Extraction of Anthocyanins from Black Bean Peel Based on Deep Eutectic Solvents and the Determination of Their Antioxidant Properties and Stability
Abstract
1. Introduction
2. Materials and Methods
2.1. Materials and Reagents
2.2. Sample Preparation and Extraction
2.3. Preparation of DESs and the Extraction of Anthocyanins from Black Bean Peel
2.4. Determination of the Maximum Absorption Wavelength of Anthocyanins in Extracts
2.5. Determination of Anthocyanins Content
2.6. Optimization of Extraction Process for Anthocyanins
2.6.1. Screening of DESs
2.6.2. Single-Factor Experiments
2.6.3. Response Surface Optimization Experiments
2.7. Optimization of the Purification Process of Anthocyanins
2.7.1. Pretreatment of Macroporous Resins
2.7.2. Screening of Resins
2.7.3. Static and Dynamic Optimization
2.7.4. Optimization of the Loading Concentration
2.7.5. Optimization of the Sample Flow Rate
2.7.6. Determination of the Loading Volume
2.7.7. Determination of the Elution Flow Rate
2.8. Determination of the Color Value of Anthocyanins After Purification
2.9. Antioxidant Properties of Anthocyanin Extracts from Black Bean Peel
2.9.1. Determination of DPPH Scavenging Activity
2.9.2. Determination of ABTS Free Radical Scavenging Activity
2.10. Stability of the Anthocyanins from Black Bean Peel
2.10.1. Effect of pH on the Stability of Anthocyanins from Black Bean Peel
2.10.2. Effect of Temperature on the Stability of Anthocyanins from Black Soybean Peel
2.10.3. Effect of Light on the Stability of Anthocyanins in Black Bean Peel
2.10.4. Influence of Redox Agents on the Stability of Anthocyanins from Black Bean Peel
2.10.5. Influence of Additives on the Stability of Anthocyanins in Black Soybean Peel
2.10.6. Effect of Metal Ions on the Stability of Anthocyanins from Black Bean Peel
3. Results and Discussion
3.1. Optimization of Anthocyanin Extraction from Black Bean Peel
3.1.1. Physicochemical Properties of DESs and the Effects on Anthocyanin Extraction
3.1.2. One-Way Experiments
3.1.3. Response Surface Results and ANOVA
