Two Stability Indicating Chromatographic Methods: TLC Densitometric versus HPLC Method for the Simultaneous Determination of Brinzolamide and Timolol Maleate in Ophthalmic Formulation in the Presence of Probable Carcinogenic Oxidative Degradation Product of Timolol Maleate
Abstract
1. Introduction
2. Experiment
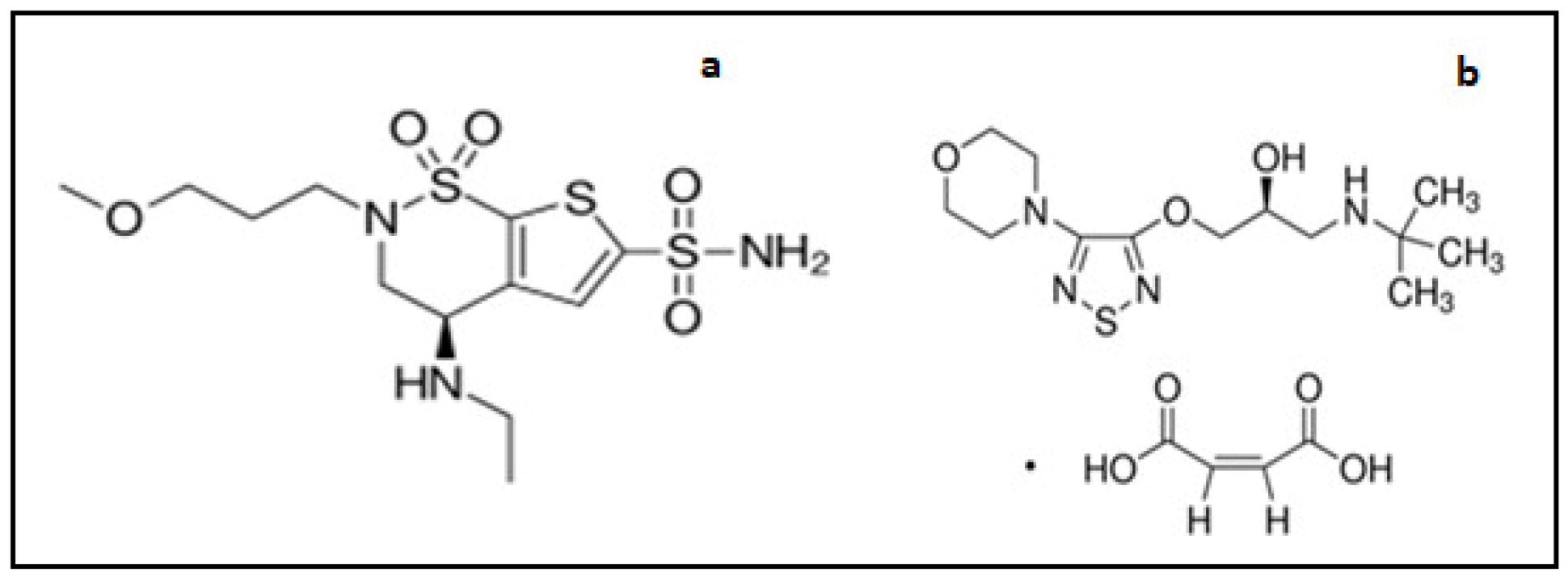
2.1. Reagents and Materials
2.1.1. Standards
2.1.2. Pharmaceutical Formulation
2.2. Chemicals and Solvents
2.3. Instruments and Software
2.3.1. TLC Conditions
2.3.2. HPLC Conditions
2.4. Standard Solutions
- For the TLC-densitometric method (Method I, MI)
- For PR-HPLC method (Method II, MII)
- Degradation stock solution
2.5. Method Validation
2.5.1. Chromatographic Conditions of Applied Methods
TLC-Densitometry (MI)
RP-HPLC Method (MII)
2.5.2. Selectivity/Specificity
2.5.3. Accuracy
2.5.4. Precision
2.5.5. Robustness
2.5.6. Application to AZARGA® Eye Drops Pharmaceutical Formulation
3. Results and Discussion
3.1. Method Optimization
3.1.1. TLC-Densitometry (MI)
3.1.2. HPLC (MII)
3.2. Validation of the Applied Method
3.2.1. Linearity
3.2.2. Selectivity/Specificity
3.2.3. Accuracy
3.2.4. Precision
3.2.5. Robustness
4. Conclusions
Author Contributions
Funding
Institutional Review Board Statement
Informed Consent Statement
Data Availability Statement
Acknowledgments
Conflicts of Interest
References
- Todd, A.R. The united states pharmacopoeia and national formulary in their relation to the food and drug laws. J. Am. Pharm. Assoc. 1913, 2, 1515–1517. [Google Scholar] [CrossRef]
- Maryadele, J.; Heckelman, P.E.; Koch, C.B.; Roman, K.J. The Merck Index: An Encyclopedia of Chemicals, Drugs and Biologicals; Merck & Co.: Jersey City, NJ, USA, 2006. [Google Scholar]
- Catteral, W.A.; Goodman, M.K. Goodman & Gilman’s: The Pharmacological Basis of Therapeutics, 11th ed.; Mc Graw Hill: New York, NY, USA, 2006; Chapter 14. [Google Scholar]
- Sharma, H.L.; Sharma, K.K. Principles of Pharmacology, 2nd ed.; Paras Medical Publisher: Telangana, India, 2007. [Google Scholar]
- Balakrishna, T.; Mrunal, S.; Amol, K. Analytical method development and validation for the determination of brinzolamide by RP-HPLC. JDDT 2020, 10, 92–96. [Google Scholar]
- Laddha, U.D.; Barse, R.K.; Zilpelwar, R.V.; Amol, T. Development and validation of stability indicating reverse phase high performance liquid chromatography method for timolol maleate. Int. J. Pharm. Tech. Res. 2014, 6, 1429–1435. [Google Scholar]
- Rizk, M.S.; Merey, H.A.; Tawakkol, S.M.; Sweilam, M.N. Development and validation of a stability-indicating micellar liquid chromatographic method for the determination of timolol maleate in the presence of its degradation products. J. Chromatogr. Sci. 2015, 53, 503–510. [Google Scholar] [CrossRef]
