Abstract
Chiral pesticides with S atoms as asymmetric centers are gaining great importance in the search for new pesticides with new modes of action. As for the rest of the chiral pesticides, the determination of the stereoisomers separately has become crucial in the environmental risks assessment of these pesticides. Therefore, the development of suitable extraction and clean-up methods as well as efficient stereoselective analytical techniques for stereoisomers determination in environmental samples is essential. Currently, liquid/solid phase extraction, microextraction, and QuEChERS-based methods are most commonly used to obtain chiral pesticides from environmental samples. Gas, liquid, and supercritical fluid chromatography together with capillary electrophoresis techniques are the most important for the determination of the stereoisomers of chiral pesticides containing S atoms in its structure. In this study, all these techniques are briefly reviewed, and the advantages and disadvantages of each are discussed.
1. Introduction
The development of more effective, selective, eco-friendly, and profitable agrochemicals has led to the design of pesticides with increasingly complex structures, many of them chiral [1,2]. Chiral pesticides present at least one asymmetrical atom (or chiral center) in theirs structure, resulting in a pair of enantiomers that are non-superimposable mirror images of each other [1]. If the compound has more than one chiral center, for instance n centers, a maximum number of 2n stereoisomers is possible [1]. The enantiomers of a chiral pesticide have identical physicochemical properties, so they behave in the same way in achiral media. However, in chiral media such as soils or organisms, the behavior of each enantiomer is usually different [3]. Therefore, chiral pesticides can undergo enantioselective transformation processes (degradation, isomerization, etc.) in soils, which could lead to a different concentration of each enantiomer in the environment. Furthermore, only one enantiomer is generally active against the target organism, while the other may be inactive, have a different active function, or even be toxic to non-target organisms [4]. For these reasons, determining the concentration of each enantiomer/stereoisomer separately in environmental samples (soil, water, and plant samples, among others) has become crucial for the environmental risk assessment of chiral pesticides.
Overall, the asymmetric center of a chiral compound is a carbon atom attached to four different groups, although the chirality is also possible due to the presence of an asymmetric nitrogen, phosphorus, or sulfur atom (Figure 1) [5]. Sulfur has a lone pair of electrons that can act as a fourth “group,” which results in a chiral center when combined with three other functional groups that are different from each other [1].
Figure 1.
Stereogenic centers on different (C, N, P, and S) atoms tetrahedral configuration.
The search for new functional groups in the structure of pesticides that can avoid cross resistance has led to the development of new groups based on sulfur such as the sulfoximine moiety [6] and sulfiliminyl moiety [7]. Therefore, the presence of asymmetric sulfur atoms in new chiral pesticides is becoming increasingly important.
In general, the analysis of the enantiomers of a chiral compound represents a significant analytical challenger since, as mentioned above, the physicochemical properties of the enantiomers are identical, which makes their individual determination considerably difficult. In this review, the most used techniques for the extraction and determination of pesticide enantiomers from environmental samples are described, emphasizing the analysis of chiral pesticides with an asymmetrical sulfur atom in their structure.
2. Extraction and Clean-Up Methods Used in the Determination of Chiral Pesticides
Extraction methods should not be stereoselective; however, they must provide suitable recovery (and reproducibility) of stereoisomers from complex environmental samples, as well as minimize the matrix interferences (i.e., co-extracted/co-eluting compounds and detector signal suppression) [8]. Several extraction and clean-up methods have been proposed to obtain chiral pesticides from the environmental samples such as liquid–solid extractions with organic solvents, solid-phase extraction modes, microextraction methods, and QuEChERS process (quick, easy, cheap, effective, rugged, and safe) [8]. As can be seen in Table 1, QuEChERS and liquid–solid extraction with organic solvents combined with some solid-phase extraction technique are the most frequently reported procedures for the extraction and clean-up of chiral pesticides with an asymmetric sulfur. QuEChERS was firstly proposed in 2003 [9], and its first application in soil analysis was performed by Lesueur et al. [10]. The original QuEChERS procedure consists of an initial solid–liquid extraction of the sample with acetonitrile (1/1, v/w ratio), which is followed by a salting-out step with anhydrous MgSO4 and NaCl to promote the water partition from the organic phase and its dehydration. Then, an aliquot of the acetonitrile supernatant is cleaned up by dispersive solid-phase extraction using the sorbent “primary secondary amine” (PSA) and anhydrous MgSO4. PSA, which is a weak anion exchanger, removes co-extracted acidic compounds (e.g., fatty acids and organic acids), and the MgSO4 removes the water content from the acetonitrile phase [11]. After centrifuging and filtering, a clean extract is obtained for analysis [9]. Different changes have been made to the original QuEChERS procedure to improve the performance of this method based on the type of analyte and matrix, such as pH control and the use of alternative clean-up methods [11].
Table 1.
Extraction and analytical techniques used in the chiral analysis of the pesticides described in this review.
Several techniques based on solid phase extraction (SPE) have also been used for the extraction of chiral pesticides, as well as for cleaning up extracts from environmental samples. Some examples are dispersive solid phase extraction (DSPE), matrix-solid phase dispersion (MSPD), solid-phase microextraction (SPME), and magnetic solid-phase extraction (MSPE) [12]. The main sorbents used in these solid phase extractions are primary secondary amine (PSA), hydrophilic sorbents (i.e., Florisil, U.S. Silica Company, Katy, TX, USA), lipophilic sorbents (i.e., reverse phase C18), and multi-walled carbon nanotubes (MWCNTs). The latter sorbent has a large specific surface that makes it an excellent SPE sorbent for pesticides. However, when carbon nanotubes are used in SPE cartridge, the high back-pressure of the nanoparticles-packed columns results in resistance to sample flow [13]. This limitation has been overcome by incorporating nanoparticles with magnetic properties into carbons nanotubes, obtaining magnetic multi-walled carbon nanotubes (MMWCNTs). This new sorbent can be used in DSPE for pesticides due to the possibility of collecting it easily by applying an external magnetic field [12].
3. Analytical Techniques for Determination of Chiral Pesticides in Environmental Samples
In general, the most common analytical techniques reported for the determination of chiral pesticides in environmental samples are based on gas chromatography (GC), liquid chromatography (LC), supercritical fluid chromatography (SFC), and capillary electrophoresis (CE). Spectroscopic techniques such as Nuclear Magnetic Resonance (NMR) are in some cases useful (i.e., using cyclodextrins as chiral-solvating agents) but not applicable to the analytical determination of a wide range of chiral pesticides, especially to those containing a sulfur asymmetrical stereocenter [36,37,38,39].
