Optimization of Microwave-Assisted Extraction of Total Phenolic and Total Flavonoid Contents from Fruits of Docynia indica (Wall.) Decne. Using Response Surface Methodology
Abstract
1. Introduction
2. Materials and Methods
2.1. Plant Sample Preparation
2.2. Extraction Method
2.3. Extraction Process
2.4. Determination of Total Phenolic Content
2.5. Determination of Total Flavonoid Content
2.6. Determination of Extraction Yield
2.7. Experimental Design
3. Result and Discussion
3.1. Single Factor Investigation
3.2. Predicted Model and Statistical Anlalysis
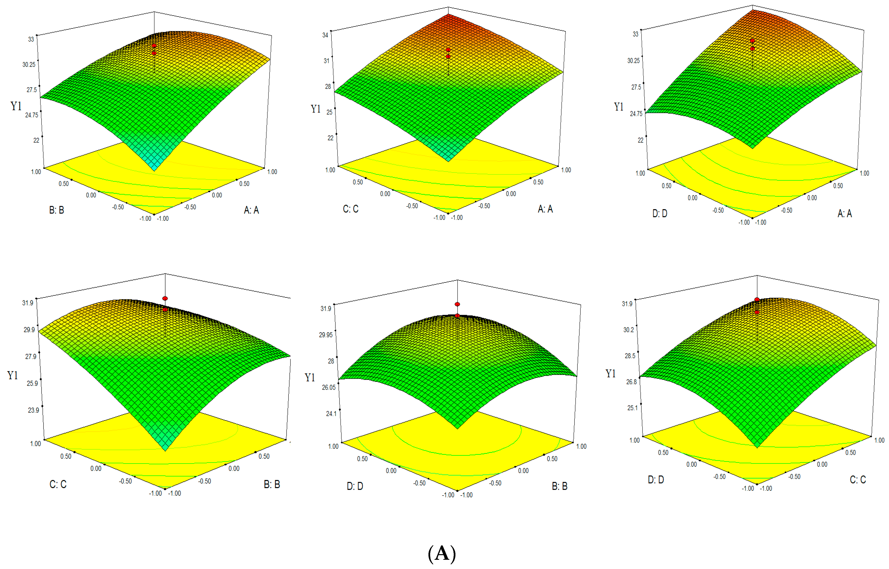
3.3. Response Surface Analysis
3.4. Optimization and Model Verification
4. Conlusions
Author Contributions
Acknowledgments
Conflicts of Interest
References
- Do, T.L. The Medicinal Plants and Traditional Medicines in Viet Nam; Medical Publishing: Ha Noi, Vietnam, 2004; pp. 355–357. (In Vietnamese) [Google Scholar]
- Vo, V.C. Dictionary of Medicinal Plants in Viet Nam; Medical Publishing House: Ha Noi, Vietnam, 2012; pp. 1097–1098. (In Vietnamese) [Google Scholar]
- Lua, H.T.; Degrande, A.; Catacutan, D.; Hoa, N.T.; Cuong, V.K. Son Tra (Docynia indica) Value Chain and Market Analysis; AFLI Technical Report; Research Program on Integrated Systems for the Humid Tropics: Ha Noi, Vietnam, 2013. [Google Scholar]
- Dung, H.V.; Bach, N.V.; Trung, T.N.; Nhiem, N.X.; Tai, B.H.; Kiem, P.V.; Kim, S.H. Megastigmane Glycosides from Docynia indica and Their Anti-inflammatory Activities. Helv. Chim. Acta. 2016, 99, 681–686. [Google Scholar] [CrossRef]
- Loan, N.T.T.; Tan, H.T.M.; Tam, V.T.H.; Luan, C.L. Anti-obesity and body weight reducing effect of Docynia indica (Wall.) Decne fruit extract fractions in experimentally obese mice. VNU J. Sci. Nat. Sci. Technol. 2011, 27, 125–133. (In Vietnamese) [Google Scholar]
- Hoang, V.D.; Kim, Y.H.; Cuong, N.M. Triterpene Acids from Docynia Indica Fruits and Their Cytotoxic Activity. Vietnam J. Technol. 2018, 56, 199–204. [Google Scholar]
- Thu, N.T.B.; Tuan, V.V.; Thuong, P.T. Flavonoids and chlorogenic acid from ethyl acetate fraction of the fruits of Docynia indica. J. Med. Mater. 2015, 20, 283–285. (In Vietnamese) [Google Scholar]
- Km, S.; Ni, S.; Ps, N. Phytochemical Characterization and Biological Activities of Docynia indica (wall) Fruit Extracts. J. Mol. Genet. Med. 2016, 10, 2041–2045. [Google Scholar] [CrossRef]
- Brewer, M. Natural Antioxidants: Sources, Compounds, Mechanisms of Action, and Potential Applications. Compr. Rev. Food Sci. Food Saf. 2011, 10, 221–247. [Google Scholar] [CrossRef]