3.2. Optimization of the Process of Purifying Anthocyanin from Black Bean Peel
3.2.1. Resin Screening
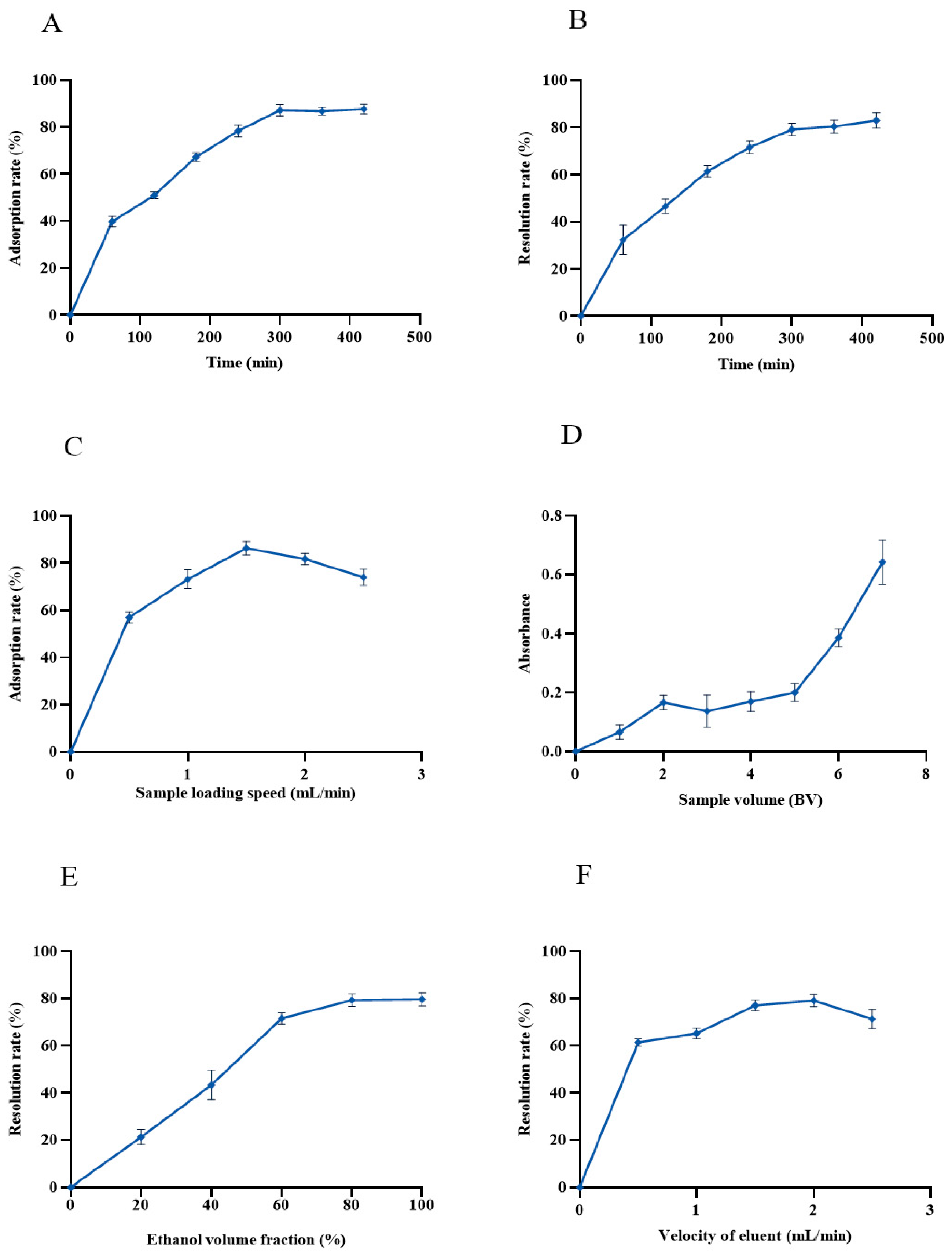
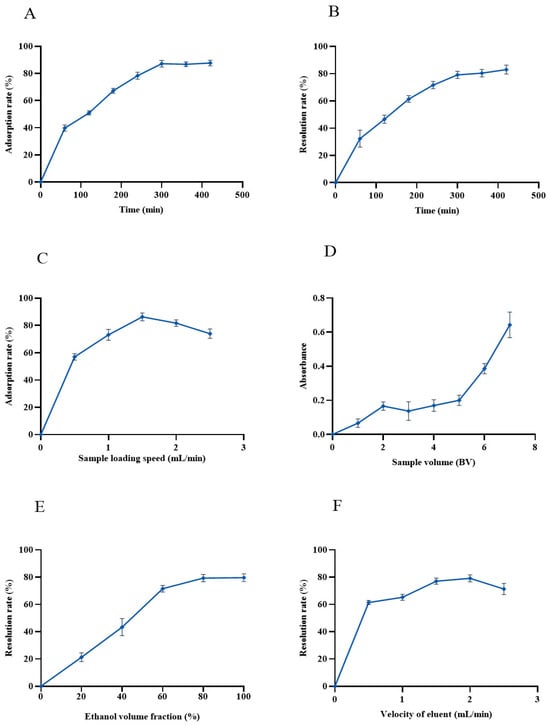
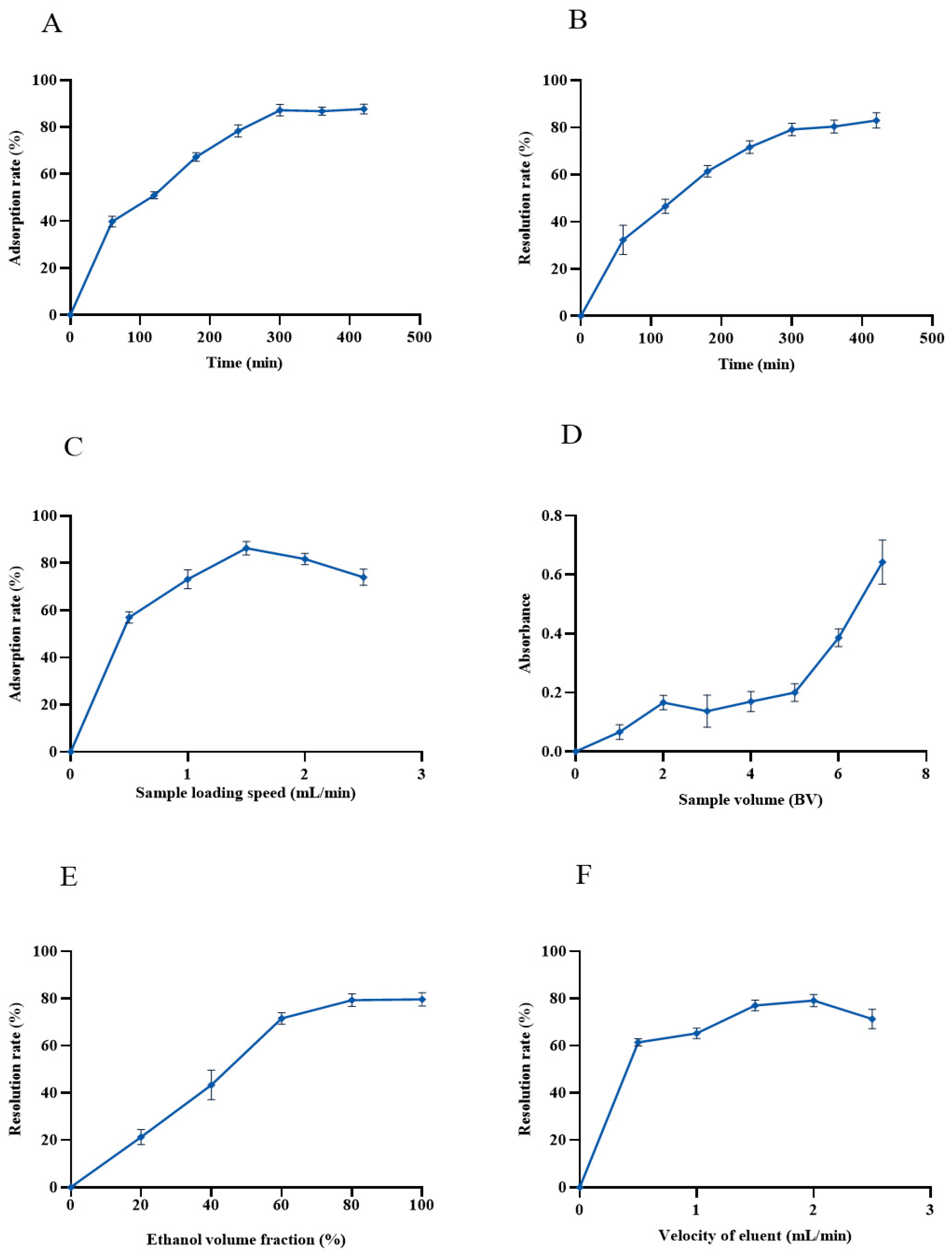
3.2.2. Dynamic and Static Optimization Results
3.3. Antioxidant Activity of Anthocyanins from Black Bean Peel
3.4. Stability of Anthocyanins from Black Bean Peel
3.4.1. Environmental Effects on the Stability of Anthocyanins from Black Bean Peel
3.4.2. Influence of Additives on the Stability of Anthocyanins from Black Soybean Peel
4. Conclusions
Supplementary Materials
Author Contributions
Funding
Data Availability Statement
Conflicts of Interest
References
- Escalante-Aburto, A.; Mendoza-Córdova, M.Y.; Mahady, G.B.; Luna-Vital, D.A.; Gutiérrez-Uribe, J.A.; Chuck-Hernández, C. Consumption of dietary anthocyanins and their association with a reduction in obesity biomarkers and the prevention of obesity. Trends Food Sci. Technol. 2023, 140, 104140. [Google Scholar] [CrossRef]
- Han, L.; Li, R.; Jin, X.; Li, Y.; Chen, Q.; He, C.; Wang, M. Metabolomic analysis, extraction, purification and stability of the anthocyanins from colored potatoes. Food Chem. X 2024, 22, 101423. [Google Scholar] [CrossRef] [PubMed]
- Jin, X.; He, C.; Guo, Z.; Li, Y.; Li, Y.; Gao, J.; Wang, M.; Han, L. The hypoglycemic activity of buckwheat and the underlying mechanisms: A mechanistic review. Food Biosci. 2024, 62, 105046. [Google Scholar] [CrossRef]
- Yan, S.; Li, Y.; Liu, J.; Si, D.; Zhang, X. Guideline for extraction, qualitative, quantitative, and stability analysis of anthocyanins. eFood 2023, 4, e59. [Google Scholar] [CrossRef]
- Tang, R.; He, Y.; Fan, K. Recent advances in stability improvement of anthocyanins by efficient methods and its application in food intelligent packaging: A review. Food Biosci. 2023, 56, 103164. [Google Scholar] [CrossRef]
- Foroutani, Z.; Afshar Mogaddam, M.R.; Ghasempour, Z.; Ghareaghajlou, N. Application of deep eutectic solvents in the extraction of anthocyanins: Stability, bioavailability, and antioxidant property. Trends Food Sci. Technol. 2024, 144, 104324. [Google Scholar] [CrossRef]
