Abstract
The recycling of rare metals such as platinum (Pt) from secondary resources, such as waste electronic and electrical equipment and automotive catalysts, is an urgent global issue. In this study, simple secondary amides and urea, N-(2-ethylhexyl)acetamide, N-(2-ethylhexyl)octanamide, and 1-butyl-3-(2-ethylhexyl)urea, which selectively extract Pt(IV) from a simulated effluent containing numerous metal ions, such as in an actual hydrometallurgical process, were synthesized and achieved efficient Pt(IV) stripping using only water. Comparison of Pt(IV) extraction behavior with a tertiary amide without N–H moieties suggests that the secondary amides and urea extractants effectively use hydrogen bonding to the hexachloroplatinate anion by N–H moieties. Examining the conditions for the third phase formation revealed that the secondary amide extractant with the longest alkyl chain can be used in the extraction process for a long time without forming any third phase, despite its lower Pt(IV) extraction capacity. The practical trial with simple compounds developed in this study should contribute to the development of Pt separation and purification processes.
1. Introduction
Platinum group metals (PGMs), namely, Pd, Pt, Rh, Ir, Ru, and Os, are in constant demand due to their excellent physical and chemical properties [1,2,3]. Notably, Pt has been widely used in jewelry goods, electronic devices, fuel cells, automobile exhaust catalysts, and various industrial fields [1,2,4]. However, there are future concerns about a decrease in demand in the exhaust catalyst field due to the shift from gasoline and diesel vehicles to electric vehicles. Moreover, the availability of Pt is limited to certain locations in Russia and South Africa [3,5]. Further, the amount of Fe and Au ore mined in 2019 were 48,000 and 200 tons, respectively, whereas Pt ore mined was only 3.6 tons [6]. Therefore, the recovery of PGMs including Pt from secondary resources, such as waste electrical and electronic equipment and spent catalysts, is an urgent issue. The refining of PGMs from aqueous acidic chloride media is commonly achieved by hydrometallurgical processes using the solvent extraction method for their separation and has been studied by several researchers [7,8,9]. The solvent extraction method has various advantages in industrial applications such as high capacity, high selectivity, room temperature operation, and relatively easy scale-up. Although the extraction of Pt by industrial extractants has been studied, more efficient extractants are required to stabilize the Pt supply and price.
Recently, the development of extractants for the selective extraction of Pt has been studied by various researchers [7,8]. Costa et al. studied the extraction of Pt(IV) using a series of N,N′-dimethyl-N,N′-dialkylmalonamides, and reported that N,N′-dimethyl-N,N′-dibutylmalonamide was reported to extract the hexachloroplatinate anion ([PtCl6]2−) by means of two protonated carbonyl oxygen atoms [10,11,12]. Narita et al. reported that the extraction performance of the [PtCl6]2− using a tertiary amide-containing tertiary amine, i.e., N-2-ethylhexyl-bis(N-di-2-ethylhexyl-ethylamide)amine, as the extractant, was higher than that with commercially available tri-n-octylamine (TOA) [13]. Further, Tasker and coworkers have extensively investigated the extraction of anionic chloro-species, discovering a notable selectivity of a series of tripodal amide-containing tertiary amines for extracting [PtCl6]2− over a large excess of chloride anion (Cl−) [14,15,16,17,18]. These extractants all share the idea that not only relatively strong interactions in the inner-sphere but also the relatively weak interactions of the outer-sphere have been taken into account. Here, relatively weak interactions refer to hydrogen bonding (4–60 kJ/mol) as opposed to relatively strong interactions such as coulombic interactions between ions (5–300 kJ/mol) and coordination bonds between a metal ion and a ligand (40–120 kJ/mol) [19,20]. Low selectivity and suppression of back-extraction can result from an extremely strong affinity for metal ions [5,7,8,9]. Further, the development of a more convenient extractant is essential from a practical perspective.
In this study, we present conveniently prepared secondary amide and urea extractants for Pt(IV) separation from the simulated secondary resources (SSRs) containing numerous metal ions, as in the actual hydrometallurgical process. The secondary amide and urea extractants are synthesized from the reaction of a primary amine (2-ethylhexylamine) with acyl halide (acetyl chloride or n-octanoyl chloride) or an isocyanate (butyl isocyanate), both of which are inexpensive starting materials [17,18,21,22,23,24,25,26]. The advantages of the secondary amide and urea functional groups are that they provide an N–H donor for hydrogen bond formation with the [PtCl6]2− anion and are stable under acidic solutions, which are the requirements adopted in hydrometallurgical separation processes [14,16,17,18,27,28,29,30,31]. Secondary amide and urea compounds form continuous intermolecular hydrogen bonds, which are expected to be an effective driving force for extracting [PtCl6]2− anion in an apolar solvent [14,15,17,18]. The extraction of Ga(III) from the HCl solution by N-(2-ethylhexyl)acetamide has been investigated and the formation of hydrogen bonds to [GaCl4]− and H2O has been reported [32]. Further, amide and urea compounds are completely incinerable at the end of the hydrometallurgical process due to their elemental composition (C, H, N, O) [32,33]. In this study, simple amide and urea compounds were developed for the selective extraction of Pt(IV). To verify the N–H moiety effect, a tertiary amide extractant without the N–H moiety was also synthesized for comparison. Figure 1 represents the chemical structures and abbreviations of these four extractants. First, the effect of HCl concentration on the extraction performance of precious and base metals was investigated to preliminarily determine the extraction characteristics of these extractants synthesized in this study at lower metal ion concentrations. Then, to investigate the applicability of these extractants to the actual hydrometallurgical separation process, the extraction rate, Pt(IV) separation ability, the conditions for the third phase formation, and Pt(IV) stripping were examined.
Figure 1.
Representation of the chemical structures and abbreviations of the extractants.
2. Materials and Methods
2.1. Materials
TOA (Tokyo Chemical Industry Co., Ltd. (TCI), Tokyo, Japan; purity, >97.0%), tri-n-butyl phosphate (TBP, FUJIFILM Wako Pure Chemical Corporation (Wako), Osaka, Japan; purity, >98.0%), dibutyl carbitol (DBC, Sigma-Aldrich Japan, Tokyo, Japan; purity, >99%), methyl isobutyl ketone (MIBK, TCI; purity, >99.5%), n-dodecane (Wako; purity, >99.0%), 2-ethylhexanol (Wako; purity, >98.0%), chloroform (Wako; purity, >99.0%), 2-ethylhexylamine (Sigma-Aldrich Japan, Tokyo, Japan; purity, >98%), di(2-ethylhexyl)amine (Sigma-Aldrich Japan, Tokyo, Japan; purity, >99%), acetyl chloride (Wako; purity, >98.0%), n-octanoyl chloride (TCI; purity, >99.0%), butyl isocyanate (TCI; purity, >98.0%), HAuCl4·4H2O (Wako; purity, >99.9%), H2PtCl6·6H2O (Wako; purity, >98.5%), IrCl3 (Wako; purity, >97.0%), RhCl3·3H2O (Wako; purity, >99.5%), FeCl3·6H2O (Wako; purity, >99.0%), CuCl2·2H2O (Wako; purity, >99.9%) NiCl2·6H2O (Wako; purity, 99.9%), CoCl2·6H2O (Wako; purity, >99.5%), ZnCl2 (Wako; purity, >98.0%), and PbCl2 (Wako; purity, 99.0%) were purchased and used without further purification.
