The Topic of the Ideal Dairy Farm Can Inspire How to Assess Knowledge about Dairy Production Processes: A Case Study with Students and Their Contributions
Abstract
:1. Introduction
2. Materials and Methods
2.1. Students Participating in Courses and Studies
2.2. Organization of Joint Teaching Activities with Erasmus+ Students
2.3. Participation of Erasmus+ Students in the Course as a Stage of Preparation for a Research Study
2.4. Data for the Research Study as a Result of Erasmus+ Students’ Homework
- (1)
- How do you understand the term: ideal dairy farm?
- (2)
- On the basis of what criteria—in your opinion—can the ideal dairy farm be considered?
- (3)
- In your opinion, the understanding of an ideal dairy farm may differ between farmers (dairy farm owners) and consumers? Justify the answer.
2.5. Data for a Research Study as a Result of Polish Students’ Homework
2.6. A Methodical Approach to Developing the Results of a Research Study with Erasmus+ Students
2.7. A Methodical Approach to Developing the Results of a Research Study with Polish Students
3. Results
3.1. Question 1: How Do We Understand the Ideal Dairy Farm?
3.2. Question 2: Criteria for Considering an Ideal Dairy Farm: Student Opinions
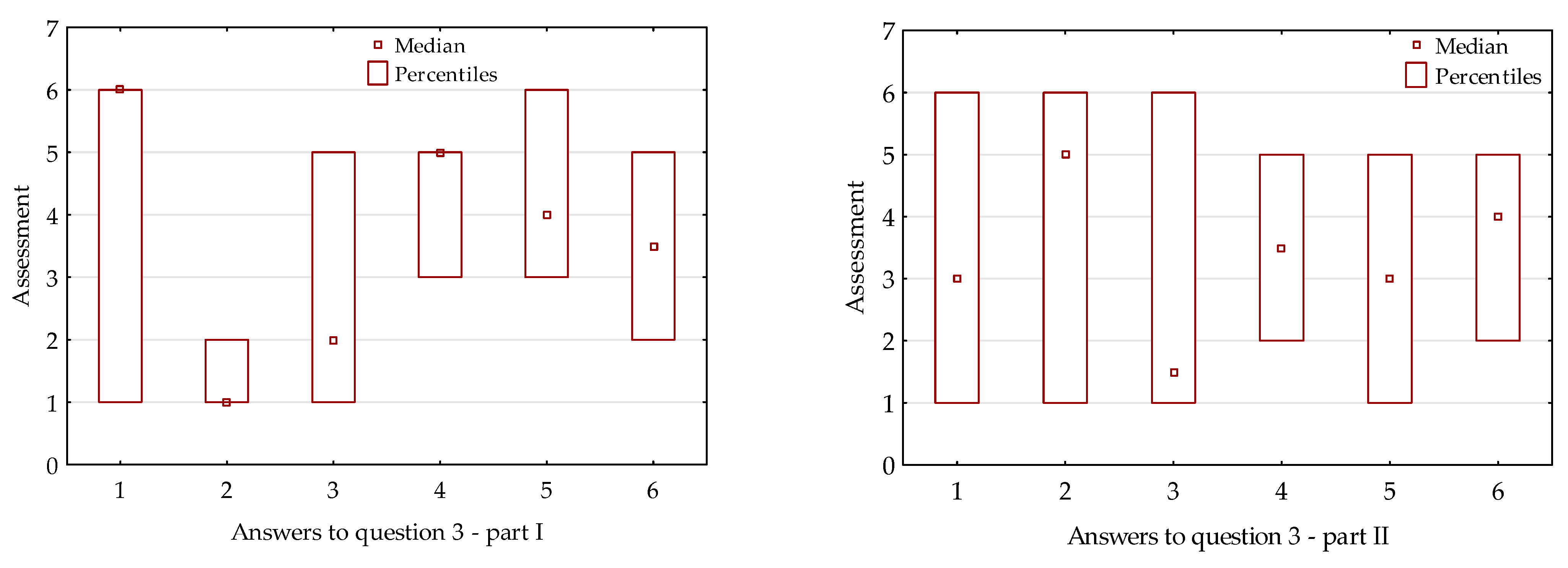
3.3. Question 3: Differences in Understanding the Ideal Dairy Farm between Farmers (Owners of Dairy Farms) and Consumers as Assessed by Students
3.4. An Overview of the State of Knowledge on the Ideal Dairy Farm in Studies Prepared by Erasmus+ Students
3.5. Assessment of the Approach of Polish Students to an Ideal Dairy Farm Based on Keywords
4. General Discussion
5. Conclusions
Author Contributions
Funding
Institutional Review Board Statement
Informed Consent Statement
Data Availability Statement
Acknowledgments
Conflicts of Interest
References
- MacDonald, J.M.; O’Donoghue, E.J.; McBride, W.D.; Nehring, R.F.; Sandretto, C.L.; Mosheim, R. Profits, Costs, and the Changing Structure of Dairy Farming; Economic Research Service Report No. 47; US Department of Agriculture Economic Research Service (USDA-ERS): Washington, DC, USA, 2007.
