A Comprehensive Energy and Exergoeconomic Analysis of a Novel Transcritical Refrigeration Cycle
Abstract
1. Introduction
2. The Description of the Cycles
3. System Mathematical Modeling
- The flow in the cycle is frictionless.
- The ejector process is adiabatic.
- The drop in the secondary flow pressure in the ejector nozzle (P1 − Pm) is assumed 0.3 bar [32].
- Saturated states of liquid and vapor are assumed at the exit of the evaporator, condenser, and the separator.
- The expansion valve process is isenthalpic.
- The pump and booster isentropic efficiencies are 90% and 85%, respectively [50].
- The isentropic efficiency of the compressor is equal to 0.8 [33].
- The system cooling capacity is 100 kW.
- The GC temperature difference is five degrees (ΔT = T2 − T8) [51].
- The ambient reference conditions are Ta = 25 °C and Pa = 1 bar, respectively [33].
3.1. Ejector Model
3.2. Energy Analysis
3.3. Exergy Analysis
3.4. The System’s Economical Analysis
3.5. Exergoeconomic Analysis of the System
4. Discussion of Results
4.1. Validation of the Proposed Model and Verification
4.2. Energy Results
4.3. Exergy Results
4.4. The Economic Analysis Results
4.5. Parametric Sensitivity Analysis
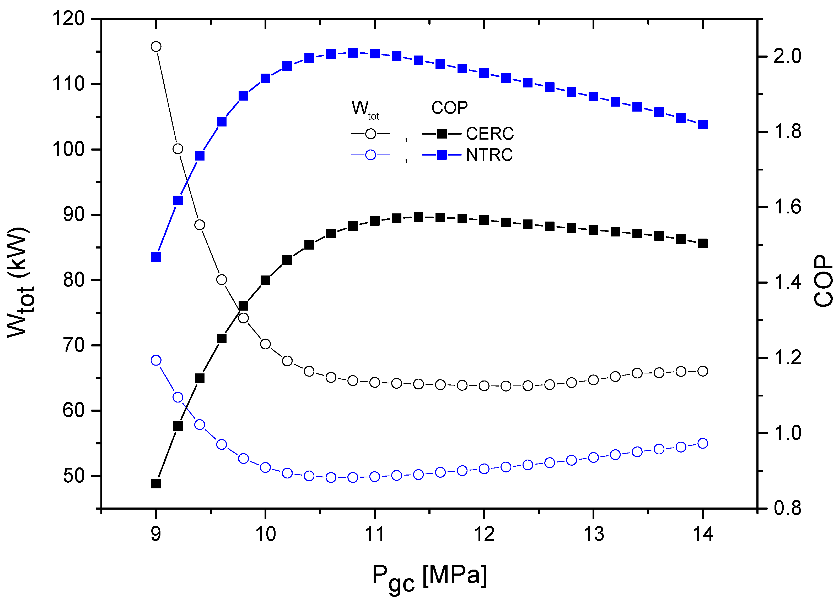
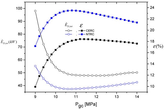
4.5.1. The Gas Cooler Pressure Effect
4.5.2. Effect of the Exit Temperature in the Gas Cooler
4.5.3. The Evaporator Temperature Effect on System Performance
5. Conclusions
Author Contributions
Funding
Conflicts of Interest
Nomenclature
| Symbols | |
| c | Specific cost of exergy ($GJ−1) |
| Rate of cost | |
| CRF | The capital recovery factor |
| The exergy rate (kW) | |
| The total destruction rate of cost in exergy (kW) | |
| Factor of exergoeconomic | |
| h | The specific enthalpy, (kJ.kg−1) |
| i | The rate of interest |
| LMTD | The log mean temperature difference (K) |
| The rate of mass flow, (kg.s−1) | |
| N | Hours in the year (hr) |
| P | pressure (MPa) |
| The rate of heat transfer (kW) | |
| r | The difference in relative cost |
| s | The specific entropy (kJ.kg−1.k−1) |
| T | temperature (K) |
| The electrical power (kW) | |
| Z | The components of investment, cost ($) |
| The components of investment cost rate ($/h) | |
| Total capital cost rate ($/h) | |
| The efficiency (%) | |
| Abbreviations | |
| comp | Compressor |
| cond | Condenser |
| evap | Evaporator |
| EV | Expansion valve |
| GC | Gas cooler |
| Ejet | Ejector |
| tot | Total value |
| Subscripts | |
| 0 | State of environment |
| 1,2,3, | Cycle locations |
| F | The fuel |
| in | The inlet |
| is | The isentropic |
| k | Component |
| out | The outlet |
| p | The product |
References
- Sadorsky, P. Trade and energy consumption in the Middle East. Energy Econ. 2011, 33, 739–749. [Google Scholar] [CrossRef]
- Muhammad, B. Energy consumption, CO2 emissions and economic growth in developed, emerging and Middle East and North Africa countries. Energy 2019, 179, 232–245. [Google Scholar] [CrossRef]
