Abstract
Plasticizers are commonly added to poly(vinyl chloride) (PVC) and other brittle polymers to improve their flexibility and processing properties. Phthalate plasticizers such as di(2-ethylhexyl phthalate) (DEHP) are the most common PVC plasticizers and have recently been linked to a wide range of developmental and reproductive toxicities in mammals. Our group has developed several replacement compounds that have good biodegradation kinetics, low toxicity profiles, and comparable plasticizer properties to DEHP. Knowledge of the rheology of PVC–plasticizer blends at elevated temperatures is crucial for understanding and predicting the behavior of the compounds during processing. In this work, the time–temperature profiles of PVC blended with our replacement green plasticizers—succinates, maleates, and dibenzoates, of varying alkyl chain length—are compared to blends prepared with DEHP and a commercially available non-phthalate plasticizer, di(isononyl cyclohexane-1,2-dicarboxylate) (Hexamoll® DINCH®). The relationship between the plasticizer molecular structure and viscoelastic response was examined by applying time–temperature superposition. All compounds except the diethyl esters showed a comparable viscoelastic response to DEHP and Hexamoll® DINCH®, and dihexyl succinate exhibited the most effective reduction of the storage modulus G′. All of the dibenzoate blends exhibited a lower stiffness than the DEHP blends. These experiments help to show that the green plasticizers described herein are viable replacements for DEHP, providing a less toxic alternative with comparable processing and rheological performance.
1. Introduction
Plasticizers are commonly added to poly(vinyl chloride) (PVC) and other brittle polymers to improve their flexibility and processing properties [1]. They are typically small organic molecules that are blended with polymers to reduce their glass transition temperature (Tg), thereby making them more malleable. Plasticizers also play a crucial role in improving the processing of polymers such as PVC, allowing for the resins to be blended and processed at lower temperatures without degradation [2].
Approximately 95% of the 6.4 million tons of plasticizer that are consumed annually world-wide are used to plasticize PVC and, of these, phthalate plasticizers are the most commonly used, comprising 87% of the global plasticizer market [3]. The most prevalent phthalate plasticizer is di(2-ethylhexyl) phthalate (DEHP) [4]. Most plasticizers are incorporated into the polymer matrix through mechanical mixing and are not chemically bound to the polymer, allowing them to leach out of the blend over time [5]. This results in humans’ exposure to plasticizers, and ultimately in their entry into the environment [6,7]. Notably, because of the high volumes of phthalates used annually, they are now considered to be ubiquitous global contaminants [6]. Moreover, DEHP and its stable metabolite mono(2-ethylhexyl) phthalate (MHEP) have been linked to a wide range of developmental and reproductive toxicity issues in mammals, and are suspected endocrine disruptors [8,9].
Owing to this, several phthalates have been banned in children’s toys in Canada, the United States and Europe [10,11,12], resulting in a strong incentive to develop alternative plasticizers. For instance, the compound di(isononyl cyclohexane-1,2-dicarboxylate) has been introduced under the trade name Hexamoll® DINCH® (BASF), hereafter referred to as DINCH, as a safer alternative to phthalates [13]. Other alternative plasticizers on the market include di(2-ethylhexyl) terephthalate (DEHT) produced by Eastman Chemical Company under the name Eastman 168, the Dow Ecolibrium bio-based plasticizer, and Hallstar’s renewable ester-based plasticizers [14]. More recently, several families of diester compounds have been proposed by our group as replacements for phthalates because of their resemblance in structure to phthalate plasticizers, as well as their having higher biodegradation rates, lower toxicity profiles (in the case of the succinates and dibenzoates), and comparable plasticizer properties to DEHP. These include several diol dibenzoates [15], and even-numbered n-alkyl succinates and maleates [16,17,18,19,20]. The molecular structures of DEHP, DINCH and some of the above-mentioned green alternative plasticizers are shown in Figure 1.
Figure 1.
Molecular structures of the commercial plasticizers di(2-ethylhexyl) phthalate (DEHP) and di(isononyl cyclohexane-1,2-dicarboxylate) (DINCH), as well as those of three families of diester compounds suggested as green alternatives: succinates, dibenzoates, and maleates.
