Abstract
We propose an external-cavity laser that combines wide tunability with narrow linewidth. The design utilizes a low-loss Si3N4 waveguide and a thermally tuned cascaded triple-ring resonator to enable continuous wavelength tuning. The numerical simulations indicate that the proposed laser exhibits a tuning range of 64 nm with a sub-kHz linewidth, an SMSR of more than 80 dB, an output power of 24 mW and a linewidth of 193 Hz at 1550 nm. Furthermore, we perform comparative system-level simulations using QPSK and 16QAM coherent optical fiber links at 50 Gbaud over 100 km. Under identical conditions, when the laser linewidth is reduced from 1 MHz level to 193 Hz, the BER of 16QAM decreases from 1.5 × 10−3 to 5.3 × 10−5. These results indicate that a narrow linewidth effectively mitigates phase noise degradation in high-order modulation formats. With its narrow linewidth, wide tuning range, high SMSR, and high output power, this laser serves as a promising on-chip light source for high-resolution sensing and coherent optical communications.
1. Introduction
Narrow-linewidth tunable lasers, as core light sources, play an irreplaceable role in a wide range of cutting-edge applications, including coherent LiDAR, distributed fiber sensing, and large-capacity coherent optical communication systems [1,2,3]. In current long-haul coherent communication systems, tunable lasers with C-band tuning ranges and linewidths on the order of hundreds of kilohertz are widely used [4]. As the operating bandwidth of coherent communication systems continues to expand, denser grids are used and higher-order modulation formats are adopted to enhance capacity and spectral efficiency, the performance requirements for laser sources have become more stringent. These systems demand not only a wider tuning range and higher side-mode suppression ratio (SMSR), but also a narrow linewidth [5]. Meanwhile, in coherent LiDAR and distributed fiber sensing, the laser linewidth is a key parameter that governs the achievable detection range and spatial resolution [6,7]. In addition, a broad wavelength tuning range is also essential for achieving high axial resolution in optical coherence tomography [8]. Driven by these requirements, research on integrated narrow-linewidth tunable lasers has advanced rapidly in recent years. Early implementations mainly relied on monolithic III–V material platforms, where passive waveguides and active gain regions were realized within the same III–V epitaxial stack. Such devices have already demonstrated on-chip wavelength tuning ranges of around 60 nm and intrinsic linewidths in the tens-of-kHz [9]. However, the relatively high loss of passive waveguides makes further reduction in the intrinsic linewidth very challenging. With the maturation of III–V/Si and III–V/Si3N4 hybrid integration, low-loss waveguides and micro-ring resonators (MRRs) on these platforms provide an effective route to realizing chip-scale external-cavity lasers (ECLs) with a wider wavelength tuning range and a reduced linewidth [10,11,12]. Among them, the Si3N4 platform, featuring ultralow propagation loss, wide transparency window, and CMOS compatibility, has emerged as an attractive platform for building high-performance lasers based on cascaded high-Q ring resonators in an external-cavity configuration. In 2023, Pan et al. [13] demonstrated a III–V-on-Si3N4 ECL using micro-transfer-printed gain chips and high-Q Si3N4 ring mirrors, achieving 54 nm continuous tuning across the C+L band, an intrinsic linewidth below 25 kHz, and 6.3 mW on-chip output power. However, its relatively broad intrinsic linewidth and low on-chip output power may limit its applicability in long-haul coherent transmission by reducing frequency stability and restricting the available link budget. In 2024, Wu et al. [14] integrated high-Q defect-assisted MRRs on Si3N4 and optimized external-cavity feedback to achieve sub 10 Hz intrinsic linewidth over a 1525–1565 nm tuning range, pushing the linewidth of integrated tunable ECLs into the Hz regime. Nevertheless, the demonstrated tuning range is relatively limited, which constrains its applicability in broadband multi-channel or wideband tunable systems. Furthermore, in 2025, Fan et al. [15] reported a III–V/Si3N4 hybrid ECL with a double-ring Vernier filter and a tunable Sagnac loop reflector, achieving a 90 nm wavelength tuning range and an intrinsic linewidth of 23.8 kHz. However, its linewidth is still insufficient for space-coherent optical communication laser sources [16]. Although the works discussed above show improvements in one or two key figures of merit, intrinsic trade-offs among linewidth, SMSR, tuning range, and output power still limit their further use as practical light sources in advanced coherent optical communication systems.
For 16QAM and higher-order QAM transmission, laser linewidth and phase noise critically constrain achievable reach and spectral efficiency [17,18,19]. When the linewidth is large or the spectral purity is low, the burden is shifted to sophisticated digital carrier-recovery and phase-noise-compensation algorithms. Such DSP remedies can mask device deficiencies in laboratory demonstrations, but they inevitably lead to higher implementation complexity, power consumption, and latency in real transceiver hardware [20]. At the same time, insufficient tuning bandwidth and low on-chip output power make it difficult to simultaneously support dense wavelength division multiplexing (DWDM) grids and the link-budget requirements of medium-haul and long-haul coherent systems. Therefore, the design of an ECL that simultaneously offers narrow linewidth, wide tuning range, high SMSR, and high output power is of great significance for the development of coherent optical communication systems.