- Edwards, J.P.; Kuhn-Sherlock, B.; Dela, R.B.T.; Eastwood, C.R. Short communication: Technologies and milking practices that reduce hours of work and increase flexibility through milking efficiency in pasture-based dairy farm systems. J. Dairy Sci. 2020, 103, 7172–7179. [Google Scholar] [CrossRef] [PubMed]
- Espinoza-Ortega, A.; Espinosa-Ayala, E.; Bastida-López, J.; Castañeda-Martínez, T.; Arriaga-Jordán, C. Small-scale dairy farming in the highlands of central Mexico: Technical, economic and social aspects and their impact on poverty. Exp. Agric. 2007, 43, 241–256. [Google Scholar] [CrossRef]
- Uzal, S. Comparison of the energy efficiency of dairy production farms using different housing systems. Environ. Prog. Sustain. 2013, 32, 1202–1208. [Google Scholar] [CrossRef]
- Rotz, C.A.; Montes, F.; Hafner, S.D.; Heber, A.J.; Gran, R.H. Ammonia emission model for whole farm evaluation of dairy production systems. J. Environ. Qual. 2014, 43, 1143–1158. [Google Scholar] [CrossRef] [PubMed] [Green Version]
- Chen, W.; Holden, N.M. Social life cycle assessment of average Irish dairy farm. Int. J. Life Cycle Assess. 2017, 22, 1459–1472. [Google Scholar] [CrossRef]
- Britt, J.H.; Cushman, R.A.; Dechow, C.D.; Dobson, H.; Humblot, P.; Hutjens, M.F.; Jones, G.A.; Ruegg, P.S.; Sheldon, I.M.; Stevenson, J.S. Invited review: Learning from the future–A vision for dairy farms and cows in 2067. J. Dairy Sci. 2018, 101, 3722–3741. [Google Scholar] [CrossRef] [PubMed] [Green Version]
- Stanco, M.; Lerro, M.; Marotta, G.; Nazzaro, C. Consumers’ and farmers’ characteristics in short food supply chains: An exploratory analysis. Stud. Agric. Econ. 2019, 121, 67–74. [Google Scholar] [CrossRef] [Green Version]
- Cardoso, C.S.; Hötzel, M.J.; Weary, D.M.; Robbins, J.A.; von Keyserlingk, M.A.G. Imagining the ideal dairy farm. J. Dairy Sci. 2016, 99, 1663–1671. [Google Scholar] [CrossRef] [Green Version]
- von Keyserlingk, M.A.G.; Rushen, J.; de Passillé, A.M.B.; Weary, D.M. Invited review: The welfare of dairy cattle–Key concepts and the role of science. J. Dairy Sci. 2009, 92, 4101–4111. [Google Scholar] [CrossRef]
- Bugueiro, A.; Pedreira, J.; Diéguez, F.J. Study on the major welfare problems of dairy cows from the Galicia region (NW Spain). J. Anim. Behav. Biomet. 2018, 6, 84–89. [Google Scholar] [CrossRef]
- Mullan, S.; Bunglavan, S.J.; Rowe, E.; Barrett, D.C.; Lee, M.R.F.; Ananth, D.; Tarlton, J. Welfare challenges of dairy cows in India identified through on-farm observations. Animals 2020, 10, 586. [Google Scholar] [CrossRef] [Green Version]
- Hötzel, M.J. Letter to the editor: Engaging (but not “educating”) the public in technology developments may contribute to a socially sustainable dairy industry. J. Dairy Sci. 2016, 99, 6853–6854. [Google Scholar] [CrossRef] [Green Version]
- Villettaz, R.M.; Rushen, J.; de Passillé, A.M.; Vasseur, E.; Orsel, K.; Pellerin, D. Associations between on-farm animal welfare indicators and productivity and profitability on Canadian dairies: I. On freestall farms. J. Dairy Sci. 2019, 102, 4341–4351. [Google Scholar] [CrossRef] [PubMed]
- Villettaz, R.M.; Rushen, J.; de Passillé, A.M.; Vasseur, E.; Haley, D.; Pellerin, D. Associations between on-farm cow welfare indicators and productivity and profitability on Canadian dairies: II. On tiestall farms. J. Dairy Sci. 2019, 102, 4352–4363. [Google Scholar] [CrossRef]
- Anthony, R. Building a sustainable future for animal agriculture: An environmental virtue ethic of care approach within the philosophy of technology. J. Agric. Environ. Ethic. 2012, 25, 123–144. [Google Scholar] [CrossRef]
- Cuartas, M.B.; Barrios, D.; Cerón-Muñoz, M.F. Satisfaction among dairy farm owners after certification on good management practices. Revi. Fac. Nac. Agron. Medel. 2018, 71, 8623–8630. [Google Scholar] [CrossRef]
- Cardoso, C.S.; von Keyserlingk, M.A.G.; Hötzel, M.J. Views of dairy farmers, agricultural advisors, and lay citizens on the ideal dairy farm. J. Dairy Sci. 2019, 102, 1811–1821. [Google Scholar] [CrossRef] [PubMed] [Green Version]
- Ritter, C.; Russell, E.R.; Weary, D.M.; von Keyserlingk, M.A.G. Views of American animal and dairy science students on the future of dairy farms and public expectations for dairy cattle care: A focus group study. J. Dairy Sci. 2021, 104, 7984–7995. [Google Scholar] [CrossRef] [PubMed]