- Pourreza, N. Phenolic Compounds as Potential Antioxidant. Jundishapur. J. Nat. Pharm. Prod. 2013, 8, 149–150. [Google Scholar] [CrossRef]
- Chipurura, B.; Muchuweti, M.; Manditseraa, F. Effects of Thermal Treatment on the Phenolic Content and Antioxidant Activity of Some Vegetables. Asian J. Clin. Nutr. 2010, 2, 93–100. [Google Scholar] [CrossRef]
- Réblová, Z. Effect of temperature on the antioxidant activity of phenolic acids. Czech. J. Food Sci. 2012, 30, 171–175. [Google Scholar] [CrossRef]
- Ereifej, K.I.; Feng, H.; Rababah, T.M.; Tashtoush, S.H.; Al-U’Datt, M.H.; Gammoh, S.; Al-Rabadi, G.J. Effect of Extractant and Temperature on Phenolic Compounds and Antioxidant Activity of Selected Spices. Food Nutr. Sci. 2016, 7, 362–370. [Google Scholar] [CrossRef]
- Mandal, V.; Mohan, Y.; Hemalatha, S. Microwave assisted extraction—An innovative and promising extraction tool for medicinal plant research. Pharmacogn. Rev. 2007, 1, 7–18. [Google Scholar]
- Silva, E.; Rogez, H.; Larondelle, Y. Optimization of extraction of phenolics from Inga edulis leaves using response surface methodology. Sep. Purif. Technol. 2007, 55, 381–387. [Google Scholar] [CrossRef]
- Wang, S.; Chen, F.; Wu, J.; Wang, Z.; Liao, X.; Hu, X. Optimization of pectin extraction assisted by microwave from apple pomace using response surface methodology. J. Food Eng. 2007, 78, 693–700. [Google Scholar] [CrossRef]
- Rezzoug, S.; Boutekedjiret, C.; Allaf, K. Optimization of operating conditions of rosemary essential oil extraction by a fast controlled pressure drop process using response surface methodology. J. Food Eng. 2005, 71, 9–17. [Google Scholar] [CrossRef]
- Singleton, V.L.; Orthofer, R.; Lamuela-Raventos, R.M. Analysis of total phenols and other oxidation substrates and antioxidants by means of folin-ciocalteu reagent. Methods Enzymol. 1999, 299, 152–178. [Google Scholar]
- Jia, Z.S.; Tang, M.C.; Wu, J. The determination of flavonoid contents in mulberry and their scavenging effects on superoxide radicals. Food Chem. 1999, 64, 555–559. [Google Scholar]
- Pham, H.H. The Data Anlysis and Planning of Experiments in Chemical Research; Science and Technics Publishing House: Ha Noi, Vietnam, 2007; pp. 89–99. (In Vietnamese) [Google Scholar]
- Wang, L.; Qin, P.; Hu, Y. Study on the microwave-assisted extraction of polyphenols from tea. Front. Chem. Eng. China 2010, 4, 307–313. [Google Scholar] [CrossRef]