Previously, the performance of the proposed green plasticizers (Figure 1) in blends with PVC was assessed and compared to the two commercial plasticizers, DEHP and DINCH. Specifically, the glass transition, mechanical properties (i.e., tensile strength and surface hardness), biodegradation, and leaching behavior were investigated [5,16,17,18,21]. These provide insight into the end-use properties of the blends, as well as their behavior after disposal. However, the long-term rheological performance is a key requirement for many materials used in seals, gaskets, etc., and must be evaluated as part of the process to assess the viability of green plasticizers as phthalate replacements. Additionally, the successful design of manufacturing equipment, such as extruders, injection molders, and pelletizers, whether using hot melt or plastisol technology, requires precise control of the rheology and time–temperature profiles of the system [22]. Therefore, in this work, the rheological behavior of PVC blends prepared with the three families of green plasticizers (Figure 1) was compared to that of blends containing DEHP and DINCH to gain a better understanding of the blends’ dynamic rheological behavior under processing conditions. This step is necessary in the development of an alternative green plasticizer, to show that it will perform mechanically as well or better than the current benchmarks (DEHP and DINCH). Thus, the rheology is part of a series of tests that should be used when developing a process to make a replacement plasticizer. Specifically, time–temperature superposition was employed to produce master curves of the elastic and viscous moduli of each plasticizer–PVC blend of these compounds, and to assess their properties as compared to the commercial plasticizers. Additionally, the relationship between the plasticizer molecular structure, specifically the alkyl side-chain length and central structure, and the viscoelastic response was examined for the succinate, maleate, and dibenzoate compounds.
It was found that the melt flow behavior of all the alternative plasticizers displayed storage moduli (G′) and loss moduli (G″) curves with similar shapes to those of DEHP and DINCH. An optimal linear alkyl chain length of six to eight carbons was found to produce blends having master curves with the lowest G′ values for the succinate and the maleate blends. All compounds except the diethyl esters, when blended into PVC, had comparable G′ master curves to DEHP and DINCH blends, and dihexyl succinate showed the most effective reduction of G′. The length of the central aliphatic structure did not play a role in the effectiveness of the dibenzoate plasticizers, and all the dibenzoate plasticizer–PVC blends exhibited a superior rheological response to DEHP blends.
2. Materials and Methods
Unplasticized PVC (UPVC; K50) was provided by Solvay Benvic, Chevigny-Saint-Sauveur, France. DEHP (99%) was purchased from Sigma Aldrich (St. Louis, MO, USA), and DINCH (99%) was provided by BASF Canada (Mississauga, ON, Canada). The series of succinates, maleates and dibenzoate plasticizers were synthesized as previously described [15,21]. Epoxidized soybean oil was purchased from Chemtura Corporation (Philadelphia, PA, USA) as a thermal stabilizer for PVC, and stearic acid was purchased from Fisher Scientific (Montréal, QC, Canada) as a lubricant.
2.1. Extrusion of PVC–Plasticizer Blends
PVC–plasticizer blends were prepared to a final concentration of 40 phr (parts per hundred resin, 28.6 wt %) using a conical intermeshing twin-screw extruder (Haake Minilab, Thermo Electron Corporation, Beverly, MA, USA) with a screw diameter of 5/14 mm conical, a screw length of 109.5 mm, and a batch size of 3 g. A two-step process was used because of the miniature nature of our extruder (and its lack of reversing elements) to ensure homogeneity of the blends and to prevent phase inversion phenomena. In the first step, UPVC was combined with 20 phr plasticizer, 4 phr epoxidized soybean oil as thermal stabilizer, and 5 phr stearic acid as a lubricant. The extruder was operated at 130 °C with a screw rotation speed of 15 min−1, and the resulting blend was recycled through the extruder before the second step. In the second step, another 20 phr plasticizer was added and extruded at 120 °C to achieve a total concentration of 40 phr plasticizer. The resulting blend was again recycled through the extruder, so that all blends had passed through the extruder at least four times. The concentration of 40 phr was chosen to reflect a typical amount that is commonly used in industrial products.