- Vargas-Bello-Pérez, E.; Obermöller-Bustamante, C.; Faber, I.; Tadich, T.; Toro-Mujica, P. Knowledge and perception on animal welfare in Chilean undergraduate students with emphasis on dairy cattle. Animals 2021, 11, 1921. [Google Scholar] [CrossRef]
- Kontur, F.; Terry, N.B. Motivating students to do homework. Phys. Teach. 2014, 52, 295–297. [Google Scholar] [CrossRef] [Green Version]
- Creswell, J.W. Educational Research: Planning, Conducting, and Evaluating Quantitative and Qualitative Research, 3rd ed.; Prentice Hall: Upper Saddle River, NJ, USA, 2008. [Google Scholar]
- Borowski, P.F. New technologies and innovative solutions in the development strategies of energy enterprises. High Tech. Innov. J. 2020, 1, 39–58. [Google Scholar] [CrossRef]
- Borowski, P.F. Significance and directions of energy development in African countries. Energies 2021, 14, 4479. [Google Scholar] [CrossRef]
- Kruskal, W.H.; Wallis, W.A. Use of ranks in one-criterion variance analysis. J. Am. Stat. Assoc. 1952, 47, 583–621. [Google Scholar] [CrossRef]
- Statistica v.13 Software; StatSoft Polska: Cracow, Poland. Available online: https://www.statsoft.pl/ (accessed on 4 May 2021).
- Hurty-Person, J. The future of dairy: What is the ideal dairy farm? Progress. Dairym. 2016, 1, 8. [Google Scholar]
- Steeneveld, W.; Hogeveen, H. Characterization of Dutch dairy farms using sensor systems for cow management. J. Dairy Sci. 2015, 98, 709–717. [Google Scholar] [CrossRef] [PubMed]
- Calaprice, A. Einstein w Cytatach [Einstein in Quotes]; Prószyński i S-ka Publishing House: Warsaw, Poland, 1997. [Google Scholar]
- Hötzel, M.J.; Cardoso, C.S.; Roslindo, A.; von Keyserlingk, M.A.G. Citizens’ views on the practices of zero-grazing and cow-calf separation in the dairy industry: Does providing information increase acceptability? J. Dairy Sci. 2017, 100, 4150–4160. [Google Scholar] [CrossRef] [PubMed] [Green Version]
- Vanhonacker, F.; Verbeke, W.; Van Poucke, E.; Tuyttens, F.A.M. Do citizens and farmers interpret the concept of farm animal welfare differently? Livest. Sci. 2008, 116, 126–136. [Google Scholar] [CrossRef]
- Ventura, B.A.; von Keyserlingk, M.A.G.; Wittman, H.; Weary, D.M. What difference does a visit make? Changes in animal welfare perceptions after interested citizens tour a dairy farm. PLoS ONE 2016, 11, e0154733. [Google Scholar] [CrossRef] [PubMed] [Green Version]
- Sumner, C.L.; von Keyserlingk, M.A.G.; Weary, D.M. How benchmarking motivates farmers to improve dairy calf management. J. Dairy Sci. 2018, 101, 3323–3333. [Google Scholar] [CrossRef] [PubMed]
- Gaworski, M.; Turbakiewicz, S. Understanding animal welfare by students and graduates of different studies. Agron. Res. 2020, 18, 1255–1266. [Google Scholar] [CrossRef]
- Sumner, C.L.; von Keyserlingk, M.A.G.; Weary, D.M. Perspectives of farmers and veterinarians concerning dairy cattle welfare. Anim. Front. 2018, 8, 8–13. [Google Scholar] [CrossRef] [PubMed]
- Fenner, K.; Dashper, K.; Wilkins, C.; Serpell, J.; McLean, A.; Wilson, B.; McGreevy, P. Building bridges between theory and practice: How citizen science can bring equine researchers and practitioners together. Animals 2020, 10, 1644. [Google Scholar] [CrossRef] [PubMed]
- Miele, M.; Veissier, I.; Evans, A.; Botreau, R. Animal welfare: Establishing a dialogue between science and society. Anim. Welf. 2011, 20, 103–117. [Google Scholar]
- Alonso, M.E.; González-Montaña, J.R.; Lomillos, J.M. Consumers’ concerns and perceptions of farm animal welfare. Animals 2020, 10, 385. [Google Scholar] [CrossRef] [PubMed] [Green Version]
- Clark, B.; Stewart, G.B.; Panzone, L.A.; Kyriazakis, I.; Frewer, L.J. Citizens, consumers and farm animal welfare: A meta-analysis of willingness-to-pay studies. Food Policy 2017, 68, 112–127. [Google Scholar] [CrossRef] [Green Version]
- Christensen, T.; Lawrence, A.; Lund, M.; Stott, A.; Sandøe, P. How can economists help to improve animal welfare? Anim. Welf. 2012, 21, 1–10. [Google Scholar] [CrossRef]
- Wolf, C.A.; Tonsor, G.T.; McKendree, M.G.S.; Thomson, D.U.; Swanson, J.C. Public and farmer perceptions of dairy cattle welfare in the United States. J. Dairy Sci. 2016, 99, 5892–5903. [Google Scholar] [CrossRef] [Green Version]
- Jamieson, J.; Reiss, M.J.; Allen, D.; Asher, L.; Wathes, C.M.; Abeyesinghe, S.M. Measuring the success of a farm animal welfare education event. Anim. Welf. 2012, 21, 65–75. [Google Scholar] [CrossRef]