- Dent, M.; Dragović-Uzelac, V.; Penić, M.; Bosiljkov, T.; Levaj, B. The effect of extraction solvents, temperature and time on the composition and mass fraction of polyphenols in Dalmatian wild sage (Salvia officinalis L.) extracts. Food Technol. Biotechnol. 2013, 51, 84–91. [Google Scholar]
- Su, D.; Li, H.; Lu, C. Microwave Extraction of Polyphenol from Pomegranate Seed. Asian J. Bot. (Transferred) 2018, 1, 36–46. [Google Scholar]
- Friedman, M.; Jürgens, H.S. Effect of pH on the Stability of Plant Phenolic Compounds. J. Agric. Food Chem. 2000, 48, 2101–2110. [Google Scholar] [CrossRef]
- Sharma, P.B.; Handique, P.J.; Devi, H.S. Antioxidant properties, physico-chemical characteristics and proximate composition of five wild fruits of Manipur. India J. Food Sci. Technol. 2015, 52, 894–902. [Google Scholar] [CrossRef]
- Chiari, B.G.; Severi, J.A.; Pauli-Credendio, D.; Abackerli, P.; Sylos, C.M.D.; Vilegas, W.; Isaac, V.L.B. Assessment of the chemical profile, polyphenol content and antioxidant activity in extracts of Psidium guajava L. fruits. Int. J. Pharm. Pharm. Sci. 2012, 4, 331–336. [Google Scholar]
- Hemwimon, S.; Pavasant, P.; Shotipruk, A. Microwave-assisted extraction of antioxidative anthraquinones from roots of Morinda citrifolia. Sep. Purif. Technol. 2007, 54, 44–50. [Google Scholar] [CrossRef]






| Independent Variables | Codes | Avariable Range (Δ) | Levels | ||||
|---|---|---|---|---|---|---|---|
| −α | −1 | 0 | +1 | +α | |||
| Extraction time (min) | A | 15 | 9 | 15 | 30 | 45 | 51 |
| Ethanol concentration (%) | B | 20 | 32 | 40 | 60 | 80 | 88 |
| Microwave power (W) | C | 160 | 175 | 240 | 400 | 560 | 625 |
| Solvent pH | D | 2 | 1.2 | 2 | 4 | 6 | 6.8 |
| Run | A | B | C | D | Y1 (mg GAE/g) | Y2 (mg QE/g) | Y3 (%) |
|---|---|---|---|---|---|---|---|
| 1 | −1 | −1 | −1 | −1 | 19.2 ± 0.19 | 14.1 ± 0.18 | 22.3 ± 0.22 |
| 2 | +1 | −1 | −1 | −1 | 24.9 ± 0.21 | 19.4 ± 0.15 | 27.4 ± 0.25 |
| 3 | −1 | +1 | −1 | −1 | 23.8 ± 0.23 | 18.5 ± 0.17 | 27.1 ± 0.28 |
| 4 | +1 | +1 | −1 | −1 | 25.5 ± 0.18 | 20.7 ± 0. 17 | 30.9 ± 0.31 |
| 5 | −1 | −1 | +1 | −1 | 25.4 ± 0.26 | 19.5 ± 0.19 | 27.4 ± 0.26 |
| 6 | +1 | −1 | +1 | −1 | 30.5 ± 0.33 | 23.3 ± 0.21 | 31.3 ± 0.33 |
| 7 | −1 | +1 | +1 | −1 | 26.2 ± 0.18 | 18.8 ± 0.19 | 27.8 ± 0.24 |
| 8 | +1 | +1 | +1 | −1 | 27.4 ± 0.20 | 20.2 ± 0.15 | 28.6 ± 0.27 |
| 9 | −1 | −1 | −1 | +1 | 18.6 ± 0.17 | 13.8 ± 0.11 | 22 ± 0.22 |
| 10 | +1 | −1 | −1 | +1 | 27.1 ± 0.20 | 20.1 ± 0.16 | 28.5 ± 0.23 |
| 11 | −1 | +1 | −1 | +1 | 24.8 ± 0.31 | 18.3 ± 0.13 | 26.6 ± 0.26 |
