Abstract
The addition of Fe2+ is considered an effective method for increasing methane production, but the added Fe2+ may not be absorbed by anaerobic microorganisms due to complex chemical reactions. In this study, ethylenediaminetetraacetic acid (EDTA) was used as a ligand of Fe2+ (EDTA-Fe) to promote the dissolution of Fe, and the anaerobic performances of kitchen wastes (KWs) in a semi-continuous reactor were studied. The results indicated that the biogas yields and methane contents were enhanced to 594–613 mL·g−1VSadd·d−1 and 63.6–64.4% at an organic loading rate (OLR) of 2.5 gVSadd·L−1·d−1 due to EDTA-Fe addition. Simultaneously, the EDTA-Fe was more effective than Fe2+ in preventing the acidification of KWs with a high OLR (5.0 gVSadd·L−1·d−1). In addition, the sequential extraction results showed that the water-soluble fraction of Fe in the R3 (EDTA-Fe addition) was 1.49-fold of that in the R2 with Fe2+ addition. The contents of coenzymes F420 and F430 were also improved 1.09 and 1.11 times, respectively. Mechanism analysis confirmed that the EDTA enhanced methane production and operational stability by promoting the dissolution of Fe and maintaining a high content of water-soluble Fe.
1. Introduction
The rapid development of the catering and food processing industries has led to an increase in kitchen wastes (KWs). In China, the production of KWs reached 911 million tons in 2015, while the actual disposal rate was only 5.25% [1]. Traditional treatment methods for KWs include landfills, composting, incineration, and use as animal feed [2,3,4]. However, the application of landfills has been restricted by land resource shortages and secondary pollution [2]. The high water content of KWs has affected the use of incineration and composting by increasing the operating costs of combustion and reducing the yield of recoverable resources, respectively [4]. Anaerobic digestion (AD) has been considered as an effective biological technique for treatment of KWs [5]. In the AD process, a lot of organic matter, such as carbohydrates, proteins, and lipids, is degraded and converted to biogas [6,7].
However, in the practical application of AD there are two key issues which need to be solved. One is the poor operational stability caused by the accumulation of volatile fatty acids (VFAs), and the other is the low organic loading rates (OLRs), which reduce reactor efficiency [8,9,10]. Previous studies have found that the trace elements contained in KWs themselves are not sufficient to meet the requirements of anaerobic microorganisms [11]. This disturbs the synthesis of coenzymes and cofactors in the methanogenic pathway [12,13]. Supplementing trace elements into the AD system has been regarded as a good method to relieve VFA accumulation and recover/increase methane production under high OLR conditions [12,13].
Among a variety of trace elements, Fe is one of most commonly studied elements for its highest content in methanogens [13]. Fe is not only a growing factor for anaerobic microorganisms but also promotes the formation of ferroxins (Fd) and cytochromes, which are very important for energy metabolism [11]. In addition, Fe has been found to be useful in enhancing acetate utilization by methanogens and playing a positive role in the conversion of CO2 to CH4 [14]. However, recent research has indicated that the supplemented Fe might not be adsorbed by anaerobic microorganisms even when the total Fe content is optimal or excessive [15,16]. In fact, before supplemented Fe2+ coming into contact with microorganisms, it may precipitate with S2−, CO32−, or PO43−, or complex with organic/inorganic ligands, which reduces the bioavailability of Fe [17]. In order to artificially enhance Fe bioavailability and decrease Fe dosage, some chelating agents have been used to form soluble complexes with Fe before their addition into an AD reactor [14,18]. Zhang [17] has reported that ethylenediamine-N,N’-disuccinic acid (EDDS) chelated with Fe2+ enhances the OLRs to 6.0 gVS·L−1·d−1 and decreases the Fe2+ dosage by 50% in AD of food waste. Nevertheless, the high price of EDDS limits its application in AD [18]. Another common chelating agent, ethylenediaminetetraacetic acid (EDTA), has been successfully used in wastewater treatment, the food industry, and soil remediation [19,20,21]. Recently, EDTA has shown its potential in enhancing biogas production from agricultural waste [14,18]. However, there have been no semi-continuous or continuous experiments aimed at investigating the effects of EDTA on Fe bioavailability and methane production from KWs.