- Anusha, B.; Susmita, A.G.; Rajitha, G. Analytical method development and validation of new RP-HPLC method for simultaneous estimation of brinzolamide and timolol Maleate in ophthalmic solutions. Res. J. Pharm. Boil. Chem. Sci. 2016, 7, 1290–1298. [Google Scholar]
- Khatun, R.; Islam, A. Development and validation of analytical method for simultaneous estimation of brinzolamide and timolol by HPLC from ophthalmic preparation. Int. J. Pharma Sci. Res. 2014, 5, 1001–1007. [Google Scholar]
- Ibrahim, F.A.; Elmansi, H.M.; Abass, S.A. A versatile HPLC method with an isocratic single mobile phase system for simultaneous determination of anti-glaucoma formulations containing timolol. Ann. Pharm. Françaises 2019, 77, 302–312. [Google Scholar] [CrossRef]
- Shankar, C.H.; Venkateshwarlu, P. Analytical method development and validation for the simultaneous estimation of brinzolamide and timolol maleate by RP-HPLC method in bulk and tablet dosage form. Int. J. Curnt. Tren. Pharm. Res. 2016, 4, 84–90. [Google Scholar]
- Hassib, S.T.; Elkady, E.F.; Sayed, R.M. Simultaneous determination of timolol maleate in combination with some other anti-glaucoma drugs in rabbit aqueous humor by high performance liquid chromatography-tandem mass spectroscopy. J. Chromatogr. B Analyt. Technol. Biomed. Life Sci. 2016, 1022, 109–117. [Google Scholar] [CrossRef]
- Manoharan, G.; Al-Bratty, M. Development and validation of ultra violet spectrophotometric and reversed-phase high performance liquid chromatography techniques for simultaneous estimation of brinzolamide and brimonidine tartrate in ophthalmic suspension formulation. Orient. J. Chem. 2016, 32, 1111–1120. [Google Scholar] [CrossRef]
- Agrawal, V.P.; Desai, S.S.; Jani, J.K. Development of RP-HPLC method for simultaneous determination of brimonidine tartrate and brinzolamide by QbD approach and its validation. Eurasian J. Anal. Chem. 2016, 11, 63–78. [Google Scholar]
- Patel, P.; Darji, V.C.; Patel, B.R. Analytical method development and validation of stability indicating RP-HPLC method for estimation of brinzolamide and brimonidine tartrate in an ophthalmic suspension. Int. J. Res. Anal. Rev. 2019, 6, 150–156. [Google Scholar]
- Christian, J.R.; Patel, K.; Gandhi, T.R. Validation and experimental design assisted robustness testing of RPLC method for the simultaneous analysis of brinzolamide and brimonidine Tartrate in an ophthalmic dosage form. Indian J. Pharm. Sci. 2016, 78, 631–640. [Google Scholar] [CrossRef]
- Kumari, V.R.; Venkateswarrao, P.; Sunitha, A.; Keerthy, K. Stability indicating RP-HPLC method for simultaneous estimation of travopost and timolol in bulk and pharmaceutical dosage forms. Int. J. Pharm. Sci. Rev. Res. 2015, 5, 176–182. [Google Scholar]
- Hafez, M.H.; Elshanawany, A.A.; Mohram, S.M. Design of experiment utilization to develop a simple and robust RP-UPLC method for stability indicating method of anti- glaucoma ophthalmic drops. Eurasian J. Anal. Chem. 2015, 10, 46–67. [Google Scholar]