| 12 | +1 | +1 | −1 | +1 | 30.5 ± 0.27 | 28.3 ± 0.25 | 32.4 ± 0.32 |
| 13 | −1 | −1 | +1 | +1 | 23.6 ± 0.26 | 17.5 ± 0.18 | 26.9 ± 0.21 |
| 14 | +1 | −1 | +1 | +1 | 33.6 ± 0.35 | 24.5 ± 0.22 | 31.6 ± 0.36 |
| 15 | −1 | +1 | +1 | +1 | 25.5 ± 0.19 | 19.1 ± 0.19 | 28.8 ± 0.3 |
| 16 | +1 | +1 | +1 | +1 | 33.2 ± 0.22 | 22.9 ± 0.21 | 33.2 ± 0.29 |
| 17 | −1.414 | 0 | 0 | 0 | 22.3 ± 0.19 | 17.3 ± 0.18 | 25.5 ± 0.22 |
| 18 | +1.414 | 0 | 0 | 0 | 32.4 ± 0.25 | 25.1 ± 0.16 | 32.6 ± 0.29 |
| 19 | 0 | −1.414 | 0 | 0 | 24.2 ± 0.21 | 18.0 ± 0.15 | 26.6 ± 0.25 |
| 20 | 0 | +1.414 | 0 | 0 | 27.6 ± 0.23 | 20.5 ± 0.18 | 28.9 ± 0.27 |
| 21 | 0 | 0 | −1.414 | 0 | 25.6 ± 0.17 | 19.8 ± 0.17 | 28.2 ± 0.27 |
| 22 | 0 | 0 | +1.414 | 0 | 29.4 ± 0.21 | 21.7± 0.2 | 30.1 ± 0.3 |
| 23 | 0 | 0 | 0 | −1.414 | 25.6 ± 0.18 | 19 ± 0.14 | 27.8 ± 0.23 |
| 24 | 0 | 0 | 0 | +1.414 | 27 ± 0.20 | 20.9 ± 0.15 | 31.3 ± 0.33 |
| 25 | 0 | 0 | 0 | 0 | 28.9 ± 0.17 | 20.6 ± 0.18 | 29 ± 0.31 |
| 26 | 0 | 0 | 0 | 0 | 31.1 ± 0.22 | 21.4 ± 0.17 | 29.8 ± 0.30 |
| 27 | 0 | 0 | 0 | 0 | 31.9 ± 0.31 | 22.2 ± 0.19 | 30.5 ± 0.34 |
| Source | Y1-TPC | Y2-TFC | Y3-Yield | |||
|---|---|---|---|---|---|---|
| F-Value | p-Value | F-Value | p-Value | F-Value | p-Value | |
| Model | 14 | <0.0001 a | 34.07 | <0.0001 a | 21.03 | <0.0001 a |
| A | 94.11 | <0.0001 a | 274.16 | <0.0001 a | 156.67 | <0.0001 a |
| B | 8.41 | 0.0133 a | 23.75 | 0.0004 a | 34.88 | <0.0001 a |
| C | 34.9 | <0.0001 a | 50.01 | <0.0001 a | 34.34 | <0.0001 a |
| D | 6.4 | 0.0264 a | 8.56 | 0.0127 a | 11.40 | 0.0055 a |
| AB | 7.01 | 0.0213 a | 14.41 | 0.0025 a | 2.81 | 0.1192 NS |
| AC | 0.099 | 0.7584 NS | 1.74 | 0.2119 NS | 5.29 | 0.0403 a |
| AD | 10.50 | 0.0071 a | 15.65 | 0.0019 a | 5.87 | 0.0321 a |
| BC | 9.11 | 0.0107 a | 50.02 | <0.0001 a | 23.49 | 0.0004 a |
| BD | 1.93 | 0.1902 NS | 6.34 | 0.0270 a | 3.48 | 0.0869 NS |
| CD | 0.21 | 0.6517 NS | 0.19 | 0.6681 NS | 1.25 | 0.2852 NS |
| A2 | 1.62 | 0.2271 NS | 0.072 | 0.7924 NS | 0.89 | 0.3647 NS |
| B2 | 8.22 | 0.0142 a | 19.0 | 0.0009 a | 11.16 | 0.0059 a |
| C2 | 1.23 | 0.2896 NS | 0.64 | 0.4399 NS | 0.57 | 0.4634 NS |
| D2 | 5.89 | 0.0319 a | 7.28 | 0.0194 a | 0.00037 | 0.9849 NS |
| Lack of fit | 0.71 | 0.7124 NS | 0.53 | 0.7962 NS | 1.18 | 0.5431 NS |
| R2 | 0.9423 | 0.9755 | 0.9608 | |||
| Response | Model Equations | R 2 | p-Value |
|---|---|---|---|
| Y1-TPC | Y1 = 29.42 + 2.93A + 0.88B + 1.78C + 0.76D − 0.89AB + 1.09AD − 1.02BC − 1.3B2 − 1.1D2 | 0.9423 | <0.0001 |