Hence, semi-continuous experiments were conducted by us to study the effects of EDTA on AD performances (biogas yields, methane contents, VFAs, and pH) of KWs at different OLRs. Simultaneously, changes in Fe speciation in continuous stirring tank reactors (CSTR) were analyzed using the Bureau Communautaire de Reference (BCR) sequential extraction method. In addition, the mechanism for EDTA enhancing methane production from KWs was investigated by key enzyme activities.
2. Materials and Methods
2.1. Experimental Materials
2.1.1. KWs and Inoculated Sludge
The KWs were collected from a student dining hall in Nanjing Forestry University. The KW samples were crushed using an electrical blender, screened through a 10-mesh screen and then stored at 4 °C before use. The inoculated sludge used in this study was taken from an up-flow anaerobic sludge blanket (UASB) reactor treating beer wastewater. The detailed characteristics of KWs and inoculated sludge are shown in Table 1.
Table 1.
Chemical characteristics of KWs and inoculated sludge.
2.1.2. Chemicals
The Fe2+ was derived from FeCl2·4H2O (Shanghai Zhanyun Chemical Co., Ltd, Shanghai, China) with a purity of 99%. The EDTA (Sinopharm Chemical Reagent Co., Ltd, Shanghai, China), HCl (Nanjing Chemical Reagent Co., Ltd, Shanghai, China), HNO3 (Laiyang Economic and Technological Development Zone Fine Chemical Plant, Laiyang, China), CH3COOH (Nanjing Chemical Reagent Co., Ltd, Shanghai, China), CH3COONH4 (Nanjing Chemical Reagent Co., Ltd, Shanghai, China), and H2O2 (Shanghai Aladdin Biochemical Technology Co., Ltd., Shanghai, China) used in this test were analytically pure. The purity of nitrogen gas (N2) was 99.999%.
2.2. Experiment Set-Up
This experiment was carried out in three 2 L CSTR reactors (marked R1–R3) with a working volume of 1.5 L. R1 was fed KWs without Fe2+ or EDTA addition and R2 was supplemented with Fe2+ alone. In R3, both Fe2+ and EDTA were added (EDTA-Fe). According to previous studies, the Fe2+ concentration was determined to be 50 mg·L−1 (50% optimal dosage) and the molar ratio of EDTA to Fe2+ was 1:1 [14,17]. All reactors were flushed with N2 for 10 min to ensure anaerobic conditions and the temperature was maintained at 35 ± 1 °C by thermostat water bath. The stirring speed in all reactors was set at 80 rpm.
All reactors were operated at OLRs of 2.5 (Phase I) and 5.0 (Phase II) gVSadd·L−1·d−1 for 30 days, respectively. The KWs were fed and discharged once a day. During the AD process, appropriate inoculated sludge was added into the reactors to compensate for the loss of anaerobic sludge. All reactors were sampled every day to measure VFA and biogas production. Enzyme activities, including those of F420 and F430, were determined every five days. The samples were collected on the 30th and 60th days of the experiment to analyze the Fe fraction.
2.3. Analytical Methods
The total solid (TS) and volatile solid (VS) were analyzed using a standard analytical method [22]. The C, H, and N were determined using an elemental analyzer (Vario EL cube, Elementar, Hanau, Germany). The pH was analyzed by pH meters (WTW pH 7310, Munich, Germany). Fe speciation was assessed using a modified BCR sequential extraction method [23]. Detailed extraction steps and methods have been described in the literature [17]. The Fe content in each extraction step was measured by an inductively coupled plasma emission spectroscope (iCAP 7200, Thermo Scientific, MA, USA).
The samples were centrifuged at 10,000 rpm for 10 min and then filtered through 0.45 μm membranes. The filtrate was analyzed for VFAs, F420, and F430. The VFAs were measured by gas chromatography (Agilent 6890 N, Palo Alto, CA, USA) and the total VFA amount was the sum of acetic, propionic, butyric, and valeric acids [24]. The concentration of F420 was determined using a fluorescence spectrophotometer [25], and F430 was quantified according to previous literature [26].
Biogas production was measured using a gas-sampling bag. The methane contents was determined using a gas chromatograph (GC-2014, Shimadzu, Kyoto, Japan) equipped with a thermal conductivity detector and a stainless steel column of dimensions 2 m × 4 mm with hydrogen as the carrier gas (25 mL·min−1) [27]. Biogas yields were defined as the volume of biogas (L) produced by unit mass of VS addition (g VSadd) per unit time (d) [17,28].
