nm results in an enhanced modulation depth of the FR1 and minor redshifts in all three modes, suggesting increased mode confinement and coupling efficiency due to the enlarged lateral dimensions. As shown in Figure 7c, a rise in the height of the silicon dielectric layer h introduces pronounced redshifts across all resonances, owing to the increased effective mode volume and stronger vertical field confinement. Notably, the linewidth of FR1 becomes progressively narrower with the increasing h, which is indicative of reduced radiative losses and an improved Q-factor. Figure 7d demonstrates that expanding period P from 900 nm to 940 nm causes redshifts in all resonance peaks due to extended inter-element spacing and weakened near-field coupling. In this case, FR1 exhibits an enhanced modulation depth, while FR2 shows significant linewidth broadening, reflecting different sensitivities of the resonant modes to periodicity-induced coupling effects. Collectively, these results highlight the capability of the asymmetric all-dielectric metasurface to achieve precise and independent tuning.
Figure 7.
Transmission spectra of the asymmetric structure with different geometric parameters. (a) Length a of the rectangular silicon rod. (b) Width b of the rectangular silicon rod. (c) Height h of the silicon dielectric layer. (d) Period P of the asymmetric structure.
To investigate loss-induced effects and their implications for sensing performance, the extinction coefficient k was incorporated into the simulations. A comparative analysis of the transmission spectra for symmetric and asymmetric bow-tie metasurfaces is presented in Figure 8a,b. The results indicate that increasing k leads to the systematic broadening of the Fano resonance linewidth, a reduction in modulation depth, and a pronounced decrease in the quality factor. These effects are primarily attributed to enhanced intrinsic absorption and scattering losses within the dielectric medium. Among the three resonant modes, FR1 exhibits the greatest sensitivity to variations in k, far exceeding that of FR2 and FR3. This pronounced modal dependence on material losses underscores the importance of minimizing absorption to preserve high-Q characteristics. Therefore, these findings highlight the necessity of material and structural optimization to suppress loss pathways, thereby enabling robust, high-performance metasurface sensors.
Figure 8.
Transmission spectra of the symmetric (a) and asymmetric (b) bow-tie metasurfaces with varying k.
The proposed asymmetric bow-tie metasurface supports multiple high-Q Fano resonances with strong localized field confinement, making it a promising platform for high-performance refractive index sensing. As an illustrative example, the configuration with δ = 15 nm exhibits three distinct resonance modes, as shown in Figure 9a–c. When the surrounding refractive index increases from 1.33 to 1.37, all resonances undergo noticeable redshifts in the wavelength, while their corresponding Q-factors and linewidths remain nearly constant. The sensing performance is quantitatively evaluated using two key metrics, sensitivity (S) and FOM, where S is defined as follows [37]:
Figure 9.
Transmission spectra of asymmetric bow-tie metasurface with the different refractive index of local environments at FR1 mode (a), FR2 mode (b), and FR3 mode (c), respectively. (d) Resonance wavelength shifts in FR1, FR2, and FR3, with the refractive index ranging from 1.33 to 1.37.
indicates the shift in resonance wavelength, while denotes the refractive index change in the analyte. On the other hand, the FOM of optical sensors is a numerical value that quantifies and compares the performance of a sensor against its alternatives. A higher FOM generally indicates better sensor performance. The FOM is defined as the sensitivity S divided by the full width at half maximum (FWHM), formulated as follows [38]:
Figure 9d depicts the resonance wavelength shifts in FR1, FR2, and FR3 as a function of the environment’s refractive index. The extracted sensitivities are 364 nm/RIU, 302 nm/RIU, and 454 nm/RIU, and they achieve a nearly 100% modulation depth maintained across three distinct resonance dips. The FOM values of the proposed asymmetric bow-tie metasurface are 3159 RIU−1, 401 RIU−1, and 795 RIU−1, respectively. These results highlight the proposed asymmetric bow-tie metasurface’s excellent sensing capabilities, particularly the FR1 mode, which combines high sensitivity with an exceptionally narrow linewidth. As a result, the proposed asymmetric bow-tie metasurface can potentially be useful for high-precision biochemical sensing and environmental monitoring.
To reflect a more practical sensing scenario, simulations were also carried out with the analyte only applied to the top surface of the metasurface. As shown in Figure 10, the resulting S and FOMs for FR1, FR2, and FR3 exhibit only minor variations and remain comparable to those obtained under full immersion.
Figure 10.