2.2. Preparation of Test Disks
The plasticized PVC was pressed into circular disks of 1 mm thickness and 25 mm diameter using a hot press (Carver Manual Hydraulic Press with Watlow Temperature Controllers, Carver Inc., Wabash, IN, USA) and a corresponding mold. Pressing was performed at 140 °C and 1 MPa for 10 min before degassing, then at 2 MPa for 10 min, and finally at 3 MPa for 30 min. All samples were found to be completely fused (see Figures S12–S14 in the supplementary materials for melt stability tests at 200 °C). After cooling, the disks were removed from the mold and placed in a desiccator (Drierite, Fisher Scientific, Montréal, QC, Canada) for a minimum of 48 h before the evaluation of their rheological properties.
2.3. Rheology
Oscillatory shear tests were performed using a strain-controlled rheometer (Anton Paar MCR 302, Anton Paar Canada, St-Laurent, QC, Canada) with parallel plate geometry (25 mm plate diameter) and a CTD 450 convection oven, operated under nitrogen. A strain amplitude within the linear viscoelastic range (5%) was applied over a frequency range of 0.3 to 300 rad⋅s−1. Frequency sweeps from 0.3 to 300 rad⋅s−1 were repeated at temperatures from 110 to 200 °C (or until degradation was observed), and measurements were taken at 10 °C increments. The storage modulus (G′) and loss modulus (G″) were calculated using Anton Paar Rheoplus software (RHEOPLUS/32 version 3.61, Anton Paar Germany, Ostfildern, Germany, 2011).
2.4. Time–Temperature Superposition
The data obtained from the tests were used to produce rheological master curves using time–temperature superposition [23]. A customized MATLAB time–temperature superposition algorithm was used to produce the curves and extend the frequency range of the measurements (see Figure S1 and MATLAB algorithm in supplementary materials). The G′ and G″ isotherms were shifted horizontally along the x-axis with respect to a reference temperature (Tref = 140 °C), and each shift factor was independently calculated to ensure the best overlap with adjacent isotherms. A small vertical shift factor was also calculated to account for differences in density. The best overlap between curves was determined by a method of least squares. The shifted curves were expressed by Equation (1), as follows:
where T represents the temperature, ω represents the angular frequency, Tref represents the reference temperature, and aT represents the temperature-dependent horizontal shift factor. Equation (1) is written in terms of G′, but this relationship also holds for several other polymer melt flow properties, including G″.
2.5. Statistics
G′ and G″ of the proposed green plasticizers were compared to those of DEHP and DINCH. The master curves were compared by a repeated measures one-way ANOVA. The individual values of each G′ or G″ series for frequencies between log −1.8 and 3.4 were evaluated in a pairwise manner to identify if the curves were significantly different. To identify which curves were significantly different, a Bonferroni post hoc multiple-comparison test was performed. A value of p < 0.05 was deemed to be statistically significant. Statistical analyses were performed using GraphPad Prism software (version 5.0, GraphPad Software, Inc., La Jolla, CA, USA, 2007).
3. Results
The master curves of the storage modulus (G′) and loss modulus (G″) versus angular frequency (ω) for the PVC–DEHP and PVC–DINCH blends are shown in Figure 2. Examples of the original (i.e., unshifted) frequency sweeps for DEHP, DINCH, dioctyl succinate (DOS), dioctyl maleate (DOM), and 1,4-butanediol dibenzoate (1,4-BDDB) can be found in Figures S2–S11 of the supplementary materials. It can be seen that with an increasing frequency, G′ and G″ increased, which is consistent with previous rheological studies on plasticized PVC systems [24]. Although both curves in Figure 2 resemble each other, G″ was slightly higher for the DINCH blends compared to the DEHP blends (one-way ANOVA with repeated measures and Bonferroni’s multiple-comparison post-test, p < 0.0001), but the elastic modulus, G′, was similar for both (not significant, p > 0.05 (ns)).
Figure 2.
Loss and storage modulus as a function of frequency for poly(vinyl chloride) (PVC) blends of DEHP and DINCH at 40 phr.
Next, we examined the effect of the alkyl chain length of the n-alkyl succinate plasticizers, as these groups have a pronounced effect on other mechanical and thermal properties [16,18,21]. It is expected that this would be reflected in the time–temperature superposition experiments. Figure 3 shows the G′ and G″ master curves as a function of frequency for the n-alkyl succinate plasticizers with varying alkyl chain lengths, as compared to DEHP. Dihexyl succinate (DHS) blends were the only blends found to have lower G′ and G″, indicating a softer material, compared to DEHP blends (p ≤ 0.0001). Diethyl succinate (DES) blends were found to have an equivalent elastic response (G′) to DEHP blends (ns) and a higher G″ (p ≤ 0.0001). Dibutyl succinate (DBS) and DOS blends were found to have equivalent elastic and viscous behavior to DEHP blends (ns). These results are summarized in Table 1 (G′) and Table 2 (G″).