3.1. Gas Chromatography (GC)
GC is often used in the determination of chiral pesticides in environmental samples due to its simplicity, high efficiency, short analysis times, good sensitivity, and reproducibility [36,40]. The main parameters that influence the chiral separation by GC are the type of chiral column, the temperature ramp rate, and the carrier gas lineal velocity [36]. In GC, the most commonly used chiral stationary phases (CSPs) are divided into three groups: amino acid derivatives and diamines, chiral metallic complexes, and cyclodextrin (CD) derivatives [41]. The latter is the most frequently reported for the determination of chiral pesticides by GC. However, chiral cyclodextrin-based columns have limited resolution, and such commercial columns are expensive. Therefore, new CSPs with higher enantioselectivities and broad resolving power have been developed for chiral GC. Some of these new CSPs developed are cyclofructan derivatives and chiral porous materials such as chiral metal–organic and covalent organic frameworks, porous organic and metal–organic cages, and chiral mesoporous silica [42]. The most frequently used detectors in the enantioselective determination of chiral pesticides by GC are the electron capture detector (ECD) and mass spectrometer (MS) [37,43]. The use of one or the other detector depends mainly on the nature of analyte. Thus, for example, ECD has high sensitivity for compounds with electrophilic groups in their structure as organochlorine pesticide [37].
Despite the above-mentioned benefits, GC has some disadvantages such as the need to derive non-volatile pesticides, the limited availability of commercial chiral GC columns, and the fact that some chiral pesticides can undergo isomeric interconversion when they are subjected to the required high temperature for volatilization [36,37]. Due to these limitations, the use of GC for the enantioselective analysis of chiral pesticides is less usual than in the case of LC.
3.2. Liquid Chromatography (LC)
Liquid chromatography is the most widely used analytical technique for the enantiomeric determination of chiral pesticides from environmental samples [36,37,44]. This is due to the great number of chiral columns and chiral selectors (CSs) available on the market, its compatibility with several detectors, as well as its high versatility due to the possibility of using different elution modes (normal, reverse, polar organic, or polar ionic elution modes) [36,37]. Three LC techniques have been developed: high-performance liquid chromatography (HPLC), ultra-performance liquid chromatography (UPLC), and ultra-high performance liquid chromatography (UHPLC).
The CSPs usually used for LC chiral determination are polysaccharides derivatives, CDs, and Pirkle-type CSPs [37]. Of them, the stationary polysaccharide phases are the most popular because of their high selectivity, sensitivity, and reproducibility. Cellulose and amylose polysaccharides functionalized at 2, 3, and 6 positions with phenyl carbamate or benzoate are the most commonly used polysaccharide derivatives as CSP for chiral resolution [36]. These derivatives contain a large number of chiral centers in the polysaccharide backbones as well as the phenyl ring and carbamate groups that can lead to π–π and hydrogen bonding interactions with the analytes [8]. Other interactions that could influence enantiomer separation are dipole–dipole stacking, steric interaction, and hydrophobic interaction [8]. The prediction of the best CSP for separating the enantiomers of a given chiral pesticide based on the pesticides structure and the possible interactions with the CSP is very complex. Therefore, the selection of the most suitable CSPs should be based on a screening of multiple stationary phases followed by an optimization of the chromatographic conditions [8]. LC system can be coupled to different detectors depending on the characteristics of the chiral pesticide and the analysis conditions, such as the elution mode. Thus, in the case of compounds that absorb light in the ultraviolet-visible (UV/Vis) region, the use of a diode array detector (DAD) is a good option, since this technique is not destructive, which is excellent for enantiomer isolations, and it is compatible with all elution modes (normal or reverse-phase mode) [37,45,46]. In the case of mass spectrometry, reverse-phase and polar organic mode are compatible with this detector when electrospray or atmospheric pressure chemical ionization is used [37]. Moreover, LC-MS/MS has the advantage of enhancing the selectivity and sensitivity of the analyses.
3.3. Supercritical Fluid Chromatography (SFC)
SFC presents a series of advantages over the chromatographic techniques described above, such as higher flow rates, shorter analysis times, lower organic solvent consumption, and lower waste production [36,37]. The use of high flow rates and faster separation without any adverse effect on separation efficiency is a consequence of the high diffusivity, high density, and low viscosity of supercritical fluids [47]. Another benefit of using SFC is that CO2 can be easily evaporated, recycled, and reused under pressure. This means a reduction in expenses as well as in the amount of waste produced [37].
As in the other chromatographic techniques, the main parameters to take into account in the optimization of analysis by SFC are the chiral stationary phases and the composition of the mobile phase [47]. The most used CSPs in SFC are mainly the same as those employed in LC: that is, derivatives of polysaccharides such as cellulose and amylose [48,49]. The main mobile phase, co-solvent, and/or additives could influence the chiral resolution mechanism of enantiomers [47]. Normally, the mobile phase is composed of super critical carbon dioxide (scCO2) as main component and organic modifies (co-solvent) such as alcohols (methanol, ethanol, and isopropanol), acetonitrile, dichloromethane, and tetrahydrofuran. Eventually, additives such as acid or/and basic compounds or salt (formic acid, acetic acid, trifluoracetic acid, ammonia, diethylamine, etc.) are added to the mobile phase [49]. Changes in other operating parameters such as pressure, temperature, and flow influence mobile phase density and, as a consequence, the retention and selectivity of chiral analysis would be affected [48].
The main detectors used in SFC are UV/Vis, DAD (Diode array detector), evaporative light scattering, corona charged aerosol, and MS detectors [37,49]. Actually, the detection limits of SFC-DAD and SFC-MS are higher than those of LC-DAD and LC-MS. Nevertheless, SFC-MS/MS is an excellent chromatographic system for enantiomers determination, since it combines the high efficiency and rapid separation of SFC together with the great specificity and selectivity of MS detectors [37].