3. Results and Discussion
3.1. Methane Production
The changes in biogas yields and methane contents in R1–R3 are presented in Figure 1. It was found that the average biogas yields and methane contents during the whole AD process followed the order R3 > R2 > R1. For example, the average biogas yields in R1–R3 were 489.69, 572.04, and 605.58 mL·g−1VSadd·d−1, with an OLR of 2.5 gVSadd·L−1·d−1, respectively. It was confirmed that EDTA enhances the positive effects of Fe2+ on methane production. Conversely, the continuous addition of EDTA had no negative impact on AD in this study. However, recent research has suggested no obvious changes of methane production are observed with Fe or EDTA-Fe addition in the AD process of rice straw, while EDTA addition alone enhances methane production [18]. This might be due to a big difference in the background value of Fe between rice straw and KWs. Additionally, R1–R3 exhibited good operational stability at low OLR (2.5 gVSadd·L−1·d−1). The fluctuation ranges of biogas yields (594–613 mL·g−1VSadd·d−1) and methane contents (63.6–64.4%) in R3 were rather smaller than those in R1 and R2. As shown in Figure 1, when the OLR was increased to 5.0 gVSadd·L−1·d−1 (), the biogas yields and methane contents in R1 decreased sharply, and finally failed on the 54th day. On the contrary, the biogas yields and methane contents in R2–R3 decreased slightly and then maintained stability, even at high OLRs. The change was consistent with previous studies, in which it was found that the addition of EDTA increases methane production by improving Fe bioavailability [17,18]. Vintiloiu [14] has also demonstrated that the addition of EDTA-Ni has a simulative effect on biogas production and the stability of the AD process.
Figure 1.
Changes in (a) biogas yields and (b) methane contents with different additives and operating parameters. Legend: EDTA, ethylenediaminetetraacetic acid.
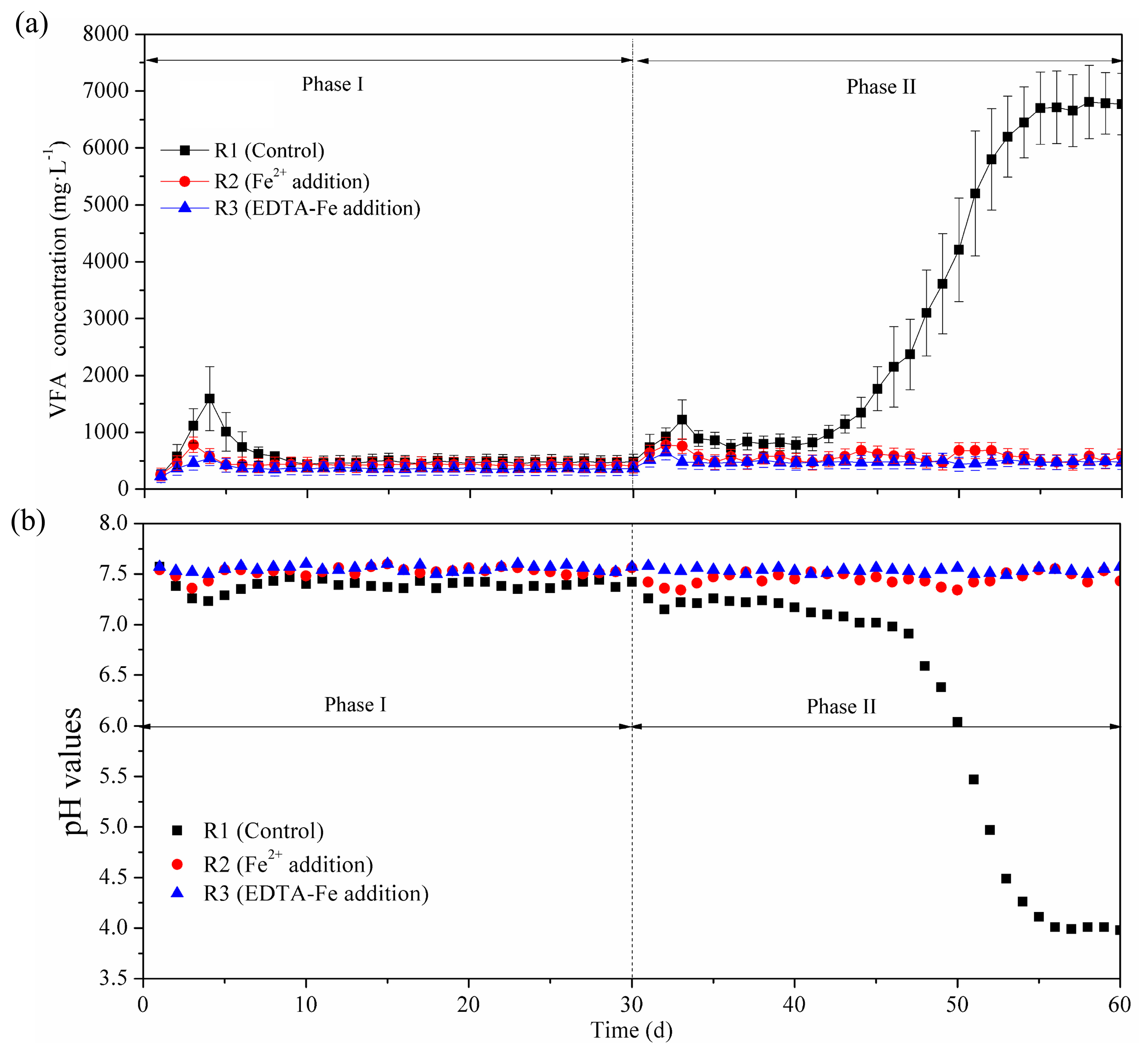
3.2. VFA Concentration and Composition
It is well known that VFA accumulation is one of most important factors limiting methane production from KWs [12,13]. It can be seen from Figure 2, the VFA concentration and pH values in R1–R3 were all in the ranges 300–550 mg·L−1 and 7.2–7.6 on the Phase I, respectively. The pH and OLR provided suitable conditions for the growth and metabolism of anaerobic microorganisms, which promoted the conversion of the VFAs to methane. When the OLR increased to 5.0 gVSadd·L−1·d−1 (Phase II), the changes in VFAs and the pH in R2 and R3 were significantly different from those in R1. For instance, on the Phase II, the VFA concentration in R1 increased rapidly from an average of 528.9 to 6788.9 mg·L−1, corresponding