Abstract
Qingkailing capsules are a classic traditional Chinese medicine prescription with remarkable clinical effects for the treatment of fevers. However, the chemical components of Qingkailing capsules are still unclear. To obtain and characterize the chemical profile of Qingkailing capsules, the present study applied a rapid, accurate, and sensitive method using ultra-high-performance liquid chromatography combined with Fourier transform ion cyclotron resonance mass spectrometry (UHPLC-FT-ICR-MS) to perform a comprehensive chemical characterization of Qingkailing capsules. Leveraging the high separation speed and good separation of UHPLC, the accurate mass data (within 5 ppm) and fragment ions, a total of 276 compounds, including 67 flavonoids and their glycosides, 52 organic acids, 75 terpenoids, 23 steroids, 22 phenylpropanoids, and 37 other compounds, were unambiguously or tentatively identified. This comprehensive analysis of the chemical components of Qingkailing capsules contributes to the quality evaluation and provides a scientific and reasonable basis for further study of prototype components and metabolites in vivo and pharmacological research, ultimately facilitating the advancement of Qingkailing capsules for further development and the therapeutic use of Qingkailing capsules in clinical applications.
1. Introduction
Qingkailing capsules are a well-known traditional Chinese medicine (TCM) prescription with remarkable clinical effects in the treatment of fever and respiratory diseases in China. According to the Pharmacopoeia of the People’s Republic of China (2020 edition), this prescription is composed of Banlangen (Isatidis Radix), Jinyinhua (Lonicerae Japonicae Flos), Zhenzhumu (Margaritifera Concha), Shuiniujiao (Bubali Cornu), and Zhizi (Gardeniae Fructus), cholic acid, hyodeoxycholic acid, and baicalin. In this formula, Isatidis Radix exhibits antibacterial, antiviral, antitumor, antioxidant, and anti-inflammatory properties [1]. Lonicerae Japonicae Flos provides antiviral, antioxidant, and anti-inflammatory benefits, along with anti-ultraviolet and blood fat lowering and sugar lowering activities [2,3]. Margaritifera Concha has sedative, antiepileptic, antioxidant, and antidepressant properties [4,5,6], while Bubali Cornu displays sedative, anticonvulsant, antipyretic, and cardiotonic effects [7]. Gardeniae Fructus exhibits hepatoprotective and choleretic effects, anti-inflammatory, immunomodulatory, antiangiogenesis, and antioxidant activities [8]. Cholic acid provides antibacterial and choleretic effects [9,10]. Hyodeoxycholic acid exhibits anti-inflammatory, antibacterial, anti-atherogenic, and hypolipidemic properties [11,12,13]. Baicalin has anti-inflammatory, antitumor, antioxidant, and antidepressant properties [14,15].
TCM contains a complex chemical composition, and its therapeutic effects are achieved through the synergistic action of its multiple components and biological targets. TCM should be considered an organic and holistic treatment that takes into account the chemical contribution of every compound. Since the composition of the Qingkailing capsules remains elusive, this has hindered the study of the pharmacological mechanism, quality control, and clinical applications of Qingkailing capsules. It is necessary to systematically characterize their chemical profiles, which contributes to future quality control of the composition and elucidation of the pharmacological effects. Some studies have reported on the analysis of Qingkailing injections, and only a limited number of compounds have already been characterized [16,17,18]. Therefore, it is important and necessary to systematically analyze the chemical components in Qingkailing capsules.
Liquid chromatography combined with mass spectrometry (LC-MS) is a technique that combines the separation capabilities of LC with the highly sensitive detection properties of MS. LC-MS, especially ultra-high-performance liquid chromatography high-resolution MS (UHPLC-HRMS), has been applied to study the chemical constituents of TCM prescriptions due to its advantages of high sensitivity, accuracy, specificity, and abundant information. With the rapid development of modern analytical technology, progress in the combination of chromatography and mass spectrometry has emerged, as the ultra-high-performance liquid chromatography (UHPLC) coupled with Fourier transform ion cyclotron resonance mass spectrometry (FT-ICR-MS). UHPLC allows a high separation efficacy and rapid analysis ability, while the FT-ICR-MS enables a high mass resolution and mass measurement accuracy [19], and provides accurate molecular mass and abundant information about the fragment ions, which could help predict the structure of the compounds. A total of 62 constituents were identified or tentatively characterized in Gansuibanxia decoction [20], and 134 compounds were identified or tentatively characterized in Gegenqinlian decoction by UHPLC-FT-ICR-MS [21], indicating that the coupling of these techniques is suitable and has become an important tool for the separation and characterization of chemical components in TMC.
In this study, a rapid, accurate, and sensitive UHPLC-FT-ICR-MS method was applied to profile the chemical constituents of Qingkailing capsules. A total of 276 compounds were detected, including flavonoids and their glycosides, organic acids, terpenoids, steroids, phenylpropanoids, and other types of chemical constituents. Their structures were unambiguously or tentatively identified based on the retention time, accurate molecular mass, and secondary MS information relative to the reference compounds and the literature reference data. The results of this investigation are of great value as they lay a foundation for the quality control of Qingkailing capsules, provide a theoretical basis for future research into its pharmacological mechanism, and can be the basis for further in vitro and in vivo studies.
2. Materials and Methods
2.1. Chemicals and Reagents
Qingkailing capsules (Lot No. 590807) was purchased from Guangzhou Baiyunshan Mingxing Pharmaceutical Co., Ltd. (Guangzhou, China). Reference compounds such as chlorogenic acid, scutellarin, baicalin, luteolin, wogonoside, apigenin, baicalein, wogonin, cholic acid, and hyodeoxycholic acid were purchased from Chengdu Must Bio-Technology Co., Ltd (Chengdu, China) with a purity higher than 98%. In addition to that, acetonitrile, methanol, and formic acid of HPLC grade were obtained from Fisher Scientific (Fair Lawn, NJ, USA). Purified water was provided by Hangzhou Wahaha Corporation (Hangzhou, China). All chemical reagents used were at least of analytical grade.
2.2. Preparation of Qingkailing Capsules Sample
A total of 0.25 g of Qingkailing capsules powder was accurately measured and extracted with 5 mL of purified water. The solution was subjected to ultrasonication for 30 min at room temperature, followed by centrifugation at 12,000 rpm for 10 min. Finally, the supernatant was filtered through a 0.22 μm filter membrane, and the subsequent filtrate was taken as the sample solution. A total of 10 μL aliquots of the sample solution was injected into the UHPLC-FT-ICR-MS system for analysis.
