Understanding Illumination Effect on Saturation Behavior of Thin Film Transistor
Abstract
1. Introduction
2. Materials and Methods
2.1. Device Fabrication
2.2. Simulations
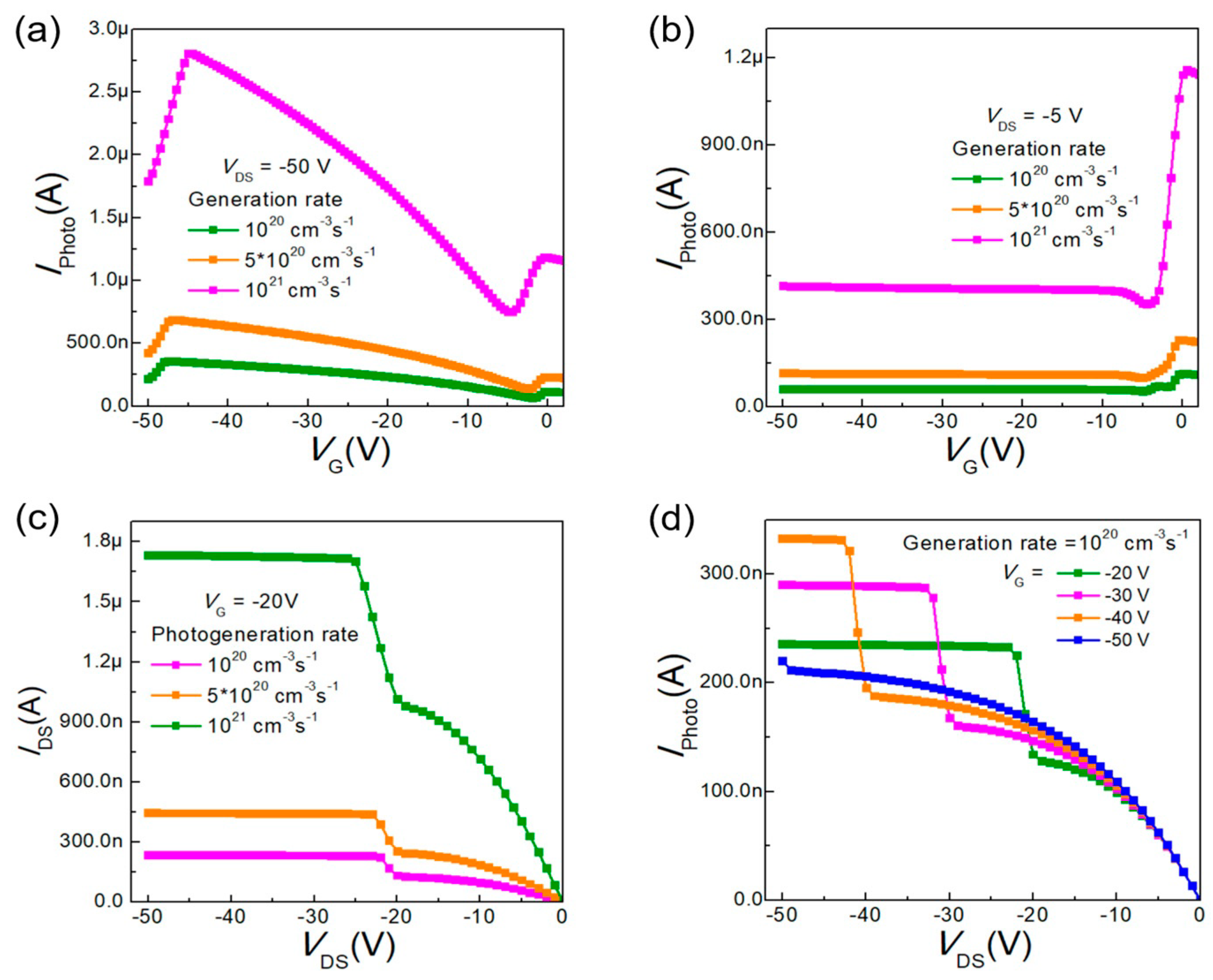
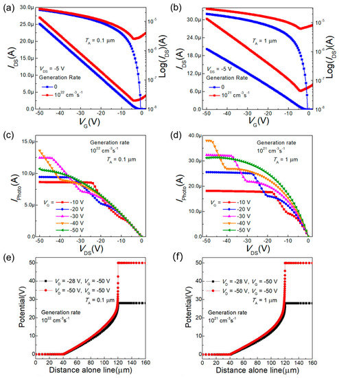
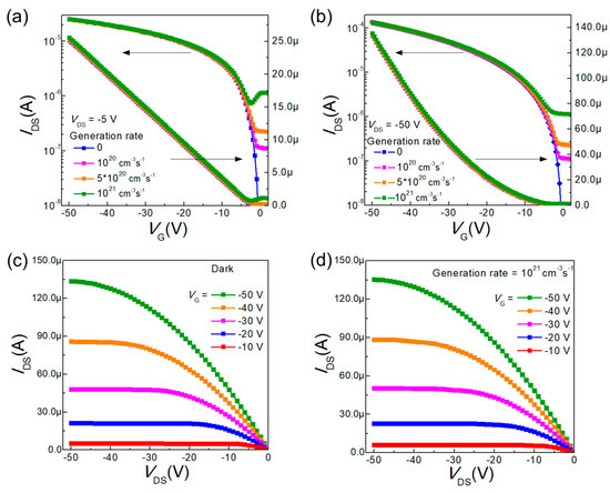
3. Results
4. Conclusions
Author Contributions
Funding
Data Availability Statement
Conflicts of Interest
References
- Meng, W.; Xu, F.; Yu, Z.; Tao, T.; Shao, L.; Liu, L.; Li, T.; Wen, K.; Wang, J.; He, L.; et al. Three-Dimensional Monolithic Micro-LED Display Driven by Atomically Thin Transistor Matrix. Nat. Nanotechnol. 2021, 16, 1231–1236. [Google Scholar] [CrossRef] [PubMed]
- Hwangbo, S.; Hu, L.; Hoang, A.T.; Choi, J.Y.; Ahn, J.H. Wafer-Scale Monolithic Integration of Full-Colour Micro-LED Display Using MoS2 Transistor. Nat. Nanotechnol. 2022, 17, 500–506. [Google Scholar] [CrossRef] [PubMed]
- Kwon, J.Y.; Son, K.S.; Jung, J.S.; Kim, T.S.; Ryu, M.K.; Park, K.B.; Yoo, B.W.; Kim, J.W.; Lee, Y.G.; Park, K.C.; et al. Bottom-Gate Gallium Indium Zinc Oxide Thin-Film Transistor Array for High-Resolution AMOLED Display. IEEE Electron Device Lett. 2008, 29, 1309–1311. [Google Scholar] [CrossRef]
- Xue, Y.; Wang, L.; Zhang, Y.; Liang, G.; Chu, J.; Han, B.; Cao, W.; Liao, C.; Zhang, S. 31-Inch 4K Flexible Display Employing Gate Driver with Metal Oxide Thin-Film Transistors. IEEE Electron Device Lett. 2021, 42, 188–191. [Google Scholar] [CrossRef]
- She, X.J.; Gustafsson, D.; Sirringhaus, H. A vertical organic transistor architecture for fast nonvolatile memory. Adv. Mater. 2017, 29, 1604769. [Google Scholar] [CrossRef]
- Wu, Z.; Liu, Y.; Guo, E.; Darbandy, G.; Wang, S.J.; Hubner, R.; Kloes, A.; Kleemann, H.; Leo, K. Efficient and low-voltage vertical organic permeable base light-emitting transistors. Nat. Mater. 2021, 20, 1007–1014. [Google Scholar] [CrossRef]
- Liu, J.; Zhou, K.; Liu, J.; Zhu, J.; Zhen, Y.; Dong, H.; Hu, W. Organic-single-crystal vertical field-effect transistors and phototransistors. Adv. Mater. 2018, 30, e1803655. [Google Scholar] [CrossRef] [PubMed]
- Jiang, Z.; Zhang, M.; Deng, S.; Yang, Y.; Wong, M.; Kwok, H.-S. Evaluation of positive-bias-stress-induced degradation in InSnZnO thin-film transistors by low frequency noise measurement. IEEE Electron Device Lett. 2022, 43, 886–889. [Google Scholar] [CrossRef]
- Yabuta, H.; Sano, M.; Abe, K.; Aiba, T.; Den, T.; Kumomi, H.; Nomura, K.; Kamiya, T.; Hosono, H. High-mobility thin-film transistor with amorphous InGaZnO4 channel fabricated by room temperature rf-magnetron sputtering. Appl. Phys. Lett. 2006, 89, 112123. [Google Scholar] [CrossRef]