- Salahuddin, M.; Gow, J. Economic growth, energy consumption, and CO2 emissions in Gulf Cooperation Council countries. Energy 2014, 73, 44–58. [Google Scholar] [CrossRef]
- Megdouli, K.; Tashtoush, B.M.; Nahdi, E.; Elakhdar, M.; Kairouani, L.; Mhimid, A. Thermodynamic analysis of a novel ejector cascade refrigeration cycles for freezing process applications and air-conditioning. Int. J. Refrig. 2016, 70, 108–118. [Google Scholar] [CrossRef]
- Luo, J.; Morosuk, T.; Tsatsaronis, G.; Tashtoush, B. Exergetic and Economic Evaluation of a Transcritical Heat-Driven Compression Refrigeration System with CO2 as the Working Fluid under Hot Climatic Conditions. Entropy 2019, 21, 1164. [Google Scholar] [CrossRef]
- Kauf, F. Determination of the optimum high pressure for transcritical CO2 refrigeration cycles. Int. J. Therm. Sci. 1999, 38, 325–330. [Google Scholar] [CrossRef]
- Liao, S.M.; Zhao, T.S.; Jakobsen, A. A correlation of optimal heat rejection pressures in transcritical carbon dioxide cycles. Appl. Therm. Eng. 2000, 20, 831–841. [Google Scholar] [CrossRef]
- Chen, J.; Havtun, H.; Palm, B. Conventional and advanced exergy analysis of an ejector refrigeration system. Appl. Energy 2015, 144, 139–151. [Google Scholar] [CrossRef]
- Aprea, C.; Maiorino, A. An experimental evaluation of the transcritical CO2 refrigerator performances using an internal heat exchanger. Int. J. Refrig. 2008, 31, 1006–1011. [Google Scholar] [CrossRef]
- Cabello, R.; Sánchez, D.; Llopis, R.; Torrella, E. Experimental evaluation of the energy efficiency of a CO2 refrigerating plant working in transcritical conditions. Appl. Therm. Eng. 2008, 28, 1596–1604. [Google Scholar] [CrossRef]
- Torrella, E.; Sánchez, D.; Llopis, R.; Cabello, R. Energetic evaluation of an internal heat exchanger in a CO2 transcritical refrigeration plant using experimental data. Int. J. Refrig. 2011, 34, 40–49. [Google Scholar] [CrossRef]
- Yu, B.; Yang, J.; Wang, D.; Shi, J.; Chen, J. An updated review of recent advances on modified technologies in transcritical CO2 refrigeration cycle. Energy 2019, 189, 116147. [Google Scholar] [CrossRef]
- Zhang, Q.; Luo, Z.; Zhao, Y.; Cao, R. Performance assessment and multi-objective optimization of a novel transcritical CO2 trigeneration system for a low-grade heat resource. Energy Convers. Manag. 2020, 204, 112281. [Google Scholar] [CrossRef]
- Llopis, R.; Nebot-Andrés, L.; Cabello, R.; Sánchez, D.; Catalán-Gil, J. Experimental evaluation of a CO2 transcritical refrigeration plant with dedicated mechanical subcooling. Int. J. Ref. 2016, 69, 361–368. [Google Scholar] [CrossRef]
- Dai, B.; Liu, S.; Zhu, K.; Sun, Z.; Ma, Y. Thermodynamic performance evaluation of transcritical carbon dioxide refrigeration cycle integrated with thermoelectric subcooler and expander. Energy 2017, 122, 787–800. [Google Scholar] [CrossRef]