2.3. UHPLC-FT-ICR-MS Analysis Conditions
The analysis was performed in positive-ionization and negative-ionization mode using an Agilent 1260 UHPLC (Agilent, Santa Clara, CA, USA) linked by an electrospray ionization source to a Bruker Solarix 7.0T FT-ICR-MS (Bruker, Germany). Chromatographic separation was performed on an ACQUITY UPLC HSS T3 column (2.1 mm × 100 mm, 1.8 μm, Waters, Ireland) with an ACQUITY UPLC HSS T3 VanGuard Pre-Column (2.1 mm × 5 mm, 1.8 μm, Waters, Ireland) maintained at 35 °C. An injection volume of 10 µL was injected in a steady stream of binary mobile phase flowing at 0.30 mL/min. The binary mobile phase consisted of 0.1% formic acid in water (A) and acetonitrile (B). The gradient elution condition was as follows: B, 8–20%, from 0 to 2 min; B, 20–50%, from 2 to 20 min; B, 50–98%, from 20 to 26 min; an isocratic elution of B, from 26 to 33 min.
The following operating parameters for analyte settings in majorization were applied (positive and negative ion modes): capillary voltage, 4500 V; endplate offset, 500 V; dry gas flow, 8 L/min; dry gas temperature, 200 °C; nebulizer gas pressure, 4 bar. The collision gas and nebulizing gas used for the mass experiments were high-purity argon (Ar) and high-purity nitrogen (N2), respectively. Full-scan MS range was scanned from 100 to 1200 Da, and the collision energy was initially set at 10 eV and later adjusted according to the fragments. Bruker Compass HyStar (version 4.1, Bruker Daltonics, Bremen, Germany) and Fourier Transform Mass Spectrometer Control (version 2.1, Bruker Daltonics, Bremen, Germany) were used for instrument control and data acquisition. DataAnalysis Software (version 4.4, Bruker Daltonics, Bremen, Germany) was used for data analysis.
3. Results and Discussion
3.1. Chemical Profiling of Qingkailing Capsules by UHPLC-FT-ICR-MS
In total, 276 chemical constituents, including 67 flavonoids and their glycosides, 52 organic acids, 75 terpenoids, 23 steroids, 22 phenylpropanoids, and 37 other compounds were unambiguously or tentatively characterized in the Qingkailing capsules using the UHPLC-FT-ICR-MS method for the first time. Among them, compounds 46, 111, 169, 186, 195, 204, 212, 234, 248, and 267 were unambiguously identified as chlorogenic acid, scutellarin, baicalin, luteolin, wogonoside, apigenin, baicalein, wogonin, cholic acid, and hyodeoxycholic acid by comparing the data to reference standards. Additionally, the characterization of other chemical constituents was based on the retention time, accurate molecular mass, and MS/MS data [16,17,18,21,22,23,24,25,26,27]. The base peak intensity chromatograms of the Qingkailing capsules in the positive and negative modes are shown in Figure 1, and the retention time, accurate molecular mass in positive and negative modes, mass error, predicted molecular formula, and MS/MS fragment ions of the identified compounds are summarized in Table S1.
Figure 1.
UHPLC-FT-ICR-MS base peak intensity chromatograms in positive (A) and negative (B) modes of Qingkailing capsules.
3.1.1. Flavonoids and Their Glycosides
A total of 67 flavonoids and their glycosides were unambiguously identified or tentatively characterized in the Qingkailing capsules, corresponding to compounds 98, 99, 101, 104, 108, 111, 112, 113, 118, 124, 132, 134, 142, 143, 145, 146, 153, 156, 169, 170, 171, 177, 178, 179, 180, 181, 182, 184, 185, 186, 187, 188, 189, 190, 191, 193, 194, 195, 196, 198, 199, 200, 203, 204, 205, 206, 208, 209, 211, 212, 213, 214, 216, 219, 224, 230, 231, 234, 237, 238, 240, 243, 246, 251, 254, 257, and 263 in Table S1. Take isovitexin (compound 101), isoquercitrin (compound 104), baicalin (compound 169), chrysin (compound 238), and skullcapflavone II (compound 243) as examples to illustrate the identification process.
In the positive ion mode, compound 101 was found at 7.97 min and showed an excimer ion [M + H]+ at m/z 433.11320. The molecular formula was predicted as C21H20O10 using DataAnalysis Software (version 4.4, Bruker Daltonics, Bremen, Germany) within 5 ppm. In the MS/MS spectrum of compound 101, the characteristic fragment ions at m/z 397.09151, m/z 379.08021, m/z 367.08021, m/z 361.06972, m/z 351.08460, m/z 349.06958, m/z 337.06985, m/z 323.09071, m/z 313.06995, m/z 309.07495, m/z 295.05908, and m/z 283.05942, corresponded, respectively, to fragment ions [M + H-2H2O]+, [M + H-3H2O]+, [M + H-2H2O-CH2O]+, [M + H-4H2O]+, [M + H-3H2O-CO]+, [M + H-3H2O-CH2O]+, [M + H-C2H4O2-2H2O]+, [M + H-2H2O-CH2O-CO2]+, [M + H-C4H8O4]+, [M + H-C2H4O2-2H2O-CO]+, [M + H-C4H8O4-H2O]+, and [M + H-C5H10O5]+. These results indicate that the compound belongs to flavone C-glycosides as the characteristic fragments such as the losses of different amounts of water molecules (m/z 18, m/z 36, m/z 54, and m/z 72) and the losses of glucosyl group fragmentations (m/z 30, m/z 60, m/z 120, and m/z 150) were presented. Hence, it was putatively identified as isovitexin (apigenin-6-C-glucoside). In the negative ion mode, compound 104 was found at 8.06 min and showed a deprotonated ion [M − H]− at m/z 463.08825. The molecular formula was predicted as C21H20O12 using DataAnalysis Software (version 4.4, Bruker Daltonics, Bremen, Germany) within 5 ppm. In the MS/MS spectrum of compound 104, its characteristic fragment m/z 301.03533 was a deprotonated ion [M − H]− resulting from the remotion of a fragment ion of glucose (Glc, 162 Da). Thus, compound 104 was tentatively characterized as isoquercitrin. Compound 169 showed a retention time of 11.04 min and generated a deprotonated ion [M − H]− at m/z 445.07661. The molecular formula was predicted as C21H18O11 using DataAnalysis Software (version 4.4, Bruker Daltonics, Bremen, Germany) within 5 ppm. In the MS/MS spectrum of compound 169, the characteristic fragments were m/z 269.04532, corresponding to fragment ion [M-H-Glucuronic acid (GluA, 176 Da)]−. Further successive eliminations of H2O and CO produced m/z 251.03494 and m/z 241.05055, and the simultaneous elimination of H2O and CO produced m/z 223.03991. These results indicate that the compound belongs to flavone O-glycoside as the preferential lose of the neutral glucuronosyl segment. Similarly, the loss of m/z 162 from the precursor ion was usually found when the compound had the presence of a glucosyl group, the loss of m/z 132 from the precursor ion was usually found when the compound had the presence of an apiosyl, arabinosyl or xylosyl group, and the loss of m/z 146 from the precursor ion was usually found when the compound had the presence of a rhamnosyl group. Compound 169 was unambiguously identified as baicalin. The MS/MS mass spectrum for baicalin is shown in Figure 2, and the proposed fragmentation pathways of baicalin are presented in Figure 3.