Currently, despite the advantages of SFC, its application in chiral analysis is not as common as in the case of LC and GC. This may be due to the fact that as SFC is a relatively newer technique, its instrumentation is not as advanced and widespread in laboratories such as GC and LC. However, the application of SFC for chiral determination is expected to increase drastically because of the development of SFC instrumentation in terms of the variety of capillary columns and hyphenation to MS [36].
3.4. Capillary Electrophoresis (CE)
The use of capillary electrophoresis (CE) techniques in the analysis of chiral pesticides would be a good alternative to chromatography techniques. The main advantages of CE over LC and GC are a higher efficiency and resolution, lower reagent, dissolvent and sample consumption, shorter analysis times, and the possibility of separation optimization due to a wider set of analysis conditions, among others [50,51]. There are mainly four approaches to perform chiral separation by capillary electrophoresis: electrokinetic chromatography (EKC), micellar electrokinetic capillary chromatography (MEKC), non-aqueous capillary electrophoresis (NACE), and capillary electrochromatography (CEC) [37]. Except for CEC, in these methods, a chiral selector is dissolved in the background electrolyte (BGE), giving rise to a “pseudo-stationary phase” that interacts with the analyte [50,52]. In contrast, in the CEC, the CS is attached to or adsorbed on the capillary wall. In this case, the enantiomeric separation is due both to the chromatography retention on the CSP and the electrophoretic mobility in the electric field [53]. Among the available chiral selectors, the CDs are the most widely used in all approaches. CDs are cyclic oligosaccharide consisting of mainly 6 (α-CD), 7 (β-CD), or 8(γ-CD) α–D-glucopyranoside units linked via 1–4 bonds and are produced from starch via enzymatic treatment [50]. Original CDs can be chemically altered by hydroxyl derivatization to modify their enantioselectivity in order to be used as CS [50]. Other types of CSs used in EKC are ligand exchangers, proteins, polysaccharides, ionic liquids, chiral crown ethers, and antibiotics, among others [37,50,51]. The most commonly detection systems used in chiral CE are spectrophotometrical, electrochemical, fluorescence, and MS [51]. Although the detection of chiral drugs and pollutants have been achieved by UV detectors [51], the chiral analysis of pesticides in environmental matrices using CE-UV/Vis is limited due to its low sensitivity [37]. This problem can be sorted out by using on-line and off-line pre-concentration techniques such as field-amplified samples staking, field-amplified samples injection, and sweeping, which could be used to enhance the sensitivity of UV detection [50]. Another option is to use a more advanced detection system such as those based on MS, since these detectors provide high sensitivity and selectivity to the chiral analysis [50,53,54].
CE techniques are not as commonly used as the other methods detailed in the previous section (GC, LC, and SFC) due, partially, to the low sensitivity detection and poor reproducibility [51]. However, the application of on-line preconcentration and the possibility of non-aqueous capillary electrophoresis make this technique promising for future use [37].
4. Extraction and Chiral Determination of Pesticides Containing Asymmetric Sulfur
The methodology used for the analysis of the chiral pesticides with an asymmetric sulfur atom in this structure is detailed below.
4.1. Organophosphorus
Organophosphorus compounds are a very popular group of pesticide, in part, because they are relatively inexpensive, and they affect many different kinds of pests [15]. Commercial organophosphorus compounds began to be synthesized in the 1930s, and most of them were achiral. Nevertheless, in the late 1960s, the organophosphorus started to present chiral centers in their structures [55], and currently, 30% of these pesticides have at least one chiral center [56]. This group of compounds is really interesting from a stereochemical point of view, since it can have a phosphorus atom, carbon atom, or sulfur atom as the chiral center [1]. Some examples of organophosphorus pesticides containing a chiral sulfur atom are 2,2-dichlorovinyl 2-ethylsulfinylethyl methyl phosphate, oxydemeton-methyl, oxydeprofos, oxydisulfoton, and fensulfothion, among others [1]. Despite the importance of organophosphorus pesticides in pest control, studies on the enantioselective determination of chiral organophosphorus with asymmetric sulfur atoms are scarce. Only the separation and analysis of the enantiomers of the organophosphate fensulfothion in standard solutions has been found in the literature (Figure 2).
Figure 2.
Chemical structure of fensulfothion enantiomers.
Ellington et al. [14] obtained a complete resolution of the enantiomers of fensulfothion by HPLC-UV/Vis using a column containing amylose tris (3,5-dimethyl-phenyl carbamate, Chiralpack ® AD, Daicel Corporation, Tokyo, Japan) as CSP. The other technique found for the enantioseparation of fensulfothion was micellar electrokinetic capillary chromatography (MEKC) [15]. The authors successfully resolved the fensulfothion enantiomers using as CS a mixture of sodium dodecylsulfate/carboxymethyl-β-cyclodextrin/hydroxypropyl-β-cyclodextrin (pseudo-stationary phase) in borate buffer and absorbance detection (ABS). The addition of the surfactant increased the limited solubility of the organophosphate in the BGE [15].
Some organophosphorus pesticides have a thioether moiety in their structure that can undergo in vivo sulfoxidation. That may mean the transformation of a compound with a non-chiral S atom into a metabolite with a sulfoxide group containing a chiral S atom (if the substituents are different). Therefore, these primary metabolites of thioether pesticides may have stereoselective in vivo metabolism and toxicity as well as stereoselective biodegradation in the environment [16]. An example is fenamiphos, an organophosphorus insecticide that is chiral due to the presence of an asymmetric P. This insecticide undergoes sulfoxation, resulting in fenamiphos sulfoxide that in addition to the asymmetric P atom, has a chiral S that implies the formation of four stereoisomers (Figure 3).
Figure 3.
Fenamiphos (bottom) in vivo oxidation and additional sulfur chiral center formation (* denotes the chiral centers).