Refractive index sensitivities (S1, S2, and S3) and corresponding figures of merit (FOM1, FOM2, and FOM3) of FR1, FR2, and FR3 under a practical sensing configuration, where the analyte is applied only to the top surface of the metasurface.
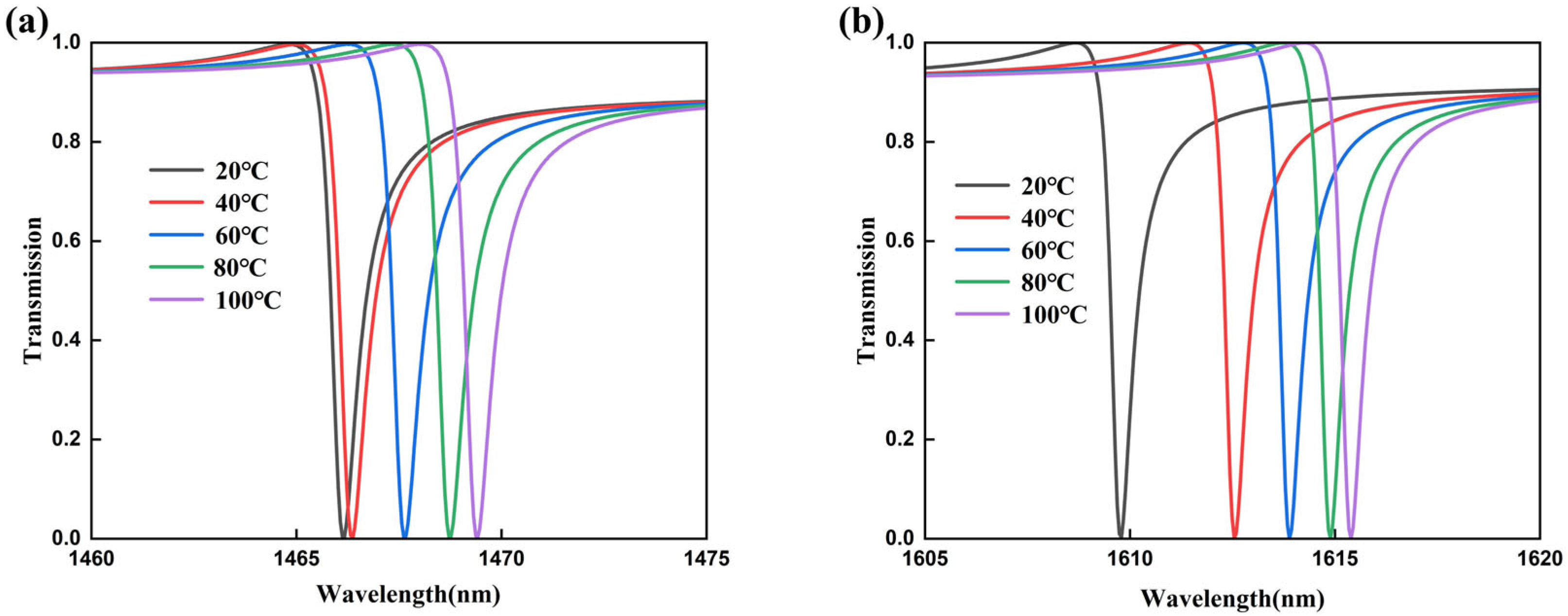
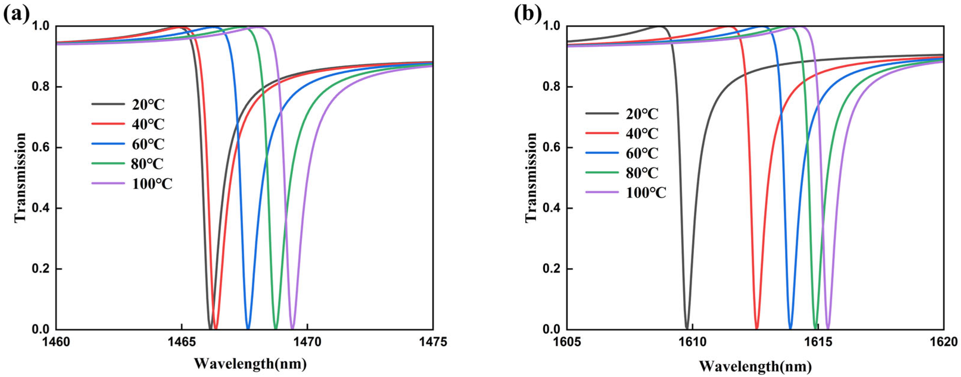
Similarly, the temperature sensing performance of the proposed asymmetric bow-tie metasurface is evaluated by taking into account both the thermo-optic effect and thermal expansion. The influence of thermal expansion is negligible for the subwavelength dimensions of the structure. Therefore, the thermo-optic effect is only considered in the proposed asymmetric bow-tie metasurface. The temperature-dependent refractive index is expressed as , where denotes the thermo-optic coefficient, and t0 represents the reference temperature, set to 20 °C. As shown in Figure 11a,b, the transmission spectra of the FR2 and FR3 modes show the redshift phenomenon as the temperature increases from 20 °C to 100 °C. The corresponding temperature sensitivities are determined based on the following relation [39]:
Figure 11.