Figure 2.
The MS/MS spectrum of baicalin in the negative ion mode.
Figure 3.
The proposed fragmentation pathways of baicalin.
Compound 238 showed a retention time of 20.66 min and generated the precursor ion [M − H]− at m/z 253.05015 in the negative ion mode. The molecular formula was predicted as C15H10O4 using DataAnalysis Software (version 4.4, Bruker Daltonics, Bremen, Germany) within 5 ppm. In the MS/MS spectrum of compound 238, the fragment ions observed at m/z 209.06072 and m/z 181.06583 are indicative of the successive elimination of CO2 and CO in its structure, suggesting its putative identification as chrysin. Compound 243 with a retention time of 21.20 min generated the precursor ion [M − H]− at m/z 373.09218 in the negative ion mode, and the molecular formula was therefore predicted as C19H18O8 using DataAnalysis Software (version 4.4, Bruker Daltonics, Bremen, Germany) within 5 ppm. Additionally, the MS/MS experiments found fragment ions at m/z 358.06890, m/z 343.04576, m/z 328.02224, m/z 315.05110, m/z 300.02731, m/z 285.00392, m/z 272.03244, m/z 269.00905, m/z 257.00910, and m/z 213.01924, which corresponded, respectively, to fragment ions [M − H-CH3]−, [M − H-2CH3]−, [M − H-3CH3]−, [M − H-2CH3-CO]−, [M − H-3CH3-CO]−, [M − H-4CH3-CO]−, [M − H-3CH3-2CO]−, [M − H-4CH3-CO2]−, [M − H-4CH3-2CO]−, and [M − H-4CH3-2CO-CO2]−. Thus, compound 243 was putatively identified as skullcapflavone II.
3.1.2. Organic Acids
A total of 52 organic acids were unambiguously identified or tentatively characterized in the Qingkailing capsules, corresponding to compounds 2, 3, 7, 13, 19, 20, 24, 28, 41, 46, 54, 55, 58, 69, 71, 72, 77, 78, 79, 80, 83, 86, 89, 92, 93, 95, 102, 115, 120, 121, 126, 138, 148, 150, 152, 157, 168, 172, 183, 207, 210, 218, 225, 226, 229, 236, 258, 261, 273, 274, 275, and 276 in Table S1. Take neochlorogenic acid (compound 28), chlorogenic acid (compound 46), and cryptochlorogenic acid (compound 54) as examples to illustrate the identification process.
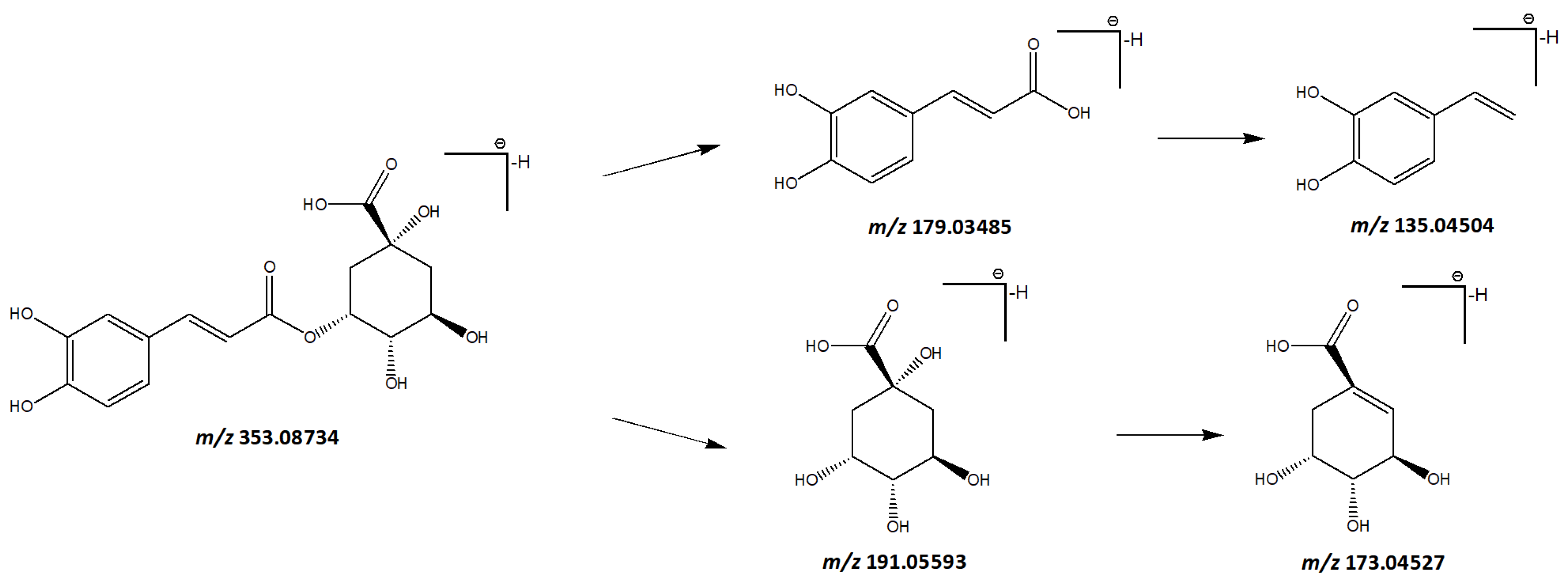
In the negative ion mode, compounds 28 (retention time (tR) = 3.37 min), 46 (tR = 5.59 min), and 54 (tR = 5.83 min) displayed deprotonated ions [M − H]− at m/z 353.08734, m/z 353.08719, and 353.08710, and [2M − H]− at m/z 707.18230, m/z 707.18161, and m/z 707.18126, respectively. Compounds 28, 46, and 54 were identified as being isomeric caffeoylquinic acid, as they shared the same molecular formula of C25H24O12 using DataAnalysis Software (version 4.4, Bruker Daltonics, Bremen, Germany) within 5 ppm. The MS spectra of these compounds were highly similar to each other. The MS/MS spectrum of compound 28 showed the characteristic fragment ions produced were at m/z 191.05593, m/z 179.03485, m/z 173.04527, and m/z 135.04504, which correspond to [M − H-C9H6O3]−, [M − H-C7H10O5]−, [M − H-C9H6O3-H2O]−, and [M − H-C7H10O5-CO2]−, respectively. Fragment ions m/z 191.05593 and m/z 173.04527 corresponded to successive losses of the caffeoyl group and H2O. The elimination of one quinic acid group from the precursor resulted in the production of the fragment ion [M(caffeic acid) − H]− m/z 179.03485, and a molecule of CO2 was subsequently lost to produce a fragment ion at m/z 135.04504. Hence, compound 28 was tentatively identified as neochlorogenic acid. Its MS/MS mass spectrum is shown in Figure 4, and the proposed fragmentation pathways of neochlorogenic acid are shown in Figure 5. Compound 46 was identified as chlorogenic acid, and compound 54 was tentatively identified as cryptochlorogenic acid, respectively. Caffeoylquinic acids are esters of caffeic acid with quinic acid, and their characteristically theoretical fragment ions were found at m/z 191.05611 [M(quinic acid) − H]−, m/z 179.03498 [M(caffeic acid) − H]−, m/z 173.04555 [M(quinic acid) − H-H2O]−, and m/z 135.04515 [M(caffeic acid) − H-CO2]−, respectively.
Figure 4.
The MS/MS spectrum of neochlorogenic acid in the negative ion mode.
