Potential of Advanced Oxidation as Pretreatment for Microplastics Biodegradation
Abstract
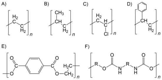
1. Introduction
2. Photolysis
3. Hydroxyl-Radical Based AOPs
3.1. AOPs with the Addition of Hydrogen Peroxide
3.2. Ozonatzion
3.3. Fenton-Based Processes
4. Sulfate-Radical Based AOPs
5. UV/Chlorine Advanced Oxidation
6. Glow Discharge Plasma Treatment
7. Studies on the Influence of AOP on the Biodegradation of MP
8. Conclusions
Author Contributions
Funding
Data Availability Statement
Conflicts of Interest
References
- Thompson, R.C.; Moore, C.J.; vom Saal, F.S.; Swan, S.H. Plastics, the environment and human health: Current consensus and future trends. Phil. Trans. R. Soc. B 2009, 364, 2153–2166. [Google Scholar] [CrossRef]
- Shim, W.J.; Hong, S.H.; Eo, S. Chapter 1—Marine microplastics: Abundance, distribution, and composition. In Microplastic Contamination in Aquatic Environments; Zeng, E.J., Ed.; Elsevier: Amsterdam, The Netherlands, 2018; pp. 1–26. [Google Scholar] [CrossRef]
- Erceg, M.; Tutman, P.; Bojanić Varezić, D.; Bobanović, A. Karakterizacija mikroplastike u sedimentu plaže Prapratno. Kem. Ind. 2020, 69, 253–260. [Google Scholar] [CrossRef]
- Boots, B.; Russell, C.W.; Green, D.S. Effects of Microplastics in Soil Ecosystems: Above and Below Ground. Environ. Sci. Technol. 2019, 53, 11496–11506. [Google Scholar] [CrossRef] [PubMed]
- Prata, J.C. Airborne microplastics: Consequences to human health? Environ. Pollut. 2018, 234, 115–126. [Google Scholar] [CrossRef] [PubMed]
- Liu, K.; Wang, X.; Fang, T.; Xu, P.; Zhu, L.; Li, D. Source and potential risk assessment of suspended atmospheric microplastics in Shanghai. Sci. Total Environ. 2019, 675, 462–471. [Google Scholar] [CrossRef] [PubMed]
- Zhao, Y.-B.; Gao, P.-P.; Ni, H.-G. A Chemical Time Bomb: Future Risks of Microplastics. Water Air Soil Pollut. 2019, 230, 268. [Google Scholar] [CrossRef]
- Alimba, C.G.; Faggi, C. Microplastics in the marine environment: Current trends in environmental pollution and mechanisms of toxicological profile. Environ. Toxicol. Phar. 2019, 68, 61–74. [Google Scholar] [CrossRef]
- Yuan, Z.; Nag, R.; Cummins, E. Human health concerns regarding microplastics in the aquatic environment—From marine to food systems. Sci. Total Environ. 2022, 823, 153730. [Google Scholar] [CrossRef]
- Hui, M.; Shengyan, P.; Shibin, L.; Yingchen, B.; Mandal, S.; Baoshan, X. Microplastics in aquatic environments: Toxicity to trigger ecological consequences. Environ. Pollut. 2020, 261, 114089. [Google Scholar] [CrossRef]
- Pannetier, P.; Morin, B.; Le Bihanic, F.; Dubreil, L.; Clérandeau, C.; Chouvellon, F.; Arkel, K.V.; Danion, M.; Cachot, J. Environmental samples of microplastics induce significant toxic effects in fish larvae. Environ. Int. 2020, 134, 105047. [Google Scholar] [CrossRef]
- Yu, Q.; Hu, X.; Yang, B.; Zhang, G.; Wang, J.; Ling, W. Distribution, abundance and risks of microplastics in the environment. Chemosphere 2020, 249, 126059. [Google Scholar] [CrossRef]
- Rist, S.; Carney Almroth, B.; Hartmann, N.B.; Karlsson, T.M. A critical perspective on early communications concerning human health aspects of microplastics. Sci. Total Environ. 2018, 626, 720–726. [Google Scholar] [CrossRef]
- Eltemsah, Y.S.; Bøhn, T. Acute and chronic effects of polystyrene microplastics on juvenile and adult Daphnia magna. Environ. Pollut. 2019, 254, 112919. [Google Scholar] [CrossRef] [PubMed]
- Li, J.; Liu, H.; Chen, P. Microplastics in freshwater systems: A review on occurrence, environmental effects, and methods for microplastics detection. Water Res. 2018, 137, 362–374. [Google Scholar] [CrossRef] [PubMed]
- Prunier, J.; Maurice, L.; Perez, E.; Gigault, J.; Pierson Wickmann, A.-C.; Davranche, M.; ter Halle, A. Trace metals in polyethylene debris from the North Atlantic subtropical gyre. Environ. Pollut. 2018, 245, 371–379. [Google Scholar] [CrossRef] [PubMed]
- Walpitagama, M.; Carve, M.; Douek, A.M.; Trestrail, C.; Bai, Y.; Kaslin, J.; Wlodkowic, D. Additives migrating from 3D-printed plastic induce developmental toxicity and neurobehavioural alterations in early life zebrafish (Danio rerio). Aquat. Toxicol. 2019, 213, 105227. [Google Scholar] [CrossRef] [PubMed]
- Hou, D.; Hong, M.; Wang, Y.; Dong, P.; Cheng, H.; Yan, H.; Yao, Z.; Li, D.; Wang, K.; Zhang, D. Assessing the Risks of Potential Bacterial Pathogens Attaching to Different Microplastics during the Summer–Autumn Period in a Mariculture Cage. Microorganisms 2021, 9, 1909. [Google Scholar] [CrossRef]
- McCormick, A.; Hoellein, T.J.; Mason, S.A.; Schluep, J.; Kelly, J.J. Microplastic is an Abundant and Distinct Microbial Habitat in an Urban River. Environ. Sci. Technol. 2014, 48, 11863–11871. [Google Scholar] [CrossRef]
- Waldschläger, K.; Lechthaler, S.; Stauch, G.; Schüttrumpf, H. The way of microplastic through the environment—Application of the source-pathway-receptor model (review). Sci. Total Environ. 2020, 713, 136584. [Google Scholar] [CrossRef]
- Leslie, H.A.; Brandsma, S.H.; van Velzen, M.J.M.; Vethaak, A.D. Microplastics en route: Field measurements in the Dutch river delta and Amsterdam canals, wastewater treatment plants, North Sea sediments and biota. Environ. Int. 2017, 101, 133–142. [Google Scholar] [CrossRef]
- Ngo, P.L.; Pramanik, B.K.; Shah, K.; Roychand, R. Pathway, classification and removal efficiency of microplastics in wastewater treatment plants. Environ. Pollut. 2019, 255, 113326. [Google Scholar] [CrossRef]
- Xu, Z.; Bai, X.; Ye, Z. Removal and generation of microplastics in wastewater treatment plants: A review. J. Clean. Prod. 2021, 291, 125982. [Google Scholar] [CrossRef]
- Cesaro, A.; Pirozzi, F.; Zafırakou, A.; Alexandraki, A. Microplastics in sewage sludge destined to anaerobic digestion: The potential role of thermal pretreatment. Chemosphere 2022, 309, 136669. [Google Scholar] [CrossRef] [PubMed]