Figure 3.
Dynamic elastic moduli of succinate plasticizers showing the effect of plasticizer chain length on the storage (G′) and loss (G″) moduli of PVC blends with DEHP as compared to blends with: (A) diethyl succinate (DES); (B) dibutyl succinate (DBS); (C) dihexyl succinate (DHS) and (D) dioctyl succinate (DOS). All PVC–plasticizer blends were 40 phr.
Table 1.
Summary of statistical analyses of the post-ANOVA multiple-comparison test results for the storage modulus (G′) master curves for the green plasticizer blends in comparison to di(2-ethylhexyl phthalate) (DEHP) blends.
Table 2.
Summary of statistical analyses of the loss modulus (G″) post-ANOVA multiple-comparison test results for the master curves for the green plasticizer blends in comparison to DEHP blends.
Similarly, we looked at the different-chain-length maleates, to see if the more rigid central structure of the maleates compared to the succinates would be reflected in the viscoelastic properties. Figure 4 shows the G′ and G″ master curves as a function of frequency for the n-alkyl maleate plasticizers with varying alkyl chain lengths, as compared to DEHP blends. Examination of the maleate series revealed that diethyl maleate (DEM) blends exhibited higher G′ and G″, indicating a stiffer material, compared to DEHP blends (p < 0.0001). In contrast, dibutyl maleate (DBM) and dihexyl maleate (DHM) blends had similar G′ and G″ compared to DEHP blends (ns). DOM blends had equivalent G′ but lower G″ than DEHP blends (p ≤ 0.0001). See Table 1 and Table 2.
Figure 4.
Dynamic elastic moduli of maleate plasticizers showing the effect of plasticizer chain length on the storage (G′) and loss (G″) moduli of PVC blends with DEHP as compared to blends with: (A) diethyl maleate (DEM); (B) dibutyl maleate (DBM); (C) dihexyl maleate (DHM) and (D) dioctyl maleate (DOM). All PVC–plasticizer blends were 40 phr.
Having examined the effect of the alkyl chain length with maleate and succinate esters, we looked at the effect of branching on G′ and G″. Master curves of G′ and G” versus ω for PVC blended with the branched succinate and maleate plasticizers are shown in Figure 5. The branched di(2-ethylhexyl) succinate (DEHS) and di(2-ethylhexyl) maleate (DEHM) blends showed equivalent G′ and G″ to those of DEHP (ns). We note that inspection of Figure 5 shows how closely the rheological response mirrors the structural similarity of the plasticizers.
Figure 5.
Effect of plasticizer branching on the storage (G′) and loss (G″) moduli of (A) PVC blends with branched succinate plasticizer and (B) PVC blends with branched maleate plasticizers as compared to blends with DEHP.