The transmission spectrum of asymmetric bow-tie metasurface changes with temperature at FR2 (a) and FR3 (b), respectively.
In the formula, indicates the shift in resonance wavelength, denotes the change in temperature. The calculated maximum temperature sensitivity of the structure is 134 pm/°C, demonstrating excellent thermal response characteristics.
In practical fabrication, unavoidable geometric tolerances may affect quasi-BIC resonances. To evaluate the robustness of the proposed metasurface, dimensional tolerances of ±3 nm and ±5 nm were introduced to the key geometric parameters (r1, r2, a, and b) while keeping other parameters unchanged. The resulting variations in the Q-factor and figure of merit (FOM) are summarized in Figure 12a. Although both metrics decrease with increasing tolerance due to enhanced radiative leakage, high Q-factors and competitive sensing performance are still maintained.
Figure 12.
(a) The variation in Q-factor and FOM with the fabrication tolerance. (b) Schematic diagram of the fabrication process for the structure.
The proposed sensor is constructed on a silicon-on-insulator (SOI) platform, offering excellent compatibility with standard CMOS processes. Its fabrication is straightforward, cost-effective, and well-suited for large-scale chip integration. As illustrated in Figure 12b, the fabrication process begins with the deposition of a silicon layer onto a SiO2 substrate via low-pressure chemical vapor deposition (LPCVD). A layer of electron-beam resist is then spin-coated and baked to solidify. Subsequently, electron beam lithography (EBL) and development are used to define asymmetric nanostructures. Inductively coupled plasma (ICP) etching is employed to transfer the pattern into the silicon layer. Finally, the resist is stripped, and the device is rinsed, yielding the completed metasurface structure.
For comparison, we summarized the performances of the state of the art for various metasurface optical sensors, as shown in Table 1. Herein, a higher FOM in this case would indicate a sensor that is more sensitive to refractive index changes and has a narrower resonance peak, allowing for better resolution and more accurate measurements. As a result, the FOM value of our designed asymmetric bow-tie metasurface is 3159 RIU−1, which is larger compared with the previously reported devices. Among these devices, our device shows the promising application for the development of high-sensitivity biosensing platforms.
Table 1.
Summary of the performance of various metasurface optical sensors.
4. Conclusions
We have proposed an asymmetric bow-tie all-dielectric metasurface that consists of silicon semi-cylinders with unequal radii and an embedded rectangular silicon nanobar, enabling a controlled transition from ideal BICs to radiative quasi-BIC modes. The spectral features of the asymmetric bow-tie metasurface as a function of the refractive index and temperature of the local environment have been investigated. Achieving a nearly 100% modulation depth maintained across three distinct resonance dips, the proposed structure exhibits a refractive index sensitivity of 454 nm/RIU and a temperature sensitivity of 134 pm/°C. Furthermore, a high figure of merit (FOM) of 3159 RIU−1 has been realized. This asymmetric bow-tie all-dielectric metasurface can potentially be useful for refractive index sensing, showing promise in future metasurface optical sensors.
Author Contributions
Writing—original draft preparation, Z.C. and J.H.; writing—review and editing, Q.T., G.X., T.S., F.Z., A.S.I., Q.Z., H.L. and G.-W.L.; project administration, funding acquisition, Z.C., F.Z., T.S. and Q.Z. All authors have read and agreed to the published version of the manuscript.
Funding
This research was funded by the National Natural Science Foundation of China (62205080, 52262022), Guangxi Science and Technology Base and Talent Special Project: Research and Application of Key Technologies for Precise Navigation (Gui Ke AD25069103), Guangxi Natural Science Foundation (2025GXNSFAA069523, AD23026253, 2024GXNSFFA010007) and Key Laboratory of AI and Information Processing, Education Department of Guangxi Zhuang Autonomous Region (Hechi University) (Grant No. 2024GXZDSY015).