to a pH decrease from 7.36 to 4.01. Nevertheless, no obvious VFA accumulation and pH reduction occurred in R2 and R3, and the AD performance of R3 with EDTA-Fe addition was slightly higher than that of R2 with Fe2+ addition. This result suggests that the addition of Fe2+ effectively prevented the acidification of KWs at a high OLR. It has been reported that the addition of Fe2+ accelerates the process of anaerobic fermentation and provides a more suitable metabolic environment for microorganisms in anaerobic digestion systems [27]. Moreover, the addition of EDTA-Fe has been proven to be more effective than Fe2+, and Hu [29] and Zhang [17] have also obtained similar conclusions using other chelating agents, such as nitrilotriacetic acid (NTA) and EDDS.
Figure 2.
Changes in (a) volatile fatty acid (VFA) concentration and (b) pH with different additives and operating parameters.
3.3. Fe Speciation
There are five forms of Fe in the anaerobic reactor, such as water-soluble fraction, exchangeable/acid-soluble fraction, Fe/Mn oxide fraction, organic/sulfide fraction, and residual fraction [16]. The water-soluble fraction, directly absorbed by anaerobic microorganisms, has the highest bioavailability [16]. The exchangeable/acid-soluble fractions link to the water-soluble fraction through microbial uptake and release [16]. The Fe/Mn oxides and organic/sulfide fractions are potentially bioavailable and the residual fraction is the least bioavailable [30]. It is therefore necessary to analyze the chemical speciation of Fe in the AD reactor to understand the bioavailability of Fe. The distribution of different Fe fractions in R1–R3 is illustrated in Table 2. On the 30th and 60th days, the water-soluble fraction of Fe in R1 was the lowest, as no Fe2+ was added into this reactor. The water-soluble fraction of Fe in R2 was increased to 8.31% (on the 30th day) and 7.25% (on the 60th day) due to the addition of Fe2+, respectively. Meanwhile, an obvious increase in water-soluble Fe was observed in R3. The Fe in the water-soluble fraction on the 30th day was increased to 12.43% and the corresponding value on the 60th day was 11.37%. These values were almost 1.496- and 1.568-fold of those in R2, respectively. In addition, the exchangeable/acid-soluble fraction increased slightly, while other Fe fractions remained the same or decreased in R3. The results show that EDTA had the ability to promote the dissolution of Fe and maintain a high content of the water-soluble fraction in the semi-continuous reactor. Comprehensive analysis of Figure 1 and Table 2 indicates that the changes in biogas yields and methane contents were positively correlated with the percentage of water-soluble Fe.