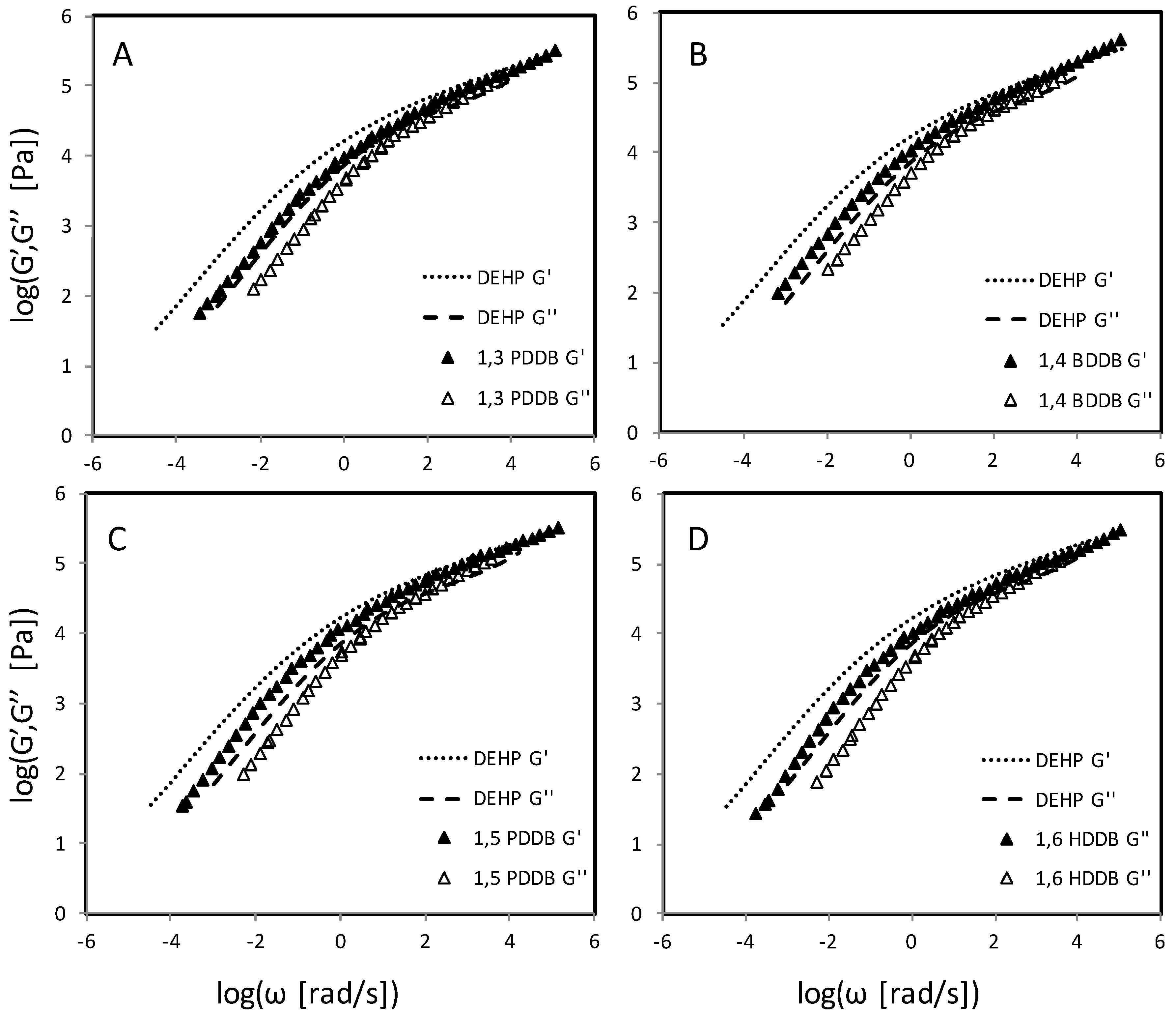
Finally, PVC blended with the dibenzoate family was studied for a comparison to the maleate and succinate blends. Unlike the maleate and succinate plasticizers, which have bulky rigid groups at the ends of the molecules, for the dibenzoate plasticizers, the placement of the soft group is reversed, and it is found in the middle of the molecule. Figure 6 shows the G′ and G″ master curves as a function of frequency for the dibenzoate blends with different central alkyl lengths in comparison with those of DEHP blends. G′ for all of the dibenzoate blends was lower than for DEHP, indicating a softer material (p ≤ 0.0001), and the G″ was also lower for all plasticizer blends except for the 1,4-BDDB blend, for which no significant difference was found. The moduli values agreed more closely with those of DEHP at higher frequencies and tended to deviate at lower frequencies for all the blends.
Figure 6.
Dynamic elastic moduli of dibenzoate plasticizers showing the effect of plasticizer central group size on the storage (G′) and loss (G″) moduli of PVC blends with DEHP as compared to blends with: (A) 1,3-propanediol dibenzoate (1,3-PDDB); (B) 1,4-butanediol dibenzoate (1,4-BDDB); (C) 1,5-pentanediol dibenzoate (1,5-PDDB) and (D) 1,6-hexanediol dibenzoate (1,6-HDDB). All PVC–plasticizer blends were 40 phr.