- Elshanawane, A.A.; Abdelaziz, M.L.; Mohram, S.M.; Hafez, M.H. Development and validation of HPLC method for simultaneous estimation of brimonidine tartrate and timolol maleate in bulk and pharmaceutical dosage form. J. Chromatogr. Sep. Tech. 2014, 5, 1–5. [Google Scholar]
- Sharma, N.; Rao, S.S.; Reddy, A.M. A novel and rapid validated stability-indicating UPLC method of related substances for dorzolamide hydrochloride and timolol maleate in ophthalmic dosage form. J. Chromatogr. Sci. 2012, 50, 745–755. [Google Scholar] [CrossRef]
- Eissa, M.S.; Nour, M.I.; Elghobashy, R.M.; Shehata, M.A. Validated TLC-Densitometry method for simultanouse determination of brinzolamide and timolol in their ophthalmic preparation. Anal. Chem. Lett. 2018, 7, 805–812. [Google Scholar]
- Kulkarni, S.P.; Amin, P.D. Stability indicating HPTLC determination of timolol maleate as bulk drug and in pharmaceutical preparations. J. Pharm. Biomed. Anal. 2000, 23, 983–987. [Google Scholar]
- Salem, H.; Aboulkheir, A.; AbdelAziz, E.B. Development and validation of novel Spectro-Chemometric, Chemometric and TLC-Densitometric methods for simultaneous determination of timolol and travoprost in their bulk powders and pharmaceutical formulation. Arch. Pharm. Pharmacol. Res. 2019, 2, 1–11. [Google Scholar]
- Maggio, R.M.; Vignaduzzo, S.E.; Kaufman, T.S. Practical and regulatory considerations for stability-indicating methods for the assay of bulk drugs and drug formulations. Trends Anal. Chem. 2013, 49, 57–70. [Google Scholar] [CrossRef]
- Zaazaa, H.E.; Abbas, S.S.; Essam, H.A.M.; El-Bardicy, M.G. Validated chromatographic methods for determination of perindopril and amlodipine in pharmaceutical formulation in the presence of their degradation products. J. Chromatogr. Sci. 2013, 51, 533–543. [Google Scholar] [CrossRef] [PubMed]
- ICH. Validation of analytical procedures methodology, ICH- Q2 (R1). In Proceedings of the International Conference on Harmonization (ICH) of Technical Requirements for Registration of Pharmaceuticals for Human Use; 2005. [Google Scholar]
- Sadaf, S.; Hussain, S.; Javed, M.; Raza, A.; Iqbal, S.; Alrbyawi, H.; Aljazzar, S.O. Simultaneous HPLC determination of clindamycin phosphate, tretinoin, and preservatives in gel dosage form using a novel stability-indicating method. Inorganics 2022, 10, 168. [Google Scholar]
- Hegazy, M.A.; Batubara, A.S.; Abdelgawad, M.A.; El-Sherbiny, M.; Ghoneim, M.M.; Ahmed, A.M.; Gamal, M. Recommended and verified stability indicating GC–MS procedures for green separation of quaternary mixture of naphazoline, ephedrine, methylparaben, and naphazoline impurity. Microchem. J. 2022, 183, 108058. [Google Scholar] [CrossRef]
- Bkhaitan, M.M.; Mirza, A.Z. Stability-indicating HPLC-DAD method for simultaneous determination of atorvastatin, irbesartan, and amlodipine in bulk and pharmaceutical preparations. Bull. Korean Chem. Soc. 2015, 36, 2230–2237. [Google Scholar] [CrossRef]