Figure 5.
The proposed fragmentation pathways of neochlorogenic acid.
3.1.3. Terpenoids
A total of 75 terpenoids were tentatively characterized in Qingkailing capsules, corresponding to compounds 14, 16, 18, 21, 22, 23, 25, 27, 29, 30, 32, 35, 36, 38, 39, 42, 44, 48, 52, 53, 56, 59, 60, 61, 63, 64, 66, 67, 68, 70, 74, 75, 76, 81, 87, 96, 97, 110, 114, 116, 122, 123, 125, 127, 131, 135, 136, 137, 139, 144, 149, 151, 154, 159, 166, 167, 174, 175, 176, 192, 197, 201, 202, 215, 217, 223, 239, 242, 249, 259, 262, 265, 269, 271, and 272 in Table S1. Take deacetyl asperulosidic acid methyl ester (compound 25), loganic acid (compound 36), geniposide (compound 64), 6″-O-trans-feruloylgenipin gentiobioside (compound 154), and 6″-O-trans-p-cinnamoylgenipin gentiobioside (compound 192) as examples to illustrate the identification process.
In the negative ion mode, compound 25 showed a retention time of 2.73 min and displayed the [M + COOH]− peak at m/z 449.12961 and [M − H]− peak at m/z 403.12455. The predicted molecular formula was C17H24O11 using DataAnalysis Software (version 4.4, Bruker Daltonics, Bremen, Germany) within 5 ppm. In the MS/MS spectrum of compound 25, the characteristic fragment ion was m/z 241.07156, corresponding to fragment ion [M-H-Glc]−. Thus, compound 25 was tentatively characterized as a deacetyl asperulosidic acid methyl ester. Compound 36 showed a retention time of 4.54 min and displayed the [M-H]− peak at m/z 375.12925. The molecular formula was predicted to be C16H24O10 using DataAnalysis Software (version 4.4, Bruker Daltonics, Bremen, Germany) within 5 ppm. In the MS/MS spectrum of compound 36, the characteristic fragment was m/z 213.07669, consistent with the fragment ion [M − H-Glc]−. Compound 36 was tentatively characterized as loganic acid. Compound 64 showed a retention time of 6.30 min and generated the [M + COOH]− peak at m/z 433.13404 and the [M − H]− peak at m/z 387.12895. The molecular formula was predicted to be C17H24O10 using DataAnalysis Software (version 4.4, Bruker Daltonics, Bremen, Germany) within 5 ppm. In the MS/MS spectrum of compound 64, the characteristic fragments were m/z 225.07667, m/z 207.06610, m/z 175.03976, m/z 147.04499, m/z 123.04505, and m/z 101.02435, corresponding to fragment ions [M − H-Glc]−, [M − H-Glc-H2O]−, [M − H-Glc-CH6O2]−, [M − H-Glc-C2H6O3]−, [M − H-Glc-H2O-C4H4O2]−, and [M − H-Glc-C7H8O2]−, respectively. Hence, compound 64 was tentatively characterized as geniposide. Its MS/MS mass spectrum is shown in Figure 6, and the proposed fragmentation pathways of geniposide are shown in Figure 7. The precursor ion [M − H]− of compound 154 was found at m/z 725.22797 observed at 10.07 min and the predicted molecular formula was C33H42O18 using DataAnalysis Software (version 4.4, Bruker Daltonics, Bremen, Germany) within 5 ppm. Daughter ions at m/z 397.11378 [M − H-C15H22O8]−, m/z 295.08235 ([M − H-C19H29O11]−), m/z 235.06102 ([M − H-C21H32O13]−), m/z 225.07667 ([M − H-C22H30O13]−), m/z 207.06596 ([M − H-C22H32O14]−), m/z 193.05050 ([M − H-C23H34O14]−), m/z 175.03991 ([M − H-C23H36O15]−) and m/z 123.04507 ([M − H-C26H36O16]−) were observed in the MS/MS spectrum. Therefore, compound 154 was tentatively identified as 6′′-O-trans-feruloylgenipin gentiobioside. Compound 192 showed a retention time of 13.29 min and generated the [M + COOH]− peak at m/z 725.22860 and [M − H]− peak at m/z 679.22196. The molecular formula was predicted to be C32H40O16 using DataAnalysis Software (version 4.4, Bruker Daltonics, Bremen, Germany) within 5 ppm. The daughter ions at m/z 531.17098 ([M − H-C9H8O2]−), m/z 355.11887 ([M − H-C12H20O10]−), m/z 225.07660 ([M − H-C21H26O11]−), m/z 207.06596 ([M − H-C21H28O12]−), m/z 147.04499 ([M − H-C23H32O14]−), and m/z 123.04507 ([M − H-C25H32O14]−) were observed in the MS/MS spectrum. Thus, compound 192 was tentatively identified as 6″-O-trans-p-cinnamoylgenipin gentiobioside.