In this work, we propose a narrow-linewidth ECL based on a low-loss Si3N4 waveguide platform, employing a cascaded triple-ring filter and a Sagnac loop mirror to form a narrowband and highly selective feedback structure. Simulations indicate that the proposed laser can achieve 64 nm of continuous wavelength tuning. At 1550 nm with the injection current set to 100 mA in simulation, the proposed device is predicted to exhibit an SMSR exceeding 80 dB, an output power of 24 mW, and an intrinsic linewidth as low as 193 Hz. Furthermore, we numerically investigate a 50-Gbaud QPSK and 16QAM coherent fiber-optic transmission system over 100 km, in which the designed ECL is used as both the transmitter laser and the local oscillator, and compare constellation and bit error rate (BER) performance for linewidths ranging from 193 Hz to 1 MHz. Simulation results show that our ultranarrow-linewidth lasers effectively suppress phase-noise-induced constellation broadening, improving system reliability in high-order modulation formats over long distances. With its narrow linewidth, wide tuning range, high SMSR, and high output power, this laser serves as a promising on-chip light source for coherent transceivers as well as high-resolution sensing and LiDAR applications.
2. Theoretical Analysis
2.1. Theoretical Analysis of the Cascaded Triple-Ring Optical Filter
This cascaded triple-ring filter consists of three MRRs and four bus waveguides, as shown in Figure 1. When the wavelength of the light injected from Port 1 matches the resonant wavelengths of MRR-a, MRR-b, and MRR-c, the optical wave is sequentially coupled into all three MRRs and is finally extracted from Port 8, with only negligible power leakage at the other ports. In Figure 1, and represent the amplitude of the input and output waves, respectively (i = 1, 2, 3…12). The phase delays accumulated as the optical field propagates from MRR-a to MRR-b and from MRR-b to MRR-c are denoted by and , respectively, with their values determined by the spacing between adjacent ring cavities. (i = 1, 2, 3…12) characterize the amplitude coupling coefficients between each ring and its adjacent bus waveguides. Since the light energy in each ring resonator propagates in a single direction, the cavity resonance is established by multiple round trips of the traveling wave and no counter-propagating coupling occurs; therefore, the backward coupling coefficients are set to zero, i.e., = 0. , and denote the intrinsic amplitude decay coefficients of MRR-a, MRR-b, and MRR-c, respectively, characterizing the internal losses of the ring cavities. Due to the intentional mismatch in the radii of the three MRRs, their intrinsic resonant frequencies are denoted by , and . The corresponding intracavity resonant mode amplitudes are denoted as , and , associated with MRR-a, MRR-b, and MRR-c, respectively. Based on time-domain coupled mode theory (TCMT) [21,22], denote the frequency of the incident light by . For MRR-a, MRR-b, and MRR-c, the time-domain evolution of the resonant mode amplitudes can be expressed as follows:
Figure 1.
Theoretical model of triple-ring optical filter.
From power conservation and time-reversal symmetry, the relation between the input and output waves is given by:
where (i = 1, 2, 3) corresponds to the intracavity resonant mode amplitudes , and in MRR-a, MRR-b, and MRR-c, respectively. In addition, adjacent MRRs are interconnected by a section of passive bus waveguide. The port relations between MRR-a and MRR-b, and between MRR-b and MRR-c, are given by:
Since the external optical field is injected only from Port 1, with no external excitation applied to the other ports, i.e., .
To facilitate the analysis of the transmission characteristics of the three-MRR filter, all MRRs are assumed to operate under the critical coupling point. For the MRR, the maximum coupling efficiency is achieved when it operates at critical coupling. At this point, the MRR mode loses equal amounts of power to intrinsic dissipation and to coupling with the bus-waveguide mode. The critical coupling conditions for the three MRRs in this structure can be written as:
Considering a symmetric coupling between the MRR and the bus waveguide and loss less ring cavities, i.e., and . With identical resonant frequencies and the detuning defined as , the transmission spectrum of the cascaded triple-ring resonator can be written as:
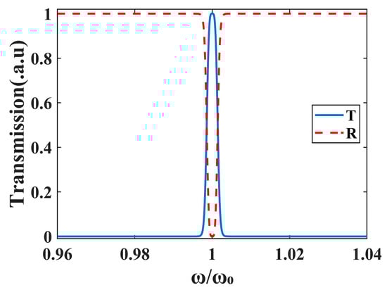
Equation (10) indicates that the transmission under the condition (where m is a non-negative integer) and . Figure 2 presents the transmission of the cascaded triple-ring system versus frequency detuning. At resonance, i.e., when , the transmission reaches its maximum value, while the reflection is minimized. As the frequency detuning increase, the transmission decreases and the reflection increases, which is consistent with energy conservation principles.
Figure 2.
Transmission and reflection spectra of the triple-ring system versus frequency detuning.