- Rabiei, M.R.; Hosseini, M.; Xu, G. Deep eutectic solvents: A review on their sensing applications. Microchem. J. 2024, 203, 110909. [Google Scholar] [CrossRef]
- Shoshtari-Yeganeh, B.; Giesy, J.P.; Yeganeh, M.S.; Badibostan, H. Deep eutectic solvents (DESs) in microextraction of Parabens: A review. Microchem. J. 2024, 201, 110699. [Google Scholar] [CrossRef]
- Galanakis, C.M. Recovery of high added-value components from food wastes: Conventional, emerging technologies and commercialized applications. Trends Food Sci. Technol. 2012, 26, 68–87. [Google Scholar] [CrossRef]
- Machado-Velarde, L.X.; Dávila-Vega, J.P.; Gutiérrez-Uribe, J.; Espinosa-Ramírez, J.; Martínez-Ávila, M.; Guajardo-Flores, D.; Chuck-Hernández, C. Black bean hulls as a byproduct of an extraction process to enhance nutraceutical and glycemic-related properties of nixtamalized maize tostadas. Foods 2023, 12, 1915. [Google Scholar] [CrossRef]
- Takeoka, G.R.; Dao, L.T.; Full, G.H.; Wong, R.Y.; Harden, L.A.; Edwards, R.H.; Berrios, J.D.J. Characterization of black bean (Phaseolus vulgaris L.) anthocyanins. J. Agric. Food Chem. 1997, 45, 3395–3400. [Google Scholar] [CrossRef]
- Mali, P.S.; Kumar, P. Optimization of microwave assisted extraction of bioactive compounds from black bean waste and evaluation of its antioxidant and antidiabetic potential in vitro. Food Chem. Adv. 2023, 3, 100543. [Google Scholar] [CrossRef]
- Meenu, M.; Chen, P.; Mradula, M.; Chang, S.K.C.; Xu, B. New insights into chemical compositions and health-promoting effects of black beans (Phaseolus vulgaris L.). Food Front. 2023, 4, 1019–1038. [Google Scholar] [CrossRef]
- Zhang, X.-J.; Liu, Z.-T.; Chen, X.-Q.; Zhang, T.-T.; Zhang, Y. Deep eutectic solvent combined with ultrasound technology: A promising integrated extraction strategy for anthocyanins and polyphenols from blueberry pomace. Food Chem. 2023, 422, 136224. [Google Scholar] [CrossRef]