- Rolsky, C.; Kelkar, V.; Driver, E.; Halden, R.U. Municipal sewage sludge as a source of microplastics in the environment. Curr. Opin. Env. Sci. Heath 2020, 14, 16–22. [Google Scholar] [CrossRef]
- Nizzetto, L.; Futter, M.; Langaas, S. Are Agricultural Soils Dumps for Microplastics of Urban Origin? Environ. Sci. Technol. 2016, 50, 10777–10779. [Google Scholar] [CrossRef]
- Iyare, P.U.; Ouki, S.K.; Bond, T. Microplastics removal in wastewater treatment plants: A critical review. Environ. Sci.-Wat. Res. 2020, 6, 2664–2675. [Google Scholar] [CrossRef]
- Browne, M.A.; Crump, P.; Niven, S.J.; Teuten, E.; Tonkin, A.; Galloway, T.; Thompson, R. Accumulation of Microplastic on Shorelines Woldwide: Sources and Sinks. Environ. Sci. Technol. 2011, 45, 9175–9179. [Google Scholar] [CrossRef]
- Schmidt, C.; Kumar, R.; Yang, S.; Büttner, O. Microplastic particle emission from wastewater treatment plant effluents into river networks in Germany: Loads, spatial patterns of concentrations and potential toxicity. Sci. Total Environ. 2020, 737, 139544. [Google Scholar] [CrossRef]
- Mohanan, N.; Montazer, Z.; Sharma, P.K.; Levin, D.B. Microbial and enzymatic degradation of synthetic plastics. Front. Microbiol. 2020, 11, 580709. [Google Scholar] [CrossRef]
- Štefanac, T.; Grgas, D.; Marjanović, B.; Landeka Dragičević, T. Primjena i modeliranje sustava s biofilmom u obradi otpadnih voda. Kem. Ind. 2022, 71, 317–325. [Google Scholar] [CrossRef]
- Gu, J.-D. Microbiological deterioration and degradation of synthetic polymeric materials: Recent research advances. Int. Biodeter. Biodegr. 2003, 52, 69–91. [Google Scholar] [CrossRef]
- Karak, N. Biodegradable polymers. In Vegetable Oil-Based Polymers; Karak, N., Ed.; Woodhead Publishing: Cornwall, UK, 2012; pp. 31–53. [Google Scholar] [CrossRef]
- Singh, G.; Singh, A.K.; Bhatt, K. Biodegradation of polythenes by bacteria isolated from soil. Int. J. Res. Dev. Pharm. Life Sci. 2016, 5, 2056–2062. [Google Scholar]
- Goswami, M.; Chakraborty, P.; Mukherjee, K.; Garbita, M.; Bhattacharyya, P.; Dey, S.; Tribedi, P. Bioaugmentation and biostimulation: A potential strategy for environmental remediation. J. Microbiol. Exp. 2018, 6, 223–231. [Google Scholar] [CrossRef]
- Skariyachan, S.; Patil, A.A.; Shankar, A.; Manjunath, M.; Bachappanavar, N.; Kiran, S. Enhanced polymer degradation of polyethylene and polypropylene by novel thermophilic consortia of Brevibacillus sps. and Aneurinibacillus sp. screened from waste management landfills and sewage treatment plants. Polym. Deg. Stab. 2018, 149, 52–68. [Google Scholar] [CrossRef]
- Miloloža, M.; Ukić, Š.; Cvetnić, M.; Bolanča, T.; Kučić Grgić, D. Optimization of Polystyrene Biodegradation by Bacillus cereus and Pseudomonas alcaligenes Using Full Factorial Design. Polymers 2022, 14, 4299. [Google Scholar] [CrossRef]
- Klein, S.; Dimzon, I.K.; Eubeler, J.; Knepper, T.P. Analysis, Occurrence, and Degradation of microplastics in the aqueous environment. In Freshwater Microplastics: Emerging Environmental Contaminants? Wagner, M., Lambert, S., Eds.; Springer Open: Cham, Switzerland, 2018; pp. 51–67. [Google Scholar] [CrossRef]
- Rummel, C.D.; Jahnke, A.; Gorokhova, E.; Kühnel, D.; Schmitt-Jansen, M. Impacts of biofilm formation on the fate and potential effects of microplastic in the aquatic environment. Environ. Sci. Technol. Lett. 2017, 4, 258–267. [Google Scholar] [CrossRef]
- Chandra, P.; Enespa; Singh, D.P. Microplastic degradation by bacteria in aquatic ecosystem. In Microorganisms for Sustainable Environment and Health; Chowdhary, P., Raj, A., Verma, D., Akhter, Y., Eds.; Elsevier: Chennai, India, 2020; pp. 431–467. [Google Scholar] [CrossRef]
- Tokiwa, Y.; Calabia, B.; Ugwu, C.; Aiba, S. Biodegradability of plastics. Int. J. Mol. Sci. 2009, 10, 3722–3742. [Google Scholar] [CrossRef]
- Pandey, S.P.; Shukla, T.; Dhote, V.K.; Mishra, D.K.; Maheshwari, R.; Tekade, R.K. Use of polymers in controlled release of active agents. In Basic Fundamentals of Drug Delivery; Tekade, R.K., Ed.; Academic Press: Chennai, India, 2019; pp. 113–172. [Google Scholar] [CrossRef]
- Wiesinger, H.; Wang, Z.; Hellweg, S. Deep Dive into Plastic Monomers, Additives, and Processing Aids. Environ. Sci. Technol. 2021, 55, 9339–9351. [Google Scholar] [CrossRef]
- Kubowicz, S.; Booth, A.M. Biodegradability of plastics: Challenges and misconceptions. Environ. Sci. Technol. 2017, 51, 12058–12060. [Google Scholar] [CrossRef]
- Wilkes, R.A.; Aristilde, L. Degradation and metabolism of synthetic plastics and associated products by Pseudomonas sp.: Capabilities and challenges. J. Appl. Microbiol. 2017, 123, 582–593. [Google Scholar] [CrossRef]
- Auta, H.S.; Emenike, C.U.; Fauziah, S.H. Screening of Bacillus strains isolated from mangrove ecosystems in Peninsular Malaysia for microplastic degradation. Environ. Pollut. 2017, 231, 1552–1559. [Google Scholar] [CrossRef] [PubMed]
- Auta, H.S.; Emenike, C.U.; Jayanthi, B.; Fauziah, S.H. Growth kinetics and biodeterioration of polypropylene microplastics by Bacillus sp. and Rhodococcus sp. isolated from mangrove sediment. Mar. Pollut. Bull. 2018, 127, 15–21. [Google Scholar] [CrossRef] [PubMed]
- Yang, J.; Yang, Y.; Wu, W.-M.; Zhao, J.; Jiang, L. Evidence of polyethylene biodegradation by bacterial strains from the guts of plastic-eating waxworms. Environ. Sci. Technol. 2014, 48, 13776–13784. [Google Scholar] [CrossRef] [PubMed]
- Zhang, G.-L.; Wu, Y.-T.; Qian, X.-P.; Meng, Q. Biodegradation of crude oil by Pseudomonas aeruginosa in the presence of rhamnolipids. J. Zhejiang Univ. Sci. B 2005, 6, 725–730. [Google Scholar] [CrossRef]
- Liu, H.; Yang, G.; Jia, H.; Sun, B. Crude Oil Degradation by a Novel Strain Pseudomonas aeruginosa AQNU-1 Isolated from an Oil-Contaminated Lake Wetland. Processes 2022, 10, 307. [Google Scholar] [CrossRef]
- Yoon, M.G.; Jeon, H.; Kim, M.N. Biodegradation of polyethylene by a soil bacterium and AlkB cloned recombinant cell. J. Bioremediat. Biodegrad. 2012, 3, 145. [Google Scholar] [CrossRef]