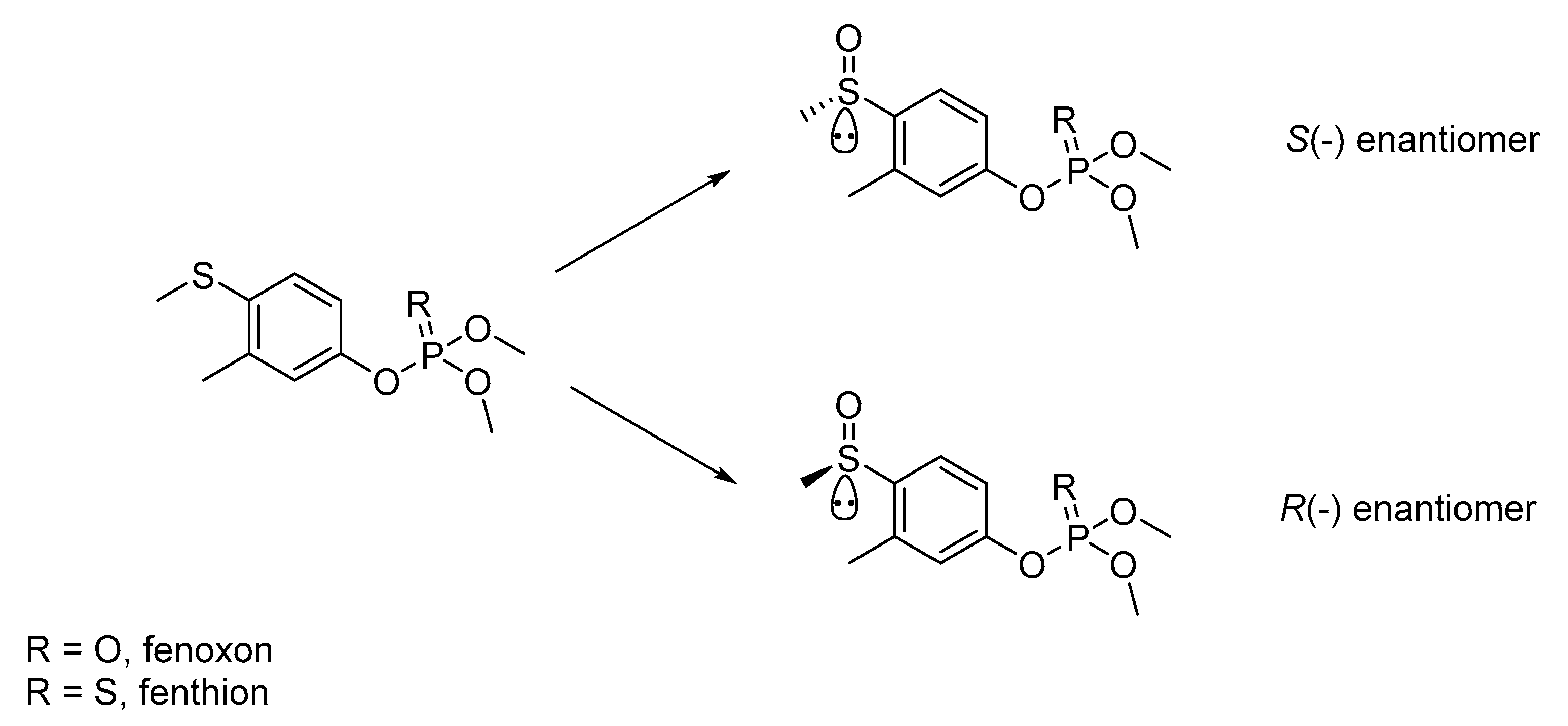
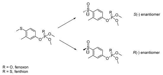
This sulfoxide may be transformed into fenamiphos sulfone [17]. Both fenamiphos and their metabolites have nematocidal properties, as well as toxicity against non-targeted organisms. Therefore, all of them must be considered in the risk assessment, and the total toxic residue of fenamiphos is expressed as the sum of fenamiphos, fenamiphos sulfoxide, and fenamiphos sulfone [16]. Determination of the four metabolites of fenamiphos could be carried out by HPLC-UV using a Chiralpak® AD-H columns (Daicel Corporation, Tokyo, Japan) with amylose tris(3,5-dimethylphenylcarbamate) as CSP [16]. Another technique that can be used for the determination of fenamiphos and its two main metabolites is CE-UV. Lecoueur-Lorin et al. [17] obtained the simultaneous stereoselective determination of fenamiphos and its metabolites from soil samples by CE-UV using a dual CD system composed of carboxymethyl-β-CD and hydroxypropyl-α-CD as CS in acetic acid/ammonia buffer. Other organophosphorus insecticides with a thioether group in their structure that could be transformed in their sulfoxide metabolites are fenthion and fenoxon (Figure 4) [57].
Figure 4.
Fenthion and fenoxon oxidation and enantiomers generation on chiral sulfur.
4.2. Phenylpyrazoles
Phenylpyrazoles are a new class of insecticide characterized by having a central pyrazole ring attached to a phenyl group through one of its nitrogen atoms. The pyrazole ring has a sulfoxide group as a substituent whose asymmetric sulfur atom gives rise to the existence of two enantiomers. Fipronil was the first phenylpyrazole insecticide introduced for pest control in crops such as rice or cotton [18]. Nevertheless, this insecticide is extremely toxic to aquatic organisms, and many target insects have developed resistance [18,22]. Thus, in order to overcome these issues, several derivatives of fipronil have been synthetized and commercialized such as flufiprole and ethiprole, all of them chiral (Figure 5) [18].
Figure 5.
Chemical structures of chiral phenylpyrazoles pesticides (Fipronil, Flufiprole, Ethiprole) with the asymmetry on the sulfur atom (* denotes the chiral centers).
These new phenylpyrazole insecticides exhibit similar biological activity against insects but much lower toxicity to non-target aquatic organisms compared to fipronil [26,27].
The most frequently described extraction and clean-up procedures in the literature for phenylpyrazoles from environmental samples are the QuEChER method (usually with some modifications) followed by solid-phase extraction in either cartridges or DSPE (see Table 1). An excellent sorbent used in DSPE for cleaning extracts with phenylpyrazoles is MMWCNTs [12,13]. This sorbent combines the great adsorption capacity of carbon nanotubes and the facility of management that provide the magnetic properties. In the case of fipronil, extraction with organic solvents followed by cleaning of the extract through a glass column using active carbon, aluminum oxide, and anhydrous sodium sulfate as adsorbent has been also reported [23,24].