- Fu, X.; Wang, D.; Belwal, T.; Xie, J.; Xu, Y.; Li, L.; Zou, L.; Zhang, L.; Luo, Z. Natural deep eutectic solvent enhanced pulse-ultrasonication assisted extraction as a multi-stability protective and efficient green strategy to extract anthocyanin from blueberry pomace. LWT-Food Sci. Technol. 2021, 144, 111220. [Google Scholar] [CrossRef]
- Teng, Z.; Jiang, X.; He, F.; Bai, W. Qualitative and quantitative methods to evaluate anthocyanins. eFood 2020, 1, 339–346. [Google Scholar] [CrossRef]
- Osamede Airouyuwa, J.; Sivapragasam, N.; Ali Redha, A.; Maqsood, S. Sustainable green extraction of anthocyanins and carotenoids using deep eutectic solvents (DES): A review of recent developments. Food Chem. 2024, 448, 139061. [Google Scholar] [CrossRef] [PubMed]
- Xu, B.; Chang, S.K.C. Anthocyanin content and antioxidant capacity of black bean (Phaseolus vulgaris L.) peel extracts. J. Agric. Food Chem. 2009, 57, 8388–8396. [Google Scholar]
- Li, K.; Xiao, Y.; Bian, J.; Han, L.; He, C.; El-Omar, E.; Gong, L.; Wang, M. Ameliorative effects of gut microbial metabolite urolithin A on pancreatic diseases. Nutrients 2022, 14, 2549. [Google Scholar] [CrossRef]
- Li, Y.; Zhang, R.; Du, J.; Liu, Y.; Zhang, Y.; Liu, J.; Wang, M.; Han, L. Research progress of anthocyanins regulating intestinal microorganisms. Food Nutr. Chem. 2024, 2, 185. [Google Scholar] [CrossRef]
- Cheng, Y.; Liu, J.; Li, L.; Ren, J.; Lu, J.; Luo, F. Advances in embedding techniques of anthocyanins: Improving stability, bioactivity and bioavailability. Food Chem. X 2023, 20, 100983. [Google Scholar] [CrossRef] [PubMed]
- Ghareaghajlou, N.; Hallaj-Nezhadi, S.; Ghasempour, Z. Red cabbage anthocyanins: Stability, extraction, biological activities and applications in food systems. Food Chem. 2021, 365, 130482. [Google Scholar] [CrossRef] [PubMed]
- Enaru, B.; Drețcanu, G.; Pop, T.D.; Stǎnilǎ, A.; Diaconeasa, Z. Anthocyanins: Factors affecting their stability and degradation. Antioxidants 2021, 10, 1967. [Google Scholar] [CrossRef] [PubMed]