- Cregut, M.; Bedas, M.; Durand, M.-J.; Thouand, G. New insights into polyurethane biodegradation and realistic prospects for the development of a sustainable waste recycling process. Biotechnol. Adv. 2013, 31, 1634–1647. [Google Scholar] [CrossRef]
- Nomura, N.; Shigeno-Akutsu, Y.; Nakajima-Kambe, T.; Nakahara, T. Cloning and sequence analysis of a polyurethane esterase of Comamonas acidovorans TB-35, and its primary structure. J. Ferment. Bioeng. 1998, 86, 339–345. [Google Scholar] [CrossRef]
- Lee, H.M.; Kim, H.R.; Jeon, E.; Yu, H.C.; Lee, S.; Li, J.; Kim, D.-H. Evaluation of the biodegradation efficiency of four various types of plastics by Pseudomonas aeruginosa isolated from the gut extract of superworms. Microorganisms 2020, 8, 1341. [Google Scholar] [CrossRef]
- Farzi, A.; Dehnad, A.; Fotouhi, A.F. Biodegradation of Polyethylene Terephthalate Waste using Streptomyces species and Kinetic Modeling of the Process. Biocat. Agric. Biotechnol. 2019, 17, 25–31. [Google Scholar] [CrossRef]
- Yoshida, S.; Hiraga, K.; Takehana, T.; Taniguchi, I.; Yamaji, H.; Maeda, Y.; Toyohara, K.; Miyamoto, K.; Kimura, Y.; Oda, K. A bacterium that degrades and assimilates poly(ethylene terephthalate). Science 2016, 35, 1196–1199. [Google Scholar] [CrossRef] [PubMed]
- Anwar, M.S.; Kapri, A.; Chaudhry, V.; Mishra, A.; Ansari, M.W.; Souche, Y.; Nautiyal, C.S.; Zaidi, M.G.H.; Goel, R. Response of indigenously developed bacterial consortia in progressive degradation of polyvinyl chloride. Protoplasma 2016, 253, 1023–1032. [Google Scholar] [CrossRef] [PubMed]
- Giacomucci, L.; Raddadi, N.; Soccio, M.; Lotti, N.; Fava, F. Polyvinyl chloride biodegradation by Pseudomonas citronellolis and Bacillus flexus. N. Biotechnol. 2019, 52, 35–41. [Google Scholar] [CrossRef]
- Paço, A.; Duarte, K.; da Costa, J.P.; Santos, P.S.M.; Pereira, R.; Pereira, M.E.; Freitas, A.C.; Duarte, A.C.; Rocha-Santos, T.A.P. Biodegradation of polyethylene microplastics by the marine fungus Zalerion maritimum. Sci. Total Environ. 2017, 586, 10–15. [Google Scholar] [CrossRef]
- Sangeetha Devi, R.; Rajesh Kannan, V.; Nivas, D.; Kannan, K.; Chandru, S.; Robert Antony, A. Biodegradation of HDPE by Aspergillus spp. from marine ecosystem of Gulf of Mannar, India. Mar. Pollut. Bull. 2015, 96, 32–40. [Google Scholar] [CrossRef]
- DSouza, G.C.; Sheriff, R.S.; Ullanat, V.; Shrikrishna, A.; Joshi, A.V.; Hiremath, L.; Entoori, K. Fungal biodegradation of low-density polyethylene using consortium of Aspergillus species under controlled conditions. Heliyon 2021, 7, e07008. [Google Scholar] [CrossRef] [PubMed]
- Ali, M.I.; Ahmed, S.; Javed, I.; Ali, N.; Atiq, N.; Hameed, A.; Robson, G. Biodegradation of starch blended polyvinyl chloride films by isolated Phanerochaete chrysosporium PV1. Int. J. Environ. Sci. Technol. 2014, 11, 339–348. [Google Scholar] [CrossRef]
- Kundungal, H.; Gangarapu, M.; Sarangapani, S.; Patchaiyappan, A.; Devipriya, S.P. Efficient biodegradation of polyethylene (HDPE) waste by the plastic-eating lesser waxworm (Achroia grisella). Environ. Sci. Pollut. Res. Int. 2019, 26, 18509–18519. [Google Scholar] [CrossRef]
- Billen, P.; Khalifa, L.; Van Gerven, F.; Tavernier, S.; Spatari, S. Technological application potential of polyethylene and polystyrene biodegradation by macro-organisms such as mealworms and wax moth larvae. Sci. Total Environ. 2020, 735, 139521. [Google Scholar] [CrossRef]
- Song, Y.; Qiu, R.; Hu, J.; Li, X.; Zhang, X.; Chen, Y.; Wu, W.-M.; He, D. Biodegradation and disintegration of expanded polystyrene by land snails Achatina fulica. Sci. Total Environ. 2020, 746, 141289. [Google Scholar] [CrossRef]
- Kumar, V.; Sharma, N.; Duhan, L.; Pasrija, R.; Thomas, J.; Umesh, M.; Lakkaboyana, S.K.; Andler, R.; Vangnai, A.S.; Vithanage, M.; et al. Microbial engineering strategies for synthetic microplastics clean up: A review on recent approaches. Environ. Toxicol. Pharmacol. 2023, 98, 104045. [Google Scholar] [CrossRef] [PubMed]
- Anand, U.; Dey, S.; Bontempi, E.; Ducoli, S.; Vethaak, A.D.; Dey, A.; Federici, S. Biotechnological methods to remove microplastics: A review. Environ. Chem. Lett. 2023, 1–24. [Google Scholar] [CrossRef] [PubMed]
- Yoda, I.; Koseki, H.; Tomita, M.; Shida, T.; Horiuchi, H.; Sakoda, H.; Osaki, M. Effect of surface roughness of biomaterials on Staphylococcus epidermidis adhesion. BMC Microbiol. 2014, 14, 234. [Google Scholar] [CrossRef] [PubMed]
- Yu, P.; Wang, C.; Zhou, J.; Jiang, L.; Xue, J.; Li, W. Influence of surface properties on adhesion forces and attachment of Streptococcus mutans to Zirconia in vitro. Biomed. Res. Int. 2016, 2016, 8901253. [Google Scholar] [CrossRef]
- Ameta, S.C.; Ameta, R. Advanced Oxidation Processes for Wastewater Treatment: Emerging Green Chemical Technology; Academic Press: Chennai, India, 2018. [Google Scholar]
- Feldman, D. Polymer Weathering: Photo-Oxidation. J. Polym. Environ. 2002, 10, 163–173. [Google Scholar] [CrossRef]
- Kumar, V.; Shah, M.P. Advanced oxidation processes for complex wastewater treatment. In Advanced Oxidation Processes for Effluent Treatment Plants; Shah, M.P., Ed.; Elsevier: Amsterdam, The Netherlands, 2021; pp. 1–31. [Google Scholar] [CrossRef]
- Biń, A.K.; Sobera-Madej, S. Comparison of the advanced oxidation processes (UV, UV/H2O2 and O3) for the removal of antibiotic substances during wastewater treatment. Ozone Sci. Eng. 2012, 34, 136–139. [Google Scholar] [CrossRef]
- Verma, R.; Kundu, L.M.; Pandey, L.M. Decontamination of distillery spent wash through advanced oxidation methods, In Advanced Oxidation Processes for Effluent Treatment PlantsShah, Shah, M.P., Ed; Elsevier: Amsterdam, The Netherlands, 2021; pp. 103–117. [Google Scholar]
- Zielnik, A. Basics of Polymer Degradation in Weathering. Technical Guide 102; Atlas Material Testing Technology LLC: 2018. Available online: https://www.atlas-mts.com/-/media/ametekatlas/files/knowledgecenter/library/technicaldocuments/atlas_tg102_basics%20of%20polymer%20degradation%20in%20weathering_2018-03-01_az.pdf?la=en (accessed on 9 November 2022).