Liquid chromatography (HPLC and UPLC) with absorbance detection is the main analytical system used to determine the enantiomers of phenylpyrazole insecticides from different environmental matrices. Thus, HPLC-UV has been used for the enantiomeric determination of fipronil in cabbages [24]; flufiprole in vegetables, fruits, and soils [26]; and ethiprole in vegetables, fruits, and soils [28,29]. HPLC-DAD is another absorbance-based chromatography system that has been used to determine the enantiomers of fipronil and flufiprole, in standard solutions [18], and, in the case of fipronil, also in paddy soils [23]. As discussed above, the use of LC-MS/MS enhances the selectivity and sensitivity of analysis. Some studies in which the chiral analysis of phenylpyrazoles has been performed using MS are fipronil in tea plants [25], flufipropil in paddy fields [27], as well as these two insecticides in herbal samples [12]. Fipronil has also been analyzed in water and sediment samples by chiral GC using a chiral column containing tert-butyldimethylsilyl-β-CD dissolved in 15% diphenyl and 85% dimethyl polysiloxane (BGB-172 column); and ECD [20,22] and MS/MS as detectors [21].
As discussed in the previous section, the use of SFC in the chiral separation of the pesticide enantiomers is not as popular as LC or GC. In the case of phenylpyrazoles, only one study on chiral analysis by SFC has been found. In this work, Zhang et al. [19] optimized the chiral resolution of fipronil, flufiprole, and ethiprole by studying the influence of the chiral column, the type and concentration of organic modifiers, the column temperature, and the back-pressure on the separation efficiency of SFC. Due to the advantages of the SFC over LC and GC such as its high efficacy and short analysis times (see Section 3.3), the evaluation of this technique in the enantiomeric resolution of phenylpyrazole insecticides would be recommended.
4.3. Sulfoximines
Sulfoxamines are a new class of nicotinic insecticide that has a unique chemical group in their structure that leads to a special set of structure–activity relations in comparison with other insecticides [6]. Sulfoxaflor is the most representative compound of this class and the first selected for commercial development [6]. This insecticide has two chiral centers: an asymmetric S atom and an asymmetric C atom attached to position 3 of the pyridine ring that gives rise to four stereoisomers (Figure 6).
Figure 6.
Sulfoxaflor stereoisomers existing as two pairs enantiomers (S,S/R,R on the left and S,R/R,S on the right) and four pairs of diasteroisomers.
The main extraction procedure used for sulfoxaflor is the QuEChERS method with some modification depending on the sample origin. Thus, MWCNTSs have been used as sorbent in the clean-up step for soil, vegetable, and herbal samples [33,34]. A modification of MWCNTs by incorporating magnetic particles of Fe2O3 has been also used in the chiral determination of multi-pesticide residue in which sulfoxaflor was included [12]. Other sulfoxaflor extraction methods are SPE [30], MSPD [31], and DSPE [32].
Liquid chromatography is the most widely used method for analyzing sulfoxaflor stereoisomer. The chromatography system HPLC-DAD has been used in the stereoselective determination of this insecticide in rice and vegetables samples. In order to improve the chiral separation and sensitivity of the analysis of sulfoxaflor stereoisomers, several systems of UPLC or UHPLC coupled with mass spectrometers have been proposed. Thus, UHPLC-MS/MS [32], UHPLC-MS/QTRAP [12], and UPLC-HRMS [31] using an Ultra-High-Field Orbitrap mass analyzer have been used to determine the sulfoxaflor stereoisomers in plant samples.
SFC-MS/MS is a great chromatography system for the chiral determination of sulfoxaflor in environmental samples due to the combination of the high efficiency and fast separation of SFC and the excellent specificity of MS detector. Thus, sulfoxaflor stereoisomers have been successfully separated and analyzed in environmental samples by ultraperformance convergence chromatography/tandem triple quadruple mass spectroscopy (UPC2-MS/MS) [33] and ultrahigh-performance supercritical fluid system coupled with a triple-quadrupole mass spectrometer (UHPSFC-MS/MS) [34].
Jiménez-Jiménez et al. [35] evaluated the stability of sulfoxaflor stereoisomers in marine and fresh water. For that, the authors used EKC-UV and tested 14 different CSs to find the one that provide the best separation. This method has the advantage that the CS and its concentration can be easily changed, which facilitates the screening of several CSs to obtain the most optimal one for a given chiral pesticide. Finally, the authors found that 15 mM Succinyl-β-CD in 100 mM borate buffer (pH = 9.0) was the best CS conditions for the separation of sulfoxaflor stereoisomers.
5. Conclusions and Future Perspective
In the previous sections, the main extraction and analytical separation techniques used for the stereoselective determination of chiral pesticides have been discussed, with emphasis on the methodology used for pesticides that contain an asymmetric S atom in their structure. Table 1 summarizes the extraction and clean-up methods along with the analytical methodology used for the chiral pesticides with a chiral sulfur described in this review. Overall, QuEChERS is the most widely method used for the extraction of these chiral pesticides from environmental samples. In the case of analytical techniques, liquid chromatography has proven to be the most used for the resolution of all the pesticides reviewed. Absorbance detectors (UV, UV/Vis, and DAD) are widely used coupled to an HPLC system. However, the most recent studies on the stereoselective determination of new sulfur pesticides used preferably MS detection due to the high sensitivity and selectivity of this technique, which is essential in complex environmental samples with a high matrix effect.
The search for pesticides with new modes of actions that prevent cross-resistance has led, in some cases, to the development of compounds with novel moieties based on S such as the aforementioned group of sulfoxamines insecticides. Another example is the N-cyano sulfilimines that present a high insecticidal activity [7] and whose commercialization could be promising. All of these compounds have an asymmetric S in its structure. For this reason, the following would be recommended:
- -
- Carry out the environmental risks assessment of the stereoisomers separately due to the possible enantioselectivity of its bioactivity against target pest and its toxicity against non-target organisms.
- -
- Take into account the possible stereoselective behavior of pesticide metabolites that have chiral sulfur in their structure.
- -
- Develop new CS and CSP to improve the resolution of chiral pesticides with asymmetric S atoms.
- -
- Optimize the instrumentation of promising techniques such as SFC or CE techniques for inclusion in the routine analysis of these pesticides.
Author Contributions
Conceptualization, A.F. and R.L.-C.; software, A.F. and R.L.-C.; validation, A.F. and R.L.-C.; formal analysis, A.F. and R.L.-C.; investigation, A.F. and R.L.-C.; resources, A.F.; data curation, R.L.-C.; writing—original draft preparation, A.F. and R.L.-C.; writing—review and editing, A.F. and R.L.-C.; visualization, A.F. and R.L.-C.; project administration, A.F.; funding acquisition, A.F. All authors have read and agreed to the published version of the manuscript.