2.2. Theoretical Analysis of Laser Linewidth
As shown in Figure 3, the proposed ECL can be modeled as a one-dimensional three-section cavity. In this model, the active segment is located on the left side, and the gain chip and its left facet coating are lumped into an effective mirror with a reflectivity of . On the right side, the passive waveguides, the cascaded triple-ring structure, and the Sagnac loop mirror constitute a wavelength-selective passive section, forming a passive external-cavity. As shown in the dashed box in Figure 3, the passive external-cavity is equivalently modeled as an effective mirror. Its effective reflectivity is given by the product of the transfer functions of all passive components:
here, is an attenuation constant that accounts for the transmission loss at the transition between the active and passive sections, corresponding to approximately −1 dB. For the passive waveguide section with a total length , its transfer function is given by:
where and are, respectively, the waveguide electric field propagation loss and the effective propagation constant. Assuming that each ring is symmetrically coupled, i.e., the coupling ratios to the two bus waveguides are identical, the amplitude reflectivity of the mirror is given by:
here , , and denote the cross-coupling ratio, the ring radius, and the amplitude propagation loss constant of the ring (), respectively. To study the laser linewidth, we employ the linewidth theory of external-cavity semiconductor lasers developed by Patzak et al. [23] and Kazarinov and Henry [24]. Due to the frequency dependence of both the phase and the reflectivity of the extended passive section, the linewidth of the ECLs is reduced, with respect to that of a solitary Fabry–Perot laser, by a factor of , the Lorentzian linewidth of laser can be analytically evaluated using the following expressions:
where denotes the round-trip time of photons in the active gain section, is the Henry linewidth enhancement factor, represents the group velocity of light in the active gain section, is Planck constant, denotes the laser frequency, is the spontaneous emission factor, represents the total loss, with and being the mirror and internal losses of the active section, respectively; is the laser output power, is the Schawlow–Townes linewidth of a solitary Fabry–Perot laser, and denotes the linewidth of the ECLs.
Figure 3.
Equivalent model diagram of ECL.
The factor reflects the increase in the round-trip accumulated phase, which is equivalent to an increase in the effective cavity length provided by the ring resonance. The factor characterizes the strength of the optical negative-feedback effect and quantifies the magnitude of the phase variation in the external-cavity. As shown in Equation (19), the degree of linewidth narrowing is directly determined by . When the external-cavity operates near the resonant wavelength of the triple-ring reflector, the effective optical length of the external-cavity reaches its maximum, and the factor is accordingly maximized. In this case, the lasing frequency lies at the center of the main reflection peak, the first derivative of the reflection amplitude with respect to frequency is zero, and thus . The linewidth is then mainly governed by the increase in the effective optical length of the external-cavity. By introducing the cascaded triple-ring structure, the effective optical length of the external-cavity is significantly increased, which extends the photon lifetime in the external-cavity and consequently leads to a pronounced narrowing of the laser linewidth.
3. Device Design
3.1. Design of the Cascaded Triple-Ring Filter
In cascaded ring filters, the Vernier effect is widely used to enlarge the effective free spectral range (FSR), thereby extending the continuous tuning range of an ECL. The single-ring FSR of the -th ring, denoted by , can be approximated as
where is the wavelength, is group index, and is the radius of the -th ring. The Vernier effective FSR formed by two cascaded rings can be estimated as:
Figure 4 shows the schematic structure of the cascaded triple-ring filter designed in this work. The cascaded structure consists of three rings with radii , , and , respectively, and four bus waveguides. All rings and bus waveguides share the same cross-sectional dimensions. The waveguide width is 400 nm, the height is 1 μm, and the vertical separation from the substrate is 4 μm. Its Si3N4 core has an effective refractive index of 1.64 and a group index of 2.06. To reduce bending loss and obtain a large Vernier effective FSR for wide tuning, the radius of the first ring, , is set to 98.9 μm. The radius of the second ring, , is then chosen to be slightly different, 101.9 μm. This small radius difference leads to slightly different single-ring FSRs. Substituting and from Equation (20) into Equation (21), the Vernier effective FSR is estimated to be ~64 nm. The radius of the third ring, , is set to 1484.3 μm. According to Equation (20), the larger radius yields a smaller FSR and a longer effective optical path length, resulting in more closely spaced resonances and finer spectral selection. Its resonance is designed to align with the passband of the first two rings, thereby further suppressing side modes and enhancing the SMSR. The structural parameters are summarized in Table 1.
Figure 4.
Triple-ring optical filter structure diagram.
Table 1.
Structural parameters of the triple-ring filter.
3.2. Design of the ECL
Figure 5a illustrates the schematic of the cascaded triple-ring ECL, which consists of a semiconductor optical amplifier (SOA) chip and a passive Si3N4 chip that are optically coupled via precise alignment. Figure 5b shows a cross-section of the Si3N4 ring waveguide region, where a TiN microheater is integrated above the waveguide. The SOA employs a 400-μm-long multiple quantum wells gain region, where an InP ridge waveguide is etched above the quantum wells to provide optical confinement. The power reflectivity of the SOA facet on the side opposite the external-cavity is 0.3. On the side facing the external-cavity, the SOA facet is combined with a tilted waveguide and an anti-reflection coating, reducing the reflectivity of the facet connected to the Si3N4 chip to 1 × 10−4. The waveguide parameters on the Si3N4 chip are identical to those described in Section 3.1. Considering potential positional drift in the coupling packaging, a coupling loss of 1 dB is set in the simulation. To achieve wavelength tuning, heating electrodes are placed above the ring on the Si3N4 chip. The heaters are made of TiN, with a thickness of 0.2 μm, a width of 5 μm, and a vertical separation of 1.6 μm from the ring. The reflectivity of the Sagnac loop mirror on the passive Si3N4 chip is 0.9. The laser is driven by an injection current applied to the SOA gain chip. The light from the SOA is coupled into the passive Si3N4 chip, passes through the cascaded triple-ring structure for wavelength selection, is reflected by the Sagnac loop mirror, and then re-enters the SOA to provide optical feedback, with part of the light is output. The structural parameters are summarized in Table 2.
Figure 5.
Schematic of the cascaded triple-ring ECL, (a) Layout of the SOA and passive Si3N4 chip. (b) Waveguide cross-section with TiN heater.
Table 2.
Structural parameters of the ECL.