- Nemati, A.; Mohseni, R.; Yari, M. A comprehensive comparison between CO2 and Ethane as a refrigerant in a two-stage ejector-expansion transcritical refrigeration cycle integrated with an organic Rankine cycle (ORC). J. Supercrit. Fluids 2018, 133, 494–502. [Google Scholar] [CrossRef]
- Enríquez, L.C.; Muñoz-Antón, J.; Peñalosa, J. S-Ethane Brayton power conversion systems for concentrated solar power plant. J. Sol. Energy Eng. 2016, 138, 011012. [Google Scholar] [CrossRef]
- Elakhdar, M.; Tashtoush, B.M.; Nehdi, E.; Kairouani, L. Thermodynamic analysis of a novel ejector enhanced vapor compression refrigeration (EEVCR) cycle. Energy 2018, 163, 1217–1230. [Google Scholar] [CrossRef]
- Tashtoush, B.; Algharbawi, A. Parametric Study of a Novel Hybrid Solar Variable Geometry Ejector Cooling with Organic Rankine Cycles. Energy Convers. Manag. 2019, 198, 111910. [Google Scholar] [CrossRef]
- Zare, V.; Takleh, H. Novel geothermal driven CCHP systems integrating ejector transcritical CO2 and Rankine cycles: Thermodynamic modeling and parametric study. Energy Convers. Manag. 2020, 205, 112396. [Google Scholar] [CrossRef]
- Taslimitaleghani, S.; Sorin, M.; Poncet, S. Energy and exergy efficiencies of different configurations of the ejector-based CO2 refrigeration systems. Int. J. Energy Prod. Manag. 2018, 3, 22–33. [Google Scholar] [CrossRef]
- Tashtoush, B.; Bani Younes, M. Comparative Thermodynamic Study of Refrigerants to Select the Best Environment-Friendly Refrigerant for Use in a Solar Ejector Cooling System. Arab. J. Sci. Eng. 2019, 44, 1165–1184. [Google Scholar] [CrossRef]
- Gholizadeh, T.; Vajdi, M.; Rostamzadeh, H. Freshwater and cooling production via integration of an ethane ejector expander transcritical refrigeration cycle and a humidification dehumidification unit. Desalination 2020, 477, 114259. [Google Scholar] [CrossRef]
- Farsi, A.; Mohammadi, S.; Ameri, M. An efficient combination of transcritical CO2 refrigeration and multi-effect desalination: Energy and economic analysis. Energy Convers. Manag. 2016, 127, 561–575. [Google Scholar] [CrossRef]
- Elakhdar, M.; Landoulsi, H.; Tashtoush, B.; Nehdi, E.; Kairouani, L. A combined thermal system of ejector refrigeration and Organic Rankine cycles for power generation using a solar parabolic trough. Energy Convers. Manag. 2019, 199, 111947. [Google Scholar] [CrossRef]
- Megdouli, K.; Sahli, H.; Tashtoush, B.M.; Nahdi, E.; Kairouani, L. Theoretical research of the performance of a novel enhanced transcritical CO2 refrigeration cycle for power and cold generation. Energy Convers. Manag. 2019, 201, 112139. [Google Scholar] [CrossRef]
- Sarkar, J.; Agrawal, N. Performance optimization of transcritical CO2 cycle with parallel compression economization. Int. J. Therm. Sci. 2010, 49, 838–843. [Google Scholar] [CrossRef]