- Fechine, G.J.M.; Souto-Maior, R.M.; Rabello, M.S. Structural changes during photodegradation of poly(ethylene terephthalate). J. Mater. Sci. 2002, 37, 4979–4984. [Google Scholar] [CrossRef]
- Wilken, R.; Holländer, A.; Behnisch, J. Vacuum Ultraviolet Photolysis of Polyethylene, Polypropylene, and Polystyrene. Plasmas Polym. 2002, 7, 185–205. [Google Scholar] [CrossRef]
- Moussavi, G.; Shekoohiyan, S. Simultaneous nitrate reduction and acetaminophen oxidation using the continuous-flow chemical-less VUV process as an integrated advanced oxidation and reduction process. J. Hazard. Mater. 2016, 318, 329–338. [Google Scholar] [CrossRef]
- Fechine, G.J.M.; Rabello, M.S.; Souto-Maior, R.M. The effect of ultraviolet stabilizers on the photodegradation of poly(ethylene terephthalate). Polym. Degrad. Stab. 2002, 75, 153–159. [Google Scholar] [CrossRef]
- Hurley, C.R.; Leggett, G.J. Quantitative investigation of the photodegradation of polyethylene terephthalate film by friction force microscopy, contact-angle goniometry, and X-ray photoelectron spectroscopy. ACS Appl. Mater. Interfaces 2009, 1, 1688–1697. [Google Scholar] [CrossRef] [PubMed]
- Hanpanich, O.; Wongkongkatep, P.; Pongtharangkul, T.; Wongkongkatep, J. Turning hydrophilic bacteria into biorenewable hydrophobic material with potential antimicrobial activity via interaction with chitosan. Bioresource Technol. 2017, 230, 97–102. [Google Scholar] [CrossRef] [PubMed]
- Bayry, J.; Aimanianda, V.; Guijarro, J.I.; Sunde, M.; Latgé, J.-P. Hydrophobins—Unique Fungal Proteins. PLoS Pathog. 2012, 8, e1002700. [Google Scholar] [CrossRef] [PubMed]
- Ghosh, S.; Qureshi, A.; Purohit, H.J. Microbial degradation of plastics: Biofilms and degradation pathways. In Contaminants in Agriculture and Environment: Health Risks and Remediation; Kumar, V., Kumar, R., Singh, J., Kumar, P., Eds.; Agro Environ Media: Haridwar, India, 2019; pp. 184–199. [Google Scholar] [CrossRef]
- Krasowska, A.; Sigler, K. How microorganisms use hydrophobicity and what does this mean for human needs? Front. Cell. Infect. Microbiol. 2014, 4, 112. [Google Scholar] [CrossRef]
- Gómez-Méndez, L.D.; Moreno-Bayona, D.A.; Poutou-Piñales, R.A.; Salcedo-Reyes, J.C.; Pedroza-Rodríguez, A.M.; Vargas, A.; Bogoya, J.M. Biodeterioration of plasma pretreated LDPE sheets by Pleurotus ostreatus. PLoS ONE 2018, 13, e0203786. [Google Scholar] [CrossRef]
- Gilan, I.; Hadar, Y.; Sivan, A. Colonization, biofilm formation and biodegradation of polyethylene by a strain of Rhodococcus ruber. Appl. Microbiol. Biotechnol. 2004, 65, 97–104. [Google Scholar] [CrossRef]
- López Gejo, J.; Manoj, N.; Sumalekshmy, S.; Glieman, H.; Schimmel, T.; Wörner, M.; Braun, A.M. Vacuum-ultraviolet photochemically initiated modification of polystyrene surfaces: Morphological changes and mechanistic investigations. Photochem. Photobiol. Sci. 2006, 5, 948–954. [Google Scholar] [CrossRef]
- Martínez, J.G.; Benavides, R.; Guerrero, C.; Reyes, B.E. UV sensitisation of polyethylenes for grafting of maleic anhydride. Polym. Degrad. Stab. 2004, 86, 129–134. [Google Scholar] [CrossRef]
- Rånby, B.; Rabek, J.F.; Canbäck, G. Investigation of PVC Degradation Mechanism by ESR. J. Macromol. Sci.-Pure Appl. Chem. 1978, 12, 587–608. [Google Scholar] [CrossRef]
- Petit, C.; Bachmann, J.; Michalek, L.; Catel, Y.; Blasco, E.; Blinco, J.P.; Unterreiner, A.-N.; Barner-Kowollik, C. UV-induced photolysis of polyurethanes. Chem. Commun. 2021, 57, 2911–2914. [Google Scholar] [CrossRef]
- Hoyle, C.E.; Ezzell, K.S.; No, Y.G.; Malone, K.; Thames, S.F. Investigation of the photolysis of polyurethanes based on 4,4′-methylene bis(phenyldiisocyanate) (MDI) using laser flash photolysis and model compounds. Polym. Degrad. Stab. 1989, 25, 325–343. [Google Scholar] [CrossRef]
- Sang, T.; Wallis, C.J.; Hill, G.; Britovsek, G.J.P. Polyethylene terephthalate degradation under natural and accelerated weathering conditions. Eur. Polym. J. 2020, 136, 109873. [Google Scholar] [CrossRef]
- Deng, Y.; Zhao, R. Advanced oxidation processes (AOPs) in wastewater treatment. Curr. Pollut. Rep. 2015, 1, 167–176. [Google Scholar] [CrossRef]