- Dai, X.; Zhang, Z.; Jin, Y.; Niu, Y.; Cao, H.; Liang, X.; Chen, L.; Wang, J.; Peng, X. Solution-Processed, High-Performance light-emitting diodes based on quantum dots. Nature 2014, 515, 96–99. [Google Scholar] [CrossRef]
- Shirasaki, Y.; Supran, G.J.; Bawendi, M.G.; Bulović, V. Emergence of colloidal quantum-dot light-emitting technologies. Nat. Photonics 2012, 7, 13–23. [Google Scholar] [CrossRef]
- Caruge, J.M.; Halpert, J.E.; Wood, V.; Bulović, V.; Bawendi, M.G. Colloidal quantum-dot light-emitting diodes with metal-oxide charge transport layers. Nat. Photonics 2008, 2, 247–250. [Google Scholar] [CrossRef]
- Kirkwood, N.; Singh, B.; Mulvaney, P. Enhancing quantum dot led efficiency by tuning electron mobility in the zno electron transport layer. Adv. Mater. Interfaces 2016, 3, 1600868. [Google Scholar] [CrossRef]
- Hassan, Y.; Park, J.H.; Crawford, M.L.; Sadhanala, A.; Lee, J.; Sadighian, J.C.; Mosconi, E.; Shivanna, R.; Radicchi, E.; Jeong, M.; et al. Ligand-Engineered Bandgap Stability in Mixed-Halide Perovskite LEDs. Nature 2021, 591, 72–77. [Google Scholar] [CrossRef]
- Cheng, L.; Jiang, T.; Cao, Y.; Yi, C.; Wang, N.; Huang, W.; Wang, J. Multiple-Quantum-Well Perovskites for High-Performance Light-Emitting Diodes. Adv. Mater. 2020, 32, 1904163. [Google Scholar] [CrossRef]
- Cao, Y.; Wang, N.; Tian, H.; Guo, J.; Wei, Y.; Chen, H.; Miao, Y.; Zou, W.; Pan, K.; He, Y.; et al. Perovskite Light-Emitting Diodes Based on Spontaneously Formed Submicrometre-Scale Structures. Nature 2018, 562, 249–253. [Google Scholar] [CrossRef] [PubMed]
- Lin, K.; Xing, J.; Quan, L.N.; de Arquer, F.P.G.; Gong, X.; Lu, J.; Xie, L.; Zhao, W.; Zhang, D.; Yan, C.; et al. Perovskite Light-Emitting Diodes with External Quantum Efficiency Exceeding 20 per cent. Nature 2018, 562, 245–248. [Google Scholar] [CrossRef]
- Hong, G.; Gan, X.; Leonhardt, C.; Zhang, Z.; Seibert, J.; Busch, J.M.; Brase, S. A Brief History of OLEDs-Emitter Development and Industry Milestones. Adv. Mater. 2021, 33, 2005630. [Google Scholar] [CrossRef]
- Kang, C.-m.; Lee, H. Recent Progress of Organic Light-Emitting Diode Microdisplays for Augmented Reality/Virtual Reality Applications. J. Inf. Disp. 2021, 23, 19–32. [Google Scholar] [CrossRef]
- Luo, Y.; Li, S.; Zhao, Y.; Li, C.; Pang, Z.; Huang, Y.; Yang, M.; Zhou, L.; Zheng, X.; Pu, X.; et al. An Ultraviolet Thermally Activated Delayed Fluorescence OLED with Total External Quantum Efficiency over 9%. Adv. Mater. 2020, 32, 2001248. [Google Scholar] [CrossRef] [PubMed]