2.2. Synthesis of N-(2-Ethylhexyl)acetamide (MonoAA)
MonoAA was synthesized by modifying the procedure of Simon et al. [21,22,23,24,25]. Acetyl chloride (25.6 g, 0.33 mol) was mixed with chloroform (CHCl3, 50 mL) in an ice–water bath, and the solution was carefully added to a solution of 2-ethylhexylamine (40.0 g, 0.31 mol) and triethylamine (Et3N, 62.6 g, 0.62 mol) in CHCl3 (150 mL) using a dropping funnel. The reacting solution was stirred (150 rpm) for 12 h at 40 °C and the reaction was monitored using thin-layer chromatography (TLC); the resulting solution was transferred to a separation funnel. The chloroform layer was washed three times with saturated sodium hydrogen carbonate (NaHCO3) aqueous solution (50 mL) followed by another three-time wash with distilled water (50 mL). The resulting organic solution was separated and dried over anhydrous magnesium sulfate (MgSO4). The product was obtained as a yellow oil (51.1 g, 96.3% yield) after filtration and evaporation of the solvent under reduced pressure. The compound was characterized using proton nuclear magnetic resonance (1H NMR) (JNM-GX300, JEOL Ltd., Tokyo, Japan) and IR (IRAffinity-1, Shimadzu Co., Kyoto, Japan) spectroscopies: TLC (SiO2; chloroform/methanol = 9:1): Rf = 0.69; 1H NMR (400 MHz, CDCl3, TMS): δ 0.90 (6H, m, –CH(CH2)3–CH3 and –CHCH2–CH3), δ 1.28–1.43 (9H, m, –CH(CH2)3–CH3 and –CHCH2–CH3), δ 2.00 (3H, s, –NH–CO–CH3), δ 3.19 (2H, t, –NH–CH2–CH–), and δ 5.60 (1H, br, –NH–CO–CH3); IR (attenuated total reflectance (ATR), SeZn, cm−1) 1558 (δN–H), 1647 (νC=O), 2927 (ν–CH2–), 2958 (ν–CH3), 3088 (νN–H), and 3290 (νN–H). The corresponding 1H NMR and IR spectra are depicted in Figures S1 and S2 in the Supplemental Material.
2.3. Synthesis of N-(2-Ethylhexyl)octanamide (MonoOA)
MonoOA was synthesized by modifying the procedure of Simon et al. [21,22,23,24,25]. Octanoyl chloride (52.9 g, 0.33 mol) was mixed with chloroform (CHCl3, 50 mL) in an ice–water bath, and the solution was carefully added to a solution of 2-ethylhexylamine (40.0 g, 0.31 mol) and Et3N (62.6 g, 0.62 mol) in CHCl3 (150 mL) using a dropping funnel. The reacting solution was stirred (150 rpm) and heated to reflux for 12 h and the reaction was monitored using TLC. The resulting solution was purified in the same manner as described above. The product was obtained as a yellow oil (73.2 g, 92.5% yield) after filtration and evaporation. The compound was characterized using 1H NMR and IR spectroscopies: TLC (SiO2; chloroform/methanol = 9:1): Rf = 0.61; 1H NMR (400 MHz, CDCl3, TMS): δ 0.89 (9H, m, –CH(CH2)3–CH3, –CHCH2–CH3 and –(CH2)6–CH3), δ 1.28–1.42 (17H, m, –CH(CH2)3–CH3, –CHCH2–CH3 and –(CH2)2(CH2)4–CH3), δ 1.62 (2H, m, –NH–CO–(CH2)(CH2)–), δ 2.17 (2H, t, –NH–CO–(CH2)(CH2)–), δ 3.20 (2H, t, –NH–CH2–CH–), and δ 5.49 (1H, br, –NH–CO–CH2–); IR (ATR, SeZn, cm−1) 1556 (δN–H), 1641 (νC=O), 2926 (ν–CH2–), 2956 (ν–CH3), 3084 (νN–H), and 3290 (νN–H). The corresponding 1H NMR and IR spectra are depicted in Figures S3 and S4 in the Supplemental Material.
2.4. Synthesis of N,N-Bis(2-ethylhexyl)acetamide (BisAA)
BisAA was synthesized by modifying the procedure of Simon et al. [21,22,23,24,25]. Acetyl chloride (48.8 g, 0.62 mol) was mixed with chloroform (CHCl3, 50 mL) in an ice–water bath, and the solution was carefully added to a solution of di(2-ethylhexyl)amine (50.0 g, 0.21 mol) and Et3N (126 g, 1.24 mol) in CHCl3 (150 mL) using a dropping funnel. The reacting solution was stirred (150 rpm) and heated to reflux for 12 h and the reaction was monitored using TLC. The resulting solution was purified in the same manner as described above. The product was obtained as a yellow oil (50.7 g, 86.4% yield) after filtration and evaporation. The compound was characterized using 1H NMR and IR spectroscopies: TLC (SiO2; chloroform/methanol = 9:1): Rf = 0.54; 1H NMR (400 MHz, CDCl3, TMS): δ 0.84–0.92 (12H, m, –CH(CH2)3–CH3 and –CHCH2–CH3), δ 1.26 (16H, m, –CH(CH2)3–CH3 and –CHCH2–CH3), δ 2.09 (3H, s, –NH–CO–CH3), δ 3.13 (2H, t, –NH–CH2–CH–), and δ 3.27 (2H, m, –CH(CH2)3–CH3); IR (ATR, SeZn, cm−1) 1647 (νC=O), 2927 (ν–CH2–), and 2959 (ν–CH3). The corresponding 1H NMR and IR spectra are depicted in Figures S5 and S6 in the Supplemental Material.
2.5. Synthesis of 1-Butyl-3-(2-ethylhexyl)urea (MonoBU)
MonoBU was synthesized according to a published procedure [17,18,21,26] with several minor modifications [34]. The compound was characterized using 1H NMR and IR spectroscopies: TLC (SiO2; chloroform/methanol = 9:1): Rf = 0.64; 1H NMR (400 MHz, CDCl3, TMS): δ 0.90 (9H, m, –CH2–CH3), δ 1.27 (10H, m, –CH(CH2)(CH2)3–CH3 and –(CH2)2–CH3), δ 1.46 (3H, q, –CH(CH2)–CH3), δ 3.08 (2H, t, –NH–CH2–CH–), δ 3.16 (2H, q, –NH–CH2–(CH2)2–CH3), δ 4.91 (1H, br, –NH–CH2–CH–), and δ 4.97 (1H, br, –NH–CH2–(CH2)2–CH3); IR (ATR, SeZn, cm−1) 1570 (δN–H), 1629 (νC=O), 2927 (ν–CH2–), 2958 (ν–CH3), and 3344 (νN–H).