- De Briyne, N.; Vidović, J.; Morton, D.B.; Magalhães-Sant’Ana, M. Evolution of the teaching of animal welfare science, ethics and law in European Veterinary Schools (2012–2019). Animals 2020, 10, 1238. [Google Scholar] [CrossRef]
- Freire, R.; Nicol, C.J. A bibliometric analysis of past and emergent trends in animal welfare science. Anim. Welf. 2019, 28, 465–485. [Google Scholar] [CrossRef]
- Robbins, J.A.; von Keyserlingk, M.A.G.; Fraser, D.; Weary, D.M. Invited review: Farm size and animal welfare. J. Anim. Sci. 2016, 94, 5439–5455. [Google Scholar] [CrossRef]
- Buller, H.; Blokhuis, H.; Jensen, P.; Keeling, L. Towards farm animal welfare and sustainability. Animals 2018, 8, 81. [Google Scholar] [CrossRef] [PubMed] [Green Version]
- Jacobs, J.A.; Siegford, J.M. Invited review: The impact of automatic milking systems on dairy cow management, behavior, health, and welfare. J. Dairy Sci. 2012, 95, 2227–2247. [Google Scholar] [CrossRef]
- Fraser, D.; Weary, D.M.; Pajor, E.A.; Milligan, B.N. A scientific conception of animal welfare that reflects ethical concerns. Anim. Welf. 1997, 6, 187–205. [Google Scholar]
- Prickett, R.W.; Norwood, F.B.; Lusk, J.L. Consumer preferences for farm animal welfare: Results from a telephone survey of US households. Anim. Welf. 2010, 19, 335–347. [Google Scholar]
- Ellis, K.A.; Billington, K.; McNeil, B.; McKeegan, D.E.F. Public opinion on UK milk marketing and dairy cow welfare. Anim. Welf. 2009, 18, 267–282. [Google Scholar]
- Schuppli, C.A.; von Keyserlingk, M.A.G.; Weary, D.M. Access to pasture for dairy cows: Responses from an online engagement. J. Anim. Sci. 2014, 92, 5185–5192. [Google Scholar] [CrossRef] [PubMed]
- Boogaard, B.K.; Bock, B.B.; Oosting, S.J.; Krogh, E. Visiting a farm: An exploratory study of the social construction of animal farming in Norway and the Netherlands based on sensory perception. Int. J. Soc. Agric. Food 2010, 17, 24–50. [Google Scholar]
- Fregonesi, J.A.; Veira, D.M.; von Keyserlingk, M.A.G.; Weary, D.M. Effects of bedding quality on lying behavior of dairy cows. J. Dairy Sci. 2007, 90, 5468–5472. [Google Scholar] [CrossRef] [Green Version]
- Gaworski, M. Free-stall use and preferences in dairy cows: A case study on neck rails covered by foam. Animals 2019, 9, 772. [Google Scholar] [CrossRef] [Green Version]
- Telezhenko, E.; Lidfors, L.; Bergsten, C. Dairy cow preferences for soft or hard flooring when standing or walking. J. Dairy Sci. 2007, 90, 3716–3724. [Google Scholar] [CrossRef] [PubMed]
- DeVries, T.J.; von Keyserlingk, M.A.G.; Weary, D.M. Effect of feeding space on the inter-cow distance, aggression, and feeding behavior of free-stall housed lactating dairy cows. J. Dairy Sci. 2004, 87, 1432–1438. [Google Scholar] [CrossRef]
- Machado, F.L.C.P.; Teixeira, D.L.; Weary, D.M.; von Keyserlingk, M.A.G.; Hötzel, M.J. Designing better water troughs: Dairy cows prefer and drink more from larger troughs. Appl. Anim. Behav. Sci. 2004, 89, 185–193. [Google Scholar]
- Herbut, P.; Angrecka, S.; Godyń, D.; Hoffmann, G. The physiological and productivity effects of heat stress in cattle–A review. Ann. Anim. Sci. 2019, 19, 579–593. [Google Scholar] [CrossRef] [Green Version]
- Tresoldi, G.; Schütz, K.E.; Tucker, C.B. Cooling cows with sprinklers: Effects of soaker flow rate and timing on behavioral and physiological responses to heat load and production. J. Dairy Sci. 2019, 102, 528–538. [Google Scholar] [CrossRef] [Green Version]
- Mondaca, M.R.; Cook, N.B. Modeled construction and operating costs of different ventilation systems for lactating dairy cows. J. Dairy Sci. 2019, 102, 896–908. [Google Scholar] [CrossRef] [PubMed] [Green Version]
- Leola, A.; Priekulis, J.; Česna, J.; Gaworski, M. Trend of cow herd size in Baltic states. Agron. Res. 2021, 19, 1052–1059. [Google Scholar] [CrossRef]
- Gaworski, M.; Leola, A.; Sada, O.; Kic, P.; Priekulis, J. Effect of cow traffic system and herd size on cow performance and automatic milking systems capacity. Agron. Res. 2016, 14, 33–40. [Google Scholar]
- Wagner, A.; Palmer, R.W.; Bewley, J.; Jackson-Smith, D.B. Producer satisfaction, efficiency, and investment cost factors of different milking systems. J. Dairy Sci. 2001, 84, 1890–1898. [Google Scholar] [CrossRef]
- de Boyer, D.R.A.; Lardy, R.; Capdeville, J.; Mounier, L.; Veissier, I. Do International Commission of Agricultural and Biosystems Engineering (CIGR) dimension recommendations for loose housing of cows improve animal welfare? J. Dairy Sci. 2019, 102, 10235–10249. [Google Scholar] [CrossRef]