3.3. Proposed ECL in Coherent Optical Transmission System
Based on the configuration described above, we further investigate the phase-noise characteristics of the ECL when it is employed in a coherent optical transmission system. The spectral linewidth of the laser represents the frequency-domain manifestation of its phase noise. In coherent optical communication systems, such phase noise induces random phase fluctuations in the transmitted signal. To evaluate the phase-noise suppression benefits provided by the narrow linewidth in practical scenarios, we design and simulate a 100 km coherent optical transmission system operating at 50 Gbaud, supporting both QPSK and 16QAM modulation formats. These two formats have different sensitivities to phase noise. By comparing the system performance for these two formats, we can effectively assess the laser’s capability in phase-noise suppression for real applications.
Figure 6 shows the schematic of the simulation setup. At the transmitter, lasers of different linewidths are used to conduct comparison tests at 1 MHz, 100 kHz, and 193 Hz. In the numerical simulation, a continuous-wave laser with center frequency 193.1 THz and output optical power of 7 dBm is modulated into optical baseband signals by an IQ Mach–Zehnder modulator. The modulated signal is amplified by an erbium-doped fiber amplifier (EDFA) with a gain exceeding 20 dB, and then transmitted through 100 km standard single-mode fiber. At the receiver, the transmitted signal is coherently mixed with the local oscillator (LO) in a 90° optical hybrid. The four output ports are detected by two balanced photodetectors (PDs), and the resulting electrical signals are sampled by a high-speed analog-to-digital converter (ADC) and processed by digital signal processing (DSP) algorithms, including IQ imbalance compensation, chromatic dispersion compensation, frequency offset estimation, and carrier phase recovery.
Figure 6.
Schematic of a 50 Gbaud, 100 km coherent optical transmission system used for phase-noise evaluation.
4. Numerical Analysis
4.1. Spectrum of the Cascaded Triple-Ring Filter
Based on the proposed cascaded triple-ring filter structure, we perform simulations to characterize its transmission spectrum. The estimated insertion losses of the three MRRs are approximately 0.21 dB for MRR-a, 0.21 dB for MRR-b, and 1.91 dB for MRR-c. Figure 7a shows the simulated transmission spectrum of the proposed cascaded triple-ring filter in the wavelength range of 1540–1620 nm, where the device exhibits an insertion loss of 2.64 dB, corresponding to a peak transmittance of approximately 0.55. The minimum power difference between the main resonance peak and the adjacent side mode is about 13.4 dB, and the FSR is approximately 64 nm. Figure 7b plots the transmission spectra of the triple-ring filter from simulation and from the TCMT theory. The blue curve shows the spectrum simulated with the cascaded triple-ring filter, and the orange curve shows the theoretical spectrum calculated using the TCMT Equation (10). The simulated peak transmittance is lower than the theoretical maximum predicted by the TCMT model for two reasons. First, to simplify the derivation of the theoretical transmission spectrum, we intentionally neglect the intrinsic loss terms in the rings (i.e., for ) in the analytical TCMT formulation. Second, the numerical simulations include waveguide propagation loss, whereas this loss is neglected in the simplified analytical TCMT model, leading to a reduced peak transmittance in simulation.
Figure 7.
Transmission characteristics of the cascaded triple-ring system: (a) transmission spectrum; (b) comparison of the theoretical and simulated transmission spectra.
4.2. Performance Characterization of the Proposed ECL
Based on the theoretical model derived in Section 2 and the design parameters listed in Table 1 and Table 2, the three coefficients , , and are calculated as functions of frequency detuning from the lasing wavelength (1570 nm), as shown in Figure 8a. The corresponding Lorentzian linewidth is then evaluated using Equation (19) and plotted in Figure 8b, which indicates that the laser linewidth can be compressed to the sub-kHz level.
Figure 8.
(a) Calculated values for coefficients A, B and F; (b) Estimated Lorentzian linewidth as a function of frequency detuning from the triple-ring mirror resonance, assuming an output power of 20 mW.
To further verify the performance of the proposed laser, we use traveling wave laser model (TWLM) to calculate the SOA and a transient sampling mode to calculate the overall ECLs. The simulation parameters are shown in Table 1, Table 2 and Table 3. The simulation results are shown in Figure 9. Under a pump current of 100 mA, the output optical spectrum exhibits an SMSR exceeding 80 dB at 1550 nm, with an output power of 24 mW. The corresponding frequency-noise spectrum shows a white noise floor of 61.63 Hz2/Hz, which corresponds to a Lorentzian linewidth of 193 Hz at 1550 nm.
Table 3.
Configuration parameters used for numerical modeling.
Figure 9.
Optical spectrum and frequency-noise characteristics of the laser. (a) Optical output spectrum; (b) Laser frequency noise spectrum at 1550 nm.
Next, we investigate the tuning characteristics of the laser by sweeping the heaters of the MRRs to obtain the tuning map. During the measurement, the gain current is fixed at 100 mA. Figure 10 shows optical spectra at different operating wavelengths. A tuning range of 64 nm is achieved with SMSR exceeding 80 dB, and the linewidth remains within the kilohertz range across the full tuning span. Detailed simulated values of linewidth, SMSR and output power at representative wavelengths are summarized in Table 4.
Figure 10.
Optical spectra under different operation wavelengths.
Table 4.
Simulated performance of ECL at different wavelengths.