2.6. Metal Ion Extraction Procedure
The extraction experiments were performed using the batch method. All experiments for extracting metal ions were conducted in a metal ion coexistent system. For the aqueous phase with lower metal ion concentration, metal ion solutions were prepared by dissolving each metal chloride salt (HAuCl4·6H2O, H2PtCl6·6H2O, PdCl2, RhCl3·3H2O, IrCl3, FeCl3·6H2O, CuCl2·2H2O, NiCl2·6H2O, CoCl2·6H2O, ZnCl2, PbCl2) in varying HCl concentrations to obtain a concentration of 0.1 × 10−3 M. For SSRs, the aqueous phase of 2.0 M HCl solution containing 0.274 M (53.4 g/L) Pt(IV), 8.24 × 10−3 M (1.58 g/L) Ir(III), 0.115 M (11.8 g/L) Rh(III), and 0.268 M (17.0 g/L) Cu(II) was prepared by adding H2PtCl6·6H2O (14.2 g), IrCl3 (0.246 g), RhCl3·3H2O (3.03 g), CuCl2·2H2O (4.57 g), and concentrated HCl (17.9 mL) to a 100 mL volumetric flask and diluting with distilled water. The organic phase was prepared by dissolving the extractant in chloroform or a mixed solvent consisting of n-dodecane and 2-ethylhexanol to achieve a concentration of 0.1 M. Note that chloroform should not be used for practical processes due to its harmful property. However, chloroform was partly employed as a diluent for preliminary validation of extraction behavior by comparing with previous results. Equal volumes of both phases were shaken horizontally at 30 °C and 150 rpm for 3 h. A temperature-controlled water bath was used to maintain the temperature during phase equilibration. After phase separation, the metal concentration in the aqueous phase was measured using inductively coupled plasma-atomic emission spectrometry (ICP-AES) (ICPS-8100, Shimadzu Co., Kyoto, Japan). Notably, the presence or absence of the third phase was visually confirmed. Further, 5.0 M HCl, 5.0 M nitric acid (HNO3), water, 0.1 M ammonia (NH3), or 0.1 M sodium hydroxide (NaOH) aqueous solutions were used to strip the extracted Pt(IV) from the organic phase. The extraction and stripping percentages (%Extraction and %Stripping) of the metal ions were calculated using the following equations:
where the subscripts i, e, and s denote the initial, equilibrium, stripping conditions, respectively. Notably, when the third phase is formed, %Extraction refers to the percentage of metal ions removed from the aqueous phase, rather than the percentage of metal ions in the organic phase. Measurements of %Extraction and %Stripping were repeated three times, with standard errors of less than 5%.
%Extraction = {([Metal ion]i − [Metal ion]e)/[Metal ion]i} × 100
%Stripping = {[Metal ion]s/([Metal ion]i − [Metal ion]e) × 100
3. Results and Discussion
3.1. Extraction from Lower Metal Concentration
Effect of HCl Concentration
The extraction behavior of the four extractants synthesized in this study for precious and base metals was investigated under lower metal concentration conditions. Figure 2 shows the effect of HCl concentration on the extraction percentage of metal ions by MonoAA, MonoOA, MonoBU, and BisAA. For comparison, the extraction results of PGM and base metal ions by MonoBU reported very recently are also shown in Figure 2c [34].
Figure 2.
Effect of HCl concentration on the extraction percentage of metal ions by (a) MonoAA, (b) MonoOA, (c) MonoBU, and (d) BisAA. [Extractant]org,i = 1.0 M in chloroform, [Pt(IV), Pd(II), Rh(III), Ir(III), Fe(III), Cu(II), Ni(II), Co(II), Zn(II), Pb(II)]aq,i = 0.1 × 10−3 M each, [HCl]aq,i = 0.01–10 M.
Au(III) was extracted almost quantitatively in all HCl concentrations by all extractants. In general, Au(III) is easily extracted by ketone and ether extractants in the hydrometallurgical separation process [7,35]. Therefore, we believe that these extractants, which are secondary amides, urea, and tertiary amides with carbonyl oxygen atoms, can easily extract Au(III).
At HCl concentration of 0.01–1.0 M, the order of extraction ability of Pt(IV) was MonoAA >> MonoOA > MonoBU >> BisAA, whereas the order at HCl concentrations of 1.0–10 M was MonoAA > MonoOA ≈ MonoBU > BisAA. Interestingly, in the lower HCl concentration, Pt(IV) was hardly extracted by BisAA. However, Pt(IV) was extracted by MonoAA, MonoOA, and MonoBU in the lower HCl concentration, and the extraction behavior of Pt(IV) by MonoOA, MonoBU, and BisAA changes around 1.0 M HCl concentration. Further, there is no significant difference in the acidic conditions in which the carbonyl oxygen atoms of secondary amide, urea, and tertiary amide groups are protonated [36,37]. These carbonyl oxygen atoms are protonated at HCl concentrations above about 2.0 M [15,38,39]. In other words, in the extraction of Pt(IV) at low HCl concentration, these extractants are considered incapable of anion exchange reactions via coulombic interactions associated with the protonation of carbonyl oxygen atoms. Taken together, Pt(IV) is extracted only via hydrogen bonding interaction to [PtCl6]2− by N–H moieties of secondary amide and urea groups in the extraction of Pt(IV) from low HCl concentration by MonoAA, MonoOA, and MonoBU. Whereas, Pt(IV) is considered to be extracted by anion exchange reaction via coulombic interaction with protonation of carbonyl oxygen atoms in the extraction of Pt(IV) from high HCl concentration.
For Pd(II) extraction by MonoAA, Pd(II) was almost quantitatively extracted in all HCl concentrations, whereas the Pd(II) extraction behavior by MonoOA, MonoBU, and BisAA exhibited a similar trend with minor differences in extraction ability. Concretely, the extraction percentage decreased with increasing HCl concentration at 0.01–1.0 M, and it increased with increasing HCl concentration at higher regions. Given that Pd(II) is a relatively ligand-exchangeable ion among the PGMs, the extraction behavior at low HCl concentration is probably due to chloride ions suppressing the typical ligand exchange reaction [5,7]. Additionally, at high HCl concentrations, the extraction percentage increased with increasing HCl concentration because of the anion exchange reaction via coulombic interaction associated with the protonation of the extractant [5,7]. Further, Rh(III) and Ir(III) were hardly extracted in any extraction system, except that the extraction percentages of Rh(III) and Ir(III) by MonoBU were 16% and 31%, respectively, at HCl concentrations of 3.0–5.0 M.
For base metals, Fe(III), Cu(II), Co(II), and Zn(II) were hardly extracted at HCl concentration of 0.01–1.0 M, whereas at HCl concentration of 1.0–10 M, the extraction percentage increased with increasing HCl concentration. This phenomenon is due not only to the protonation of the extractant but also to the presence of these metal ions as anionic species such as [FeCl4]−, [CuCl4]2−, [CoCl4]2−, and [ZnCl4]2− at high HCl concentrations [16,40,41]. Additionally, it is considered that Ni(II) and Pb(II) were hardly extracted because they do not form anionic species with chloride ions [42,43].