Funding
This research received no external funding.
Acknowledgments
This study was supported by an EMBO and a FEBS grant to A.F.
Conflicts of Interest
The authors declare no conflict of interest.
References
- Ulrich, E.M.; Morrison, C.N.; Goldsmith, M.R.; Foreman, W.T. Chiral Pesticides: Identification, Description, and Environmental Implications. In Reviews of Environmental Contamination and Toxicology; Whitacre, D.M., Ed.; Springer: New York, NY, USA, 2012; pp. 1–74. ISBN 9781461423287. [Google Scholar]
- Jeschke, P. Current status of chirality in agrochemicals. Pest Manag. Sci. 2018, 74, 2389–2404. [Google Scholar] [CrossRef]
- Musarurwa, H.; Tavengwa, N.T. Green aspects during synthesis, application and chromatographic analysis of chiral pesticides. Trends Environ. Anal. Chem. 2020, 27, e00093. [Google Scholar] [CrossRef]
- Drăghici, C.; Chirila, E.; Sica, M. Enantioselectivity of Chiral Pesticides in the Environment. In Environmental Security Assessment and Management of Obsolete Pesticides in Southeast Europe; Simeonov, L.I., Macaev, F.Z., Simeonova, B.G., Eds.; Springer: Dordrecht, The Netherlands, 2013; pp. 91–102. ISBN 9789400764606. [Google Scholar]
- Hegeman, W.J.M.; Laane, R.W. Enantiomeric enrichment of chiral pesticides in the environment. Rev. Environ. Contam. Toxicol. 2002, 173, 85–116. [Google Scholar]
- Sparks, T.C.; Watson, G.B.; Loso, M.R.; Geng, C.; Babcock, J.M.; Thomas, J.D. Sulfoxaflor and the sulfoximine insecticides: Chemistry, mode of action and basis for efficacy on resistant insects. Pestic. Biochem. Physiol. 2013, 107, 1–7. [Google Scholar] [CrossRef] [Green Version]
- Zhou, S.; Jia, Z.; Xiong, L.; Yan, T.; Yang, N.; Wu, G.; Song, H.; Li, Z. Chiral dicarboxamide scaffolds containing a sulfiliminyl moiety as potential ryanodine receptor activators. J. Agric. Food Chem. 2014, 62, 6269–6277. [Google Scholar] [CrossRef] [PubMed]
- Petrie, B.; Camacho Muñoz, M.D.; Martín, J. Stereoselective LC–MS/MS methodologies for environmental analysis of chiral pesticides. TrAC-Trends Anal. Chem. 2019, 110, 249–258. [Google Scholar] [CrossRef]
- Anastassiades, M.; Lehotay, S.J.; Stajnbaher, D.; Schenck, F.J. Fast and Easy Multiresidue Method Employing Acetonitrile Extraction/Partitioning and “Dispersive Solid-Phase Extraction” for the Determination of Pesticide Residues in Produce. J. AOAC Int. 2003, 86, 413–431. [Google Scholar] [CrossRef] [Green Version]
- Lesueur, C.; Gartner, M.; Mentler, A.; Fuerhacker, M. Comparison of four extraction methods for the analysis of 24 pesticides in soil samples with gas chromatography-mass spectrometry and liquid chromatography-ion trap-mass spectrometry. Talanta 2008, 75, 284–293. [Google Scholar] [CrossRef] [PubMed]
- Bruzzoniti, M.C.; Checchini, L.; De Carlo, R.M.; Orlandini, S.; Rivoira, L.; Del Bubba, M. QuEChERS sample preparation for the determination of pesticides and other organic residues in environmental matrices: A critical review. Anal. Bioanal. Chem. 2014, 406, 4089–4116. [Google Scholar] [CrossRef] [PubMed]
- Liu, H.; Lin, T.; Li, Q. A magnetic multi-walled carbon nanotube preparative method for analyzing asymmetric carbon, phosphorus and sulfur atoms of chiral pesticide residues in Chinese herbals by chiral liquid chromatography-quadrupole/linear ion trap mass spectrometry determination. J. Chromatogr. B Anal. Technol. Biomed. Life Sci. 2020, 1148, 122152. [Google Scholar]
- Zhao, P.; Wang, Z.; Li, K.; Guo, X.; Zhao, L. Multi-residue enantiomeric analysis of 18 chiral pesticides in water, soil and river sediment using magnetic solid-phase extraction based on amino modified multiwalled carbon nanotubes and chiral liquid chromatography coupled with tandem mass spectrometry. J. Chromatogr. A 2018, 1568, 8–21. [Google Scholar] [CrossRef] [PubMed]
- Jackson Ellington, J.; Evans, J.J.; Prickett, K.B.; Champion, W.L. High-performance liquid chromatographic separation of the enantiomers of organophosphorus pesticides on polysaccharide chiral stationary phases. J. Chromatogr. A 2001, 928, 145–154. [Google Scholar] [CrossRef]
- Anigbogu, V.C.; Woldeab, H.; Garrison, A.W.; Avants, J.K. Enantioseparation of malathion, cruformate, and fensulfothion organophosphorus pesticides by mixed-mode electrokinetic capillary chromatography. Int. J. Environ. Anal. Chem. 2003, 83, 89–100. [Google Scholar] [CrossRef]
- Cai, X.; Xiong, W.; Xia, T.; Chen, J. Probing the stereochemistry of successive sulfoxidation of the insecticide fenamiphos in soils. Environ. Sci. Technol. 2014, 48, 11277–11285. [Google Scholar] [CrossRef]
- Lecoeur-Lorin, M.; Delépée, R.; Morin, P. Simultaneous enantioselective determination of fenamiphos and its two metabolites in soil sample by CE. Electrophoresis 2009, 30, 2931–2939. [Google Scholar] [CrossRef]
- Gao, J.; Qu, H.; Zhang, C.; Li, W.; Wang, P.; Zhou, Z. Direct chiral separations of the enantiomers of phenylpyrazole pesticides and the metabolites by HPLC. Chirality 2017, 29, 19–25. [Google Scholar] [CrossRef] [Green Version]