- Liu, Y.; Lin, J.; Cheng, T.; Liu, Y.; Han, F. Methylation, hydroxylation, glycosylation and acylation affect the transport of wine anthocyanins in Caco-2 cells. Foods 2022, 11, 3793. [Google Scholar] [CrossRef]







| Hydrogen Bond Receptor | Hydrogen Bond Donor | pH | Density (g/cm3) |
|---|---|---|---|
| Choline chloride (Chcl) | Citric Acid (Ca) | 0.8 | 1.1799 |
| Lactic Acid (Lac) | 1.5 | 1.0756 | |
| Malic Acid (H2Mi) | 0.9 | 1.1333 | |
| Proline (Pro) | Citric Acid | 2.4 | 1.2012 |
| Lactic Acid | 3.0 | 1.1417 | |
| Malic Acid | 2.7 | 1.1798 | |
| Betaine (Beta) | Citric Acid | 2.6 | 1.1879 |
| Lactic Acid | 3.3 | 1.0946 | |
| Malic Acid | 2.9 | 1.1390 |
| No. | X Factors | Y Total Anthocyanins (mg C3GE/100 g DW) | ||
|---|---|---|---|---|
| A Temperature (°C) | B Time (min) | C Solid–Liquid Ratio (g/mL) | ||
| 1 | 1 | 1 | 0 | 46.61 |
| 2 | 1 | 1 | 0 | 54.12 |
| 3 | 1 | 1 | 0 | 53.32 |
| 4 | 1 | 1 | 0 | 59.27 |
| 5 | 1 | 0 | 1 | 48.25 |
| 6 | 1 | 0 | 1 | 54.35 |
| 7 | 1 | 0 | 1 | 51.01 |
| 8 | 1 | 0 | 1 | 58.35 |
| 9 | 0 | 1 | 1 | 48.97 |
| 10 | 0 | 1 | 1 | 54.6 |
| 11 | 0 | 1 | 1 | 52.43 |
| 12 | 0 | 1 | 1 | 58.56 |
| 13 | 0 | 0 | 0 | 62.3 |
| 14 | 0 | 0 | 0 | 62.61 |
| 15 | 0 | 0 | 0 | 62.21 |
| Source | Sum of Squares | df | Mean Square | F-Value | p-Value | Significance |
|---|---|---|---|---|---|---|
| Model | 383.94 | 9 | 42.66 | 1483.12 | <0.0001 | ** |
| A: Temperature | 90.45 | 1 | 90.45 | 3144.67 | <0.0001 | ** |
| B: Time | 69.74 | 1 | 69.74 | 2424.55 | <0.0001 | ** |
| C: Solid–liquid Ratio | 25.13 | 1 | 25.13 | 873.82 | <0.0001 | ** |
| AB | 0.6084 | 1 | 0.6084 | 21.15 | 0.0058 | ** |
| AC | 0.3844 | 1 | 0.3844 | 13.36 | 0.0147 | * |
| BC | 0.0625 | 1 | 0.0625 | 2.17 | 0.2005 | |
| A2 | 86.73 | 1 | 86.73 | 3015.4 | <0.0001 | ** |
| B2 | 65.03 | 1 | 65.03 | 2260.83 | <0.0001 | ** |
| C2 | 75.99 | 1 | 75.99 | 2642 | <0.0001 | ** |
| Residual | 0.1438 | 5 | 0.0288 | |||
| Lack of fit | 0.0557 | 3 | 0.0186 | 0.422 | 0.7586 | |
| Pure error | 0.0881 | 2 | 0.044 | |||
| Cor total | 384.08 | 14 |
| pH | Kinetic Model Fitting Equation | Model Parameters | |