Data Availability Statement
The data supporting the findings of this study are available from the corresponding authors upon reasonable request.
Conflicts of Interest
The authors declare no conflict of interest.
References
- Hsiao, H.H.; Chu, C.H.; Tsai, D.P. Fundamentals and Applications of Metasurfaces. Small Methods 2017, 1, 1600064. [Google Scholar] [CrossRef]
- Hu, J.; Bandyopadhyay, S.; Liu, Y.H.; Shao, L.Y. A Review on Metasurface: From Principle to Smart Metadevices. Front. Phys. 2021, 8, 586087. [Google Scholar] [CrossRef]
- Tseng, M.L.; Jahani, A.; Leitis, A.; Altug, H. Dielectric Metasurfaces Enabling Advanced Optical Biosensors. ACS Photonics 2021, 8, 47–60. [Google Scholar] [CrossRef]
- Kazanskiy, N.L.; Khonina, S.N.; Butt, M.A. Plasmonic sensors based on Metal-insulator-metal waveguides for refractive index sensing applications: A brief review. Phys. E-Low-Dimens. Syst. Nanostruct. 2020, 117, 113798. [Google Scholar] [CrossRef]
- Adhikari, R.; Chauhan, D.; Mola, G.T.; Dwivedi, R.P. A review of the current state-of-the-art in Fano resonance-based plasmonic metal-insulator-metal waveguides for sensing applications. Opto-Electron. Rev. 2021, 29, 148–166. [Google Scholar] [CrossRef]
- Xu, T.P.; Geng, Z.X.; Su, Y. A Potential Plasmonic Biosensor Based Asymmetric Metal Ring Cavity with Extremely Narrow Linewidth and High Sensitivity. Sensors 2021, 21, 752. [Google Scholar] [CrossRef]
- Luo, M.; Zhou, Y.; Zhao, X.Y.; Guo, Z.H.; Li, Y.X.; Wang, Q.; Liu, J.J.; Luo, W.; Shi, Y.Z.; Liu, A.Q.; et al. High-Sensitivity Optical Sensors Empowered by Quasi-Bound States in the Continuum in a Hybrid Metal-Dielectric Metasurface. Acs Nano 2024, 18, 6477–6486. [Google Scholar] [CrossRef]
- Genevet, P.; Capasso, F.; Aieta, F.; Khorasaninejad, M.; Devlin, R. Recent advances in planar optics: From plasmonic to dielectric metasurfaces. Optica 2017, 4, 139–152. [Google Scholar] [CrossRef]
- Wang, W.D.; Qi, J.G.; Li, B.Y. Gap-enhanced toroidal dipole and magnetic Fano resonances with polarization independence in all-dielectric metamaterials for sensing. J. Nanophotonics 2020, 14, 046006. [Google Scholar] [CrossRef]
- Yang, Y.Y.; Chai, F.M.; Huang, X.; Zhao, T.Q.; Zhang, P.; Li, C.X.; Fang, B.; Hong, Z.; Yu, M.Z.; Jing, X.F. Terahertz wave biomolecular sensor based on all-dielectric high Q metasurface. Opt. Laser Technol. 2024, 169, 110106. [Google Scholar] [CrossRef]
- Zheng, Y.Y.; Chen, Y.; Xu, Y.Y. Toroidal Dipole All-Dielectric Metasurfaces with High Sensitivity, High Figure of Merit, and Robustness for Refractive Index Sensing. J. Electron. Mater. 2024, 53, 674–682. [Google Scholar] [CrossRef]
- Limonov, M.F.; Rybin, M.V.; Poddubny, A.N.; Kivshar, Y.S. Fano resonances in photonics. Nat. Photonics 2017, 11, 543–554. [Google Scholar] [CrossRef]
- Limonov, M.F. Fano resonance for applications. Adv. Opt. Photonics 2021, 13, 703–771. [Google Scholar] [CrossRef]
- Lu, L.D.; Zhu, L.Q.; Zeng, Z.M.; Cui, Y.P.; Zhang, D.L.; Yuan, P. Progress of silicon photonic devices-based Fano resonance. Acta Phys. Sin. 2021, 70, 034204. [Google Scholar] [CrossRef]
- Su, W.; Ding, Y.M.; Luo, Y.L.; Liu, Y. A high figure of merit refractive index sensor based on Fano resonance in all-dielectric metasurface. Results Phys. 2020, 16, 102833. [Google Scholar] [CrossRef]