- Manjili, F.; Cheraghi, M. Performance of a new two-stage transcritical CO2 refrigeration cycle with two ejectors. Appl. Therm. Eng. 2019, 156, 402–409. [Google Scholar] [CrossRef]
- Gullo, P.; Elmegaard, B.; Cortella, G. Energetic, exergetic and exergoeconomic analysis of CO2 refrigeration systems operating in hot climates. In Proceedings of the ECOS: 28th International Conference on Efficiency, Cost, Optimization, Simulation and Environmental Impact of Energy Systems, Pau, France, 30 June–3 July 2015. [Google Scholar]
- Chesi, A.; Esposito, F.; Ferrara, G.; Ferrari, L. Experimental analysis of R744 parallel compression cycle. Appl. Energy 2014, 135, 274–285. [Google Scholar] [CrossRef]
- Megdouli, K.; Tashtoush, B.M.; Ezzaalouni, Y.; Nahdi, E.; Mhimid, A.; Kairouani, L. Performance analysis of a new ejector expansion refrigeration cycle (NEERC) for power and cold: Exergy and energy points of view. Appl. Therm. Eng. 2017, 122, 39–48. [Google Scholar] [CrossRef]
- Ipakchi, O.; Mosaffa, A.; Farshi, L. Ejector based CO2 transcritical combined cooling and power system utilizing waste heat recovery: A thermoeconomic assessment. Energy Convers. Manag. 2019, 186, 462–472. [Google Scholar] [CrossRef]
- Fazelpour, F.; Morosuk, T. Exergoeconomic analysis of carbon dioxide transcritical refrigeration machines. Int. J. Refrig. 2014, 38, 128–139. [Google Scholar] [CrossRef]
- Wu, D.; Han, Z.; Liu, Z.; Zhang, H. Study on configuration optimization and economic feasibility analysis for combined cooling, heating and power system. Energy Convers. Manag. 2019, 190, 91–104. [Google Scholar] [CrossRef]
- Tashtoush, B.; Nayfeh, Y. Energy and economic analysis of a variable-geometry ejector in solar cooling systems for residential buildings. J. Energy Storage 2020, 27, 101061. [Google Scholar] [CrossRef]
- Meng, F.; Wang, E.; Zhang, B.; Zhang, F.; Zhao, C. Thermo-economic analysis of transcritical CO2 power cycle and comparison with Kalina cycle and ORC for a low temperature heat source. Energy Convers. Manag. 2019, 195, 1295–1308. [Google Scholar] [CrossRef]
- Liu, Z.; Cao, F.; Guo, J.; Liu, J.; Zhai, H.; Duan, Z. Performance analysis of a novel combined cooling, heating and power system based on carbon dioxide energy storage. Energy Convers. Manag. 2019, 188, 151–161. [Google Scholar] [CrossRef]
- Tashtoush, B.M.; Al-Nimr, M.A.; Khasawneh, M.A. Investigation of the use of nano-refrigerants to enhance the performance of an ejector refrigeration system. Appl. Energy 2017, 206, 1446–1463. [Google Scholar] [CrossRef]
- Takleh, H.; Zare, V. Performance improvement of ejector expansion refrigeration cycles employing a booster compressor using different refrigerants: Thermodynamic analysis and optimization. Int. J. Refrig. 2019, 101, 56–70. [Google Scholar]
