Near-Wall Flow Characteristics of a Centrifugal Impeller with Low Specific Speed
Abstract
1. Introduction
2. Geometric Model and Computational Grid
2.1. Simulation Method
2.2. Experimental Method and Result
3. Internal Flow Characteristic Analysis
3.1. Whole Static Pressure and Relative Velocity
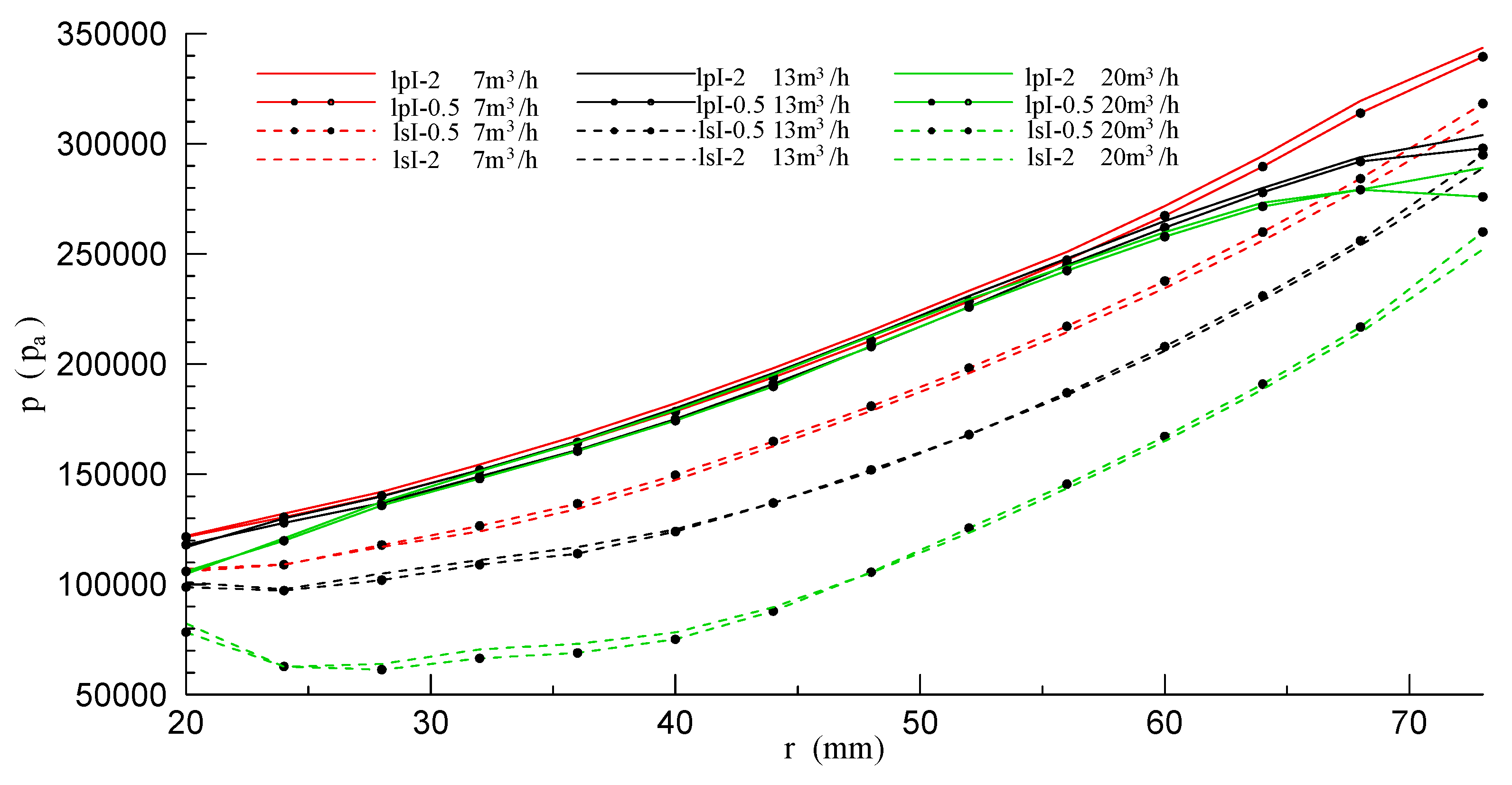
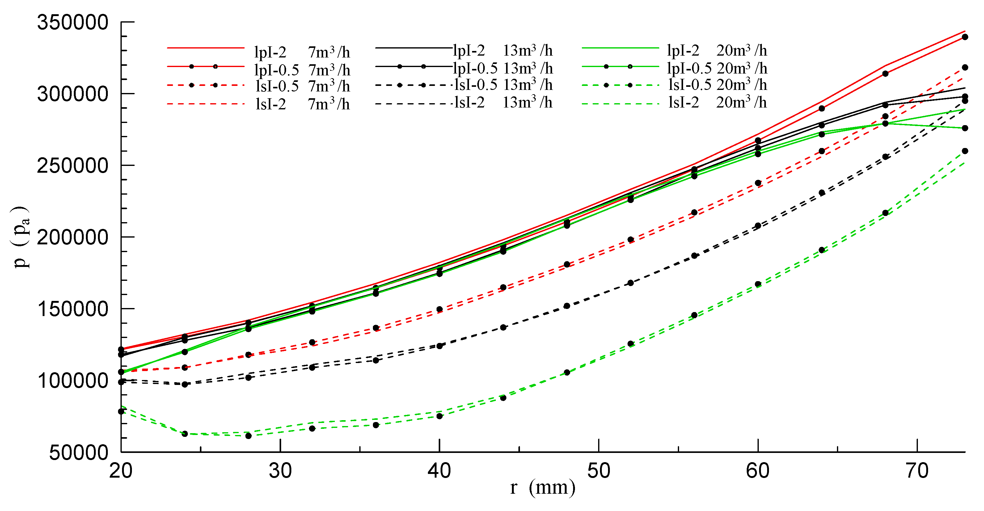
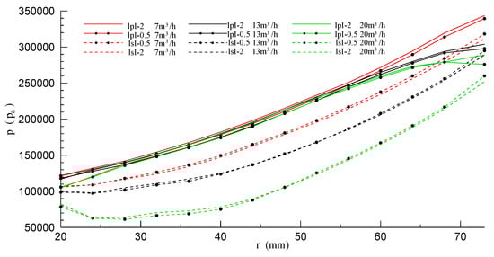
3.2. Pressure Distribution Near the Wall Region in the Impeller
3.3. Relative Velocity Distribution Near the Wall of Blade
3.4. Cross Flow Velocity Distribution
3.5. Shear Stress Distribution
3.6. Turbulent Kinetic Energy
4. Conclusions
Author Contributions
Funding
Conflicts of Interest
References
- Karraisk, I.J. Future centrifugal pumps. Pump Technol. 1978, 14, 52–56. [Google Scholar]
- Choi, Y.D.; Kurokawa, J.; Matsui, J. Performance and internal flow characteristics of a very low specific speed centrifugal pump. J. Fluids Eng. 2005, 128, 341–349. [Google Scholar] [CrossRef]
- Westra, R.W.; Broersma, L.; Andel, K.; Kruyt, N.P. PIV measurements and CFD computations of secondary flow in a centrifugal pump impeller. J. Fluids Eng. 2010, 132. [Google Scholar] [CrossRef]
- Pedersen, N.; Larsen, P.S.; Jacobsen, C.B. Flow in a centrifugal pump impeller at design and off-design conditions part I: Particle image velocimetry (PIV) and laser doppler velocimetry (LDV) measurements. J. Fluid Eng. 2003, 125, 61–72. [Google Scholar] [CrossRef]
