You are currently viewing a new version of our website. To view the old version click .
Photonics
  • This is an early access version, the complete PDF, HTML, and XML versions will be available soon.
  • Article
  • Open Access

29 December 2025

Reconfigurable Millimeter-Wave Generation via Mutually Injected Spin-VCSELs

,
,
,
and
1
School of Optoelectronic Science and Engineering & Collaborative Innovation Center of Suzhou Nano Science and Technology, Soochow University, Suzhou 215006, China
2
Key Laboratory of Advanced Optical Manufacturing Technologies of Jiangsu Province & Key Laboratory of Modern Optical Technologies of Education Ministry of China, Soochow University, Suzhou 215006, China
*
Authors to whom correspondence should be addressed.
Photonics2026, 13(1), 28;https://doi.org/10.3390/photonics13010028 
(registering DOI)
This article belongs to the Special Issue Vertical-Cavity Surface-Emitting Laser Technology: Innovations and Future Trends

Abstract

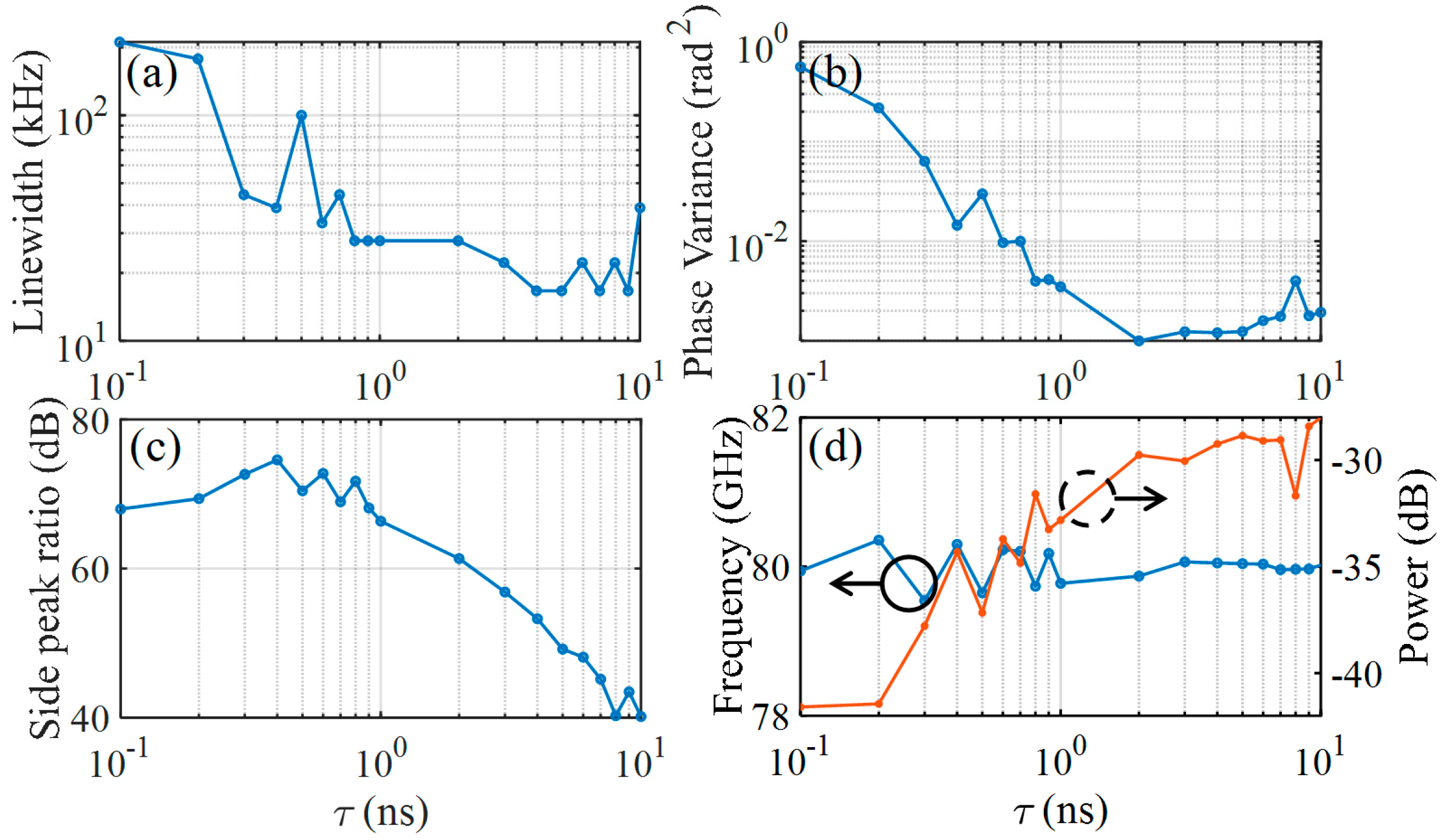
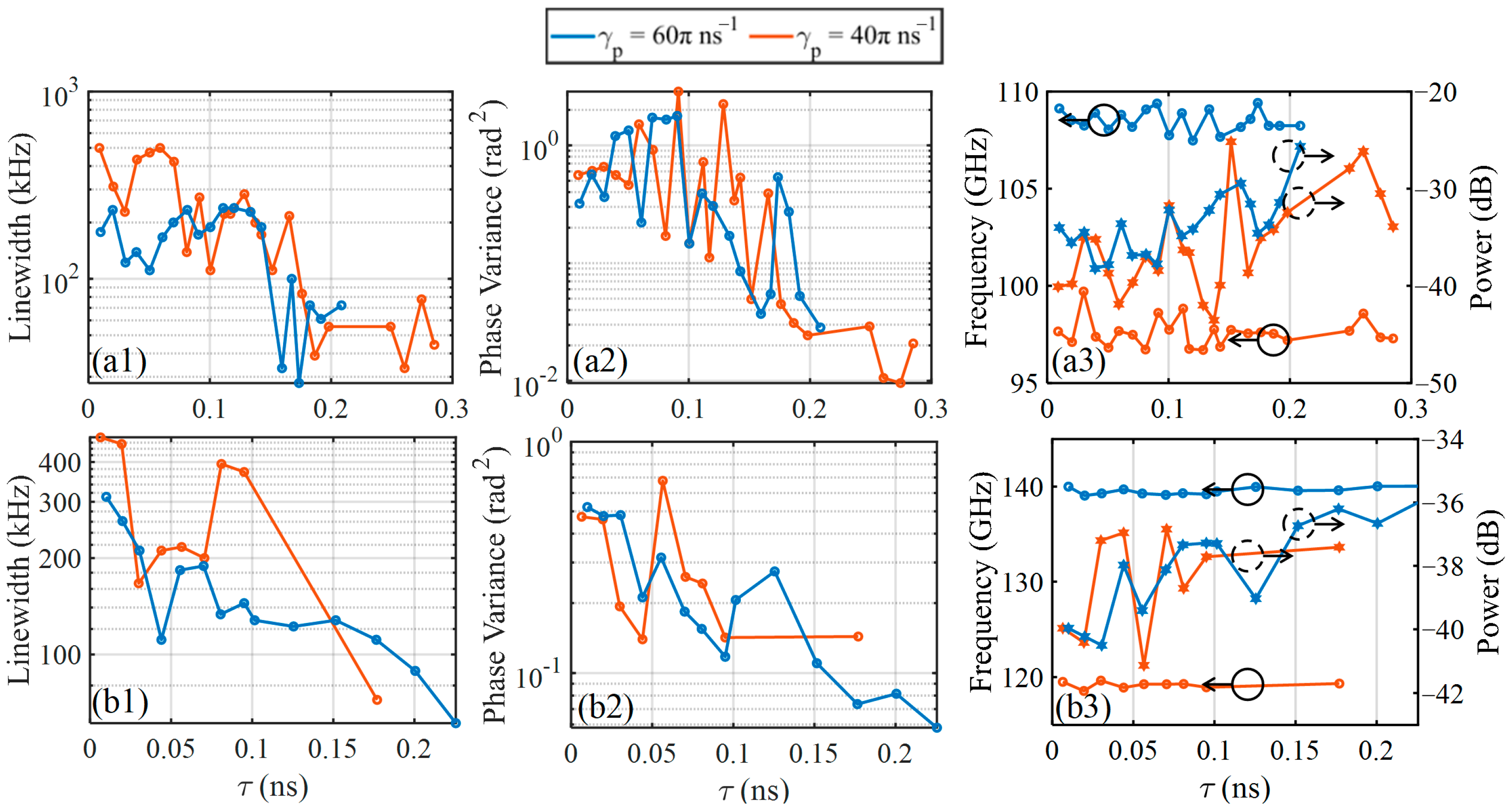
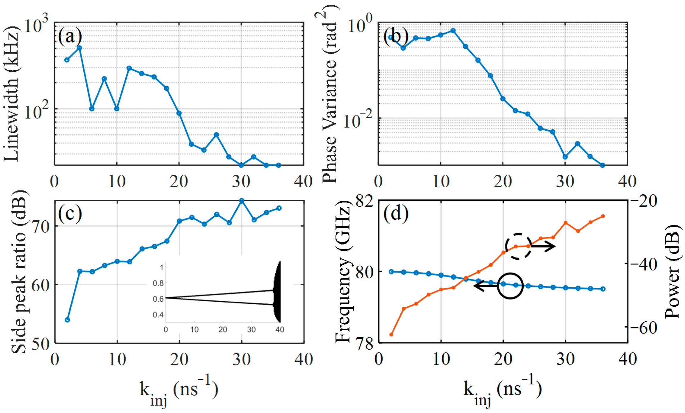
We propose a novel scheme for generating high-frequency millimeter-wave signals by exploiting period-one (P1) dynamics in a mutual injection configuration of two spin-polarized vertical-cavity surface-emitting lasers (spin-VCSELs). The frequency of the generated millimeter-wave signal is jointly determined by the birefringence rate of the spin-VCSEL and the frequency detuning between the two lasers. By leveraging the complex dynamics of free-running spin-VCSELs, we explore the coupling of three distinct dynamic states: continuous-wave (CW) injected into CW, CW injected into P1 oscillation, and P1 oscillation injected into P1 oscillation. Our results reveal that these interactions not only enhance the tunability and frequency of the millimeter-wave output but also significantly reduce the linewidth, offering substantial advantages for reconfigurable photonic systems. This study demonstrates the remarkable potential of mutually injected spin-VCSELs for generating high-performance, tunable photonic millimeter waves and highlights their promising applications in advanced communication and radar systems.

Article Metrics

Citations

Article Access Statistics

Article metric data becomes available approximately 24 hours after publication online.