| Y2-TFC | Y2 = 21.22 + 2.32A + 0.68B + 0.99C + 0.41D − 0.59AB + 0.62AD − 1.11BC + 0.39BD − 0.92B2 − 0.57D2 | 0.9755 | <0.0001 |
| Y3-Yield | Y3 = 29.65 + 2.55A + 1.06B + 1.05C + 0.61D − 0.46AC + 0.49AD − 0.97BC − 0.91B2 | 0.9608 | <0.0001 |
| Independent Variables | Real Variables | ||||||
|---|---|---|---|---|---|---|---|
| A | B | C | D | Time (min) | Ethanol concentration (%, v/v) | Microwave power (W) | Solvent pH |
| 1.34 | 0.23 | 0.26 | 0.7 | 50.1 | 64.6 | 441.6 | 5.4 |
| Dependent Variables | Optimum Value | |
|---|---|---|
| Experimental | Predicted | |
| Y1 (mg GAE/g) | 33.57 ± 0.12 | 33.6387 |
| Y2 (mg QE/g) | 25.01 ± 0.11 | 25.1029 |
| Y3 (%) | 33.44 ± 0.14 | 33.3286 |
© 2019 by the authors. Licensee MDPI, Basel, Switzerland. This article is an open access article distributed under the terms and conditions of the Creative Commons Attribution (CC BY) license (http://creativecommons.org/licenses/by/4.0/).
Share and Cite
Le, X.D.; Nguyen, M.C.; Vu, D.H.; Pham, M.Q.; Pham, Q.L.; Nguyen, Q.T.; Nguyen, T.A.; Pham, V.T.; Bach, L.G.; Nguyen, T.V.; et al. Optimization of Microwave-Assisted Extraction of Total Phenolic and Total Flavonoid Contents from Fruits of Docynia indica (Wall.) Decne. Using Response Surface Methodology. Processes 2019, 7, 485. https://doi.org/10.3390/pr7080485
Le XD, Nguyen MC, Vu DH, Pham MQ, Pham QL, Nguyen QT, Nguyen TA, Pham VT, Bach LG, Nguyen TV, et al. Optimization of Microwave-Assisted Extraction of Total Phenolic and Total Flavonoid Contents from Fruits of Docynia indica (Wall.) Decne. Using Response Surface Methodology. Processes. 2019; 7(8):485. https://doi.org/10.3390/pr7080485
Chicago/Turabian StyleLe, Xuan Duy, Manh Cuong Nguyen, Dinh Hoang Vu, Minh Quan Pham, Quoc Long Pham, Quang Tung Nguyen, Tuan Anh Nguyen, Van Thinh Pham, Long Giang Bach, Tuong Van Nguyen, and et al. 2019. "Optimization of Microwave-Assisted Extraction of Total Phenolic and Total Flavonoid Contents from Fruits of Docynia indica (Wall.) Decne. Using Response Surface Methodology" Processes 7, no. 8: 485. https://doi.org/10.3390/pr7080485
APA StyleLe, X. D., Nguyen, M. C., Vu, D. H., Pham, M. Q., Pham, Q. L., Nguyen, Q. T., Nguyen, T. A., Pham, V. T., Bach, L. G., Nguyen, T. V., & Tran, Q. T. (2019). Optimization of Microwave-Assisted Extraction of Total Phenolic and Total Flavonoid Contents from Fruits of Docynia indica (Wall.) Decne. Using Response Surface Methodology. Processes, 7(8), 485. https://doi.org/10.3390/pr7080485