4.3. System-Level Performance Analysis of the ECL in Coherent Optical Transmission
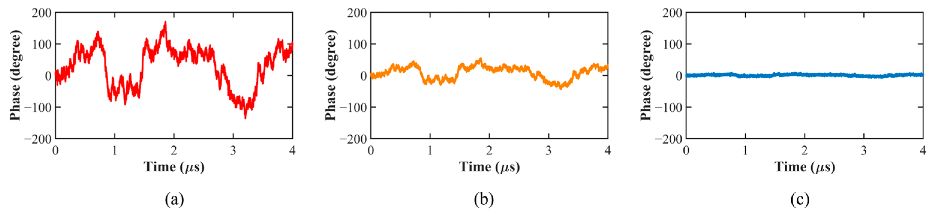
To analyze the impact of laser linewidth on system phase noise, we employ Wiener-process-based numerical simulations to study time-domain phase fluctuations under different linewidths. Figure 11 shows instantaneous phase evolution within a 4 μs observation window for linewidths of 1 MHz, 100 kHz, and 193 Hz. As linewidth decreases, phase excursions become significantly less pronounced, confirming that reducing laser linewidth effectively suppresses system phase noise.
Figure 11.
Numerically simulated phase fluctuations for laser linewidths of (a) 1 MHz, (b) 100 kHz and (c) 193 Hz.
Figure 12 shows QPSK constellations for a 50 Gbaud, 100 km coherent optical transmission system for different laser linewidths. Panels (a)–(c) illustrate the constellations before carrier phase recovery for linewidths of 1 MHz, 100 kHz, and 193 Hz, respectively. At the linewidth of 1 MHz, the constellation exhibits pronounced spreading and rotation. As the linewidth is reduced to 100 kHz and further to 193 Hz, the phase-induced distortion is progressively alleviated and the constellation points become increasingly compact. Panels (d)–(f) show constellations after blind phase search (BPS) recovery, yielding a BER of zero in all cases.
Figure 12.
Simulated 50 Gbaud QPSK constellations after 100 km coherent transmission for different laser linewidths of 1 MHz,100 kHz,193 Hz. Panels (a–c) show the received constellations before carrier phase recovery, and panels (d–f) show the constellations after BPS carrier phase estimation.
Figure 13 shows the corresponding 16QAM constellations for the same linewidth conditions. Panels (a)–(c) present the constellations before carrier phase recovery for linewidths of 1 MHz, 100 kHz, and 193 Hz, respectively. As the linewidth is reduced from 1 MHz to 193 Hz, the constellations evolve from severely broadened and strongly mixed inner and outer rings to compact and separated symbol points, indicating the significant improvement in phase-noise tolerance provided by the narrow-linewidth laser. Panels (d)–(f) show the corresponding constellations after BPS recovery. For the higher-order 16QAM modulation format, the results show that, without employing the BPS algorithm, the proposed 193 Hz narrow-linewidth laser can achieve a BER as low as 7.2493 × 10−5, whereas the BER of the 1 MHz broad-linewidth laser is 0.6556, rendering the system unusable. After enabling BPS-based carrier phase compensation, the 193 Hz narrow-linewidth laser still maintains outstanding performance with a BER of 5.3416 × 10−5. Although the BER of the 1 MHz linewidth laser is improved from 0.6556 to 1.5 × 10−3, it remains above that of the narrow-linewidth case, corresponding to a performance gap of more than one order of magnitude. These results clearly demonstrate that reducing the laser linewidth is an effective way to enhance the performance of high-order coherent modulation systems. As the linewidth decreases, phase-noise-induced constellation blurring and rotation are strongly suppressed, the BER is reduced, and the system obtains a larger performance margin.
Figure 13.
Simulated 50 Gbaud 16QAM constellations after 100 km coherent transmission for different laser linewidths of 1 MHz, 100 kHz, 193 Hz. Panels (a–c) show the received constellations before carrier phase recovery, and panels (d–f) show the constellations after BPS carrier phase estimation.
In summary, the proposed ECL delivers an output power of 24 mW and an intrinsic linewidth of 193 Hz at 1550 nm, an SMSR greater than 80 dB, and a tuning range of 64 nm. With these performance advantages, our narrow-linewidth laser provides a high-quality optical carrier for long-haul, high-baud-rate coherent transmission, paving the way for low-complexity and energy-efficient coherent optical communication systems.
5. Fabrication Tolerance of the Device
The practical deployment of photonic devices necessitates rigorous analysis of fabrication tolerances. In our triple-ring filter, performance is particularly sensitive to dimensional variations in the of the radius of the rings. The designed radii for the three MRRs in the proposed triple-ring filter are R1 = 98.9 μm, R2 = 101.9 μm, R3 = 1484.3 μm. Altering any of these radii leads to resonant wavelength mismatch, thereby degrading device performance. To quantify this effect, we performed radius sweeps for R1, R2, and R3, and assessed the resulting degradation in the filter response.
As shown in Figure 14, the ring radius affects both the insertion loss and the SMSR of the triple-ring filter. In Figure 14a, when the R1 deviation is within about 10 nm, the SMSR stays around 13 dB and the insertion loss changes by about 2 dB. Figure 14b indicates a tighter tolerance for R2, as a radius deviation within about 5 nm keeps the SMSR above 10 dB and limits the insertion loss penalty to about 2 dB. In Figure 14c, the response is more gradual for R3, and a deviation within about 20 nm still preserves a relatively high SMSR while keeping the insertion loss close to its minimum. Thus, the fabrication tolerance for the radius of R1 is about ±10 nm, and that for R2 and R3 is about ±5 nm and ±20 nm, respectively.