- Shao, J.; Liu, S.H.; Zhang, G.Y. PIV measurement and analysis of internal flow in impeller of centrifugal pump with large outlet angle. Pump Technol. 2010, 45, 1–7. [Google Scholar]
- Tsujita, H.; Migita, K. Investigation for secondary flow and loss generation mechanisms within centrifugal impeller by using rotating curved duct: 2nd report, influence of inlet pitchwise velocity distribution. Trans. Jpn. Soc. Mech. Eng. Ser. B 2010, 76, 814–822. [Google Scholar] [CrossRef][Green Version]
- Cui, B.L.; Lin, Y.G.; Jin, Y.Z. Numerical simulation of flow in centrifugal pump with complex impeller. J. Therm. Sci. 2011, 20, 47–52. [Google Scholar] [CrossRef]
- Limbach, P.; Skoda, R. Numerical and experimental analysis of cavitating flow in a low specific speed centrifugal pump with different surface roughness. J. Fluids Eng. 2017, 139. [Google Scholar] [CrossRef]
- Cao, W.D.; Yao, L.J.; Liu, B.; Zhang, Y. The influence of impeller eccentricity on centrifugal pump. Adv. Mech. Eng. 2017, 9. [Google Scholar] [CrossRef]
- Zhang, Y.L.; Zhu, Z.C.; Li, W.G.; Xiao, J.J. Effects of viscosity on transient behavior of a low specific speed centrifugal pump in starting and stopping periods. Int. J. Fluid Mech. Res. 2018, 45, 1–20. [Google Scholar] [CrossRef]
- Chen, J.; Wang, Y.; Liu, H.L.; Shao, C.; Zhang, X. Internal flow and analysis of its unsteady characteristics in centrifugal pump with ultra-low specific-speed. J. Drain. Irrig. Mach. Eng. 2018, 36, 377–383. [Google Scholar]
- Dong, L.; Zhao, Y.Q.; Liu, H.L.; Dai, C. The effect of front streamline wrapping angle variation in a super-low specific speed centrifugal pump. Proc. Inst. Mech. Eng. Part. C: J. Mech. Eng. Sci. 2018, 232. [Google Scholar] [CrossRef]