Table 2.
Distribution of different Fe fractions in R1–R3 on the 30th and 60th days.
3.4. Enzyme Activity
As we know, enzymes play a very important role in the metabolism of methanogenesis; simultaneously, trace elements provide active potentials for the synthesis of coenzymes and cofactors [31]. Methanogenic activity therefore depends on the bioavailability of trace elements [32]. Coenzymes F420 and F430 are often used for analyzing the activity of methanogens [17,26]. Figure 3 presents the changes in coenzyme F420 and F430 concentrations in R1–R3 during the AD process. It was found that R2 and R3 had higher coenzyme activities than R1. Under the stable conditions of Phase I, the average concentrations of coenzyme F420 in R2 and R3 reached 1.34 and 1.46 μmol·L−1, respectively, which was 1.18- and 1.29-fold of that in R1. The corresponding coenzyme F430 concentrations (4.13 and 4.57 μmol·L−1 in R2 and R3, respectively) were also much higher than that in R1 (3.18 μmol·L−1). It was also observed that the activities of F420 and F430 in R3 were 1.09- and 1.11-fold of that in R2, indicating that the EDTA-Fe addition had greater positive effects on key coenzymes activities than Fe2+ addition. In addition, the F420 and F430 concentrations on the Phase II were lower than that on Phase I, exhibiting a similar tendency to the values for methane production and the water-soluble fraction of Fe. The results clearly show a good correlation between the coenzymes F420/F430 and water-soluble Fe, and also confirm the simulative effects of EDTA-Fe on methane production.
Figure 3.
Changes in coenzymes (a) F420 and (b) F430 with different additives and operating parameters.
4. Conclusions
This experiment has demonstrated that EDTA-Fe improves methane production and operational stability from KWs in a semi-continuous anaerobic reactor. The results showed that the EDTA-Fe obtained higher biogas yields and methane contents and simultaneously accelerated the conversion from VFAs to methane, even at high OLR. In addition, the addition of EDTA was proven to be effective in promoting the dissolution of Fe and maintaining the high content of the water-soluble fraction, which stimulated the synthesis of the key enzymes F420 and F430.
Author Contributions
Y.L. and X.K. conceived and designed the experiments; Y.L. and H.C. performed the experiments; X.K. and H.C. analyzed the results; and Y.L. and X.K. wrote and revised the paper.
Funding
This research was funded by [Natural Science Foundation of the Jiangsu Province of China] grant number [BK20160937]; [the Natural Science Foundation of the Jiangsu Higher Education Institutions of China] grant number [16KJB560018]; [the National Natural Science Foundation of China] grant number [51808282]; and [the Youth Innovation Foundation of Nanjing Forestry University] [CX2017025].
Conflicts of Interest
The authors declare no conflict of interest.