- Hao, Z.Q.; Gao, Y.N.; Song, C.Y. High Q-factor multiple Fano resonances in all-dielectric metamaterial for refractive index sensing. J. Nanophotonics 2021, 15, 046013. [Google Scholar] [CrossRef]
- Zhao, H.N.; Fan, X.Y.; Wei, X.; Li, C.C.; Zhao, T.G.; Fang, W.J.; Niu, H.J.; Bai, C.L.; Kumar, S. Highly sensitive multiple fano resonances excitation on all-dielectric metastructure. Opt. Rev. 2023, 30, 208–216. [Google Scholar] [CrossRef]
- Koshelev, K.L.; Sadrieva, Z.F.; Shcherbakov, A.A.; Kivshar, Y.S.; Bogdanov, A.A. Bound states in the continuum in photonic structures. Phys. Uspekhi 2023, 66, 494–517. [Google Scholar] [CrossRef]
- Feng, G.; Chen, Z.H.; Wang, Y.; Liu, X.; Liu, Y.S.; Liu, X.; Sun, F.; Yang, Y.B.; Chen, S.Q. Enhanced Fano resonance for high-sensitivity sensing based on bound states in the continuum. Chin. Opt. Lett. 2023, 21, 031202. [Google Scholar] [CrossRef]
- Li, Z.; Xie, M.; Nie, G.; Wang, J.; Huang, L. Pushing Optical Virus Detection to a Single Particle through a High-Q Quasi-bound State in the Continuum in an All-dielectric Metasurface. J. Phys. Chem. Lett. 2023, 14, 10762–10768. [Google Scholar] [CrossRef]
- Ma, W.; Zhou, C. Quasi-symmetry-protected BICs in a double-notched silicon nanodisk metasurface. Opt. Lett. 2023, 48, 2158–2161. [Google Scholar] [CrossRef] [PubMed]
- Zhou, R.J.; Luo, S.; Tian, J.Y.; Zhang, Y.S.; Tao, C.N.; Ling, Q.; Chen, D.R. Switchable magnetic dipole assisted double QBICs in an asymmetry four-leaf clover-shaped Ge2Sb2Te5 metasurface. Results Phys. 2023, 52, 106901. [Google Scholar] [CrossRef]
- Qin, J.; Jiang, S.B.; Wang, Z.S.; Cheng, X.B.; Li, B.J.; Shi, Y.Z.; Tsai, D.P.; Liu, A.Q.; Huang, W.; Zhu, W.M. Metasurface Micro/Nano-Optical Sensors: Principles and Applications. Acs Nano 2022, 16, 11598–11618. [Google Scholar] [CrossRef]
- Liu, Z.Q.; Du, J.S.; Chi, Z.T.; Cong, H.L.; Wang, B. An all-dielectric metasurface based on Fano resonance with tunable dual-peak insensitive polarization for high-performance refractive index sensing. Phys. Chem. Chem. Phys. 2023, 25, 28094–28103. [Google Scholar] [CrossRef] [PubMed]
- Zanganeh, E.; Sadrieva, Z.; Kapitanova, P.; Bogdanov, A. High-Q Mie resonators for refractive-index sensing. Phys. Rev. Appl. 2024, 21, 024028. [Google Scholar] [CrossRef]
- Wang, T.Y.; Liu, S.Q.; Zhang, J.H.; Xu, L.; Yang, M.Y.; Ma, D.; Jiang, S.J.; Jiao, Q.B.; Tan, X. Dual high-Q Fano resonances metasurfaces excited by asymmetric dielectric rods for refractive index sensing. Nanophotonics 2024, 13, 463–475. [Google Scholar] [CrossRef]
- Chen, H.W.; Fan, X.Y.; Fang, W.J.; Zhang, B.Y.; Cao, S.S.; Sun, Q.H.; Wang, D.D.; Niu, H.J.; Li, C.C.; Wei, X.; et al. High-Q Fano resonances in all-dielectric metastructures for enhanced optical biosensing applications. Biomed. Opt. Express 2024, 15, 294–305. [Google Scholar] [CrossRef]
- Zhao, J.J.; Fan, X.Y.; Fang, W.J.; Xiao, W.X.; Sun, F.X.; Li, C.C.; Wei, X.; Tao, J.F.; Wang, Y.L.; Kumar, S. High-Performance Refractive Index and Temperature Sensing Based on Toroidal Dipole in All-Dielectric Metasurface. Sensors 2024, 24, 3943. [Google Scholar] [CrossRef]