- Zhang, R.H.; Chen, X.B.; Guo, G.Q.; Li, R. Reconstruction and modal analysis for flow field of low Specific speed centrifugal pump impeller. Trans. Chin. Soc. Agric. Mach. 2018, 49, 143–149. [Google Scholar]
- Wang, C.; Zhang, Y.X.; Li, Z.W.; Xu, A.; Xu, C.; Shi, Z. Pressure fluctuation-vortex interaction in an ultra-low specific-speed centrifugal pump. J. Low Freq. Noise Vib. Act. Control. 2019, 38, 527–543. [Google Scholar] [CrossRef]













© 2019 by the authors. Licensee MDPI, Basel, Switzerland. This article is an open access article distributed under the terms and conditions of the Creative Commons Attribution (CC BY) license (http://creativecommons.org/licenses/by/4.0/).
Share and Cite
Cao, W.; Jia, Z.; Zhang, Q. Near-Wall Flow Characteristics of a Centrifugal Impeller with Low Specific Speed. Processes 2019, 7, 514. https://doi.org/10.3390/pr7080514
Cao W, Jia Z, Zhang Q. Near-Wall Flow Characteristics of a Centrifugal Impeller with Low Specific Speed. Processes. 2019; 7(8):514. https://doi.org/10.3390/pr7080514
Chicago/Turabian StyleCao, Weidong, Zhixiang Jia, and Qiqi Zhang. 2019. "Near-Wall Flow Characteristics of a Centrifugal Impeller with Low Specific Speed" Processes 7, no. 8: 514. https://doi.org/10.3390/pr7080514
APA StyleCao, W., Jia, Z., & Zhang, Q. (2019). Near-Wall Flow Characteristics of a Centrifugal Impeller with Low Specific Speed. Processes, 7(8), 514. https://doi.org/10.3390/pr7080514