- Kondo, Y.; Yoshiura, K.; Kitera, S.; Nishi, H.; Oda, S.; Gotoh, H.; Sasada, Y.; Yanai, M.; Hatakeyama, T. Narrowband Deep-Blue Organic Light-Emitting Diode Featuring an Organoboron-based Emitter. Nat. Photonics 2019, 13, 678–682. [Google Scholar] [CrossRef]
- Zhang, Z.; Wang, W.; Jiang, Y.; Wang, Y.X.; Wu, Y.; Lai, J.C.; Niu, S.; Xu, C.; Shih, C.C.; Wang, C.; et al. High-Brightness All-Polymer Stretchable LED with Charge-Trapping Dilution. Nature 2022, 603, 624–630. [Google Scholar] [CrossRef]
- Wang, Q.; Ding, J.; Ma, D.; Cheng, Y.; Wang, L.; Jing, X.; Wang, F. Harvesting Excitons Via Two Parallel Channels for Efficient White Organic LEDs with Nearly 100% Internal Quantum Efficiency: Fabrication and Emission-Mechanism Analysis. Adv. Funct. Mater. 2009, 19, 84–95. [Google Scholar] [CrossRef]
- Diethelm, M.; Bauer, M.; Hu, W.H.; Vael, C.; Jenatsch, S.; Blom, P.W.M.; Nüesch, F.; Hany, R. Electron Trap Dynamics in Polymer Light-Emitting Diodes. Adv. Funct. Mater. 2022, 32, 2106185. [Google Scholar] [CrossRef]
- Kuik, M.; Wetzelaer, G.J.; Nicolai, H.T.; Craciun, N.I.; De Leeuw, D.M.; Blom, P.W. 25th Anniversary Article: Charge Transport and Recombination in Polymer Light-Emitting Diodes. Adv. Mater. 2014, 26, 512–531. [Google Scholar] [CrossRef] [PubMed]
- Jing, B.; Peng, C.; Xu, M.; Huang, H.; Li, X.; Zhang, J. Investigation on Stability in Solution-Processed In-Zn-Sn-O TFT Array Under Various Intensity of Illumination. IEEE Trans. Electron Devices 2022, 69, 4283–4287. [Google Scholar] [CrossRef]
- Billah, M.; Chowdhury, M.; Mativenga, M.; Um, J.; Mruthyunjaya, R.; Heiler, G.; Tredwell, T.; Jang, J. Analysis of Improved Performance Under Negative Bias Illumination Stress of Dual Gate Driving a- IGZO TFT by TCAD Simulation. IEEE Electron Device Lett. 2016, 37, 735–738. [Google Scholar] [CrossRef]
- Lin, Y.-J.; Huang, B.-C. Influence of Illumination on the Output Characteristics in Pentacene Thin Film Transistors. Mater. Chem. Phys. 2013, 142, 428–431. [Google Scholar] [CrossRef]
- Xiong, N.; Xiao, P.; Li, M.; Xu, H.; Yao, R.; Wen, S.; Peng, J. Enhancement of Bias and Illumination Stability in Thin-Film Transistors by Doping In ZnO with Wide-Band-Gap Ta2O5. Appl. Phys. Lett. 2013, 102, 242102. [Google Scholar] [CrossRef]
- Kim, S.G.; Kim, S.H.; Park, J.; Kim, G.S.; Park, J.H.; Saraswat, K.C.; Kim, J.; Yu, H.Y. Infrared Detectable MoS2 Phototransistor and Its Application to Artificial Multilevel Optic-Neural Synapse. ACS Nano 2019, 13, 10294–10300. [Google Scholar] [CrossRef]