Figure 6.
The MS/MS spectrum of geniposide in the negative ion mode.
Figure 7.
The proposed fragmentation pathways of geniposide.
3.1.4. Steroids
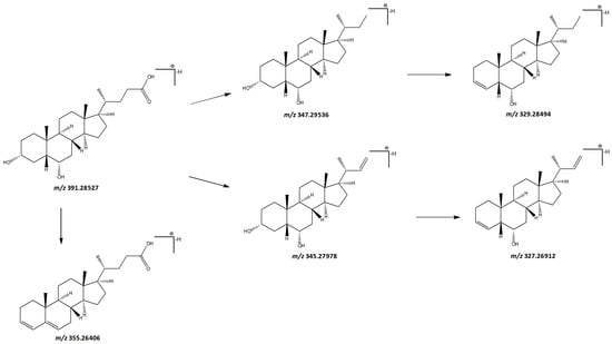
A total of 23 steroids were unambiguously identified or tentatively characterized in Qingkailing capsules, corresponding to compounds 220, 221, 222, 227, 228, 232, 233, 235, 241, 244, 245, 247, 248, 250, 252, 253, 255, 260, 264, 266, 267, 268, and 270 in Table S1. Take hyocholic acid (compound 233) and hyodeoxycholic acid (compound 267) as examples to illustrate the identification process.
In the positive ion mode, compound 233 was found at 20.42 min and showed the protonated ion [M + H]+ at m/z 409.29450. The molecular formula was predicted to be C24H40O5 using DataAnalysis Software (version 4.4, Bruker Daltonics, Bremen, Germany) within 5 ppm. In its MS/MS spectrum, the characteristic fragmentation ions at m/z 373.27293, m/z 355.26235, and m/z 337.25178 were observed, representing [M + H-2H2O]+, [M + H-3H2O]+, and [M + H-4H2O]+. Hence, compound 233 was tentatively characterized as hyocholic acid. In the negative ion mode, compound 267 was found at 26.25 min and showed the protonated ion [M − H]− at m/z 391.28527. The molecular formula was predicted to be C24H40O4 using DataAnalysis Software (version 4.4, Bruker Daltonics, Bremen, Germany) within 5 ppm. In its MS/MS spectrum, the characteristic fragmentation ions at m/z 355.26406, m/z 347.29536, m/z 345.27978, m/z 329.28494, and m/z 327.26912 were observed, representing [M − H-2H2O]−, [M − H-CO2]−, [M − H-H2CO2]−, [M − H-CO2-H2O]−, and [M − H-H2O-H2CO2]−, respectively. Therefore, compound 267 was unambiguously identified as hyodeoxycholic acid. Its MS/MS mass spectrum is shown in Figure 8, and the proposed fragmentation pathways of hyodeoxycholic acid are shown in Figure 9.
Figure 8.
The MS/MS spectrum of hyodeoxycholic acid in the negative ion mode.
Figure 9.
The proposed fragmentation pathways of hyodeoxycholic acid.
3.1.5. Phenylpropanoids
A total of 22 phenylpropanoids were tentatively characterized in Qingkailing capsules, corresponding to compounds 34, 40, 47, 62, 65, 82, 84, 88, 100, 103, 105, 107, 109, 129, 133, 140, 141, 158, 160, 161, 163, and 164 in Table S1. Take syringin (compound 47) and pinoresinol-4-O-glucoside (compound 133) as examples to illustrate the identification process.
In the negative ion mode, the precursor ion [M + COOH]− of compound 47 was at m/z 417.13993 observed at 5.59 min and the molecular formula was predicted to be C17H24O9 using DataAnalysis Software (version 4.4, Bruker Daltonics, Bremen, Germany) within 5 ppm. The characteristic fragment ion found in the MS/MS spectrum was at m/z 209.08173, corresponding to fragment ion [M − H-Glc], thus, the compound was chemically defined as syringin. The precursor ion [M − H]− of the compound 133 was observed at m/z 519.18678 at 8.94 min and the molecular formula was predicted to be C26H32O11 using DataAnalysis Software (version 4.4, Bruker Daltonics, Bremen, Germany) within 5 ppm. In the MS/MS spectrum, the characteristic fragment ions were at m/z 357.13398, m/z 342.11070, m/z 151.03997, and m/z 136.01647, corresponding to fragment ions [M − H-Glc]−, [M − H-Glc-CH3]−, [M − H-Glc-C12H14O3]−, and [M − H-Glc-CH3-C12H14O3]−, respectively. Hence, compound 133 was tentatively characterized as pinoresinol-4-O-glucoside. Its MS/MS mass spectrum is shown in Figure 10, and the proposed fragmentation pathways of pinoresinol-4-O-glucoside are shown in Figure 11.
Figure 10.
The MS/MS spectrum of pinoresinol-4-O-glucoside in the negative ion mode.
Figure 11.
The proposed fragmentation pathways of pinoresinol-4-O-glucoside.