- Kaur, H.; Hippargi, G.; Pophali, G.R.; Bansiwal, A.K. Treatment methods for removal of pharmaceuticals and personal care products from domestic wastewater. In Pharmaceuticals and Personal Care Products: Waste Management and Treatment Technology; Prasad, M.N.V., Vithanage, M., Kapley, A., Eds.; Butterworth-Heinemann: Chennai, India, 2019; pp. 129–150. [Google Scholar] [CrossRef]
- Cvetnić, M.; Novak Stankov, M.; Kovačić, M.; Ukić, Š.; Bolanča, T.; Kušić, H.; Rasulev, B.; Dionysiou, D.D.; Lončarić Božić, A. Key structural features promoting radical driven degradation of emerging contaminants in water. Environ. Int. 2019, 124, 38–48. [Google Scholar] [CrossRef]
- Du, P.; Wang, J.; Sun, G.; Chen, L.; Liu, W. Hydrogen atom abstraction mechanism for organic compound oxidation by acetylperoxyl radical in Co(II)/peracetic acid activation system. Water Res. 2022, 212, 118113. [Google Scholar] [CrossRef] [PubMed]
- Chen, C.; Lei, P.; Ji, H.; Ma, W.; Zhao, J. Photocatalysis by Titanium Dioxide and Polyoxometalate/TiO2 Cocatalysts. Intermediates and Mechanistic Study. Environ. Sci. Technol. 2004, 38, 329–337. [Google Scholar] [CrossRef]
- Armstrong, D.A.; Huie, R.E.; Koppenol, W.H.; Lymar, S.V.; Merényi, G.; Neta, P.; Ruscic, B.; Stanbury, D.M.; Steenken, S.; Wardman, P. Standard electrode potentials involving radicals in aqueous solution: Inorganic radicals (IUPAC Technical Report). Pure Appl. Chem. 2015, 87, 1139–1150. [Google Scholar] [CrossRef]
- Hulea, V.; Dumitriu, E.; Fajula, F. Mild Oxidation of Organosulfur Compounds with H2O2 over Metal-Containing Microporous and Mesoporous Catalysts. Catalysts 2021, 11, 867. [Google Scholar] [CrossRef]
- Elovitz, M.S.; Shemer, H.; Peller, J.R.; Vinodgopal, K.; Sivaganesan, M.; Linden, K.G. Hydroxyl radical rate constants: Comparing UV/H2O2 and pulse radiolysis for environmental pollutants. J. Water Supply Res. T. 2008, 57, 391–401. [Google Scholar] [CrossRef]
- Wang, G. Destruction of humic acid in water by UV light–catalyzed oxidation with hydrogen peroxide. Water Res. 2000, 34, 3882–3887. [Google Scholar] [CrossRef]
- Hüffer, T.; Weniger, A.-K.; Hofmann, T. Sorption of organic compounds by aged polystyrene microplastic particles. Environ. Pollut. 2018, 236, 218–225. [Google Scholar] [CrossRef] [PubMed]
- Easton, T.; Koutsos, V.; Chatzisymeon, E. Removal of polyester fibre microplastics from wastewater using a UV/H2O2 oxidation process. J. Environ. Chem. Eng. 2023, 11, 109057. [Google Scholar] [CrossRef]
- Hankett, J.M.; Welle, A.; Lahann, J.; Chen, Z. Evaluating UV/H2O2 Exposure as a DEHP Degradation Treatment for Plasticized PVC. J. Appl. Polym. Sci. 2014, 131, 40649. [Google Scholar] [CrossRef]
- Shao, Y.; Pang, Z.; Wang, L.; Liu, X. Efficient Degradation of Acesulfame by Ozone/Peroxymonosulfate Advanced Oxidation Process. Molecules 2019, 24, 2874. [Google Scholar] [CrossRef] [PubMed]
- Kovacic, M.; Kusic, H.; Loncaric Bozic, A.; Dionysiou, D.D. Advanced Oxidation Processes. In Encyclopedia of Water: Science, Technology, and Society; Maurice, P.A., Ed.; Wiley: Hoboken, NJ, USA, 2019; Volume 4, pp. 1925–1940. [Google Scholar] [CrossRef]
- Gong, J.; Liu, Y.; Sun, X. O3 and UV/O3 oxidation of organic constituents of biotreated municipal wastewater. Water Res. 2008, 42, 1238–1244. [Google Scholar] [CrossRef]
- Fischbacher, A.; von Sonntag, J.; von Sonntag, C.; Schmidt, T.C. The •OH Radical Yield in the H2O2 + O3 (Peroxone) Reaction. Environ. Sci. Technol. 2013, 47, 9959–9964. [Google Scholar] [CrossRef]
- Patel, D.; Wu, J.; Chan, P.; Upreti, S.; Turcotte, G.; Ye, T. Surface modification of low density polyethylene films by homogeneous catalytic ozonation. Chem. Eng. Res. Des. 2012, 90, 1800–1806. [Google Scholar] [CrossRef]
- Zafar, R.; Park, S.Y.; Kim, C.G. Surface modification of polyethylene microplastic particles during the aqueous-phase ozonation process. Environ. Eng. Res. 2021, 26, 200412. [Google Scholar] [CrossRef]
- Lee, R.; Coote, M.L. Mechanistic insights into ozone-initiated oxidative degradation of saturated hydrocarbons and polymers. Phys. Chem. Chem. Phys. 2016, 18, 24663–24671. [Google Scholar] [CrossRef]
- Swanson, T.J.; Jamal, Z.; Chapman, J. Ozone Toxicity. [Updated 15 November 2022]. In StatPearls [Internet]; StatPearls Publishing: Treasure Island, FL, USA, 2022. Available online: https://www.ncbi.nlm.nih.gov/books/NBK430751/ (accessed on 18 December 2022).