- Pankaj, K.; Mangla, B.; Beg, S.; Afzal, O.; Altamimi, A.S.A.; Almalki, W.H.; Ullah, S.N.M.N.; Aggarwal, G. Optimization and validation of stability indicating RP-HPLC method for the quantification of gefitinib in bulk drug and nanoformulations: An application towards in vitro and ex vivo performance evaluation. Arab. J. Chem. 2022, 15, 104333. [Google Scholar]
- Hisham, H.; Gouda, A.A.; Hassan, W. Development and validation of a rapid stability indicating chromatographic determination of cefdinir in bulk powder and dosage form using monolithic stationary phase. J. Liq. Chromatogr. Relat. Technol. 2022, 35, 1638–1648. [Google Scholar] [CrossRef]
- Fawzya, A.; Abdallaha, M.; Alqarnia, N. Kinetics and mechanism of oxidation of neomycin and streptomycin antibiotics by alkaline permanganate. Appl. Sci. 2020, 6, 1–5. [Google Scholar]
- Chaenko, N.V.; Pavlenko, N.I.; Kornienko, V.L. Indirect electrochemical oxidation of maleic acid by hydrogen peroxide in situ from oxygen in the gas-diffusion electrode. ACS Sustain. Chem. Eng. 2002, 10, 497. [Google Scholar]
- Devrukhakar, P.S.; Shankar, M.S.; Shankar, G.; Srinivas, R. Proposal of degradation pathway with toxicity prediction for hydrolytic and photolytic degradation products of timolol. J. Pharm. Biomed. Anal. 2018, 154, 7–15. [Google Scholar] [CrossRef]
- Sherma, J.; Fried, B. Handbook of Thin-Layer Chromatography, 3rd ed.; Dekker, M., Ed.; CRC Press: New York, NY, USA, 2003. [Google Scholar]
- FDA. Reviewer Guidance Validation of Chromatographic Methods Presented in Center for Drug Evaluation and Research (CDER); FDA: Silver Spring, MA, USA, 1994. [Google Scholar]





| Parameter | (MI) | (MII) | ||
|---|---|---|---|---|
| BRZ | TM | BRZ | TM | |
| Wavelength (nm) | 260 | 260 | ||
| Time of analysis (minutes) | 10 min | 6 min | ||
| Regression parameters | ||||
| range | 2.00–10.00 (µg/band) | 3.00–16.00 (µg/band) | 20.00–120.00 µg/mL | 20.00–120.00 µg/mL |
| Linearity | ||||
| Intercept | +7659.2 | +721.85 | −38.577 | −0.3853 |
| Slope | 640.87 | 293.65 | 13.886 | 0.7505 |
| Correlation Coefficients | 0.9996 | 0.9997 | 0.9998 | 0.9996 |
| Accuracy | ||||
| Mean ± SD | 99.51 ± 0.78 | 99.22 ± 1.08 | 101.31 ± 0.64 | 100.16 ± 0.62 |
| Precision data (± %RSD) | ||||
| Intraday precision a | ±0.43 | ±0.71 | ±0.19 | ±0.67 |
| Intermediate Precision b | ±0.93 | ±1.05 | ±0.21 | ±0.98 |
| Specificity c (Mean ± SD) | 99.92 ± 0.66 | 100.18 ± 1.35 | 99.92 ± 1.08 | 100.04 ± 0.39 |
| Robustness | ±0.99 | ±0.76 | ±0.16 | ±0.90 |
| LOD d | 0.70 µg/band | 0.99 μg/band | 5.11 μg/mL | 6.45 µg/mL |
| LOQ d | 2.13 µg/band | 3.00 μg/band | 15.49 μg/mL | 19.57 μg/mL |
| Product | Drugs | MI (Standard Addition) | MII (Standard Addition) | ||||||||
|---|---|---|---|---|---|---|---|---|---|---|---|