3.2. Extraction from SSRs
3.2.1. Effect of Shaking Time
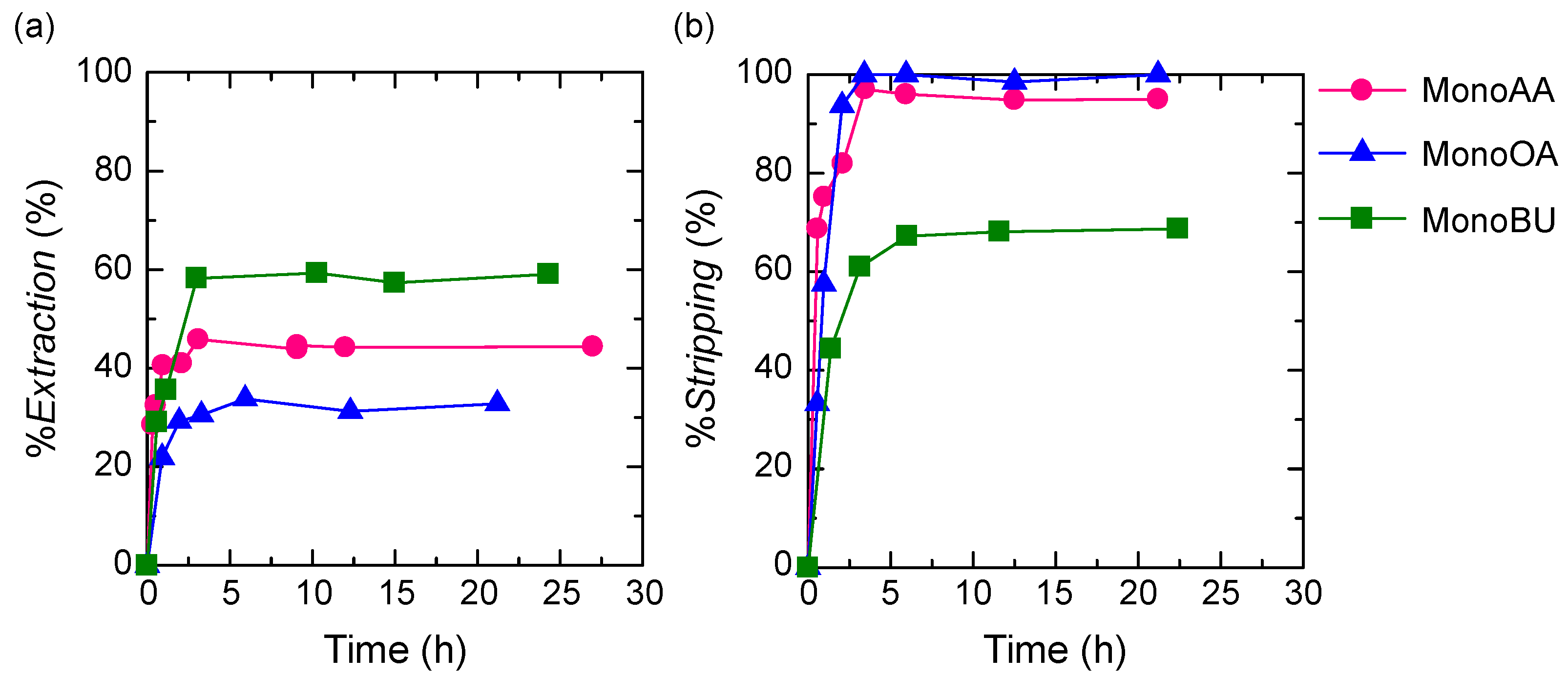
In this section, we investigated the selective extraction of Pt(IV) from SSRs containing high concentrations of metal ions. Figure 3 shows the effect of shaking time on the extraction and stripping percentages of Pt(IV) by MonoAA, MonoOA, and MonoBU. For Pt(IV) extraction, the %Extraction of Pt(IV) reached the equilibrium in about 3 h for all extractants and remained constant for more than 20 h. For stripping, the %Stripping of Pt(IV) reached the equilibrium in 3–6 h for all extractants. These results suggest that the extractants synthesized in this study are capable of extracting and stripping Pt(IV) relatively quickly. Based on this result, the shaking time of subsequent extraction and stripping experiments was set to 3 h.
Figure 3.
Effect of shaking time on the (a) extraction and (b) stripping percentages of Pt(IV) by MonoAA, MonoOA, and MonoBU. [Extractant]org,i = 1.0 M in n-dodecane/2-ethylhexanol (80 vol%/20 vol%), [Pt(IV)]aq,i = 0.243 M, [Ir(III)]aq,i = 4.92 × 10−3 M, [Rh(III)]aq,i = 0.117 M, [Cu(II)]aq,i = 0.291 M, [HCl]aq,i = 2.0 M.
3.2.2. Pt(IV) Separation from SSRs
The extraction and separation ability of Pt(IV) from SSRs by the four extractants synthesized in this study was investigated. Briefly, 2.0 M HCl solutions containing approximately 0.274 M (53.4 g/L), 8.24 × 10−3 M (1.58 g/L), 0.115 M (11.8 g/L), and 0.268 M (17.0 g/L) of Pt(IV), Ir(III), Rh(III), and Cu(II) were employed as SSRs. For comparison, TOA, TBP, DBC, and MIBK were used as conventional commercial extractants. Figure 4 shows the extraction percentage of Pt(IV), Ir(III), Rh(III), and Cu(II) from the SSRs by these eight extractants.
Figure 4.
Extraction percentage of Pt(IV), Ir(III), Rh(III), and Cu(II) from SSRs by (a) MonoAA, (b) MonoOA, (c) MonoBU, (d) BisAA, (e) TOA, (f) TBP, (g) DBC, (h) MIBK. [Extractant]org,i = 1.0 M in n-dodecane/2-ethylhexanol (80 vol%/20 vol%), [Pt(IV)]aq,i = 0.270 M, [Ir(III)]aq,i = 9.40 × 10−3 M, [Rh(III)]aq,i = 0.109 M, [Cu(II)]aq,i = 0.248 M, [HCl]aq,i = 2.0 M.
In terms of the extraction ability of Pt(IV), the following order was observed: TOA > MonoBU ≈ MonoAA > MonoOA > TBP, DBC, MIBK, BisAA. This difference in extraction ability is thought to be due to differences in the extraction mechanism. TOA, a tertiary amine, is readily protonated under acidic conditions and extracts Pt(IV) through an anion exchange reaction with [PtCl6]2− via coulombic interaction [5,7,8,9]. Meanwhile, the carbonyl oxygen atoms of secondary amide and urea groups are protonated only under relatively high acidic conditions [15,36,37,38,39]. Additionally, the results of Figure 2 and previous studies [32] suggest that the Pt(IV) extraction using MonoAA, MonoOA, and MonoBU also involves hydrogen bonding, which is a relatively weak interaction. Thus, MonoAA, MonoOA, and MonoBU were considered to have lower extraction ability of Pt(IV) than TOA. BisAA, TBP, DBC, and MIBK hardly extracted Pt(IV) from the SSRs, and this result agrees with Figure 2 and previous reports [5,7,8,9,35,44].