- Nuvolone, D.; Petri, D.; Voller, F. The effects of ozone on human health. Environ. Sci. Pollut. Res. 2017, 25, 8074–8088. [Google Scholar] [CrossRef]
- Hamd, W.; Daher, E.A.; Tofa, T.S.; Dutta, J. Recent Advances in Photocatalytic Removal of Microplastics: Mechanisms, Kinetic Degradation, and Reactor Design. Front. Mar. Sci. 2022, 9, 885614. [Google Scholar] [CrossRef]
- Chen, Y.; Miller, C.J.; Waite, T.D. Heterogeneous Fenton Chemistry Revisited: Mechanistic Insights from Ferrihydrite-Mediated Oxidation of Formate and Oxalate. Environ. Sci. Technol. 2021, 55, 14414–14425. [Google Scholar] [CrossRef] [PubMed]
- Jain, B.; Singh, A.K.; Kim, H.; Lichtfouse, E.; Sharma, V.K. Treatment of organic pollutants by homogeneous and heterogeneous Fenton reaction processes. Environ. Chem. Lett. 2018, 16, 947–967. [Google Scholar] [CrossRef]
- Ameta, R.; Chohadia, A.K.; Jain, A.; Punjabi, P.B. Fenton and Photo-Fenton Processes. In Advanced Oxidation Processes for Waste Water Treatment: Emerging Green Chemical Technology; Ameta, S.C., Ameta, R., Eds.; Academic Press: Chennai, India, 2018; pp. 49–87. [Google Scholar] [CrossRef]
- Sreeja, P.H.; Sosamony, K.J. A Comparative Study of Homogeneous and Heterogeneous Photo-fenton Process for Textile Wastewater Treatment. Proc. Technol. 2016, 24, 217–223. [Google Scholar] [CrossRef]
- Mackuľak, T.; Takáčová, A.; Gál, M.; Marton, M.; Ryba, J. PVC degradation by Fenton reaction and biological decomposition. Polym. Degrad. Stab. 2015, 120, 226–231. [Google Scholar] [CrossRef]
- Ortiz, D.; Munoz, M.; Nieto-Sandoval, J.; Romera-Castillo, C.; de Pedro, Z.M.; Casas, J.A. Insights into the degradation of microplastics by Fenton oxidation: From surface modification to mineralization. Chemosphere 2022, 309, 136809. [Google Scholar] [CrossRef]
- Pignatello, J.J.; Oliveros, E.; MacKay, A. Advanced Oxidation Processes for Organic Contaminant Destruction Based on the Fenton Reaction and Related Chemistry. Crit. Rev. Environ. Sci. Technol. 2006, 36, 1–84. [Google Scholar] [CrossRef]
- Wang, J.-C.; Wang, H. Fenton treatment for flotation separation of polyvinyl chloride from plastic mixture. Sep. Purif. Technol. 2017, 187, 415–425. [Google Scholar] [CrossRef]
- Piazza, V.; Uheida, A.; Gambardella, C.; Garaventa, F.; Faimali, M.; Dutta, J. Ecosafety Screening of Photo-Fenton Process for the Degradation of Microplastics in Water. Front. Mar. Sci. 2022, 8, 791431. [Google Scholar] [CrossRef]
- Liu, P.; Qian, L.; Wang, H.; Zhan, X.; Lu, K.; Gu, C.; Gao, S. New insights into the aging behavior of microplastics accelerated by advanced oxidation processes. Environ. Sci. Technol. 2019, 53, 3579–3588. [Google Scholar] [CrossRef]
- Miao, F.; Liu, Y.; Gao, M.; Yu, X.; Xiao, P.; Wang, M.; Wang, S.; Wang, X. Degradation of polyvinyl chloride microplastics via an electro-Fenton-like system with a TiO2/graphite cathode. J. Hazard. Mater. 2020, 339, 123023. [Google Scholar] [CrossRef] [PubMed]
- Zhou, D.; Zhang, H.; Chen, L. Sulfur-replaced Fenton systems: Can sulfate radical substitute hydroxyl radical for advanced oxidation technologies? J. Chem. Technol. Biotechnol. 2015, 90, 775–779. [Google Scholar] [CrossRef]
- Moreno-Andrés, J.; Rueda-Márquez, J.J.; Homola, T.; Vielma, J.; Moríñigo, M.Á.; Mikola, A.; Sillanpää, M.; Acevedo-Merino, A.; Nebot, E.; Levchuk, I. A comparison of photolytic, photochemical and photocatalytic processes for disinfection of recirculation aquaculture systems (RAS) streams. Water Res. 2020, 181, 115928. [Google Scholar] [CrossRef]
- Lee, Y.; Lee, S.; Cui, M.; Ren, Y.; Park, B.; Ma, J.; Han, Z.; Khim, J. Activation of peroxodisulfate and peroxymonosulfate by ultrasound with different frequencies: Impact on ibuprofen removal efficient, cost estimation and energy analysis. Chem. Eng. J. 2021, 413, 127487. [Google Scholar] [CrossRef]
- Cai, P.; Zhao, J.; Zhang, X.; Zhang, T.; Yin, G.; Chen, S.; Dong, C.-L.; Huang, Y.-C.; Sun, Y.; Yang, D.; et al. Synergy between cobalt and nickel on NiCo2O4 nanosheets promotes peroxymonosulfate activation for efficient norfloxacin degradation. Appl. Catal. B-Environ. 2022, 306, 121091. [Google Scholar] [CrossRef]
- Zhang, Y.; Jiang, H.; Wang, H.; Wang, C. Separation of hazardous polyvinyl chloride from waste plastics by flotation assisted with surface modification of ammonium persulfate: Process and mechanism. J. Hazard. Mater. 2020, 389, 121918. [Google Scholar] [CrossRef] [PubMed]
- Kwon, M.; Royce, A.; Gong, Y.; Ishida, K.P.; Stefan, M. UV/chlorine vs. UV/H2O2 for water reuse at Orange County Water District, CA: A pilot study. Environ. Sci.-Water Res. 2020, 6, 2416–2431. [Google Scholar] [CrossRef]
- Renpenni, J. European Drinking Water Directive—An Overview of the New Drinking Water Standards. Available online: https://www.analyteguru.com/t5/Blog/European-Drinking-Water-Directive-An-Overview-of-the-New/ba-p/15286 (accessed on 30 November 2022).
- Jin, J.; El-Din, M.G.; Bolton, J.R. Assessment of the UV/Chlorine process as an advanced oxidation process. Water Res. 2011, 45, 1890–1896. [Google Scholar] [CrossRef]
- Carrell Morris, J. The acid ionization constant of HOCl from 5 to 35°. J. Phys. Chem. 1966, 70, 3798–3805. [Google Scholar] [CrossRef]
- Wang, L.; Liu, X. Degradation of Aqueous Polycyclic Musk Tonalide by Ultraviolet-Activated Free Chlorine. Processes 2019, 7, 95. [Google Scholar] [CrossRef]
- Guo, K.; Wu, Z.; Chen, C.; Fang, J. UV/chlorine process: An efficient advanced oxidation process with multiple radicals and functions in water treatment. Acc. Chem. Res. 2022, 55, 286–297. [Google Scholar] [CrossRef] [PubMed]
- Chuang, Y.-H.; Wu, K.-L.; Lin, W.-C.; Shi, H.-J. Photolysis of Chlorine Dioxide under UVA Irradiation: Radical Formation, Application in Treating Micropollutants, Formation of Disinfection Byproducts, and Toxicity under Scenarios Relevant to Potable Reuse and Drinking Water. Environ. Sci. Technol. 2022, 56, 2593–2604. [Google Scholar] [CrossRef] [PubMed]
- Hua, G.H.; Reckhow, D.A. Comparison of disinfection byproduct formation from chlorine and alternative disinfectants. Water Res. 2007, 41, 1667–1678. [Google Scholar] [CrossRef] [PubMed]
- Liu, Z.; Xu, B.; Zhang, T.-Y.; Hu, C.-Y.; Tang, Y.-L.; Dong, Z.-Y.; Cao, T.-C.; El-Din, M.G. Formation of disinfection by-products in a UV-activated mixed chlorine/chloramine system. J. Hazard. Mater. 2021, 407, 124373. [Google Scholar] [CrossRef]
- Ganiev, I.M.; Timergazin, Q.K.; Kabalnova, N.N.; Shereshovets, V.V.; Tolstikov, G.A. Reactions of chlorine dioxide with organic compounds. Eurasian Chem.-Technol. J. 2005, 7, 1–31. [Google Scholar] [CrossRef]
- Sodium Chlorite Chlorine Dioxide Generators. Available online: https://www.oxy.com/globalassets/documents/chemicals/products/other-essentials/chlorine-dioxide-generators.pdf (accessed on 30 November 2022).