| Claimed Taken (µg/band) | Added (µg/band) | Total Found b (µg/band) | Standard Found b (µg/band) | %Recovery of Added b | Claimed Taken (µg/mL) | Added (µg/mL) | Total Found b (µg/mL) | Standard Found b (µg/mL) | %Recovery of Added b | ||
| AZARGA Drops a (B.N 27001) | BRZ | 4.00 | ----- | 3.94 | ------ | ----- | 50.00 | - | 50.40 | - | - |
| 4.00 | 2.00 | 5.92 | 1.98 | 99.00 | 50.00 | 25.00 | 75.72 | 25.32 | 101.28 | ||
| 4.00 | 4.00 | 7.91 | 3.97 | 99.25 | 50.00 | 50.00 | 100.91 | 50.51 | 101.02 | ||
| 4.00 | 5.00 | 9.01 | 5.07 | 101.40 | 50.00 | 60.00 | 111.00 | 60.60 | 101.00 | ||
| Mean ± SD b | 99.88 ± 1.31 | Mean ± SD b | 101.10 ± 0.15 | ||||||||
| TM | 5.00 | ----- | 4.90 | ----- | ----- | 25.00 | - | 25.30 | - | - | |
| 5.00 | 3.00 | 7.93 | 3.03 | 101.00 | 25.00 | 20.00 | 45.42 | 20.12 | 100.60 | ||
| 5.00 | 5.00 | 10.00 | 5.10 | 102.00 | 25.00 | 25.00 | 49.98 | 24.68 | 98.72 | ||
| 5.00 | 6.00 | 10.92 | 6.02 | 100.33 | 25.00 | 50.00 | 75.53 | 50.23 | 100.46 | ||
| Mean ± SD b | 100.11 ± 0.84 | Mean ± SD b | 99.92 ± 1.04 | ||||||||
| Analyzed Drug | Parameters | Ta | K’ a | Rs b | % Assay c | |
|---|---|---|---|---|---|---|
| BRZ | Amount of the developing system | 50 + 3 mL | 0.87 | 1.22 | 3.15 | 100.51 |
| 50 − 3 mL | 1.0 | 1.19 | 3.10 | 99.72 | ||
| Duration of saturation of chromatographic tank | 30 + 1 min | 0.83 | 1.20 | 3.23 | 98.55 | |
| 30 − 1 min | 1.0 | 1.21 | 3.20 | 100.10 | ||
| Development distance | 10 + 0.5 cm | 1.0 | 1.19 | 3.3 | 98.82 | |
| 10 − 0.5 cm | 1.0 | 1.17 | 3.28 | 101.17 | ||
| TM | Developing system amount | 50 + 3 mL | 0.90 | 0.89 | 1.22 | 100.95 |
| 50 − 3 mL | 1.02 | 0.82 | 1.18 | 99.92 | ||
| Duration of saturation of chromatographic tank | 30 + 1 min | 0.87 | 0.85 | 1.17 | 99.23 | |
| 30 − 1 min | 0.90 | 0.89 | 1.21 | 98.96 | ||
| Development distance | 10 + 0.5 cm | 1.0 | 0.82 | 1.3 | 99.57 | |
| 10 − 0.5 cm | 0.83 | 0.79 | 1.23 | 100.52 | ||
| Drug | Parameters | T a | K’ a | Rs b | % Assay c | |
|---|---|---|---|---|---|---|
| TM | Flow speed | 0.5 + 0.1 mL/minute | 1.20 | 16.61 | --- | 99.25 |
| 0.5 − 0.1 mL/minute | 1.00 | 16.62 | --- | 100.50 | ||
| pH values | 3.5 + 0.1 units | 1.10 | 16.58 | --- | 101.40 | |
| 3.5 − 0.1 units | 1.10 | 16.56 | --- | 101.13 | ||
| Wavelength | 260 + 0.5 nm | 1.10 | 16.61 | --- | 100.48 | |
| 260 − 0.5 nm | 1.10 | 16.61 | --- | 101.81 | ||
| BRZ | Flow speed | 0.5 + 0.1 mL/minute | 1.30 | 25.63 | 2.98 | 98.62 |
| 0.5 − 0.1 mL/minute | 1.10 | 25.62 | 3.07 | 98.81 | ||
| pH values | 3.5 + 0.1 units | 1.30 | 25.59 | 3.06 | 98.63 | |
| 3.5 − 0.1 units | 1.30 | 25.59 | 3.09 | 98.45 | ||
| Wavelength | 260 + 0.5 nm | 1.30 | 25.63 | 2.98 | 98.76 | |
| 260 − 0.5 nm | 1.30 | 25.63 | 2.97 | 98.91 | ||
| Parameters | Degradation of TM | BRZ | TM | Reference Value [35] |
|---|---|---|---|---|
| K′ “capacity factor” | 3.76 | 1.17 | 0.82 | The higher the K value for a compound, the less retardation factor is observed |
| α “Relative retention” | 3.21 | 1.43 | >1 | |