- Nakagawa, M.; Marasigan, A.R.; Matsukawa, T.; Kurashina, A. Experimental investigation on the effect of mixing length on the performance of two-phase ejector for CO2 refrigeration cycle with and without heat exchanger. Int. J. Refrig. 2011, 34, 1604–1613. [Google Scholar] [CrossRef]
- Kairouani, L.; Elakhdar, M.; Nehdi, E.; Bouaziz, N. Use of ejectors in a multi evaporator refrigeration system for performance enhancement. Int. J. Refrig. 2009, 32, 1173–1185. [Google Scholar] [CrossRef]
- Zheng, L.; Deng, J. Experimental investigation on a transcritical CO2 ejector expansion refrigeration system with two-stage evaporation. Appl. Therm. Eng. 2017, 125, 919–927. [Google Scholar] [CrossRef]
- Liu, F.; Groll, E.A.; Ren, J. Comprehensive experimental performance analyses of an ejector expansion transcritical CO2 system. Appl. Therm. Eng. 2016, 98, 1061–1069. [Google Scholar] [CrossRef]
- Bai, T.; Yan, G.; Yu, J. Thermodynamics analysis of a modified dual-evaporator CO2 transcritical refrigeration cycle with two-stage ejector. Energy 2015, 84, 325–335. [Google Scholar] [CrossRef]
- Sharma, V.; Fricke, B.; Bansal, P. Comparative analysis of various CO2 configurations in supermarket refrigeration systems. Int. J. Refrig. 2014, 46, 86–99. [Google Scholar] [CrossRef]
- Deng, J.Q.; Jiang, P.X.; Lu, T.; Lu, W. Particular characteristics of transcritical CO2 refrigeration cycle with an ejector. Appl. Therm. Eng. 2007, 27, 381–388. [Google Scholar] [CrossRef]
- Bilir, N.; Ersoy, H. Performance improvement of the vapour compression refrigeration cycle by a two-phase constant area ejector. Int. J. Energy Res. 2009, 33, 469–480. [Google Scholar] [CrossRef]
- Elbel, S.; Lawrence, N. Review of recent developments in advanced ejector technology. Int. J. Refrig. 2016, 62, 1–18. [Google Scholar] [CrossRef]
- Zhu, Y.; Li, C.; Zhang, F.; Jiang, P.X. Comprehensive experimental study on a transcritical CO2 ejector-expansion refrigeration system. Energy Convers. Manag. 2017, 151, 98–106. [Google Scholar] [CrossRef]
- Mosaffa, A.; Farshi, G. Thermodynamic and economic assessments of a novel CCHP cycle utilizing low-temperature heat sources for domestic applications. Renew. Energy 2018, 120, 134–150. [Google Scholar] [CrossRef]
- Xia, J.; Wang, J.; Zhou, K.; Zhao, P.; Dai, Y. Thermodynamic and economic analysis and multi-objective optimization of a novel transcritical CO2 Rankine cycle with an ejector driven by low grade heat source. Energy 2018, 161, 337–351. [Google Scholar] [CrossRef]
- Yu, J.; Ren, Y.; Chen, H.; Li, Y. Applying mechanical subcooling to ejector refrigeration cycle for improving the coefficient of performance. Energy Convers. Manag. 2007, 48, 1193–1199. [Google Scholar] [CrossRef]
- Dincer, I.; Rosen, M.; Ahmadi, P. Optimization of Energy Systems; Wiley: London, UK, 2017. [Google Scholar]
- Bejan, A.; Tsatsaronis, G.; Moran, M. Thermal Design and Optimization; John Wiley & Sons, Inc.: New York, NY, USA, 1996. [Google Scholar]