Additionally, a total of 37 other types of chemical constituents, including compounds 1, 4, 5, 6, 8, 9, 10, 11, 12, 15, 17, 26, 31, 33, 37, 43, 45, 49, 50, 51, 57, 73, 85, 90, 91, 94, 106, 117, 119, 128, 130, 147, 155, 162, 165, 173, and 256, were also tentatively characterized in Qingkailing capsules. In this study, a systematic chemical study was conducted, and a total of 276 compounds, including 67 flavonoids and their glycosides, 52 organic acids, 75 terpenoids, 23 steroids, 22 phenylpropanoids, and 37 other phytochemicals, were identified or tentatively characterized in Qingkailing capsules. Some of these identified components of the Qingkailing capsules are already known for exhibiting various biological activities. For instance, isovitexin, isoquercitrin, and loganic acid possess anti-inflammatory and antioxidant properties [28,29,30]. Skullcapflavone II, chlorogenic acid, neochlorogenic acid, and cryptochlorogenic show anti-inflammatory properties [31,32,33,34]. Chrysin displays anxiolytic- and antidepressant-like effects [35]. Deacetyl asperulosidic acid methyl ester shows analgesic activity [36], while geniposide has hepatoprotective, anti-osteoporosis, antitumor, anti-diabetic, anti-myocardial dysfunction, and neuroprotective effects [37]. Syringin has been described to ameliorate inflammation [38], and pinoresinol-4-O-glucoside shows antioxidant, hepatoprotective, and antihyperglycaemic properties [39]. Qingkailing capsules contain complex chemical compositions and bring about curative effects via the synergistic action of their multi-components and multi-targets. It is well established that TCM should be regarded as a holistic entity, taking into account the chemical contributions of all its constituent compounds. This study comprises the systematic identification and characterization of chemical constituents within the Qingkailing capsules, providing a basis for finding prototype components, phase-I and phase-II metabolites in vivo after oral administration of Qingkailing capsules and important material for future research in pharmacodynamics, while also providing a solid and valuable foundation for quality control and possible clinical applications for this treatment.
4. Conclusions
In this study, a rapid, accurate, and sensitive analytical method using UHPLC-FT-ICR-MS was successfully employed for the separation and identification of chemical constituents in the Qingkailing capsules. A total of 276 compounds were identified or tentatively characterized within the Qingkailing capsules. These compounds include 67 flavonoids and their glycosides, 52 organic acids, 75 terpenoids, 23 steroids, 22 phenylpropanoids, and 37 other types of components, verified by comparing their accurate mass, fragment ions, and retention time with authentic commercial standards or literature studies. In addition, the characteristic fragment ions and proposed fragmentation pathways of some exemplary compounds were elucidated. This is the first comprehensive study on the characterization of chemical constituents present in the Qingkailing capsules by UHPLC-FT-ICR-MS. This comprehensive analysis provides relevant information regarding quality control and essential theoretical support for further prototype components and metabolites in vivo and pharmacological research and contributes significantly to understanding the chemical material basis of Qingkailing capsules, ultimately facilitating the advancement of Qingkailing capsules for further development and application in clinical practice.
Supplementary Materials
The following supporting information can be downloaded at: https://www.mdpi.com/article/10.3390/separations10120588/s1, Table S1: Characterization of compounds in Qingkailing capsules by UHPLC-FT-ICR-MS.
Author Contributions
Conceptualization, investigation, formal analysis, visualization, writing—original draft preparation, writing—review and editing, supervision, project administration, funding acquisition, T.L.; writing—review and editing, S.L. All authors have read and agreed to the published version of the manuscript.
Funding
This research was supported by the National Natural Science Foundation of China (grant number 82003935), the Basic Scientific Research Project of Education Department of Liaoning Province (grant number LJKQZ20222409), the Natural Science Foundation of Liaoning Province (grant number 2023-MS-326), and the Startup Foundation for Doctors of Shenyang Medical College (grant number 20195077).
Data Availability Statement
The data are contained within the article and Supplementary Materials.
Conflicts of Interest
The authors declare no conflict of interest.
References
- Chen, J.; Zhu, Z.P.; Gao, T.H.; Chen, Y.; Yang, Q.S.; Fu, C.M.; Zhu, Y.N.; Wang, F.; Liao, W. Isatidis Radix and Isatidis Folium: A systematic review on ethnopharmacology, phytochemistry and pharmacology. J. Ethnopharmacol. 2022, 283, 114648. [Google Scholar] [CrossRef] [PubMed]
- Li, Y.K.; Li, W.; Fu, C.M.; Song, Y.; Fu, Q. Lonicerae japonicae flos and Lonicerae flos: A systematic review of ethnopharmacology, phytochemistry and pharmacology. Phytochem. Rev. 2019, 22, 1–61. [Google Scholar] [CrossRef] [PubMed]
- Zhao, H.; Zeng, S.; Chen, L.; Sun, Q.; Liu, M.L.; Yang, H.; Ren, S.; Ming, T.Q.; Meng, X.L.; Xu, H.B. Updated pharmacological effects of Lonicerae japonicae flos, with a focus on its potential efficacy on coronavirus disease-2019 (COVID-19). Curr. Opin. Pharmacol. 2021, 60, 200–207. [Google Scholar] [CrossRef] [PubMed]