Figure 14.
Fabrication tolerance analysis of the triple-ring filter: (a) insertion loss and SMSR versus the radius deviation of R1; (b) insertion loss and SMSR versus the radius deviation of R2; (c) insertion loss and SMSR versus the radius deviation of R3.
6. Discussion
Table 5 compares the performance metrics of previously reported ECLs with our work Dual-ring ECLs schemes [13,14,15,25] exhibit diverse performance characteristics. Some designs provide very wide tuning ranges and high output powers (e.g., 172 nm tuning range and 26.7 mW output power in [25]), but their linewidths remain in the kilohertz range and the SMSR is limited to about 40 dB. Other designs achieve hertz-level linewidth and higher SMSR, whereas they only offer moderate tuning ranges and relatively low output powers (e.g., in Ref. [14]). For triple-ring ECLs [26,27,28], the introduction of a third ring provides more design flexibility than dual-ring structures. In particular, a more favorable combination of linewidth, tuning range, SMSR, and output power than in typical dual-ring designs can be obtained (e.g., in Ref. [28]). Nevertheless, the output power in these triple-ring implementations is still limited to only a few milliwatts, so the intrinsic trade-offs among linewidth, tuning range, SMSR, and output power are not fully removed.
Table 5.
Performance comparison.
In this context, our ECL offers a more balanced performance profile. First, the coupling gap between the bus-waveguide and each ring resonator is set to 650 nm. Choosing a higher coupling gap would decrease the laser linewidth by increasing the effective cavity length and photon lifetime through a larger number of round trips in the MRRs; however, too weak coupling would reduce the usable tuning range, because the higher loss in the feedback path makes the lasing mode more sensitive to broadband feedback such as scattering and facet reflections. Moreover, reducing the radius difference between the first two rings could be increase the FSR and thus extend the tuning range, but a smaller radius difference leading to a lower SMSR. Second, the mirror reflectivity affects both the laser linewidth and the on-chip output power. As shown in Figure 15a, increasing left facet reflectivity further narrows the linewidth but reduces the on-chip output power. This is because a higher reflectivity enhances intracavity feedback and increases the photon lifetime, whereas the longer effective optical path leads to more accumulated waveguide propagation loss before reaching the output. Considering the trade-off between linewidth and output power, we set the left facet power reflection to 0.3. Figure 15b shows the intrinsic linewidth and on-chip output power versus the Sagnac loop mirror reflectivity Rmirror ranging from 0.8 to 0.99. As Rmirror increases, the on-chip output power slightly increases. The lowest linewidth is obtained at an Rmirror value of 0.9, while a similarly low value can also be achieved near 0.975 together with a higher output power. However, achieving such a high reflectivity near 0.975 typically requires more stringent device conditions, such as a coupler splitting ratio closer to the ideal value and lower loop loss with reduced fabrication deviations. Therefore, we use an Rmirror value of 0.9. Furthermore, increasing the radius of the third ring improves the SMSR by enhancing the spectral selectivity of the external cavity, but the longer ring path also introduces additional propagation loss and reduces the on-chip output power. Although the tuning range of our ECL is not the widest among the compared designs, it remains sufficient for many WDM and sensing applications [29]. More importantly, our laser achieves an ultranarrow intrinsic linewidth of 193 Hz, an SMSR exceeding 80 dB and an on-chip output power of 24 mW at 1550 nm, with the SMSR being the highest among the listed schemes. Compared with prior reports, our approach simultaneously maintains a high SMSR and an ultranarrow linewidth without sacrificing output power, offering a more balanced and practically attractive performance trade-off.
Figure 15.
Simulated intrinsic linewidth and on-chip output power as functions of (a) SOA left facet reflectivity and (b) Sagnac loop mirror reflectivity.
Based on our current findings, this work still offers several promising directions for further research: First, by further optimizing the ring radii and the cascaded triple-ring external-cavity structure, it is expected that the tuning range can be extended while maintaining the ultranarrow linewidth. Second, a more compact heterogeneous integration or micro-transfer printing scheme between the SOA and Si3N4 platform could be explored to reduce coupling loss and relax alignment tolerances. Benefiting from the narrow linewidth, high SMSR, and broad tuning range achieved by our design, the proposed ECL holds strong potential in coherent optical communications, FMCW LiDAR, distributed fiber sensing.
7. Conclusions
We propose a cascaded triple-ring ECL based on a low-loss Si3N4 waveguide platform, and numerical simulations indicate that it features a tuning range of 64 nm, an SMSR greater than 80 dB, an output power of approximately 24 mW, and an intrinsic linewidth as low as 193 Hz at 1550 nm, remaining below 1 kHz across the entire tuning range. Furthermore, we numerically evaluate the proposed laser in a 50 Gbaud, 100 km 16QAM coherent optical transmission system. Simulation results show that, thanks to its sub-kHz-level narrow linewidth, the proposed laser achieves a BER of 5.3416 × 10−5, compared with 1.5 × 10−3 for a 1 MHz linewidth laser, corresponding to more than an order-of-magnitude performance improvement. With its comprehensive performance advantages, the proposed laser design is expected to provide a promising on-chip light source for high-speed coherent optical communication systems employing high-order modulation formats and shows significant potential for integrated photonic applications such as coherent transceivers, high-resolution sensing, and LiDAR.