- Yao, E.; Wang, H.; Wang, L.; Xi, G.; Maréchal, F. Multi-objective optimization and exergoeconomic analysis of a combined cooling, heating and power based compressed air energy storage system. Energy Convers. Manag. 2017, 138, 199–209. [Google Scholar] [CrossRef]
- Li, Y.; Deng, J.; Ma, L. Experimental study on the primary flow expansion characteristics in transcritical CO2 two-phase ejectors with different primary nozzle diverging angles. Energy 2019, 186, 115839. [Google Scholar] [CrossRef]
- Ersoy, H.; Bilir, N. The influence of ejector component efficiencies on performance of Ejector Expander Refrigeration Cycle and exergy analysis. Int. J. Exergy 2010, 7, 425–438. [Google Scholar] [CrossRef]













| Parameter | Value |
|---|---|
| Evaporation temperature, Te (°C) | −30 to −5 °C |
| The temperature at the exit of the GC, Tgc (°C) | 32 to 50 |
| The pressure of the GC, Pgc (MPa) | 9 to 15 |
| Isentropic pump efficiency, ηis,p (%) | 90 |
| Booster isentropic efficiency, ηis,b (%) | 85 |
| Compressor isentropic efficiency, ηis,c (%) | 80 |
| Diffuser efficiency, ηd (%) | 75 |
| Primary flow isentropic efficiency, ηp % | 90 |
| Secondary flow isentropic efficiency, ηs % | 90 |
| The reference temperature of state, T0 (°C) | 25 |
| The reference pressure, P0 (MPa) | 0.1 |
| System cooling capacity (kW) | 100 |
| (a) CERC | |
| Component | Equation |
| Evaporator | |
| Compressor | |
| Gas cooler | |
| Expansion valve | |
| Ejector | |
| Coefficient of performance (COP) | |
| (b) NTRC | |
| Component | Equation |
| Evaporator | |
| Compressor | |
| Expansion valve 1 | |
| Gas cooler | |
| Ejector 1 | |
| Condenser | |
| Pump | |
| Ejector 2 | |
| Booster | |
| Expansion valve 2 | |
| Coefficient of performance (COP) | |
| (a) CERC | |||
|---|---|---|---|
| Component | Exergy Product Rate () | Exergy Fuel Rate () | Exergy Destruction Rate () |
| Evaporator | |||
| Compressor | |||
| Gas cooler | |||
| Expansion valve | |||
| Ejector | |||
| Separator | |||
| Total system | |||
| (b) NTRC | |||
| Evaporator | |||
| Compressor | |||
| Expansion valve 1 | |||
| Gas cooler | |||
| Ejector 1 | |||
| Condenser | |||
| Pump | |||
| Ejector 2 | |||
| Expansion valve 2 | |||
| Booster | |||
| Separator | |||
| Total system | |||
| (a) CERC | |||
|---|---|---|---|
| System Component | Equation of Cost Balance | Auxiliary Equation | Estimation of PEC (US$2015) [29,55] |
| Evaporator | , | ||
| Compressor | - | ||
| Expansion valve | - | ||
| Gas cooler | , | ||
| Ejector | - | ||
| Separator | |||
| (b) NTRC | |||
| Evaporator | , | ||
| Compressor | - | ||
| Expansion valve 1 | - | ||
| Gas cooler | |||
| Ejector 1 | - | ||
| Condenser | , | ||
| Pump | - | ||
| Ejector 2 | - | ||
| Expansion valve 2 | - | ||
| Division point 1 | - | - | |
| Booster | - | ||
| Separator | - | ||
| Division point 2 | - | - | |
| Division point 3 | - | ||
| Secondary Flow Pressure (Bar) | Mass Entrainment Ratio | Error (%) | |