- Song, Y.Y.; Wang, Z.; Qu, X. Effect of some active Chinese herbal fraction on brain tissue proteomic profile of ischemic mouse. Chin. J. Integr. Tradit. West Med. 2006, 26, 526–528. [Google Scholar]
- Liu, D.; Dai, T.T.; Zha, R.B.; Qu, P.; Li, Y.; Du, H.; Zhao, S.Y.; Song, L.; Zhang, H.; Sun, J.M. Study on sedative and hypnotic effects of Concha Margaritifera and its different processed products on the content of 5-HT in the brain of mice. Jilin J. Tradit. Chin. Med. 2014, 34, 61–63. [Google Scholar]
- Li, Y.; Sun, J.M.; Zhang, J.; Li, J.F.; Liu, W.C.; Zhang, H. Anti-depressant effect of Margaritifera concha on mice. Jilin J. Tradit. Chin. Med. 2014, 34, 388–389+392. [Google Scholar]
- Liu, R.; Wang, M.; Duan, J.A. Antipyretic and antioxidant activities of the aqueous extract of Cornu bubali (water buffalo horn). Am. J. Chin. Med. 2010, 38, 293–306. [Google Scholar] [CrossRef] [PubMed]
- Tian, J.Z.; Qin, S.S.; Han, J.Y.; Meng, J.; Liang, A.H. A review of the ethnopharmacology, phytochemistry, pharmacology and toxicology of Fructus Gardeniae (Zhi-zi). J. Ethnopharmacol. 2022, 289, 114984. [Google Scholar] [CrossRef]
- Fickert, P.; Zollner, G.; Fuchsbichler, A.; Stumptner, C.; Pojer, C.; Zenz, R.; Lammert, F.; Stieger, B.; Meier, P.J.; Zatloukal, K.; et al. Effects of ursodeoxycholic and cholic acid feeding on hepatocellular transporter expression in mouse liver. Gastroenterology 2001, 121, 170–183. [Google Scholar] [CrossRef]
- Kong, W.; Jin, C.; Xiao, X.; Zhao, Y.; Li, Z.; Zhang, P.; Liu, W.; Li, X.F. Comparative study of effects of two bile acid derivatives on Staphylococcus aureus by multiple analytical methods. J. Hazard. Mater. 2010, 179, 742–747. [Google Scholar] [CrossRef]
- Watanabe, S.; Fujita, K. Dietary hyodeoxycholic acid exerts hypolipidemic effects by reducing farnesoid X receptor antagonist bile acids in mouse enterohepatic tissues. Lipids 2014, 49, 963–973. [Google Scholar] [CrossRef] [PubMed]
- Sehayek, E.; Ono, J.G.; Duncan, E.M.; Batta, A.K.; Salen, G.; Shefer, S.; Neguyen, L.B.; Yang, K.; Lipkin, M.; Breslow, J.L. Hyodeoxycholic acid efficiently suppresses atherosclerosis formation and plasma cholesterol levels in mice. J. Lipid. Res. 2001, 42, 1250–1256. [Google Scholar] [CrossRef] [PubMed]
- Zhu, H.; Bai, Y.Y.; Wang, G.R.; Su, Y.S.; Tao, Y.L.; Wang, L.P.; Yang, L.; Wu, H.; Huang, F.; Shi, H.L.; et al. Hyodeoxycholic acid inhibits lipopolysaccharide-induced microglia inflammatory responses through regulating TGR5/AKT/NF-κB signaling pathway. J. Psychopharmacol. 2022, 36, 849–859. [Google Scholar] [CrossRef] [PubMed]
- Li, Y.Y.; Song, K.; Zhang, H.L.; Yuan, M.C.; An, N.; Wei, Y.F.; Wang, L.Q.; Sun, Y.K.; Xing, Y.W.; Gao, Y.H. Anti-inflammatory and immunomodulatory effects of baicalin in cerebrovascular and neurological disorders. Brain Res. Bull. 2020, 164, 314–324. [Google Scholar] [CrossRef] [PubMed]
- Fang, P.H.; Yu, M.; Shi, M.Y.; Bo, P.; Gu, X.W.; Zhang, Z.W. Baicalin and its aglycone: A novel approach for treatment of metabolic disorders. Pharmacol. Rep. 2020, 72, 13–23. [Google Scholar] [CrossRef] [PubMed]
- Zhang, J.Y.; Zhang, Q.; Zhang, H.X.; Dong, L.Y.; Lu, J.Q.; Qiao, Y.J. Rapid identification of 14 bile acids contained in Qingkailing injection by HPLC-ESI-MS/MS. China J. Chin. Mater. Med. 2013, 38, 990–994. [Google Scholar]
- Zhang, H.Y.; Hu, P.; Luo, G.A.; Liang, Q.L.; Wang, Y.L.; Yan, S.K.; Wang, Y.M. Screening and identification of multi-component in Qingkailing injection using combination of liquid chromatography/time-of-flight mass spectrometry and liquid chromatography/ion trap mass spectrometry. Anal. Chim. Acta 2006, 577, 190–200. [Google Scholar] [CrossRef]
- Guo, M.X.; Zhang, L.; Liu, H.Y.; Qin, L.L.; Zhang, Z.X.; Bai, X.; Gao, X.Y. A metabolomic strategy to screen the prototype components and metabolites of Qingkailing injection in rat urine by high-performance liquid chromatography with tandem mass spectrometry. J. Sep. Sci. 2014, 37, 2844–2850. [Google Scholar] [CrossRef]
- Nikolaev, E.N.; Kostyukevich, Y.I.; Vladimirov, G.N. Fourier transform ion cyclotron resonance (FT ICR) mass spectrometry: Theory and simulations. Mass. Spectrom. Rev. 2016, 35, 219–258. [Google Scholar] [CrossRef]
- Cui, Y.; Yang, H.H.; Jing, J.X.; Liu, T.; Wang, R.J.; Di, F.Y.; Han, F.; Zhao, Y.L.; Yu, Z.G. Rapid characterization of chemical constituents of Gansuibanxia decoction by UHPLC-FT-ICR-MS analysis. J. Pharm. Biomed. Anal. 2020, 179, 113029. [Google Scholar] [CrossRef]
- Liu, T.; Cui, Y.; Tian, X.M.; Li, S.H.; Han, F.; Ji, B.; Zhao, Y.L.; Yu, Z.G. Detection of chemical constituents in Gegenqinlian decoction by ultra-high performance liquid chromatography coupled with Fourier transform ion cyclotron resonance mass spectrometry. Anal. Methods 2017, 9, 5890–5902. [Google Scholar] [CrossRef]
- Feng, W.; Dong, Q.J.; Liu, M.Y.; Li, S.; Liu, T.; Wang, X.G.; Niu, L.Y. Screening and identification of multiple constituents and their metabolites of Zhi-zi-chi decoction in rat urine and bile by ultra-high-performance liquid chromatography quadrupole time-of-flight mass spectrometry. Biomed. Chromatogr. 2017, 31, e3978. [Google Scholar] [CrossRef] [PubMed]