For Pt(IV) selectivity, MonoAA, MonoOA, and MonoBU revealed higher selectivity than other extractants. Transition metal ions including PGMs form anionic chloro-species due to strong interactions with Cl− [5,7]. However, Cu(II) forms anion complexes such as [CuCl4]2− only under extreme conditions, such as chloride ion concentrations of 6.0 M or higher [40,42]. Accordingly, Pt(IV), Ir(III), Rh(III), and Cu(II) exist as [PtCl6]2−, [IrCl5(H2O)]2−, [IrCl6]3−, [RhCl5(H2O)]2−, [RhCl6]3−, and Cu2+, respectively, in 2.0 M Cl− solution [5,7,40,42]. Moreover, the tendency of the chloro-anionic species to form ion pairs with cationic ligands is [MCl6]2− >> [MCl6]3− > [MCl5(H2O)]2−, where M denotes the respective metal ions [5,7]. This order is based on the charge density of the chloro-anionic species, i.e., lower negatively charged species will preferentially form ion pairs with a positively charged species compared with higher negatively charged species. Considering these factors, it is probable that the high Pt(IV) selectivity is due to the relatively weak extraction ability of MonoAA, MonoOA, and MonoBU, as well as the presence of Ir(III) and Rh(III) as more inert species. Therefore, the almost zero extraction percentage of Ir(III), Rh(III), and Cu(II) by MonoAA, MonoOA, and MonoBU is considered a significant advantage in the actual hydrometallurgical separation process.
3.2.3. Effect of Diluent Composition of the Organic Phase
For stable operation of the actual hydrometallurgical separation process, not only high extraction efficiency but also the absence of a third phase is required [45,46,47,48]. In this section, we investigated the effect of the mixing ratio of the diluents n-dodecane and 2-ethylhexanol on the extraction of Pt(IV). Figure 5 shows the extraction percentages of Pt(IV) using MonoAA, MonoOA, and MonoBU in various n-dodecane/2-ethylhexanol ratios. The addition of 2-ethylhexanol suppressed the formation of the third phase in all extraction systems. When the ratio of 2-ethylhexanol in the diluent was increased, the extraction percentage of Pt(IV) decreased from 55% to 32% for MonoAA. Further, the addition of more than 30 vol% 2-ethylhexanol suppressed the formation of the third phase. Regarding MonoOA, when more than 20 vol% of 2-ethylhexanol was added, the extraction percentage of Pt(IV) remained almost constant at about 25%, and no third phase was formed. In the case of MonoBU, more than 50 vol% 2-ethylhexanol was required to suppress the third phase formation. The addition of slightly polar higher alcohols such as 2-ethylhexanol, which increased the solubility of the extracted complex in the organic phase, may have suppressed the third phase formation [45,46,47,48].
Figure 5.
Effect of composition of the organic phase diluent on the extraction percentage of Pt(IV) by MonoAA, MonoOA, and MonoBU. [Extractant]org,i = 1.0 M in n-dodecane/2-ethylhexanol (100 vol%/0 vol%–40 vol%/60 vol%), [Pt(IV)]aq,i = 0.292 M, [Ir(III)]aq,i = 9.64 × 10−3 M, [Rh(III)]aq,i = 0.116 M, [Cu(II)]aq,i = 0.262 M, [HCl]aq,i = 2.0 M.
3.2.4. Effect of Phase Ratio of the Organic and Aqueous Phases
Figure 6 shows the effect of the phase ratio of organic to aqueous phases on the extraction of Pt(IV) by MonoAA, MonoOA, and MonoBU. In all extraction systems, the extraction percentage of Pt(IV) increased with the phase ratio of the organic phase. In the MonoAA and MonoBU systems, the third phase was formed in all volume ratios of the diluent, whereas in the MonoOA system, no third phase was formed. This is thought to be due to MonoOA’s longer alkyl chains than other extractants, which results in higher solubility MonoOA and Pt(IV) extracted complexes in the organic phase.
Figure 6.
Effect of phase ratio between organic and aqueous phases on the extraction percentage of Pt(IV) by MonoAA, MonoOA, and MonoBU. [Extractant]org,i = 1.0 M in n-dodecane/2-ethylhexanol (80 vol%/20 vol%), [Pt(IV)]aq,i = 0.281 M, [Ir(III)]aq,i = 9.64 × 10−3 M, [Rh(III)]aq,i = 0.116 M, [Cu(II)]aq,i = 0.262 M, [HCl]aq,i = 2.0 M, Vorg:Vaq = 2:8 − 8:2.
3.2.5. Effect of Pt(IV) Concentration
We studied the effects of initial Pt(IV) and extractant concentrations on Pt(IV) extraction to confirm the conditions for the third phase formation in the extraction of Pt(IV). Figure 7 shows a plot of the equilibrium Pt(IV) concentration in the organic phase against the initial Pt(IV) concentration in the aqueous phase. Here, n-dodecane/2-ethylhexanol (80 vol%/20 vol%) was used as a diluent.
Figure 7.
Effect of initial Pt(IV) and extractant concentrations on the third phase formation during Pt(IV) extraction by (a) MonoAA, (b) MonoOA, and (c) MonoBU. [Extractant]org,i = 0.01–1.0 M in n-dodecane/2-ethylhexanol (80 vol%/20 vol%), [Pt(IV)]aq,i = 0.001–0.274 M, [HCl]aq,i = 2.0 M.
A common observation across all extraction systems is that the Pt(IV) concentration in the organic phase increases with the initial Pt(IV) and the extractant concentrations. Figure 7a shows that the third phase was in the MonoAA system when the initial Pt(IV) and extractant concentrations were above 0.05 and 0.40 M, respectively. Further, no third phase was formed under any conditions in the MonoOA system (Figure 7b). This could be due to MonoOA’s long alkyl chains improving the solubility of the extracted complex in the diluent, which agrees well with the trend in Figure 6. Moreover, Figure 7c shows that the third phase was formed in the MonoBU system when the initial Pt(IV) and extractant concentrations were above 0.10 and 0.20 M, respectively. The order of Pt(IV) extraction capacity is MonoAA > MonoBU > MonoOA; however, MonoOA has the advantage of being less likely to form the third phase, which is vital for the stability of the separation process.
3.3. Stripping Test
3.3.1. Stripping of Pt(IV)
A stripping experiment from the Pt(IV) loaded organic phase was conducted. Table 1 lists the stripping percentage of Pt(IV) from the Pt(IV) loaded organic phase using MonoAA, MonoOA, and MonoBU. In this study, 5.0 M HCl and 5.0 M HNO3 were used as acidic stripping reagents, water as a neutral stripping reagent, and 0.1 M NH3 solution and 0.1 M NaOH solution as stripping reagents.
Table 1.
Stripping percentage of Pt(IV) from Pt(IV) loaded organic phase by MonoAA, MonoOA, and MonoBU. [Extractant]org,i = 1.0 M in n-dodecane/2-ethylhexanol (80 vol%/20 vol%), [Pt(IV)]aq,i = 0.256 M, [Ir(III)]aq,i = 9.54 × 10−3 M, [Rh(III)]aq,i = 0.112 M, [Cu(II)]aq,i = 0.270 M, [HCl]aq,i = 2.0 M. %Extraction of Ir(III), Rh(III), and Cu(II) were 0% in any extraction systems.