|---|---|---|---|
| Present Model | Experimental [56] | ||
| 34 | 0.483 | 0.48 | −0.625 |
| 35 | 0.493 | 0.5 | 1.4 |
| 36 | 0.502 | 0.49 | −2.44 |
| 37 | 0.51 | 0.495 | −3.03 |
| 38 | 0.514 | 0.5 | −2.8 |
| 39 | 0.517 | 0.51 | −1.37 |
| Working fluid: CO2, Pgc = 95 bar | |||
| Exergy Destruction Rate kJ.kg−1 | |||
|---|---|---|---|
| Present Study | Published Work [57] | Percentage Error, % | |
| Compressor | 6.263 | 6.4 | −2.1 |
| Condenser | 4.837 | 5 | −3.26 |
| Evaporator | 1.879 | 1.95 | −1.1 |
| Ejector | 3.258 | 3.1 | 5.2 |
| Expansion valve | 0.189 | 0.2 | −1.1 |
| (a) CERC | ||||||||
| Point | T (K) | P (MPa) | h (kJ.kg−1) | s (kJ.kg−1.K−1) | (kg.s−1) | (kW) | ||
| 1 | 258.15 | 2.29 | 436.27 | 1.92 | 0.405 | 70.31 | 19.88 | 78.55 |
| 2 | 375.6 | 11 | 499.85 | 1.9 | 0.964 | 234 | 59.96 | 71.17 |
| 3 | 318.15 | 11 | 325.46 | 1.39 | 0.964 | 213.87 | 54.8 | 71.17 |
| 4 | 268.72 | 3.093 | 358.23 | 1.59 | 1.37 | 266.82 | 74.73 | 77.8 |
| 5 | 268.72 | 3.093 | 433.14 | 1.87 | 0.964 | 180 | 50.55 | 78 |
| 6 | 268.72 | 3.093 | 189.39 | 0.962 | 0.405 | 86.4 | 24.264 | 78 |
| 7 | 258.15 | 2.29 | 189.39 | 0.967 | 0.405 | 85.8 | 24.265 | 78.55 |
| 8 | 268.15 | 0.1 | 394.26 | 3.77 | 19 | 31.05 | 0 | 0 |
| 9 | 263.15 | 0.1 | 389.23 | 3.75 | 19 | 42.74 | 4.41 | 28.66 |
| 10 | 298.15 | 0.1 | 104.91 | 0.367 | 2 | 0 | 0 | 0 |
| 11 | 316.15 | 0.1 | 180.15 | 0.61 | 2 | 4.36 | 5.428 | 345.82 |
| (b) NTRC | ||||||||
| Cycle Point | T (K) | P (MPa) | h (kJ.kg−1) | s (kJ.kg−1.K−1) | (kg.s−1) | (kW) | ||
| 1 | 258.15 | 2.29 | 436.27 | 1.92 | 0.523 | 91 | 38.05 | 116.14 |
| 1′ | 258.15 | 2.29 | 245.51 | 1.184 | 0.523 | 106.5 | 44.53 | 116.14 |
| 2 | 375.6 | 11 | 499.85 | 1.9 | 0.64 | 155.25 | 48.42 | 86.63 |
| 3 | 318.15 | 11 | 325.46 | 1.39 | 0.64 | 141.9 | 44.26 | 86.63 |
| 4 | 268.72 | 3.09 | 358.23 | 1.59 | 1.163 | 226.8 | 82.36 | 100.87 |
| 5 | 268.72 | 3.09 | 433.14 | 1.87 | 0.895 | 167.1 | 58.63 | 97.46 |
| 5′ | 268.72 | 3.09 | 433.14 | 1.87 | 0.64 | 119.42 | 41.9 | 97.46 |
| 5′’ | 268.72 | 3.09 | 433.14 | 1.87 | 0.255 | 47.68 | 16.73 | 97.46 |
| 6 | 268.72 | 3.09 | 189.39 | 0.962 | 0.268 | 57.33 | 23.8 | 115.31 |
| 7 | 258.15 | 2.29 | 189.39 | 0.967 | 0.268 | 56.93 | 23.8 | 116.14 |
| 8 | 370.6 | 11 | 491.7 | 1.88 | 0.618 | 149.03 | 55.95 | 104.28 |
| 9 | 289.26 | 4.08 | 445.37 | 1.875 | 0.255 | 50.32 | 17.12 | 94.5 |
| 10 | 338.9 | 7.213 | 478.15 | 1.9 | 0.873 | 193.73 | 73.12 | 104.84 |
| 11 | 303.15 | 7.213 | 304.55 | 1.343 | 0.873 | 187.77 | 70.87 | 104.84 |
| 11′ | 303.15 | 7.213 | 304.55 | 1.343 | 0.618 | 132.87 | 50.15 | 104.84 |
| 11′’ | 303.15 | 7.213 | 304.55 | 1.343 | 0.255 | 54.9 | 20.72 | 104.84 |
| 12 | 315.02 | 11 | 311.24 | 1.345 | 0.618 | 136.62 | 50.66 | 103 |
| 13 | 258.15 | 2.29 | 304.55 | 1.413 | 0.255 | 49.56 | 20.72 | 116.14 |
| 14 | 268.15 | 0.1 | 394.26 | 3.77 | 19 | 31.05 | 0 | 0 |