- Lardy, R.; de Boyer, D.R.A.; Capdeville, J.; Bastien, R.; Mounier, L.; Veissier, I. Refinement of international recommendations for cubicles, based on the identification of associations between cubicle characteristics and dairy cow welfare measures. J. Dairy Sci. 2021, 104, 2164–2184. [Google Scholar] [CrossRef] [PubMed]
- Gaworski, M.; Boćkowski, M. Method for comparing current versus recommended housing conditions in dairy cattle production. Agric. Food Sci. 2018, 27, 17–27. [Google Scholar] [CrossRef] [Green Version]
- Mills, K.E.; Koralesky, K.E.; Weary, D.M.; von Keyserlingk, M.A.G. Dairy farmer advising in relation to the development of standard operating procedures. J. Dairy Sci. 2020, 103, 11524–11534. [Google Scholar] [CrossRef]
- de Otálora, X.D.; del Prado, A.; Dragoni, F.; Estellés, F.; Amon, B. Evaluating three-pillar sustainability modelling approaches for dairy cattle production systems. Sustainability 2021, 13, 6332. [Google Scholar] [CrossRef]
- Tomasevic, I.; Bahelka, I.; Čítek, J.; Čandek-Potokar, M.; Djekić, I.; Getya, A.; Guerrero, L.; Ivanova, S.; Kušec, G.; Nakov, D.; et al. Attitudes and beliefs of Eastern European consumers towards animal welfare. Animals 2020, 10, 1220. [Google Scholar] [CrossRef]
- Cardoso, C.S.; von Keyserlingk, M.A.G.; Hötzel, M.J. Brazilian citizens: Expectations regarding dairy cattle welfare and awareness of contentious practices. Animals 2017, 7, 89. [Google Scholar] [CrossRef] [Green Version]
- Heleski, C.R.; Mertig, A.G.; Zanella, A.J. Assessing attitudes toward farm animal welfare: A national survey of animal science faculty members. J. Anim. Sci. 2004, 82, 2806–2814. [Google Scholar] [CrossRef]
- Beaver, A.; Proudfoot, K.L.; von Keyserlingk, M.A.G. Symposium review: Considerations for the future of dairy cattle housing: An animal welfare perspective. J. Dairy Sci. 2020, 103, 5746–5758. [Google Scholar] [CrossRef]
- Ritter, C.; Mills, K.E.; Weary, D.M.; von Keyserlingk, M.A.G. Perspectives of western Canadian dairy farmers on the future of farming. J. Dairy Sci. 2020, 103, 10273–10282. [Google Scholar] [CrossRef] [PubMed]
- Raedts, P.J.M.; Garcia, S.C.; Chapman, D.F.; Edwards, G.R.; Lane, N.; Rawnsley, R.P. Is systems research addressing the current and future needs of dairy farms? Anim. Prod. Sci. 2017, 57, 1311–1322. [Google Scholar] [CrossRef]
- Kensinger, R.S.; Muller, L.D. Major advances in teaching dairy production. J. Dairy Sci. 2006, 89, 1155–1162. [Google Scholar] [CrossRef] [Green Version]
- Calsamiglia, S.; Espinosa, G.; Vera, G.; Ferret, A.; Castillejos, L. A virtual dairy herd as a tool to teach dairy production and management. J. Dairy Sci. 2020, 103, 2896–2905. [Google Scholar] [CrossRef] [PubMed] [Green Version]
- Gaworski, M. Ethics and transformation of Polish food chain. In Ethics and the Politics of Food, Proceedings of the 6th Congress of the European Society for Agricultural and Food Ethics, Oslo, Norway, 22–24 June 2006; Kaiser, M., Lien, M.E., Eds.; Wageningen Academic Publisher: Oslo, Norway, 2006; pp. 270–273. [Google Scholar]
- Dodson, J.R. The impact of online homework on class productivity. Sci. Educ. Int. 2014, 25, 354–371. [Google Scholar]
- Richards-Babb, M.; Drelick, J.; Henry, Z.; Robertson-Honecker, J. Online homework, help or hindrance? What students think and how they perform. J. Coll. Sci. Teaching 2011, 40, 81–93. [Google Scholar]
- Cavus, N.; Mohammed, Y.B.; Yakubu, M.N. Determinants of learning management systems during COVID-19 pandemic for sustainable education. Sustainability 2021, 13, 5189. [Google Scholar] [CrossRef]
- Han, F. The relations between teaching strategies, students’ engagement in learning, and teachers’ self-concept. Sustainability 2021, 13, 5020. [Google Scholar] [CrossRef]
- Orlov, G.; McKee, D.; Berry, J.; Boyle, A.; DiCiccio, T.; Ransom, T.; Rees-Jones, A.; Stoye, J. Learning during the COVID-19 pandemic: It is not who you teach, but how you teach. Econ. Lett. 2021, 202, 109812. [Google Scholar] [CrossRef]
- Reinhold, F.; Hoch, S.; Werner, B.; Richter-Gebert, J.; Reiss, K. Learning fractions with and without educational technology: What matters for high-achieving and low-achieving students? Learn. Instr. 2020, 65, 101264. [Google Scholar] [CrossRef]