|---|---|---|---|
| 3 | = −0.0195t | k | 0.0195 |
| R2 | 0.8612 | ||
| 5 | = −0.0457t | k | 0.0457 |
| R2 | 0.9857 | ||
| 7 | = −0.3095t | k | 0.3095 |
| R2 | 0.9227 | ||
Disclaimer/Publisher’s Note: The statements, opinions and data contained in all publications are solely those of the individual author(s) and contributor(s) and not of MDPI and/or the editor(s). MDPI and/or the editor(s) disclaim responsibility for any injury to people or property resulting from any ideas, methods, instructions or products referred to in the content. |
© 2025 by the authors. Licensee MDPI, Basel, Switzerland. This article is an open access article distributed under the terms and conditions of the Creative Commons Attribution (CC BY) license (https://creativecommons.org/licenses/by/4.0/).
Share and Cite
Xia, S.; Fan, R.; Wu, H.; Guo, Z.; Gao, P.; Wei, L.; Wang, M.; Han, L. Extraction of Anthocyanins from Black Bean Peel Based on Deep Eutectic Solvents and the Determination of Their Antioxidant Properties and Stability. Separations 2025, 12, 73. https://doi.org/10.3390/separations12040073
Xia S, Fan R, Wu H, Guo Z, Gao P, Wei L, Wang M, Han L. Extraction of Anthocyanins from Black Bean Peel Based on Deep Eutectic Solvents and the Determination of Their Antioxidant Properties and Stability. Separations. 2025; 12(4):73. https://doi.org/10.3390/separations12040073
Chicago/Turabian StyleXia, Shuangshuang, Rong Fan, Haiyu Wu, Ziwei Guo, Pan Gao, Lai Wei, Min Wang, and Lin Han. 2025. "Extraction of Anthocyanins from Black Bean Peel Based on Deep Eutectic Solvents and the Determination of Their Antioxidant Properties and Stability" Separations 12, no. 4: 73. https://doi.org/10.3390/separations12040073
APA StyleXia, S., Fan, R., Wu, H., Guo, Z., Gao, P., Wei, L., Wang, M., & Han, L. (2025). Extraction of Anthocyanins from Black Bean Peel Based on Deep Eutectic Solvents and the Determination of Their Antioxidant Properties and Stability. Separations, 12(4), 73. https://doi.org/10.3390/separations12040073