| 15 | 263.15 | 0.1 | 389.23 | 3.75 | 19 | 42.74 | 6.512 | 42.32 |
| 16 | 298.15 | 0.1 | 104.91 | 0.367 | 12 | 0 | 0 | 0 |
| 17 | 301.15 | 0.1 | 117.46 | 0.409 | 12 | 0.738 | 2.71 | 1020.02 |
| Parameter | CERC | NTRC |
|---|---|---|
| The net power rate (kW) | 64.34 | 49.95 |
| The produced cooling rate (kW) | 100 | 100 |
| 1.55 | 2.002 | |
| Parameter | CERC | NTRC |
|---|---|---|
| Exergy destruction rate (kW) | 48.28 | 37.535 |
| Second law efficiency (%) | 18.17 | 23.4 |
| (a) CERC | |||||
| Component | |||||
| Evaporator | 4.41 | 4.38 | 1.105 | 2.78 | 0.33 |
| Compressor | 9.4 | 7.72 | 2.92 | 57.63 | 0.45 |
| Gas cooler | 5.42 | 5.15 | 4.31 | 6.26 | 3.85 |
| Expansion valve | 24.265 | 24.264 | 0.17 | 0.7 | 0.007 |
| Ejector | 74.73 | 74.68 | 4.61 | 1.11 | 0.065 |
| Separator | 74.81 | 74.737 | 0.195 | 39.7 | 0.0026 |
| Total system | 4.41 | 7.72 | 7.91 | 26.77 | 2.144 |
| (b) NTRC | |||||
| Component | |||||
| Evaporator | 6.512 | 6.48 | 1.623 | 1.9 | 0.33 |
| Compressor | 6.52 | 5.122 | 2.22 | 62.93 | 0.51 |
| Expansion valve 1 | 23.805 | 23.804 | 0.166 | 0.47 | 0.007 |
| Gas cooler | 5.28 | 4.164 | 1.41 | 79.24 | 0.36 |
| Condenser | 2.718 | 2.252 | 2.44 | 19.13 | 8.75 |
| Pump | 0.51 | 0.496 | 0.061 | 23.4 | 0.13 |
| Ejector 1 | 82.36 | 82.31 | 2.2 | 2.34 | 0.027 |
| Expansion valve 2 | 20.723 | 20.722 | 2.016 | 0.037 | 0.107 |
| Booster | 0.39 | 0.37 | 0.074 | 22.5 | 0.23 |
| Ejector 2 | 73.126 | 73.075 | 2.11 | 2.44 | 0.03 |
| Separator | 82.44 | 82.36 | 0.93 | 8.25 | 0.011 |
| Total system | 6.512 | 5.99 | 7.735 | 47.76 | 3.64 |
| Parameter | CERC | NTRC |
|---|---|---|
| ($.h−1) | 7.91 | 7.735 |
| Exergoeconomic factor (%) | 26.77 | 41.765 |
| ($.GJ−1) | 233.38 | 219.32 |
© 2020 by the authors. Licensee MDPI, Basel, Switzerland. This article is an open access article distributed under the terms and conditions of the Creative Commons Attribution (CC BY) license (http://creativecommons.org/licenses/by/4.0/).
Share and Cite
Tashtoush, B.; Megdouli, K.; Elakhdar, M.; Nehdi, E.; Kairouani, L. A Comprehensive Energy and Exergoeconomic Analysis of a Novel Transcritical Refrigeration Cycle. Processes 2020, 8, 758. https://doi.org/10.3390/pr8070758
Tashtoush B, Megdouli K, Elakhdar M, Nehdi E, Kairouani L. A Comprehensive Energy and Exergoeconomic Analysis of a Novel Transcritical Refrigeration Cycle. Processes. 2020; 8(7):758. https://doi.org/10.3390/pr8070758
Chicago/Turabian StyleTashtoush, Bourhan, Karima Megdouli, Mouna Elakhdar, Ezzedine Nehdi, and Lakdar Kairouani. 2020. "A Comprehensive Energy and Exergoeconomic Analysis of a Novel Transcritical Refrigeration Cycle" Processes 8, no. 7: 758. https://doi.org/10.3390/pr8070758
APA StyleTashtoush, B., Megdouli, K., Elakhdar, M., Nehdi, E., & Kairouani, L. (2020). A Comprehensive Energy and Exergoeconomic Analysis of a Novel Transcritical Refrigeration Cycle. Processes, 8(7), 758. https://doi.org/10.3390/pr8070758