Author Contributions
Conceptualization, Y.H.; Methodology, T.W. and Y.H.; Software, T.W. and Y.H.; Validation, T.W. and Y.H.; Formal analysis, Y.H. and T.W.; Investigation, T.W. and W.Z.; Resources, T.W.; Data curation, Y.H. and T.W.; Writing—original draft, T.W.; Writing—review & editing, T.W.; Visualization, T.W.; Supervision, W.Z. and Y.W.; Project administration, W.Z. and Y.W.; Funding acquisition, W.Z. All authors have read and agreed to the published version of the manuscript.
Funding
This research was funded by National Natural Science Foundation of China (No. U24B20168).
Institutional Review Board Statement
Not applicable.
Informed Consent Statement
Not applicable.
Data Availability Statement
The raw and processed data required to reproduce the findings of this study are not publicly available at this time, as they also form part of an ongoing extended study. Interested researchers may request access to the datasets from the corresponding author, Wen Zhou (email: zwen@fudan.edu.cn), subject to reasonable conditions and approval.
Conflicts of Interest
Author Ye Wang was employed by the company China Mobile Jiangsu Company Limited. The remaining authors declare that the research was conducted in the absence of any commercial or financial relationships that could be construed as a potential conflict of interest.
References
- Xiang, C.; Jin, W.; Terra, O.; Dong, B.; Wang, H.; Wu, L.; Guo, J.; Morin, T.J.; Hughes, E.; Peters, J. 3D integration enables ultralow-noise isolator-free lasers in silicon photonics. Nature 2023, 620, 78–85. [Google Scholar] [CrossRef] [PubMed]
- Lu, P.; Lalam, N.; Badar, M.; Liu, B.; Chorpening, B.T.; Buric, M.P.; Ohodnicki, P.R. Distributed optical fiber sensing: Review and perspective. Appl. Phys. Rev. 2019, 6, 041302. [Google Scholar] [CrossRef]
- Bai, Z.; Zhao, Z.; Tian, M.; Jin, D.; Pang, Y.; Li, S.; Yan, X.; Wang, Y.; Lu, Z. A comprehensive review on the development and applications of narrow-linewidth lasers. Microw. Opt. Technol. Lett. 2022, 64, 2244–2255. [Google Scholar] [CrossRef]
- Hoshida, T.; Curri, V.; Galdino, L.; Neilson, D.T.; Forysiak, W.; Fischer, J.K.; Kato, T.; Poggiolini, P. Ultrawideband Systems and Networks: Beyond C + L-Band. Proc. IEEE 2022, 110, 1725–1741. [Google Scholar] [CrossRef]
- Seimetz, M. Laser linewidth limitations for optical systems with high-order modulation employing feed forward digital carrier phase estimation. In Proceedings of the Optical Fiber Communication Conference, San Diego, CA, USA, 24–28 February 2008; pp. 1–3. [Google Scholar]
- Yi, W.; Zhou, Z.; Liu, Z.; Bayvel, P.; Killey, R.I. Impact of laser phase noise on ranging precision within and beyond laser coherence length in FMCW LiDAR. In Proceedings of the 2023 Optical Fiber Communications Conference and Exhibition (OFC), San Diego, CA, USA, 5–9 March 2023; pp. 1–3. [Google Scholar]
- Ding, Z.; Wang, C.; Liu, K.; Jiang, J.; Yang, D.; Pan, G.; Pu, Z.; Liu, T. Distributed Optical Fiber Sensors Based on Optical Frequency Domain Reflectometry: A review. Sensors 2018, 18, 1072. [Google Scholar] [CrossRef]
- Klein, T.; Huber, R. High-speed OCT light sources and systems. Biomed. Opt. Express 2017, 8, 828–859. [Google Scholar] [CrossRef]
- Wang, K.; Chen, Q.; Jiang, C.; Chen, Z.; Lou, J.; Lu, M.; Lu, Q.; Guo, W. Characterization of Thermo-Optically Tuned Multi-Channel Interference Widely Tunable Semiconductor Laser for Quasi-Continuous Tuning. J. Light. Technol. 2023, 41, 3084–3093. [Google Scholar] [CrossRef]
- Li, N.; Chen, G.; Ng, D.K.T.; Lim, L.W.; Xue, J.; Ho, C.P.; Fu, Y.H.; Lee, L.Y.T. Integrated lasers on silicon at communication wavelength: A progress review. Adv. Opt. Mater. 2022, 10, 2201008. [Google Scholar] [CrossRef]
- Xiang, C.; Jin, W.; Guo, J.; Peters, J.D.; Kennedy, M.; Selvidge, J.; Morton, P.A.; Bowers, J.E. Narrow-linewidth III-V/Si/Si3N4 laser using multilayer heterogeneous integration. Optica 2020, 7, 20–21. [Google Scholar] [CrossRef]
- Jin, W.; Yang, Q.-F.; Chang, L.; Shen, B.; Wang, H.; Leal, M.A.; Wu, L.; Gao, M.; Feshali, A.; Paniccia, M. Hertz-linewidth semiconductor lasers using CMOS-ready ultra-high-Q microresonators. Nat. Photonics 2021, 15, 346–353. [Google Scholar] [CrossRef]