- Zhang, L.; Miao, Y.; Lin, C. Enantiomeric separation of six chiral pesticides that contain chiral sulfur/phosphorus atoms by supercritical fluid chromatography. J. Sep. Sci. 2018, 41, 1460–1470. [Google Scholar] [CrossRef]
- Nillos, M.G.; Lin, K.; Gan, J.; Bondarenko, S.; Schlenk, D. Enantioselectivity in fipronil aquatic toxicity and degradation. Environ. Toxicol. Chem. 2009, 28, 1825–1833. [Google Scholar] [CrossRef]
- Ulrich, E.M.; TenBrook, P.L.; McMillan, L.M.; Wang, Q.; Lao, W. Enantiomer-specific measurements of current-use pesticides in aquatic systems. Environ. Toxicol. Chem. 2018, 37, 99–106. [Google Scholar] [CrossRef]
- Qu, H.; Ma, R.; Liu, D.; Gao, J.; Wang, F.; Zhou, Z.; Wang, P. Environmental behavior of the chiral insecticide fipronil: Enantioselective toxicity, distribution and transformation in aquatic ecosystem. Water Res. 2016, 105, 138–146. [Google Scholar] [CrossRef]
- Tan, H.; Cao, Y.; Tang, T.; Qian, K.; Chen, W.L.; Li, J. Biodegradation and chiral stability of fipronil in aerobic and flooded paddy soils. Sci. Total Environ. 2008, 407, 428–437. [Google Scholar] [CrossRef] [PubMed]
- Liu, D.; Wang, P.; Zhu, W.; Gu, X.; Zhou, W.; Zhou, Z. Enantioselective degradation of fipronil in Chinese cabbage (Brassica pekinensis). Food Chem. 2008, 110, 399–405. [Google Scholar] [CrossRef] [PubMed]
- Chen, H.; Gao, G.; Yin, P.; Dai, J.; Chai, Y.; Liu, X.; Lu, C. Enantioselectivity and residue analysis of fipronil in tea (Camellia sinensis) by ultra-performance liquid chromatography Orbitrap mass spectrometry. Food Addit. Contam. Part A 2018, 35, 2000–2010. [Google Scholar] [CrossRef]
- Tian, M.; Zhang, Q.; Shi, H.; Gao, B.; Hua, X.; Wang, M. Simultaneous determination of chiral pesticide flufiprole enantiomers in vegetables, fruits, and soil by high-performance liquid chromatography. Anal. Bioanal. Chem. 2015, 407, 3499–3507. [Google Scholar] [CrossRef] [PubMed]
- Li, J.; Zhang, Y.; Cheng, Y.; Yuan, S.; Liu, L.; Shao, H.; Li, H.; Li, N.; Zhao, P.; Guo, Y. Simultaneous enantioselective determination of phenylpyrazole insecticide flufiprole and its chiral metabolite in paddy field ecosystem by ultra-high performance liquid chromatography/tandem mass spectrometry. J. Pharm. Biomed. Anal. 2016, 121, 261–270. [Google Scholar] [CrossRef] [PubMed]
- Zhang, Q.; Shi, H.; Gao, B.; Tian, M.; Hua, X.; Wang, M. Enantioseparation and determination of the chiral phenylpyrazole insecticide ethiprole in agricultural and environmental samples and its enantioselective degradation in soil. Sci. Total Environ. 2016, 542, 845–853. [Google Scholar] [CrossRef] [PubMed]
- Zhang, Q.; Xiong, W.; Gao, B.; Cryder, Z.; Zhang, Z.; Tian, M.; Sanganyado, E.; Shi, H.; Wang, M. Enantioselectivity in degradation and ecological risk of the chiral pesticide ethiprole. Land Degrad. Dev. 2018, 29, 4242–4251. [Google Scholar] [CrossRef] [Green Version]
- Chen, Z.; Dong, F.; Xu, J.; Liu, X.; Cheng, Y.; Liu, N.; Tao, Y.; Zheng, Y. Stereoselective Determination of a Novel Chiral Insecticide, Sulfoxaflor, in Brown Rice, Cucumber and Apple by Normal-Phase High-Performance Liquid Chromatography. Chirality 2014, 26, 114–120. [Google Scholar] [CrossRef]
- Liu, H.; Jiang, M.M.; Li, Q. Determination of neonicotinoid sulfoxaflor residues and stereoselective degradation in Pu-erh tea and Black tea by liquid chromatography–high-resolution mass spectrometry. J. Food Process. Preserv. 2020, 44, e14589. [Google Scholar] [CrossRef]
- Liu, H.; Jiang, M.M.; Li, Q. Nonstereoselective dissipation of sulfoxaflor in different Puer tea processing. Food Sci. Nutr. 2020, 8, 4929–4935. [Google Scholar] [CrossRef]
- Chen, Z.; Dong, F.; Xu, J.; Liu, X.; Cheng, Y.; Liu, N.; Tao, Y.; Pan, X.; Zheng, Y. Stereoselective separation and pharmacokinetic dissipation of the chiral neonicotinoid sulfoxaflor in soil by ultraperformance convergence chromatography/tandem mass spectrometry. Anal. Bioanal. Chem. 2014, 406, 6677–6690. [Google Scholar] [CrossRef] [PubMed]
- Chen, Z.; Dong, F.; Pan, X.; Xu, J.; Liu, X.; Wu, X.; Zheng, Y. Influence of Uptake Pathways on the Stereoselective Dissipation of Chiral Neonicotinoid Sulfoxaflor in Greenhouse Vegetables. J. Agric. Food Chem. 2016, 64, 2655–2660. [Google Scholar] [CrossRef] [PubMed]
- Jiménez-Jiménez, S.; Amariei, G.; Boltes, K.; García, M.Á.; Marina, M.L. Stereoselective separation of sulfoxaflor by electrokinetic chromatography and applications to stability and ecotoxicological studies. J. Chromatogr. A 2021, 1654, 462450. [Google Scholar] [CrossRef] [PubMed]
- Arenas, M.; Martín, J.; Santos, J.L.; Aparicio, I.; Alonso, E. An overview of analytical methods for enantiomeric determination of chiral pollutants in environmental samples and biota. TrAC Trends Anal. Chem. 2021, 143, 116370. [Google Scholar] [CrossRef]
- Carrão, D.B.; Perovani, I.S.; de Albuquerque, N.C.P.; de Oliveira, A.R.M. Enantioseparation of pesticides: A critical review. TrAC Trends Anal. Chem. 2020, 122, 115719. [Google Scholar] [CrossRef]