- Li, P.; Zhang, X.; Chong, W.C.; Lau, K.M. Monolithic Thin Film Red LED Active-Matrix Micro-Display by Flip-Chip Technology. IEEE Photonics Technol. Lett. 2021, 33, 603–606. [Google Scholar] [CrossRef]
- Zhang, Q.; Jin, T.; Ye, X.; Geng, D.; Chen, W.; Hu, W. Organic Field Effect Transistor-Based Photonic Synapses: Materials, Devices, and Applications. Adv. Funct. Mater. 2021, 31, 2106151. [Google Scholar] [CrossRef]
- Baeg, K.J.; Binda, M.; Natali, D.; Caironi, M.; Noh, Y.Y. Organic Light Detectors: Photodiodes and Phototransistors. Adv. Mater. 2013, 25, 4267–4295. [Google Scholar] [CrossRef] [PubMed]
- Han, T.; Sun, L.; Feng, Q.; Cao, K.; Ding, S.; Jin, G.; Jiang, C.; Huang, X. The Mechanism of Photogenerated Minority Carrier Movement in Organic Phototransistors. J. Mater. Chem. C 2020, 8, 12284–12290. [Google Scholar] [CrossRef]
- Wang, S.D.; Yan, Y.; Tsukagoshi, K. Understanding contact behavior in organic thin film transistors. Appl. Phys. Lett. 2010, 97, 063307. [Google Scholar] [CrossRef]







Disclaimer/Publisher’s Note: The statements, opinions and data contained in all publications are solely those of the individual author(s) and contributor(s) and not of MDPI and/or the editor(s). MDPI and/or the editor(s) disclaim responsibility for any injury to people or property resulting from any ideas, methods, instructions or products referred to in the content. |
© 2023 by the authors. Licensee MDPI, Basel, Switzerland. This article is an open access article distributed under the terms and conditions of the Creative Commons Attribution (CC BY) license (https://creativecommons.org/licenses/by/4.0/).
Share and Cite
Jiang, S.; Yang, L.; Huang, C.; Chen, Q.; Zeng, W.; She, X. Understanding Illumination Effect on Saturation Behavior of Thin Film Transistor. Photonics 2023, 10, 309. https://doi.org/10.3390/photonics10030309
Jiang S, Yang L, Huang C, Chen Q, Zeng W, She X. Understanding Illumination Effect on Saturation Behavior of Thin Film Transistor. Photonics. 2023; 10(3):309. https://doi.org/10.3390/photonics10030309
Chicago/Turabian StyleJiang, Shijie, Lurong Yang, Chenbo Huang, Qianqian Chen, Wei Zeng, and Xiaojian She. 2023. "Understanding Illumination Effect on Saturation Behavior of Thin Film Transistor" Photonics 10, no. 3: 309. https://doi.org/10.3390/photonics10030309
APA StyleJiang, S., Yang, L., Huang, C., Chen, Q., Zeng, W., & She, X. (2023). Understanding Illumination Effect on Saturation Behavior of Thin Film Transistor. Photonics, 10(3), 309. https://doi.org/10.3390/photonics10030309