- Li, T.P.; Zhang, M.L.; Tan, Z.E.; Miao, J.H.; He, Y.M.; Zhang, A.H.; Ou, M.; Huang, D.N.; Wu, F.F.; Wang, X.J. Rapid characterization of the constituents in Jigucao capsule using ultra high performance liquid chromatography with quadrupole time-of-flight mass spectrometry. J. Sep. Sci. 2022, 45, 677–696. [Google Scholar] [CrossRef]
- Wang, L.; Liu, S.; Zhang, X.J.; Xing, J.P.; Liu, Z.Q.; Song, F.R. A strategy for identification and structural characterization of compounds from Gardenia jasminoides by integrating macroporous resin column chromatography and liquid chromatography-tandem mass spectrometry combined with ion-mobility spectrometry. J. Chromatogr. A 2016, 1452, 47–57. [Google Scholar] [CrossRef] [PubMed]
- Fu, Z.W.; Li, Z.X.; Hu, P.; Feng, Q.; Xue, R.; Hu, Y.Y.; Huang, C.G. A practical method for the rapid detection and structural characterization of major constituents from traditional Chinese medical formulas: Analysis of multiple constituents in Yinchenhao Decoction. Anal. Methods 2015, 7, 4678–4690. [Google Scholar] [CrossRef]
- Li, R.R.; Cui, Y.F.; Zheng, X.F.; Qin, X.M.; Cao, J.J.; Li, Z.Y. Characterization of chemical components in the Guanxinning injection by liquid chromatography-mass spectrometry. J. Mass Spectrom. 2020, 55, e4662. [Google Scholar] [CrossRef]
- Xia, M.Q.; Yao, M.; Li, J.M.; Zhang, J.J.; Yu, Y.Y.; Yang, S.L.; Zhong, G.Y.; Pei, N.; Ouyang, H.; Feng, Y.L. Characterization of Chemical Constituents of Oxytropis microphylla (Pall.) DC. by Ultra-High-Performance Liquid Chromatography Coupled with Quadrupole-Time-of Flight Tandem Mass Spectrometry. Separations 2022, 9, 297. [Google Scholar] [CrossRef]
- Sun, X.J.; Li, P.; Qu, X.Y.; Liu, W.G. Isovitexin alleviates acute gouty arthritis in rats by inhibiting inflammation via the TLR4/MyD88/NF-κB pathway. Pharm. Biol. 2021, 59, 1326–1333. [Google Scholar] [CrossRef]
- Valentová, K.; Vrba, J.; Bancířová, M.; Ulrichová, J.; Křen, V. Isoquercitrin: Pharmacology, toxicology, and metabolism. Food Chem. Toxicol. 2014, 68, 267–282. [Google Scholar] [CrossRef]
- Prakash, A.N.; Prasad, N.; Puppala, E.R.; Panda, S.R.; Jain, S.; Ravichandiran, V.; Singh, M.; Naidu, V.G.M. Loganic acid protects against ulcerative colitis by inhibiting TLR4/NF-κB mediated inflammation and activating the SIRT1/Nrf2 anti-oxidant responses in-vitro and in-vivo. Int. Immunopharmacol. 2023, 122, 110585. [Google Scholar] [CrossRef]
- Lee, H.; Lee, D.H.; Oh, J.H.; Chung, J.H. Skullcapflavone II Suppresses TNF-α/IFN-γ-Induced TARC, MDC, and CTSS Production in HaCaT Cells. Int. J. Mol. Sci. 2021, 22, 6428. [Google Scholar] [CrossRef] [PubMed]
- Naveed, M.; Hejazi, V.; Abbas, M.; Kamboh, A.A.; Khan, G.J.; Shumzaid, M.; Ahmad, F.; Babazadeh, D.; Xia, F.F.; Modarresi-Ghazani, F.; et al. Chlorogenic acid (CGA): A pharmacological review and call for further research. Biomed. Pharmacother. 2018, 97, 67–74. [Google Scholar] [CrossRef] [PubMed]
- Yu, M.H.; Hung, T.W.; Wang, C.C.; Wu, S.W.; Yang, T.W.; Yang, C.Y.; Tseng, T.H.; Wang, C.J. Neochlorogenic Acid Attenuates Hepatic Lipid Accumulation and Inflammation via Regulating miR-34a In Vitro. Int. J. Mol. Sci. 2021, 22, 13163. [Google Scholar] [CrossRef] [PubMed]
- Zhao, X.L.; Yu, L.; Zhang, S.D.; Ping, K.; Ni, H.Y.; Qin, X.Y.; Zhao, C.J.; Wang, W.; Efferth, T.; Fu, Y.J. Cryptochlorogenic acid attenuates LPS-induced inflammatory response and oxidative stress via upregulation of the Nrf2/HO-1 signaling pathway in RAW 264.7 macrophages. Int. Immunopharmacol. 2020, 83, 106436. [Google Scholar] [CrossRef] [PubMed]
- Rodríguez-Landa, J.F.; German-Ponciano, L.J.; Puga-Olguín, A.; Olmos-Vázquez, O.J. Pharmacological, Neurochemical, and Behavioral Mechanisms Underlying the Anxiolytic- and Antidepressant-like Effects of Flavonoid Chrysin. Molecules 2022, 27, 3551. [Google Scholar] [CrossRef] [PubMed]
- Chen, Y.F.; Zhang, J.Y.; Zhao, M.H.; Yan, M.; Zhao, Q.C.; Wu, Q.; Jin, H.; Shi, G.B. The analgesic activity and possible mechanisms of deacetyl asperulosidic acid methyl ester from Ji shi teng in mice. Pharmacol. Biochem. Behav. 2012, 102, 585–592. [Google Scholar] [CrossRef]
- Liu, L.P.; Wu, Q.; Chen, Y.P.; Gu, G.X.; Gao, R.N.; Peng, B.; Wang, Y.; Li, A.B.; Guo, J.P.; Xu, X.R.; et al. Updated Pharmacological Effects, Molecular Mechanisms, and Therapeutic Potential of Natural Product Geniposide. Molecules 2022, 27, 3319. [Google Scholar] [CrossRef]
- Zhang, H.H.; Gu, H.J.; Jia, Q.H.; Zhao, Y.Q.; Li, H.Q.; Shen, S.R.; Liu, X.; Wang, G.S.; Shi, Q.M. Syringin protects against colitis by ameliorating inflammation. Arch Biochem. Biophys. 2020, 680, 108242. [Google Scholar] [CrossRef]
- Youssef, F.S.; Ashour, M.L.; El-Beshbishy, H.A.; Ahmed Hamza, A.; Singab, A.N.B.; Wink, M. Pinoresinol-4-O-β-D-glucopyranoside: A lignan from prunes (Prunus domestica) attenuates oxidative stress, hyperglycaemia and hepatic toxicity in vitro and in vivo. J. Pharm. Pharmacol. 2020, 72, 1830–1839. [Google Scholar] [CrossRef]
Disclaimer/Publisher’s Note: The statements, opinions and data contained in all publications are solely those of the individual author(s) and contributor(s) and not of MDPI and/or the editor(s). MDPI and/or the editor(s) disclaim responsibility for any injury to people or property resulting from any ideas, methods, instructions or products referred to in the content. |
© 2023 by the authors. Licensee MDPI, Basel, Switzerland. This article is an open access article distributed under the terms and conditions of the Creative Commons Attribution (CC BY) license (https://creativecommons.org/licenses/by/4.0/).