| Resolution | 3.31 | 1.23 | >1 | |
| Factor of Symmetry | 1.00 | 1.00 | 1.00 | 1 for symmetrical peak |
| Parameters | Obtained Value | Reference Value [36] | ||
|---|---|---|---|---|
| TM | Degradation of TM | BRZ | ||
| Resolution | 7.29 | 3.49 | R > 2 | |
| α “relative retention” | 1.31 | 1.18 | >1 | |
| K‘ “capacity factor” | 16.62 | 21.74 | 25.62 | K‘ > 2 |
| N “column efficiency” | 10,196 | 15,650 | 5425 | The higher the value, the more efficient separation |
| Tailing factor | 1.10 | 1.10 | 1.20 | T = 1 for typical symmetric peak |
Disclaimer/Publisher’s Note: The statements, opinions and data contained in all publications are solely those of the individual author(s) and contributor(s) and not of MDPI and/or the editor(s). MDPI and/or the editor(s) disclaim responsibility for any injury to people or property resulting from any ideas, methods, instructions or products referred to in the content. |
© 2023 by the authors. Licensee MDPI, Basel, Switzerland. This article is an open access article distributed under the terms and conditions of the Creative Commons Attribution (CC BY) license (https://creativecommons.org/licenses/by/4.0/).
Share and Cite
Mandour, A.A.; Nabil, N.; Zaazaa, H.E.; Ibrahim, M.M.; Ibrahim, M.A. Two Stability Indicating Chromatographic Methods: TLC Densitometric versus HPLC Method for the Simultaneous Determination of Brinzolamide and Timolol Maleate in Ophthalmic Formulation in the Presence of Probable Carcinogenic Oxidative Degradation Product of Timolol Maleate. Separations 2023, 10, 37. https://doi.org/10.3390/separations10010037
Mandour AA, Nabil N, Zaazaa HE, Ibrahim MM, Ibrahim MA. Two Stability Indicating Chromatographic Methods: TLC Densitometric versus HPLC Method for the Simultaneous Determination of Brinzolamide and Timolol Maleate in Ophthalmic Formulation in the Presence of Probable Carcinogenic Oxidative Degradation Product of Timolol Maleate. Separations. 2023; 10(1):37. https://doi.org/10.3390/separations10010037
Chicago/Turabian StyleMandour, Asmaa A., Nada Nabil, Hala E. Zaazaa, Munjed M. Ibrahim, and Mohamed A. Ibrahim. 2023. "Two Stability Indicating Chromatographic Methods: TLC Densitometric versus HPLC Method for the Simultaneous Determination of Brinzolamide and Timolol Maleate in Ophthalmic Formulation in the Presence of Probable Carcinogenic Oxidative Degradation Product of Timolol Maleate" Separations 10, no. 1: 37. https://doi.org/10.3390/separations10010037
APA StyleMandour, A. A., Nabil, N., Zaazaa, H. E., Ibrahim, M. M., & Ibrahim, M. A. (2023). Two Stability Indicating Chromatographic Methods: TLC Densitometric versus HPLC Method for the Simultaneous Determination of Brinzolamide and Timolol Maleate in Ophthalmic Formulation in the Presence of Probable Carcinogenic Oxidative Degradation Product of Timolol Maleate. Separations, 10(1), 37. https://doi.org/10.3390/separations10010037