- Pan, B.; Bourderionnet, J.; Billault, V.; Brignon, A.; Dwivedi, S.; Dahlem, M.; Cummins, C.; Saseendran, S.S.; Pham, N.; Helin, P. III-V-on-silicon nitride narrow-linewidth tunable laser based on micro-transfer printing. In Proceedings of the 2023 Optical Fiber Communications Conference and Exhibition (OFC), San Diego, CA, USA, 5–9 March 2023. [Google Scholar]
- Wu, Y.; Shao, S.; Tang, L.; Yang, S.; Chen, H.; Chen, M. Hybrid integrated tunable external cavity laser with sub-10 Hz intrinsic linewidth. APL Photonics 2024, 9, 021302. [Google Scholar] [CrossRef]
- Fan, Z.; Yan, X.; Zou, J.; Li, X.; Yang, J.; Lin, H. Wavelength and reflectivity tunable hybrid integrated external cavity laser using cascaded micro-rings with wide-bandwidth adjustable Sagnac-loop reflectors. Chin. Opt. Lett. 2025, 23, 081301. [Google Scholar] [CrossRef]
- Bao, H.; Yu, H.; Zhang, T.; Wang, S.; Zhang, J.; Cao, Y.; Liu, Z.; Liu, J. Kilohertz external cavity laser with extended mode-hop-free tuning via thermally self-compensation. Opt. Express 2025, 33, 36293–36304. [Google Scholar] [CrossRef]
- Kikuchi, K. Characterization of semiconductor-laser phase noise and estimation of bit-error rate performance with low-speed offline digital coherent receivers. Opt. Express 2012, 20, 5291–5302. [Google Scholar] [CrossRef] [PubMed]
- Zafra, S.O.; Pang, X.; Jacobsen, G.; Popov, S.; Sergeyev, S. Phase noise tolerance study in coherent optical circular QAM transmissions with viterbi-viterbi carrier phase estimation. Opt. Express 2014, 22, 30579–30585. [Google Scholar] [CrossRef] [PubMed]
- Meiyappan, A.; Kam, P.-Y.; Kim, H. On decision aided carrier phase and frequency offset estimation in coherent optical receivers. J. Light. Technol. 2013, 31, 2055–2069. [Google Scholar] [CrossRef]
- Fang, X.; Zhu, Y.; Cai, X.; Hu, W.; He, Z.; Yu, S.; Zhang, F. Overcoming laser phase noise for low-cost coherent optical communication. Nat. Commun. 2024, 15, 6339. [Google Scholar] [CrossRef]
- Hu, Y.; Wang, T.; Zhou, W.; Hu, B. Creation of Low-Loss Dual-Ring Optical Filter via Temporal Coupled Mode Theory and Direct Binary Search Inverse Design. Photonics 2025, 12, 681. [Google Scholar] [CrossRef]
- Hu, Y.; Wang, T.; Zhou, W.; Hu, B. Creation of Low-Loss Triple-Ring Optical Filter via Direct Binary Search Inverse Design. Sensors 2025, 25, 5895. [Google Scholar] [CrossRef]
- Patzak, E.; Sugimura, A.; Saito, S.; Mukai, T.; Olesen, H. Semiconductor laser linewidth in optical feedback configurations. Electron. Lett. 1983, 19, 1026–1027. [Google Scholar] [CrossRef]
- Kazarinov, R.; Henry, C. The relation of line narrowing and chirp reduction resulting from the coupling of a semiconductor laser to passive resonator. IEEE J. Quantum Electron. 1987, 23, 1401–1409. [Google Scholar] [CrossRef]
- Guo, Y.; Li, X.; Jin, M.; Lu, L.; Xie, J.; Chen, J.; Zhou, L. Hybrid integrated external cavity laser with a 172-nm tuning range. APL Photonics 2022, 7, 066101. [Google Scholar] [CrossRef]
- Ren, Y.; Xiong, B.; Yu, Y.; Lou, K.; Chu, T. Widely and fast tunable external cavity laser on the thin film lithium niobate platform. Opt. Commun. 2024, 559, 130415. [Google Scholar] [CrossRef]
- Tran, M.A.; Huang, D.; Komljenovic, T.; Liu, S.; Liang, L.; Kennedy, M.J.; Bowers, J.E. Multi-Ring mirror-based narrow-linewidth widely-tunable lasers in heterogeneous silicon photonics. In Proceedings of the 2018 European Conference on Optical Communication (ECOC), Rome, Italy, 23–27 September 2018; pp. 1–3. [Google Scholar]
- Tran, M.A.; Huang, D.; Guo, J.; Komljenovic, T.; Morton, P.A.; Bowers, J.E. Ring-resonator-based widely-tunable narrow-linewidth Si/InP integrated lasers. IEEE J. Sel. Top. Quantum Electron. 2020, 26, 1500514. [Google Scholar] [CrossRef]
- Yang, C.; Liang, L.; Qin, L.; Tang, H.; Lei, Y.; Jia, P.; Chen, Y.; Wang, Y.; Song, Y.; Qiu, C.; et al. Advances in silicon-based, integrated tunable semiconductor lasers. Nanophotonics 2023, 12, 197–217. [Google Scholar] [CrossRef] [PubMed]
Disclaimer/Publisher’s Note: The statements, opinions and data contained in all publications are solely those of the individual author(s) and contributor(s) and not of MDPI and/or the editor(s). MDPI and/or the editor(s) disclaim responsibility for any injury to people or property resulting from any ideas, methods, instructions or products referred to in the content. |
© 2026 by the authors. Licensee MDPI, Basel, Switzerland. This article is an open access article distributed under the terms and conditions of the Creative Commons Attribution (CC BY) license.