- Kalaian, S.A.; Kasim, R.M.; Nims, J.K. Effectiveness of small-group learning pedagogies in engineering and technology education: A meta-analysis. J. Technol. Educ. 2018, 29, 20–35. [Google Scholar] [CrossRef]




| Student/Answer | The Content of the Interpretation |
|---|---|
| Student/answer 1 | For me, the ideal dairy farm is a farm that focus of the wellbeing of the animal and can produce enough milk of quality for the farmer to make enough money. |
| Student/answer 2 | A dairy farm is a farm that produces milk or milk products such as manufacture of butter and cheese. Even if a dairy farm can have good production rates, its practices can have negative effects on environment, food safety and animal welfare. An “ideal” dairy farm is to me a sustainable farm that will keep a balance between its production, rentability and aspects such as workers safety, environmental issue, food safety and animal welfare and ethics. It combines profitability with responsibility of humans, animals’ health and environment. |
| Student/answer 3 | For me, an ideal dairy farm is one where there is a high level of animal welfare that means no mistreatment of livestock, animals have access to pasture, no injuries and they are not treated with synthetic hormones. I think that the farmer welfare is also very important in an ideal farm. With these two parameters, the productivity will be high. In my opinion, an ideal dairy farm is based on a virtuous circle. If a cow is in a good health (no mastitis, no lameness, no injuries), she will produce more milk and the farmer will have more input. If the cows have access to pasture, the produced milk will be of better quality and the farmer will receive a better salary thanks to the bonus. Thus, if the cows are well-treated, they produce more, and farmers are well-paid, so they also feel good. Moreover, I think that the robotization is also important in an ideal farm. Indeed, thanks to robot (milking robot, feeding robots) farmers can save more time for their family and for their hobbies. Furthermore, I think that an ideal dairy farm has to be sustainable that means have a low impact on the environment, a low footprint. Finally, for me, the ideal farm is a family farm which is passed from one generation to another with a little number of cows. I think that it is not important to have a big herd but 60 cows it’s enough. |
| Student/answer 4 | Good for the farmer and good for the animals. |
| Student/answer 5 | The ideal dairy farm should be both satisfied by producers and consumers. It is indeed that there is difference between what producers and consumers demand. Therefore, how to make balance with these purposes is an important issue. |
| Student/answer 6 | According to me, an ideal dairy farm is where social, economic and environment factors are all optimized. Autonomy and financial rentability are necessary to ensure a good quality of life to the farmer. I think that autonomy within a farm is obtained through agro-ecological practices of managing the life cycles of nutrient and increasing material exchanges between both animal and vegetable production. |
| Student Assessment Based on the Criterion … | Overall Assessment of the Question | ||||||
|---|---|---|---|---|---|---|---|
| Accuracy of the Answer | Structure of the Answer | ||||||
| Answer | Sum of Ranks | Order | Sum of Ranks | Order | Sum of Ranks | Order | |
| Question 1 | Answer 1 | 28 | 4 | 25 | 3 | 53 | 4 |
| Answer 2 | 10 | 1 | 24 | 2 | 34 | 2 | |
| Answer 3 | 15 | 2 | 16 | 1 | 31 | 1 | |
| Answer 4 | 34 | 5 | 29 | 4 | 63 | 5 | |
| Answer 5 | 24 | 3 | 16 | 1 | 40 | 3 | |
| Answer 6 | 15 | 2 | 16 | 1 | 31 | 1 | |
| Question 2 | Answer 1 | 36 | 6 | 29 | 5 | 65 | 6 |
| Answer 2 | 24 | 5 | 28 | 4 | 52 | 5 | |
| Answer 3 | 12 | 1 | 9 | 1 | 21 | 1 | |
| Answer 4 | 21 | 4 | 18 | 2 | 39 | 4 | |
| Answer 5 | 19 | 3 | 18 | 2 | 37 | 2 | |
| Answer 6 | 14 | 2 | 24 | 3 | 38 | 3 | |
| Question 3 | Answer 1 | 31 | 6 | 22 | 4 | 53 | 6 |
| Answer 2 | 8 | 1 | 25 | 6 | 33 | 2 | |
| Answer 3 | 15 | 2 | 16 | 1 | 31 | 1 | |
| Answer 4 | 27 | 5 | 21 | 3 | 48 | 5 | |
| Answer 5 | 24 | 4 | 18 | 2 | 42 | 3 | |
| Answer 6 | 21 | 3 | 24 | 5 | 45 | 4 | |
| Student/Answer | The Content of the Interpretation |
|---|---|
| Student/answer 1 | I think the ideal farm can be considered on the basis on animal wellbeing. |