- Rayson, M.S.; Altarawneh, M.; Mackie, J.C.; Kennedy, E.M.; Dlugogorski, B.Z. Theoretical Study of the Ammonia-Hypochlorous Acid Reaction Mechanism. J. Phys. Chem. A 2010, 114, 2597–2606. [Google Scholar] [CrossRef]
- Khajouei, G.; Finklea, H.O.; Lin, L.-S. UV/chlorine advanced oxidation processes for degradation of contaminants in water and wastewater: A comprehensive review. J. Environ. Chem. Eng. 2022, 10, 107508. [Google Scholar] [CrossRef]
- Tian, F.-X.; Ye, W.-K.; Xu, B.; Hu, X.-J.; Ma, S.-X.; Lai, F.; Gao, Y.-Q.; Xing, H.-B.; Xia, W.-H.; Wang, B. Comparison of UV-induced AOPs (UV/Cl2, UV/NH2Cl, UV/ClO2 and UV/H2O2) in the degradation of iopamidol: Kinetics, energy requirements and DBPs-related toxicity in sequential disinfection processes. Chem. Eng. J. 2020, 398, 125570. [Google Scholar] [CrossRef]
- Jia, Y.; Chen, J.; Asahara, H.; Asoh, T.-A.; Uyama, H. Polymer surface oxidation by light-activated chlorine dioxide radical for metal–plastics adhesion. ACS Appl. Polym. Mater. 2019, 1, 3452–3458. [Google Scholar] [CrossRef]
- Kelkar, V.P.; Rolsky, C.B.; Pant, A.; Green, M.D.; Tongay, S.; Halden, R.U. Chemical and physical changes of microplastics during sterilization by chlorination. Water Res. 2019, 163, 114871. [Google Scholar] [CrossRef]
- Walsh, T. The Plastic Piping Industry in North America. In Applied Plastics Engineering Handbook: Processing, Materials, and Applications, 2nd ed.; Kutz, M., Ed.; William Andrew: Oxford, UK, 2017; pp. 697–716. [Google Scholar] [CrossRef]
- Anand, S.S.; Philip, B.K.; Mehendale, H.M. Chlorination Byproducts. In Encyclopedia of Toxicology, 3rd ed.; Wexler, P., Ed.; Academic Press: Amsterdam, Netherlands, 2014; pp. 855–859. [Google Scholar] [CrossRef]
- Devilliers, C.; Fayolle, B.; Laiarinandrasana, L.; Oberti, S.; Gaudichet-Maurin, E. Kinetics of chlorine-induced polyethylene degradation in water pipes. Polym. Degrad. Stab. 2011, 96, 1361–1368. [Google Scholar] [CrossRef]
- Whelton, A.J.; Dietrich, A.M. Critical considerations for the accelerated ageing of high-density polyethylene potable water materials. Polym. Degrad. Stab. 2009, 94, 1163–1175. [Google Scholar] [CrossRef]
- Yu, W.; Azhdar, B.; Andersson, D.; Reitberger, T.; Hassinen, J.; Hjertberg, T.; Gedde, U.W. Deterioration of polyethylene pipes exposed to water containing chlorine dioxide. Polym. Degrad. Stab. 2011, 96, 790–797. [Google Scholar] [CrossRef]
- Castagnetti, D.; Scirè Mammano, G.; Dragoni, E. Effect of chlorinated water on the oxidative resistance and the mechanical strength of polyethylene pipes. Polym. Test. 2011, 30, 277–285. [Google Scholar] [CrossRef]
- Miroka, S.M.; Smiley, T.D.; Tanko, J.M.; Dietrich, A.M. Reaction mechanism for oxidation and degradation of high density polyethylene in chlorinated water. Polym. Degrad. Stab. 2013, 98, 1369–1377. [Google Scholar] [CrossRef]
- D’Elia, E. Characteristics of Drinking Water Polyethylene Pipes Tested with the Purpose of Quality Certification—Historical Data, Trends and Their Potential Consequences. Master’s Thesis, Chalmers University of Technology, Gothenburg, Sweden, 2017. [Google Scholar]
- Samarth, N.B.; Mahanwar, P.A. Degradation of Polymer & Elastomer Exposed to Chlorinated Water—A Review. Open J. Org. Polym. Mater. 2021, 11, 1–50. [Google Scholar] [CrossRef]
- How Does Chlorine Affect Plastic Piping Systems? Available online: https://www.corzan.com/blog/how-does-chlorine-affect-plastic-piping-systems (accessed on 6 December 2022).
- Kowalska, B.; Klepka, T.; Kowalski, D. Influence of chlorinated water on mechanical properties of polyethylene and polyvinyl chloride pipes. WIT Trans. Built Environ. 2016, 165, 63–74. [Google Scholar] [CrossRef]
- Kathua, S.; Hsieh, Y.-L. Chlorine degradation of polyether-based polyurethane. J. Polym. Sci. A Polym. Chem. 1997, 35, 3263–3273. [Google Scholar] [CrossRef]
- Johansson, K.S. Surface Modification of Plastics. In Applied Plastics Engineering Handbook: Processing, Materials, and Applications, 2nd ed.; Kutz, M., Ed.; William Andrew Publishing: Cambridge, MA, USA, 2017; pp. 443–487. [Google Scholar] [CrossRef]
- Domonkos, M.; Tichá, P.; Trejbal, J.; Demo, P. Applications of Cold Atmospheric Pressure Plasma Technology in Medicine, Agriculture and Food Industry. Appl. Sci. 2021, 11, 4809. [Google Scholar] [CrossRef]
- Takamatsu, T.; Uehara, K.; Sasaki, Y.; Miyahara, H.; Matsumura, Y.; Iwasawa, A.; Ito, N.; Azuma, T.; Kohno, M.; Okino, A. Investigation of reactive species using various gas plasmas. RSC Adv. 2014, 4, 39901–39905. [Google Scholar] [CrossRef]
- Bolouki, N.; Kuan, W.-H.; Huang, Y.-Y.; Hsieh, J.-H. Characterizations of a Plasma-Water System Generated by Repetitive Microsecond Pulsed Discharge with Air, Nitrogen, Oxygen, and Argon Gases Species. Appl. Sci. 2021, 11, 6158. [Google Scholar] [CrossRef]
- Scally, L.; Gulan, M.; Weigang, L.; Cullen, P.J.; Milosavljevic, V. Significance of a Non-Thermal Plasma Treatment on LDPE Biodegradation with Pseudomonas Aeruginosa. Materials 2018, 11, 1925. [Google Scholar] [CrossRef] [PubMed]
- Rwahila, T.S.; Sugai, T.; Tokuchi, A.; Jiang, W. The Effect of Oxygen and Argon Gas Flow Rate on OH Radical Production and Dye Decolorization by Pulsed Discharge in Spray Droplet Reactor. IEEE Trans. Plasma Sci. 2019, 47, 4560–4566. [Google Scholar] [CrossRef]