For water, the stripping percentages of MonoAA, MonoOA, and MonoBU systems were 59.3%, 74.8%, and 68.1%, respectively. The stripping of PGM ions requires a highly concentrated acidic or basic aqueous solution and a sulfur-containing reagent such as thiourea [35]. Although the stripping percentage is not quantitative, the fact that Pt(IV) can be stripped using only water is a major advantage of these extraction systems from the perspective of industrial use and reduced environmental impact. Although this is a hypothetical step that requires further investigation, the stripping of Pt(IV) by water alone could be due to the deprotonation of the extractants and Pt(IV) extraction via relatively weak interactions such as hydrogen bonding interactions. The Pt(IV) stripping percentage was observed in the following order: MonoOA > MonoBU > MonoAA, which was the reverse of the order of extraction ability in Figure 2 and Figure 4.
For the basic stripping reagents, 0.1 M NH3 and 0.1 M NaOH aqueous solutions, the stripping percentages of Pt(IV) in MonoAA, MonoOA, and MonoBU systems were about 60%, 70–79%, and 64–70%, respectively. There was no significant difference was observed between the NH3 and NaOH solutions.
Regarding the acidic stripping reagents, HNO3 was clearly more effective than HCl in stripping Pt(IV) in all extraction systems. The fact that 5.0 M HCl barely stripped Pt(IV) corresponds to the result in Figure 2 that Pt(IV) was well extracted from 5.0 M HCl in all extraction systems. In the case of HNO3 as a stripping reagent, Pt(IV) was possibly stripped due to the extraction of HNO3 molecules into the organic phase and the change in Pt(IV) speciation.
3.3.2. Effect of Settling Time of Organic Phase after Pt(IV) Loading
In the actual hydrometallurgical separation process, there are situations where the stripping process cannot be performed immediately after the forward extraction. Thus, it is necessary to verify whether stripping can be performed stably even if the organic phase containing metal ions has settled for a while after the forward extraction. Figure 8 shows the effect of settling time of the Pt(IV) loaded organic phase on the stripping percentage of Pt(IV) using MonoAA. Here, we only examined the MonoAA extraction system, which has the highest Pt(IV) extraction ability of the three extractants, as a representative. Water was used as a stripping reagent. Figure 8 also shows that despite the Pt(IV) loaded organic phase was settled for 300 h, the stripping percentage was 81%. This suggests that the stripping process can be performed stably at least within 300 h after Pt(IV) extraction. Note that this %Stripping deviates slightly from the results in Table 1. This may be due to the difference in the initial concentration of Pt(IV) in each experiment, although a more detailed study is needed.
Figure 8.
Effect of settling time of the Pt(IV) loaded organic phase on the stripping percentage of Pt(IV) by MonoAA. [MonoAA]org,i = 1.0 M in n-dodecane/2-ethylhexanol (80 vol%/20 vol%), [Pt(IV)]aq,i = 0.295 M, [Ir(III)]aq,i = 9.83 × 10−3 M, [Rh(III)]aq,i = 0.119 M, [Cu(II)]aq,i = 0.270 M, [HCl]aq,i = 2.0 M. Stripping reagent: water.
4. Conclusions
In this study, the extraction and separation of Pt(IV) from SSRs by simple secondary amides and urea extractants were evaluated to explore the applicability of these extractants to the actual hydrometallurgical separation process. In the extraction of Pt(IV) from low HCl concentration by MonoAA, MonoOA, and MonoBU, Pt(IV) was extracted only via the hydrogen bonding interaction to [PtCl6]2− by N–H moieties of secondary amide and urea groups. Despite the presence of numerous metal ions, MonoAA, MonoOA, and MonoBU exhibited high Pt(IV) selectivity in the Pt(IV) extraction from the SSRs, though their Pt(IV) extraction ability was lower than TOA. MonoAA had the highest Pt(IV) extraction capacity compared with MonoOA and MonoBU. However, MonoOA had a lower Pt(IV) extraction capacity but hardly produced the third phase. In all extraction systems, Pt(IV) was readily stripped from the Pt(IV) loaded organic phase using only water. We believe that the detailed investigation of the practical application of the secondary amide and urea extractants developed in this study will help improve the efficiency of the Pt separation process in the future.
Supplementary Materials
The following are available online at https://www.mdpi.com/article/10.3390/separations8090139/s1, Figure S1: 1H NMR spectra of (a) N-(2-ethylhexyl)acetamide (MonoAA), (b) MonoAA exchanged with D2O, and (c) 2-ethylhexylamine as a starting material, Figure S2: IR spectra of N-(2-ethylhexyl)acetamide (MonoAA), Figure S3: 1H NMR spectra of (a) N-(2-ethylhexyl)octanamide (MonoOA), (b) MonoOA exchanged with D2O, and (c) 2-ethylhexylamine as a starting material, Figure S4: IR spectra of N-(2-ethylhexyl)octanamide (MonoOA), Figure S5: 1H NMR spectra of (a) N,N-bis(2-ethylhexyl)acetamide (BisAA), (b) BisAA exchanged with D2O, and (c) di(2-ethylhexyl)amine as a starting material, Figure S6: IR spectra of N,N-bis(2-ethylhexyl)acetamide (BisAA).
Author Contributions
Conceptualization, Y.U. and K.O.; validation, Y.U.; formal analysis, Y.U.; investigation, Y.U.; data curation, Y.U. and K.O.; writing—original draft preparation, Y.U.; writing—review and editing, Y.U., S.M., H.K. and K.O.; supervision, K.O.; funding acquisition, Y.U. and K.O. All authors have read and agreed to the published version of the manuscript.
Funding
This work was supported by the Tanaka Kikinzoku Kogyo K.K. and the Japan Society for the Promotion of Science (Grant-in-Aid for JSPS Research Fellow Grant Number 14J04076).
Data Availability Statement
Data are available from the authors upon the reasonable request.
Acknowledgments
The NMR measurements for compound identification were conducted at the Analytical Research Center for Experimental Sciences, Saga University.
Conflicts of Interest
There are no conflict to declare.
References
- Cooper, J.; Beecham, J. A Study of Platinum Group Metals in Three–Way Autocatalysts. Platin. Met. Rev. 2013, 57, 281–288. [Google Scholar] [CrossRef]
- Hagelüken, C. Recycling the Platinum Group Metals: A European Perspective. Platin. Met. Rev. 2012, 56, 29–35. [Google Scholar] [CrossRef]
- Glaister, B.J.; Mudd, G.M. The Environmental Costs of Platinum–PGM Mining and Sustainability: Is the Glass Half-Full or Half-Empty? Miner. Eng. 2010, 23, 438–450. [Google Scholar] [CrossRef]
- Holton, O.T.; Stevenson, J.W. The role of platinum in proton exchange membrane fuel cells. Platin. Met. Rev. 2013, 57, 259–271. [Google Scholar] [CrossRef]
- Bernardis, F.L.; Grant, R.A.; Sherrington, D.C. A Review of Methods of Separation of the Platinum-Group Metals through Their Chloro-Complexes. React. Funct. Polym. 2005, 65, 205–217. [Google Scholar] [CrossRef]
- U.S. Geological Survey. Mineral Commodity Summaries 2020: U.S. Geological Survey; U.S. Geological Survey: Reston, VA, USA, 2020; ISBN 978-1-4113-4362-7.