| Student/answer 2 | To my mind, an ideal dairy farm can be considered on the basis of water access, pasture access, cow-calf separation and shade access for cows. It is also important to consider milk quality with for example nutrients amount for the milk. Working hours for the farmer and safety. Energy amount such as fuel consumption and pollution rate such as gas emission. And also “classical” criteria such as milk production. |
| Student/answer 3 | In my opinion, different criteria can be considered to define an ideal farm:
|
| Student/answer 4 | It’s complicated, each people have a different opinion about “THE ideal”, but it is necessary to combine practicality for the farmer, and comfort for the animals. As:
|
| Student/answer 5 | The condition of cow, such as health, milk yield, animal welfare (freedom, happiness). The environment, such as temperature, humidity, cleanness, well draughty, high comfort level, hygiene. The management, such as to disinfect of tools, record the condition, high mobility, sustainability. The profit, such as low labor hour, high mechanization. |
| Student/answer 6 | The criteria to take into account depend on ethical, economic, environmental and social values. The economic rentability is the first criterion to make the farm operational. The social point of view is then very important, is the breeder’s workload reasonable? Are his working conditions correct and allow him to flourish? This criterion is important to assess the sustainability of the farm in time. Nevertheless, sustainability over time is also depending on the environmental and the ecological impact of the farm activities. Therefore, direct and indirect emissions of the farm, and all kind of releases and energy use have to be managed precisely. Last but not least, animal welfare is a key factor to make the farm “ideal”, indeed, this issue has an important impact on the production, but also on the farmer. I think cow well-being is directly related to human and the breeder well-being. |
| Student/Answer | The Content of the Interpretation |
|---|---|
| Student/answer 1 | For the farmer the ideal farm may be a farm that produce a milk of quality in big quantity, at small cost. For the consumer, they will maybe prefer a farm that focus on the wellbeing of the animal and that produce a milk of quality. |
| Student/answer 2 | In my opinion “ideal” differs between farmers because we don’t have the same “priorities” and the same sensibility. For example, some farmers will understand it as the animal welfare only, while others will understand it as environmental aspects. It is the same between farmers and consumers. I think consumers will pay more attention on welfare issues and milk quality while farmers will pay also attention on workers safety and rentability, economic aspects. There is a study of the American Dairy Science Association that shows that milk quality is the criteria the most cited by citizens while economic issue is the most cited by farmers. Animal welfare is a criterion that seems to be pretty much mentioned by everyone [16]. There are also some criteria that are not perceived the same way between consumers and farmers, as for example the fact if dairy calves should be separated from the cow within the first few hours after birth. A study show that 60% producers say “yes”, 100% of veterinarians say “yes”, 60% of students say “yes”, 95% of animal advocate say “no” and 90% of non-dairy say “no”. That shows a huge difference on the perception of positive or negative effect on a criterion [27]. |
| Student/answer 3 | In my opinion, for the farmer, the main purpose is to make the biggest profit. They want to produce more at lower costs and to enhance the selling price as high as is possible. An ideal farm for the farmers is also an ergonomic farm where there is not risk of injuries and a farm that allows them to save more time and thus spend more time with their family. In contrary, for the consumers, the arguments are different to define an ideal farm. For them, I think that the most relevant criteria for an ideal farm is the animal welfare. Indeed, consumers are very careful about it and they don’t want to drink milk that comes from a farm where animals are not well-treated. For example, the number of supermarkets that sells battery-raised chicken eggs because consumers don’t want to buy and eat this kind of products. Moreover, I think that consumers want also to have a milk that comes from a clean farm and where farmers limit the use of antibiotics. Consumers are more and more worry about the antibiotic resistance and its transmission from animals to human that’s why they are attentive to that. |