- Zhang, X.; Li, J.G.; Liu, C.; Huang, H.S.; Gu, M.H.; Jiang, S.J.; Jiao, Q.B.; Ma, D.; Yang, M.Y.; Xu, L.; et al. Research on an all-medium two-parameter metasurface sensor based on Fano resonance. Biomed. Opt. Express 2025, 16, 2415–2429. [Google Scholar] [CrossRef]
- Sun, P.; Zhao, Q.; Li, Y.; Liu, S.; Su, C.; Jiang, J.; Yun, M.; Zhao, Y.; Wang, J. Dual high-Q resonance sensing for refractive index and temperature based on all-dielectric asymmetric metasurface. Opt. Commun. 2024, 554, 130134. [Google Scholar] [CrossRef]
- Badri, S.H.; Gilarlue, M.M.; SaeidNahaei, S.; Kim, J.S. High-Q Fano resonance in all-dielectric metasurfaces for molecular fingerprint detection. J. Opt. Soc. Am. B Opt. Phys. 2022, 39, 563–569. [Google Scholar] [CrossRef]
- Edwards, A. Silicon (Si). In Handbook of Optical Constants of Solids, 2nd ed.; Palik, E.D., Ed.; Academic Press: Cambridge, MA, USA, 1985. [Google Scholar]
- Li, H.; Yu, S.L.; Yang, L.; Zhao, T.G. High Q-factor multi-Fano resonances in all-dielectric double square hollow metamaterials. Opt. Laser Technol. 2021, 140, 107072. [Google Scholar] [CrossRef]
- Yang, Y.M.; Kravchenko, I.I.; Briggs, D.P.; Valentine, J. All-dielectric metasurface analogue of electromagnetically induced transparency. Nat. Commun. 2014, 5, 5753. [Google Scholar] [CrossRef] [PubMed]
- Pang, J.L.; Fang, W.J.; Fan, X.Y.; Chen, Q.T.; Guo, H.Y.; Wang, T.T.; Wei, X.; Bai, C.L.; Kumar, S. Polarization-independent tetramer metastructure with multi-Fano resonances governed by quasi-bound states in the continuum. Opt. Express 2024, 32, 31905–31919. [Google Scholar] [CrossRef] [PubMed]
- Wang, D.D.; Fan, X.Y.; Fang, W.J.; Niu, H.J.; Tao, J.F.; Li, C.N.; Wei, X.; Sun, Q.H.; Chen, H.W.; Zhao, H.I.; et al. Excitation of multiple Fano resonances on all-dielectric nanoparticle arrays. Opt. Express 2023, 31, 10805–10819. [Google Scholar] [CrossRef] [PubMed]
- Sun, W.W.; Liang, Z.Z.; Shi, X.Y.; Yang, F.M.; Dong, Y.J.; Dai, R.; Jia, Y.; Xin, W.; Hou, E.Z.; Wu, Z. Potential of high Q dual band Mid-Infrared metasurfaces with Quasi-BIC for refractive index sensing. Opt. Laser Technol. 2024, 174, 110631. [Google Scholar] [CrossRef]
- Song, S.Z.; Yu, S.L.; Li, H.; Zhao, T.G. Ultra-high Q-factor toroidal dipole resonance and magnetic dipole quasi-bound state in the continuum in an all-dielectric hollow metasurface. Laser Phys. 2022, 32, 025403. [Google Scholar] [CrossRef]
- Guo, L.H.; Zhang, Z.X.; Xie, Q.; Li, W.X.; Xia, F.; Wang, M.; Feng, H.; You, C.L.; Yun, M.J. Toroidal dipole bound states in the continuum in all-dielectric metasurface for high-performance refractive index and temperature sensing. Appl. Surf. Sci. 2023, 615, 156408. [Google Scholar] [CrossRef]
Disclaimer/Publisher’s Note: The statements, opinions and data contained in all publications are solely those of the individual author(s) and contributor(s) and not of MDPI and/or the editor(s). MDPI and/or the editor(s) disclaim responsibility for any injury to people or property resulting from any ideas, methods, instructions or products referred to in the content. |
© 2026 by the authors. Licensee MDPI, Basel, Switzerland. This article is an open access article distributed under the terms and conditions of the Creative Commons Attribution (CC BY) license.