- Narita, H.; Kasuya, R.; Suzuki, T.; Motokawa, R.; Tanaka, M. Precious Metal Separations. Ency. Inorg. Bioinorg. Chem. 2020, eibc2756, 1–28. [Google Scholar] [CrossRef]
- Jha, M.K.; Gupta, D.; Lee, J.-C.; Kumar, V.; Jeong, J. Solvent Extraction of Platinum using Amine Based Extractants in Different Solutions: A review. Hydrometallurgy 2014, 142, 60–69. [Google Scholar] [CrossRef]
- Levitin, G.; Schmuckler, G. Solvent Extraction of Rhodium Chloride from Aqueous Solutions and Its Separation from Palladium and Platinum. React. Funct. Polym. 2003, 54, 149–154. [Google Scholar] [CrossRef]
- Costa, M.C.; Almeida, R.; Assunção, A.; Costa, A.M.R.; Nogueira, C.; Paiva, A.P. N,N′-tetrasubstituted succinamides as new molecules for liquid–liquid extraction of Pt(IV) from chloride media. Sep. Purif. Technol. 2016, 158, 409–416. [Google Scholar] [CrossRef]
- Paiva, A.P.; Carvalho, G.I.; Costa, M.C.; Costa, A.M.R.; Nogueira, C. The solvent extraction performance of N,N′-dimethyl-N,N′-dibutylmalonamide towards platinum and palladium in chloride media. Sep. Sci. Technol. 2014, 49, 966–973. [Google Scholar] [CrossRef][Green Version]
- Costa, M.C.; Assunção, A.; Costa, A.M.R.; Nogueira, C.; Paiva, A.P. Liquid-Liquid Extraction of Platinum from Chloride Media by N,N′-Dimethyl-N,N′- Dicyclohexyltetradecylmalonamide. Solvent Extr. Ion Exch. 2013, 31, 12–23. [Google Scholar] [CrossRef]
- Maeda, M.; Narita, H.; Tokoro, C.; Tanaka, M.; Motokawa, R.; Shiwaku, H.; Yaita, T. Selective Extraction of Pt(IV) over Fe(III) from HCl with an Amide-Containing Tertiary Amine Compound. Sep. Purif. Technol. 2017, 177, 176–181. [Google Scholar] [CrossRef]
- Warr, R.J.; Bell, K.J.; Gadzhieva, A.; Cabot, R.; Ellis, R.J.; Chartres, J.; Henderson, D.K.; Lykourina, E.; Wilson, A.M.; Love, J.B.; et al. A Comparison of the Selectivity of Extraction of [PtCl6]2− by Mono-, Bi-, and Tripodal Receptors That Address Its Outer Coordination Sphere. Inorg. Chem. 2016, 55, 6247–6260. [Google Scholar] [CrossRef]
- Carson, I.; MacRuary, K.J.; Doidge, E.D.; Ellis, R.J.; Grant, R.A.; Gordon, R.J.; Love, J.B.; Morrison, C.A.; Nichol, G.S.; Tasker, P.A.; et al. Anion Receptor Design: Exploiting Outer-Sphere Coordination Chemistry To Obtain High Selectivity for Chloridometalates over Chloride. Inorg. Chem. 2015, 54, 8685–8692. [Google Scholar] [CrossRef]
- Ellis, R.J.; Chartres, J.; Henderson, D.K.; Cabot, R.; Richardson, P.R.; White, F.J.; Schröder, M.; Turkington, J.R.; Tasker, P.A.; Sole, K.C. Design and Function of Pre-Organised Outer-Sphere Amidopyridyl Extractants for Zinc(II) and Cobalt(II) Chlorometallates: The Role of C–H Hydrogen Bonds. Chem. Eur. J. 2012, 18, 7715–7728. [Google Scholar] [CrossRef]
- Warr, R.J.; Westra, A.N.; Bell, K.J.; Chartres, J.; Ellis, R.; Tong, C.; Simmance, T.G.; Gadzhieva, A.; Blake, A.J.; Tasker, P.A.; et al. Selective extraction and transport of the [PtCl6]2− anion through outer-sphere coordination chemistry. Chem. Eur. J. 2009, 15, 4836–4850. [Google Scholar] [CrossRef]
- Bell, K.J.; Westra, A.N.; Warr, R.J.; Chartres, J.; Ellis, R.; Tong, C.C.; Blake, A.J.; Tasker, P.A.; Schröder, M. Outer-Sphere Coordination Chemistry: Selective Extraction and Transport of the [PtCl6]2− Anion. Angew. Chem. Int. Ed. 2008, 47, 1745–1748. [Google Scholar] [CrossRef]
- Swiegers, G.F.; Malefetse, T.J. Multiple-Interaction Self-Assembly in Coordination Chemistry. J. Incl. Phenom. Macrocycl. Chem. 2001, 40, 253–264. [Google Scholar] [CrossRef]
- Philp, D.; Stoddart, J.F. Self-Assembly in Natural and Unnatural Systems. Angew. Chem. Int. Ed. 1996, 35, 1154–1196. [Google Scholar] [CrossRef]
- Ohto, K.; Ueda, Y.; Ohmi, K.; Fujita, M. Platinum extractant, platinum extraction method, and platinum recovery method, JP Patent. JP6556685B2, 7 August 2019. [Google Scholar]
- Narita, H.; Morisaku, K.; Tanaka, M. The first effective extractant for trivalent rhodium in hydrochloric acid solution. Chem. Commun. 2008, 5921–5923. [Google Scholar] [CrossRef]
- Low, C.M.R.; Broughton, H.B.; Kalindjian, S.B.; McDonald, I.M. Novel oxathiazinones as gastrin ligands: Unezpected products from the Schotten-Baumann reaction of arylsulphonyl chlorides with derivatives of aspartic acid. Bioorg. Med. Chem. Lett. 1992, 2, 325–330. [Google Scholar] [CrossRef]
- Erne, D.; Stojanac, N.; Ammann, D.; Hofstetter, P.; Pretsch, E.; Simon, W. Lipophilic Di- and Triamides as Ionophores for Alkaline Earth Metal Cations. Helv. Chim. Acta 1980, 63, 2271–2279. [Google Scholar] [CrossRef]
- Sonntag, N.O.V. The Reactions of Aliphatic Acid Chlorides. Chem. Rev. 1953, 52, 237–416. [Google Scholar] [CrossRef]
- Raposo, C.; Almaraz, M.; Martin, M.; Weinrich, V.; Mussóns, L.; Alcázar, V.; Caballero, C.; Morán, J.R. Tris(2-aminoethyl)amine, A Suitable Spacer for Phosphate and Sulfate Receptors. Chem. Lett. 1995, 24, 759–760. [Google Scholar] [CrossRef]
- Amendola, V.; Fabbrizzi, L.; Mosca, L. Anion Recognition by Hydrogen Bonding: Urea-Based Receptors. Chem. Soc. Rev. 2010, 39, 3889–3915. [Google Scholar] [CrossRef]