- Mitrović, T.; Tomić, N.; Djukić-Vuković, A.; Dohčević-Mitrović, Z.; Lazović, S. Atmospheric Plasma Supported by TiO2 Catalyst for Decolourisation of Reactive Orange 16 Dye in Water. Waste Biomass Valor. 2020, 11, 6841–6854. [Google Scholar] [CrossRef] [PubMed]
- Rauschenbach, B. Plasma-Immersion-Implantation. In Encyclopedia of Materials: Science and Technology; Buschow, K.H.J., Cahn, R.W., Flemings, M.C., Ilschner, B., Kramer, E.J., Mahajan, S., Veyssière, P., Eds.; Elsevier: Amsterdam, The Netherlands, 2001; pp. 7023–7027. [Google Scholar] [CrossRef]
- Schmitt, B.R.; Kim, H.; Urban, M.W. Microwave Plasma Reactions of Imidazole on Poly(vinyl chloride) Surfaces: A Spectroscopic Study. J. Appl. Polym. Sci. 1999, 71, 1–6. [Google Scholar] [CrossRef]
- Braun, D. Thermal degradation of polyvinyl chloride. Pure Appl. Chem. 1971, 26, 173–192. [Google Scholar] [CrossRef]
- Wypych, G. Principles of thermal degradation. In PVC Degradation and Stabilization, 4th ed.; Wypych, G., Ed.; ChemTec Publishing: Toronto, ON, Canada, 2020; pp. 79–167. [Google Scholar] [CrossRef]
- Yao, Q.; Wilkie, C.A. Thermal Degradation of PVC in the Presence of Polystyrene. J. Vinyl Addit. Technol. 2001, 7, 26–36. [Google Scholar] [CrossRef]
- Lai, J.; Sunderland, B.; Xue, J.; Yan, S.; Zhao, W.; Folkard, M.; Michael, B.D.; Wang, Y. Study on hydrophilicity of polymer surfaces improved by plasma treatment. Appl. Surf. Sci. 2006, 252, 3375–3379. [Google Scholar] [CrossRef]
- Vesel, A.; Zaplotnik, R.; Mozetič, M.; Primc, G. Surface modification of PS polymer by oxygen-atom treatment from remote plasma: Initial kinetics of functional groups formation. Appl. Surf. Sci. 2021, 561, 150058. [Google Scholar] [CrossRef]
- Dejun, L.; Jie, Z.; Hanqing, G.; Mozhu, L.; Fuqing, D.; Jianfang, H. Surface Modification of Medical Polyurethane by Plasma Treatment. Chin. Phys. Lett. 1992, 9, 79–82. [Google Scholar] [CrossRef]
- Ma, S.; Kim, K.; Chun, S.; Moon, S.Y.; Hong, Y. Plasma-assisted advanced oxidation process by a multi-hole dielectric barrier discharge in water and its application to wastewater treatment. Chemosphere 2020, 243, 125377. [Google Scholar] [CrossRef] [PubMed]
- Arkatkar, A.; Juwarkar, A.A.; Bhaduri, S.; Uppara, P.V.; Doble, M. Growth of Pseudomonas and Bacillus biofilms on pretreated polypropylene surface. Int. Biodeterior. Biodegrad. 2010, 64, 530–536. [Google Scholar] [CrossRef]
- Jeyakumar, D.; Chirsteen, J.; Mukesh, D. Synergistic effects of pretreatment and blending on fungi mediated biodegradation of polypropylenes. Bioresour. Technol. 2013, 148, 78–85. [Google Scholar] [CrossRef] [PubMed]
- Tribedi, P.; Dey, S. Pre-oxidation of low-density polyethylene (LDPE) by ultraviolet light (UV) promotes enhanced degradation of LDPE in soil. Environ. Monit. Assess. 2017, 189, 624. [Google Scholar] [CrossRef]
- Hadiyanto, H.; Khoironi, A.; Dianratri, I.; Huda, K.; Suherman, S.; Muhammad, F. Biodegradation of oxidized high-density polyethylene and oxo-degradable plastic using microalgae Dunaliella salina. Env. Pollut. Bioavail. 2022, 34, 469–481. [Google Scholar] [CrossRef]
- Sullivan, K.P.; Werner, A.Z.; Ramirez, K.J.; Ellis, L.D.; Bussard, J.; Black, B.A.; Brandner, D.G.; Bratti, F.; Buss, B.L.; Dong, X.; et al. Mixed plastics waste valorization via tandem chemical oxidation and biological funneling. Science 2022, 378, 207–2011. [Google Scholar] [CrossRef]




| Reaction | E0/V |
|---|---|
| 2.740 | |
| 2.730 | |
| 2.437 | |
| 2.432 | |
| 2.126 | |
| 1.912 | |
| 1.902 | |
| 1.6 | |
| 1.46 | |
| 1.39 | |
| 1.04 | |
| 0.935 | |
| –0.15 | |
| –2.31 |
Disclaimer/Publisher’s Note: The statements, opinions and data contained in all publications are solely those of the individual author(s) and contributor(s) and not of MDPI and/or the editor(s). MDPI and/or the editor(s) disclaim responsibility for any injury to people or property resulting from any ideas, methods, instructions or products referred to in the content. |
© 2023 by the authors. Licensee MDPI, Basel, Switzerland. This article is an open access article distributed under the terms and conditions of the Creative Commons Attribution (CC BY) license (https://creativecommons.org/licenses/by/4.0/).
Share and Cite
Bule Možar, K.; Miloloža, M.; Martinjak, V.; Cvetnić, M.; Kušić, H.; Bolanča, T.; Kučić Grgić, D.; Ukić, Š. Potential of Advanced Oxidation as Pretreatment for Microplastics Biodegradation. Separations 2023, 10, 132. https://doi.org/10.3390/separations10020132
Bule Možar K, Miloloža M, Martinjak V, Cvetnić M, Kušić H, Bolanča T, Kučić Grgić D, Ukić Š. Potential of Advanced Oxidation as Pretreatment for Microplastics Biodegradation. Separations. 2023; 10(2):132. https://doi.org/10.3390/separations10020132
Chicago/Turabian StyleBule Možar, Kristina, Martina Miloloža, Viktorija Martinjak, Matija Cvetnić, Hrvoje Kušić, Tomislav Bolanča, Dajana Kučić Grgić, and Šime Ukić. 2023. "Potential of Advanced Oxidation as Pretreatment for Microplastics Biodegradation" Separations 10, no. 2: 132. https://doi.org/10.3390/separations10020132
APA StyleBule Možar, K., Miloloža, M., Martinjak, V., Cvetnić, M., Kušić, H., Bolanča, T., Kučić Grgić, D., & Ukić, Š. (2023). Potential of Advanced Oxidation as Pretreatment for Microplastics Biodegradation. Separations, 10(2), 132. https://doi.org/10.3390/separations10020132