References
- Guo, Q.; Dai, X. Analysis on carbon dioxide emission reduction during the anaerobic synergetic digestion technology of sludge and kitchen waste: Taking kitchen waste synergetic digestion project in Zhenjiang as an example. Waste Manag. 2017, 69, 360–364. [Google Scholar] [CrossRef] [PubMed]
- Rezapour, S.; Samadi, A.; Kalavrouziotis, I.K.; Ghaemian, N. Impact of the uncontrolled leakage of leachate from a municipal solid waste landfill on soil in a cultivated-calcareous environment. Waste Manag. 2018, 82, 51–61. [Google Scholar] [CrossRef] [PubMed]
- Taeporamaysamai, O.; Ratanatamskul, C. Co-composting of various organic substrates from municipal solid waste using an on-site prototype vermicomposting reactor. Int. Biodeterior. Biodegrad. 2016, 113, 357–366. [Google Scholar] [CrossRef]
- Ren, X.; Hu, S. Cost recovery of municipal solid waste management in small cities of inland China. Waste Manag. Res. 2014, 32, 340–347. [Google Scholar] [CrossRef] [PubMed]
- Braguglia, C.M.; Gallipoli, A.; Gianico, A.; Pagliaccia, P. Anaerobic bioconversion of food waste into energy: A critical review. Bioresour. Technol. 2018, 248, 37–56. [Google Scholar] [CrossRef] [PubMed]
- Kiran, E.U.; Trzcinski, A.P.; Ng, W.J.; Liu, Y. Bioconversion of food waste to energy: A review. Fuel 2014, 134, 389–399. [Google Scholar] [CrossRef]
- Panepinto, D.; Genon, G. Analysis of the extrusion as a pretreatment for the anaerobic digestion process. Ind. Crop. Prod. 2016, 83, 206–212. [Google Scholar] [CrossRef]
- Ye, M.; Liu, J.Y.; Ma, C.N.; Li, Y.Y.; Zou, L.P.; Qian, G.R.; Xu, Z.P. Improving the stability and efficiency of anaerobic digestion of food waste using additives: A critical review. J. Clean Prod. 2018, 192, 316–326. [Google Scholar] [CrossRef]
- Thanh, P.M.; Ketheesan, B.; Stuckey, D.C.; Zhou, Y. Effects of trace metal deficiency and supplementation on a submerged anaerobic membrane bioreactor. Bioresour.Technol. 2017, 241, 161–170. [Google Scholar] [CrossRef]
- Niu, Q.G.; Kubota, K.; Qiao, W.; Jing, Z.Q.; Zhang, Y.L.; Yu-You, L. Effect of ammonia inhibition on microbial community dynamic and process functional resilience in mesophilic methane fermentation of chicken manure. J. Chem. Technol. Biot. 2015, 90, 2161–2169. [Google Scholar] [CrossRef]
- Menon, A.; Wang, J.Y.; Giannis, A. Optimization of micronutrient supplement for enhancing biogas production from food waste in two-phase thermophilic anaerobic digestion. Waste Manag. 2017, 59, 465–475. [Google Scholar] [CrossRef] [PubMed]
- Zhang, W.Q.; Wu, S.B.; Guo, J.B.; Zhou, J.; Dong, R.J. Performance and kinetic evaluation of semi-continuously fed anaerobic digesters treating food waste: Role of trace elements. Bioresour. Technol. 2015, 178, 297–305. [Google Scholar] [CrossRef] [PubMed]
- Choong, Y.Y.; Norli, I.; Abdullah, A.Z.; Yhaya, M.F. Impacts of trace element supplementation on the performance of anaerobic digestion process: A critical review. Bioresour. Technol. 2016, 209, 369–379. [Google Scholar] [CrossRef] [PubMed]
- Vintiloiu, A.; Boxriker, M.; Lemmer, A.; Oechsner, H.; Jungbluth, T.; Mathies, E.; Ramhold, D. Effect of ethylenediaminetetraacetic acid (EDTA) on the bioavailability of trace elements during anaerobic digestion. Chem. Eng. J. 2013, 223, 436–441. [Google Scholar] [CrossRef]
- Zitomer, D.H.; Johnson, C.C.; Speece, R.E. Metal stimulation and municipal digester thermophilic/mesophilic activity. J. Environ. Eng.-ASCE 2008, 134, 42–47. [Google Scholar] [CrossRef]
- Thanh, P.M.; Ketheesan, B.; Yan, Z.; Stuckey, D.C. Trace metal speciation and bioavailability in anaerobic digestion: A review. Biotechnol. Adv. 2016, 34, 122–136. [Google Scholar] [CrossRef] [PubMed]
- Zhang, W.L.; Zhang, L.; Li, A.M. Enhanced anaerobic digestion of food waste by trace metal elements supplementation and reduced metals dosage by green chelating agent S, S-EDDS via improving metals bioavailability. Water Res. 2015, 84, 266–277. [Google Scholar] [CrossRef]