- Hay, B.P.; Firman, T.K.; Moyer, B.A. Structural Design Criteria for Anion Hosts: Strategies for Achieving Anion Shape Recognition through the Complementary Placement of Urea Donor Groups. J. Am. Chem. Soc. 2005, 127, 1810–1819. [Google Scholar] [CrossRef]
- Koevoets, R.A.; Versteegen, R.M.; Kooijman, H.; Spek, A.L.; Sijbesma, R.P.; Meijer, E.W. Molecular Recognition in a Thermoplastic Elastomer. J. Am. Chem. Soc. 2005, 127, 2999–3003. [Google Scholar] [CrossRef] [PubMed]
- Corbin, P.S.; Zimmerman, S.C.; Thiessen, P.A.; Hawryluk, N.A.; Murray, T.J. Complexation-Induced Unfolding of Heterocyclic Ureas. Simple Foldamers Equilibrate with Multiply Hydrogen-Bonded Sheetlike Structures. J. Am. Chem. Soc. 2001, 123, 10475–10488. [Google Scholar] [CrossRef]
- Etter, M.C.; Lipkowska, Z.U.; Ebrahimi, M.Z.; Panunto, T.W. Hydrogen Bond Directed Cocrystallization and Molecular Recognition Properties of Diarylureas. J. Am. Chem. Soc. 1990, 112, 8415–8426. [Google Scholar] [CrossRef]
- Pang, G.; Morisada, S.; Kawakita, H.; Hanamoto, T.; Umecky, T.; Ohto, K.; Song, X.-M. Allosteric extraction of a second gallium anion assisted by the first, loaded onto a fluorinated secondary amide reagent. Sep. Purif. Technol. 2021, 119036, In Press. [Google Scholar] [CrossRef]
- Ueda, Y.; Morisada, S.; Kawakita, H.; Ohto, K. High extraction ability and selectivity of a tripodal pivalamide derivative for Pt(IV) from hydrochloric acid solutions. Sep. Sci. Technol. 2016, 51, 2700–2707. [Google Scholar] [CrossRef]
- Ueda, Y.; Morisada, S.; Kawakita, H.; Wenzel, M.; Weigand, J.J.; Ohto, K. Effective extraction of Pt(IV) as [PtCl6]2− from hydrochloric acid using a simple urea extractant. Sep. Purif. Technol. 2021, 277, 119456. [Google Scholar] [CrossRef]
- Cox, M. Solvent Extraction in Hydrometallurgy. In Solvent Extraction Principles and Practice, 2nd ed.; Rydberg, J., Cox, M., Musikas, C., Choppin, G.R., Eds.; Marcel Dekker Inc.: New York, NY, USA, 2004; pp. 455–505. [Google Scholar]
- Clement, O.; Rapko, B.M.; Hay, B.P. Structural Aspects of Metal–Amide Complexes. Coord. Chem. Rev. 1998, 170, 203–243. [Google Scholar] [CrossRef]
- Valentine, B.; Amour, T.E.S.; Fiat, D. A 17O NMR Study of the Protonation of Urea. Org. Magn. Reson. 1984, 22, 697–700. [Google Scholar] [CrossRef]
- Doidge, E.D.; Carson, I.; Tasker, P.A.; Ellis, R.J.; Morrison, C.A.; Love, J.B. A Simple Primary Amide for the Selective Recovery of Gold from Secondary Resources. Angew. Chem. Int. Ed. 2016, 26, 12436–12439. [Google Scholar] [CrossRef]
- Ortet, O.; Santos, M.S.C.S.; Paiva, A.P. Palladium(II) and N,N′-dimethyl-N,N′-dicyclohexylthiodiglycolamide—The extracted species from concentrated chloride solutions. Sep. Purif. Technol. 2016, 170, 1–9. [Google Scholar] [CrossRef]
- Turkington, J.R.; Bailey, P.J.; Love, J.B.; Wilson, A.M.; Tasker, P.A. Exploiting Outer–Sphere Interactions to Enhance Metal Recovery by Solvent Extraction. Chem. Commun. 2013, 49, 1891–1899. [Google Scholar] [CrossRef]
- Muñoz-Páez, A.; Pappalardo, R.R.; Marcos, E.S. Determination of the Second Hydration Shell of Cr3+ and Zn2+ in Aqueous Solutions by Extended X-ray Absorption Fine Structure. J. Am. Chem. Soc. 1995, 117, 11710–11720. [Google Scholar] [CrossRef]
- Choppin, G.R. Complexation of Metal Ions. In Solvent Extraction Principles and Practice, 2nd ed.; Rydberg, J., Cox, M., Musikas, C., Choppin, G.R., Eds.; Marcel Dekker Inc.: New York, NY, USA, 2004; pp. 81–107. [Google Scholar]
- Roberts, J.E.; Schnitler, J. Ionic Quadrupolar Relaxation in Aqueous Solution: Dynamics of the Hydration Sphere. J. Phys. Chem. 1993, 97, 5410–5417. [Google Scholar] [CrossRef]
- Narita, H.; Tanaka, M.; Morisaku, K.; Abe, T. Extraction of Gold(III) in Hydrochloric Acid Solution Using Monoamide Compounds. Hydrometallurgy 2006, 81, 153–158. [Google Scholar] [CrossRef]
- Motokawa, R.; Kobayashi, T.; Endo, H.; Mu, J.; Williams, C.D.; Masters, A.J.; Antonio, M.R.; Heller, W.T.; Nagao, M. A Telescoping View of Solute Architectures in A Complex Fluid System. ACS Cent. Sci. 2019, 5, 85–96. [Google Scholar] [CrossRef] [PubMed]
- Ueda, Y.; Kikuchi, K.; Sugita, T.; Motokawa, R. Extraction Performance of a Fluorous Phosphate for Zr(IV) from HNO3 Solution: Comparison with Tri-n-Butyl Phosphate. Solvent Extr. Ion Exch. 2019, 37, 347–359. [Google Scholar] [CrossRef]
- Mu, J.; Motokawa, R.; Akutsu, K.; Nishitsuji, S.; Masters, A.J. A Novel Microemulsion Phase Transition: Toward the Elucidation of Third-Phase Formation in Spent Nuclear Fuel Reprocessing. J. Phys. Chem. B 2018, 122, 1439–1452. [Google Scholar] [CrossRef]
- Antonio, M.R.; Demars, T.J.; Audras, M.; Ellis, R.J. Third phase inversion, red oil formation, and multinuclear speciation of tetravalent cerium in the tri-n-butyl phosphate–n-dodecane solvent extraction system. Sep. Sci. Technol. 2018, 53, 1834–1847. [Google Scholar] [CrossRef]
Publisher’s Note: MDPI stays neutral with regard to jurisdictional claims in published maps and institutional affiliations. |
© 2021 by the authors. Licensee MDPI, Basel, Switzerland. This article is an open access article distributed under the terms and conditions of the Creative Commons Attribution (CC BY) license (https://creativecommons.org/licenses/by/4.0/).