4. Discussion
Phthalate plasticizers have been increasingly scrutinized for their health and environmental impacts because of their ubiquity in the environment, the numerous routes of human exposure, and their potentially toxic effects [5,6,8,9]. To find a suitable plasticizer to replace DEHP, compounds must be developed that are not only less harmful to human health and to the environment, but that can also effectively plasticize PVC. More specifically, it is important that any viable replacement plasticizers display similar rheological behavior to DEHP, so that existing industrial equipment can be used without intensive retrofitting or modification. Furthermore, benchmarking of rheological properties is essential to produce items such as gaskets, seals, wire coatings, etc. In this study, we found that our succinate, maleate, and dibenzoate plasticizers, when incorporated into PVC at 40 phr, had similar or better rheological properties when compared to DEHP and DINCH blends.
4.1. Dynamic Rheological Response
Dynamic rheological tests were performed, in which the material was exposed to sinusoidal shear deformations to obtain both the viscous and elastic stress responses at temperatures between 110 and 200 °C. The tests were performed at low strain rates to remain in the linear viscoelastic regime (LVR). The resulting measurements of the loss (G″) and storage (G′) moduli at high temperatures serve as an indicator of melt stability over time, showing whether a melt loses its solid-like behavior and becomes more fluid-like over time or vice versa [25]. G′ can further be thought of as a measure of the stiffness of the material, with a lower G′ corresponding to a more flexible material. The alternative plasticizers considered here were deemed to be suitable DEHP replacements if they demonstrated an equivalent or lower G′ than DEHP, corresponding to better softening abilities [26,27].
For all the PVC–plasticizer blends, G′ and G″ of the unshifted curves were found to increase with frequency and to decrease with temperature, indicating a softening of the material over time and when exposed to higher temperatures. Similar results were previously observed for plasticized PVC systems [28]. All the blends also demonstrated a transition from a predominantly elastic rheological response, characterized by G′ > G″ (resulting in tan < 1) at lower temperatures, to a predominantly viscous response (G′ < G″; tan > 1) at higher temperatures (data not shown). At the reference temperature of 140 °C (typical processing temperature), at which the rheological master curves were produced, an elastic response (G′ > G″) was seen to dominate the rheological behavior in all blends except for DES (G′ ≈ G″; Figure 2, Figure 3, Figure 4, Figure 5 and Figure 6). A shift in the relationship between G′ and G″ with an increasing DEHP content was previously reported, for which G′ > G″ (elastic behavior) was observed at lower plasticizer concentrations and G″ > G′ (liquid-like behavior) was observed at higher plasticizer concentrations [24]. Only DES blends exhibited G′ ≈ G″ at the reference temperature, indicating an increased viscous response in contrast to the other blends, which exhibited more elastic-like behavior. This is likely due to the fact that DES was the least efficient plasticizer of the tested series of succinates because of the smaller proportion of alkyl groups to carbonyl groups present in each DES molecule, compared to the other succinates [18]. The non-polar alkyl groups on the plasticizer are responsible for disrupting the interactions between the PVC chains and thus plasticizing the material [2]. This poor plasticizing performance could have led to increased difficulties in molecular motion, thus increasing molecular friction and leading to a higher loss modulus (energy dissipation).
Dynamic viscoelastic master curves were produced by horizontally shifting G′ and G″ along the frequency axis. Visually, it was seen that the shifted isotherms largely overlapped, thereby producing a continuous curve and demonstrating a successful superposition. The temperature dependence of the horizontal shift factors was found to fit well to an Arrhenius model [29]. The weakest overlap was observed at the low-frequency range (i.e., stemming from the data at high temperatures), requiring the application of a slight vertical shift to achieve superposition [30]. Because of this, it is expected that the high-frequency portions of the master curve are more useful in predicting the material’s behavior. However, for comparing the proposed green plasticizers with DEHP, the entire range of the master curve was retained. While some sources dispute the applicability of time–temperature superposition to PVC–plasticizer systems because of the slow melting of microdomains and crystallite structures at high temperatures (from 120 to 210 °C) [28,31,32], others have presented superimposed master curves as a useful tool to study the behavior of the system when a suitable superposition is obtained [33,34,35]. For the plasticized PVC systems studied here, a substantial overlapping of the curves was observed, and the use of time–temperature superposition was judged to be suitable for comparative studies. Similar trends in the isotherm overlap were observed for all the plasticizer–PVC blends.
4.2. Evaluation of Plasticizers
Master curves of G′ and G″ for DEHP and DINCH blends resembled each other closely and had a statistically equivalent elastic response, G′ (Figure 2; Table 1). Because G′ was used as an indicator of plasticizer effectiveness [26], and because of the similarities between DINCH and DEHP, for simplicity, only the comparison of the green plasticizers to DEHP will be discussed further.