- Cai, Y.; Hu, K.; Zheng, Z.; Zhang, Y.; Guo, S.; Zhao, X.; Cui, Z.; Wang, X. Effects of adding EDTA and Fe2+ on the performance of reactor and microbial community structure in two simulated phases of anaerobic digestion. Bioresour. Technol. 2019, 275, 183–191. [Google Scholar] [CrossRef]
- Chen, B.; Zhao, H.N.; Chen, S.J.; Long, F.X.; Huang, B.; Yang, B.Q.; Pan, X.J. A magnetically recyclable chitosan composite adsorbent functionalized with EDTA for simultaneous capture of anionic dye and heavy metals in complex wastewater. Chem. Eng. J. 2019, 356, 69–80. [Google Scholar] [CrossRef]
- Acevedo, M.; Lima, M.J.A.; Nascimento, C.F.; Rocha, F.R.P. A green and cost-effective procedure for determination of anionic surfactants in milk with liquid-liquid microextraction and smartphone-based photometric detection. Microchem. J. 2018, 143, 259–263. [Google Scholar] [CrossRef]
- Gluhar, S.; Jez, E.; Lestan, D. The use of zero-valent Fe for curbing toxic emissions after EDTA-based washing of Pb, Zn and Cd contaminated calcareous and acidic soil. Chemosphere 2019, 215, 482–489. [Google Scholar] [CrossRef] [PubMed]
- American Public Health Association (APHA); American Water Works Association (AWWA); Water Environment Federation (WEF). Standard Methods for the Examination of Water and Wastewater, 20th ed.; APHA: Washington, DC, USA, 2005. [Google Scholar]
- Rauret, G.; Lopez-Sanchez, J.F.; Sahuquillo, A.; Rubio, R.; Davidson, C.; Ure, A.; Quevauviller, P. Improvement of the BCR three step sequential extraction procedure prior to the certification of new sediment and soil reference materials. J. Environ. Monit. 1999, 1, 57–61. [Google Scholar] [CrossRef] [PubMed]
- Chen, Y.G.; Jiang, S.; Yuan, H.Y.; Zhou, Q.; Gu, G.W. Hydrolysis and acidification of waste activated sludge at different pHs. Water Res. 2007, 41, 683–689. [Google Scholar] [CrossRef] [PubMed]
- Bashiri, G.; Rehan, A.M.; Greenwood, D.R.; Dickson, J.M.J.; Baker, E.N. Metabolic Engineering of Cofactor F-420 Production in Mycobacterium smegmatis. PLoS ONE 2010, 5, e15803. [Google Scholar] [CrossRef] [PubMed]
- Kida, K.; Shigematsu, T.; Kijima, J.; Numaguchi, M.; Mochinaga, Y.; Abe, N.; Morimura, S. Influence of Ni2+ and Co2+ on methanogenic activity and the amounts of coenzymes involved in methanogenesis. J. Biosci. Bioeng. 2001, 91, 590–595. [Google Scholar] [CrossRef]
- Cai, Y.; Zhao, X.; Zhao, Y.; Wang, H.; Yuan, X.; Zhu, W.; Cui, Z.; Wang, X. Optimization of Fe2+ supplement in anaerobic digestion accounting for the Fe-bioavailability. Bioresour. Technol. 2018, 250, 163–170. [Google Scholar] [CrossRef] [PubMed]
- Zhou, Y.L.; Xu, Z.Y.; Zhao, M.X.; Shi, W.S.; Huang, Z.X.; He, D.; Ruan, W.Q. Construction and evaluation of efficient solid-state anaerobic digestion system via vinegar residue. Int. Biodeterior. Biodegrad. 2018, 133, 142–150. [Google Scholar] [CrossRef]
- Hu, Q.H.; Li, X.F.; Du, G.C.; Chen, J. Effect of nitrilotri acetic acid on bioavailability of nickel during methane fermentation. Chem. Eng. J. 2008, 143, 111–116. [Google Scholar] [CrossRef]
- Ortner, M.; Rameder, M.; Rachbauer, L.; Bochmann, G.; Fuchs, W. Bioavailability of essential trace elements and their impact on anaerobic digestion of slaughterhouse waste. Biochem. Eng. J. 2015, 99, 107–113. [Google Scholar] [CrossRef]
- Ferry, J.G. Fundamentals of methanogenic pathways that are key to the biomethanation of complex biomass. Curr. Opin. Biotechnol. 2011, 22, 351–357. [Google Scholar] [CrossRef]
- Zandvoort, M.H.; van Hullebusch, E.D.; Fermoso, F.G.; Lens, P.N.L. Trace metals in anaerobic granular sludge reactors: Bioavailability and dosing strategies. Eng. Life Sci. 2006, 6, 293–301. [Google Scholar] [CrossRef]
© 2019 by the authors. Licensee MDPI, Basel, Switzerland. This article is an open access article distributed under the terms and conditions of the Creative Commons Attribution (CC BY) license (http://creativecommons.org/licenses/by/4.0/).