| Student/answer 4 | Of course For a farmer the ideal farm is functional, it makes his job easier. For consumers, the ideal farm is one where the animals are happy, peaceful and healthy. But the farmer also wants these animals to be happy. I would say that in the end, in the farmer’s ideal farm would be to think of him and his animals while the consumers’ ideal farm would only care about the welfare of the animals. |
| Student/answer 5 | For the farmers, the purpose might be to make the biggest profit. They will consider how to lower the production cost and enhance the selling price as high as they can. Therefore, they will cultivate high milk production cow breed and make the farm suitable for cows to produce milk. For the consumers, the purpose might be to get the best price–performance ratio. In other word, they are looking for the product with high quality and low price. Some customers care about animal welfare. Also, the research indicated that happy cow produce better milk. Therefore, they will be looking for the milk that is produced by well treated cows. They also want the farm to be clean; because they don’t want the milk being polluted. |
| Student/answer 6 | I think that both point of view may be similar because the understanding of “ideal” should be objective and based on multiple criteria. If the consumer only has access to the final product of a dairy farm—milk, cheese, yogurt or whatever—he/she knows that the quality is plural and it results from the choices of the breeder. If the breeder has a good quality of life, a reasonable income and workload, he/she can then think of improving certain parameters which will not have a direct effect on his own comfort (improve animal welfare, food sourcing, energetic cost…). These improvements are responsible for final consumer satisfaction. If their expectations are different, they nevertheless lead to the same social, environmental and economic objectives. |
| Student | Number of Characters | Number of Words | Number of Paragraphs | Number of Sub-Headings | Citations/References | ||
|---|---|---|---|---|---|---|---|
| Number | Language | Source | |||||
| Student 1 | 2875 | 587 | 7 | 0 | 3 | 3 × E | 2 × J 1 × L |
| Student 2 | 4493 | 868 | 6 | 0 | 5 | 4 × E 1 × F | 5 × L |
| Student 3 | 5487 | 1075 | 13 | 5 | 6 | 4 × E 2 × F | 6 × J |
| Student 4 | 3607 | 749 | 19 | 3 | 4 | 2 × E 2 × F | 4 × L |
| Student 5 | 5053 | 891 | 11 | 5 | 4 | 4 × E | 3 × J 1 × C |
| Student 6 | 6180 | 1191 | 14 | 1 | 2 | 1 × E 1 × F | 1 × J 1 × L |
Publisher’s Note: MDPI stays neutral with regard to jurisdictional claims in published maps and institutional affiliations. |
© 2021 by the authors. Licensee MDPI, Basel, Switzerland. This article is an open access article distributed under the terms and conditions of the Creative Commons Attribution (CC BY) license (https://creativecommons.org/licenses/by/4.0/).
Share and Cite
Gaworski, M.; de Cacheleu, C.; Inghels, C.; Leurs, L.; Mazarguil, C.; Ringot, B.; Tzu-Chen, C. The Topic of the Ideal Dairy Farm Can Inspire How to Assess Knowledge about Dairy Production Processes: A Case Study with Students and Their Contributions. Processes 2021, 9, 1357. https://doi.org/10.3390/pr9081357
Gaworski M, de Cacheleu C, Inghels C, Leurs L, Mazarguil C, Ringot B, Tzu-Chen C. The Topic of the Ideal Dairy Farm Can Inspire How to Assess Knowledge about Dairy Production Processes: A Case Study with Students and Their Contributions. Processes. 2021; 9(8):1357. https://doi.org/10.3390/pr9081357
Chicago/Turabian StyleGaworski, Marek, Chloé de Cacheleu, Clémentine Inghels, Lucie Leurs, Camille Mazarguil, Bertille Ringot, and Chiu Tzu-Chen. 2021. "The Topic of the Ideal Dairy Farm Can Inspire How to Assess Knowledge about Dairy Production Processes: A Case Study with Students and Their Contributions" Processes 9, no. 8: 1357. https://doi.org/10.3390/pr9081357
APA StyleGaworski, M., de Cacheleu, C., Inghels, C., Leurs, L., Mazarguil, C., Ringot, B., & Tzu-Chen, C. (2021). The Topic of the Ideal Dairy Farm Can Inspire How to Assess Knowledge about Dairy Production Processes: A Case Study with Students and Their Contributions. Processes, 9(8), 1357. https://doi.org/10.3390/pr9081357