- Molaabasi, F.; Talebpour, Z. Enantiomeric discrimination and quantification of the chiral organophosphorus pesticide fenamiphos in aqueous samples by a novel and selective 31P nuclear magnetic resonance spectroscopic method using cyclodextrins as chiral selector. J. Agric. Food Chem. 2011, 59, 803–808. [Google Scholar] [CrossRef]
- Iarocz, L.E.B.; Silva, M.S. Nuclear magnetic resonance chiral discrimination of fipronil and malathion agrochemicals: A case study. Chirality 2021, 33, 528–534. [Google Scholar] [CrossRef]
- Pérez-Fernández, V.; García, M.Á.; Marina, M.L. Chiral separation of agricultural fungicides. J. Chromatogr. A 2011, 1218, 6561–6582. [Google Scholar] [CrossRef]
- Schurig, V. Separation of enantiomers by gas chromatography. J. Chromatogr. A 2001, 906, 275–299. [Google Scholar] [CrossRef]
- Xie, S.M.; Chen, X.X.; Zhang, J.H.; Yuan, L.M. Gas chromatographic separation of enantiomers on novel chiral stationary phases. TrAC Trends Anal. Chem. 2020, 124, 115808. [Google Scholar] [CrossRef]
- Nillos, M.G.; Gan, J.; Schlenk, D. Chirality of organophosphorus pesticides: Analysis and toxicity. J. Chromatogr. B Anal. Technol. Biomed. Life Sci. 2010, 878, 1277–1284. [Google Scholar] [CrossRef] [PubMed]
- Hellinghausen, G.; Armstrong, D.W. Cyclofructans as Chiral Selectors: An Overview. Methods Mol. Biol. (Clifton, N.J.) 2019, 1985, 183–200. [Google Scholar] [CrossRef]
- Altomare, C.; Carotti, A.; Cellamare, S.; Fanelli, F.; Gasparrini, F.; Villani, C.; Carrupt, P.-A.; Testa, B. Enantiomeric resolution of sulfoxides on a DACH-DNB chiral stationary phase: A quantitative structure–enantioselective retention relationship (QSERR) study. Chirality 1993, 5, 527–537. [Google Scholar] [CrossRef]
- Gegenava, M.; Chankvetadze, L.; Farkas, T.; Chankvetadze, B. Enantioseparation of selected chiral sulfoxides in high-performance liquid chromatography with polysaccharide-based chiral selectors in polar organic mobile phases with emphasis on enantiomer elution order. J. Sep. Sci. 2014, 37, 1083–1088. [Google Scholar] [CrossRef]
- Deng, H.; Ji, Y.; Tang, S.; Yang, F.; Tang, G.; Shi, H.; Lee, H.K. Application of Chiral and Achiral Supercritical Fluid Chromatography in Pesticide Analysis: A Review. J. Chromatogr. A 2020, 1634, 461684. [Google Scholar] [CrossRef]
- Lemasson, E.; Bertin, S.; West, C. Use and practice of achiral and chiral supercritical fluid chromatography in pharmaceutical analysis and purification. J. Sep. Sci. 2016, 39, 212–233. [Google Scholar] [CrossRef]
- Harps, L.C.; Joseph, J.F.; Parr, M.K. SFC for chiral separations in bioanalysis. J. Pharm. Biomed. Anal. 2019, 162, 47–59. [Google Scholar] [CrossRef]
- Bernardo-Bermejo, S.; Sánchez-López, E.; Castro-Puyana, M.; Marina, M.L. Chiral capillary electrophoresis. TrAC Trends Anal. Chem. 2020, 124, 115807. [Google Scholar] [CrossRef]
- Ali, I.; Gupta, V.K.; Aboul-Enein, H.Y. Chiral resolution of racemic environmental pollutants by capillary electrophoresis. Crit. Rev. Anal. Chem. 2008, 38, 132–146. [Google Scholar] [CrossRef]
- Jiang, C.; Tong, M.Y.; Breitbach, Z.S.; Armstrong, D.W. Synthesis and examination of sulfated cyclofructans as a novel class of chiral selectors for CE. Electrophoresis 2009, 30, 3897–3909. [Google Scholar] [CrossRef]
- Declerck, S.; Vander Heyden, Y.; Mangelings, D. Enantioseparations of pharmaceuticals with capillary electrochromatography: A review. J. Pharm. Biomed. Anal. 2016, 130, 81–99. [Google Scholar] [CrossRef] [PubMed]
- Simó, C.; García-Cañas, V.; Cifuentes, A. Chiral CE-MS. Electrophoresis 2010, 31, 1442–1456. [Google Scholar] [CrossRef] [PubMed] [Green Version]
- Li, L.; Zhou, S.; Jin, L.; Zhang, C.; Liu, W. Enantiomeric separation of organophosphorus pesticides by high-performance liquid chromatography, gas chromatography and capillary electrophoresis and their applications to environmental fate and toxicity assays. J. Chromatogr. B Anal. Technol. Biomed. Life Sci. 2010, 878, 1264–1276. [Google Scholar] [CrossRef] [PubMed]
- Jiménez-Jiménez, S.; Casado, N.; García, M.Á.; Marina, M.L. Enantiomeric analysis of pyrethroids and organophosphorus insecticides. J. Chromatogr. A 2019, 1605, 360345. [Google Scholar] [CrossRef] [PubMed]
- Gadepalli, R.S.V.S.; Rimoldi, J.M.; Fronczek, F.R.; Nillos, M.; Gan, J.; Deng, X.; Rodriguez-Fuentes, G.; Schlenk, D. Synthesis of fenthion sulfoxide and fenoxon sulfoxide enantiomers: Effect of sulfur chirality on acetylcholinesterase activity. Chem. Res. Toxicol. 2007, 20, 257–262. [Google Scholar] [CrossRef] [PubMed]
Publisher’s Note: MDPI stays neutral with regard to jurisdictional claims in published maps and institutional affiliations. |
© 2022 by the authors. Licensee MDPI, Basel, Switzerland. This article is an open access article distributed under the terms and conditions of the Creative Commons Attribution (CC BY) license (https://creativecommons.org/licenses/by/4.0/).