4.3. Succinate and Maleate Plasticizers
When comparing the maleate and succinate diester blends with equal side-chain lengths, only small differences in the rheological properties were observed between them (e.g., dibutyl succinate compared to dibutyl maleate). This suggested that the n-alkyl side-chain and 2-ethylhexyl branch are the dominating factors in determining the rheological response of these particular compounds. This could be because the succinate molecule is free to rotate around its central bond. Because the succinate is free to rotate in this way, it can take the most favorable position within the blend with PVC, which seems to be a similar position as for the phthalate and maleate, resulting in similar rheological results. This is particularly evident when comparing DEHP to DEHS and also DEHM blends (Figure 5). This close resemblance between succinate and maleate molecules in terms of their plasticizing effectiveness has also been observed in previous work [16].
The present study is consistent with the results of our previous work on the thermal and tensile properties of PVC plasticized with succinate plasticizers [16,21]. Similar effects of chain length on the rheological properties were observed, that is, as the alkyl chain length in the succinate molecule increased, a softer material was observed. However, once the alkyl chain reached a length of eight carbons (i.e., in DOS) a slight increase in the modulus was found again. Similar minima in mechanical properties were seen for succinate blends in PVC in previous studies (i.e., tensile testing and surface hardness) [18].
Having established the trend for the effect of the n-alkyl chain length on succinate blends, the same effect was studied with the maleate plasticizers. The maleate plasticizers structurally resemble the succinate plasticizers, except for the cis-double bond between the two ester functional groups (Figure 1). As was observed with the succinate blends, the maleate blends did exhibit a chain length-dependent response over the experimental conditions studied.
Taken together, this suggests that for both succinate and maleate blends, the plasticizer effectiveness increases with side-chain length, but a maximum effectiveness is reached at higher alkyl chain lengths. In this study, this effect was more predominant in the succinates than in the maleates. This effect was likely due to the shorter alkyl end groups that cannot disrupt as many PVC chain–chain interactions as the diesters with longer alkyl chains. However, it was observed that once a certain threshold was reached, further increases in the side-chain length did not result in any further reduction of G′. While having longer chains provides more disruption within the polymer matrix, the reduced number of plasticizer molecules could ultimately prevent further improvements in the material’s properties. Because all of the plasticizers were added to PVC on a per-mass basis, as is the industrial standard, this means that the shorter-chain succinate molecules, which have lower molecular weights, have a higher number of absolute plasticizer molecules within the polymer matrix. For example, DES has over 200% more plasticizer added to the PVC resin when compared to DOS, if calculated on a molar basis. Additionally, the larger size of the molecules could result in problems of diffusion and mixing, making it more difficult for the plasticizer molecules to access space between the polymer chains. These competing factors resulted in a relatively consistent rheological response for all the maleate plasticizers except for DEM, which had the shortest alkyl chain. We note that, despite their demonstrated capability as plasticizers, initial toxicological screening in mammalian cells suggest that the maleate plasticizers may interrupt normal cell function [19]. This may limit their suitability as an alternative to DEHP.
The succinate and maleate plasticizers with 2-ethylhexyl side groups were investigated because of the similarity in their branched structure to DEHP. However, when comparing the branched DEHS and DEHM compounds to their unbranched counterparts, DHS and DHM, it was apparent that the 2-ethyl side branches do not have an enhancing effect on the rheological properties. The rheological response of the branched compounds was very nearly identical to DEHP, confirming earlier findings [18].
4.4. Dibenzoate Plasticizers
The dibenzoate structure consists of two dibenzoate groups connected by an aliphatic central group. No effect of increasing the alkyl chain length of the central group was observed on the rheological response (G′ and G″). All the dibenzoate curves in Figure 6 possess a similar shape, which implies that the melt behavior of the dibenzoate blends was predominantly driven by the bulky end groups, with the central aliphatic group having no significant effect on the rheological response (Figure 1). Given the higher polarity of the aromatic ring, it interacted more strongly with the PVC chains than the aliphatic groups, but a plasticization effect was achieved nonetheless [36]. From the results presented in this study, the dominant plasticization effect seems to stem from these aromatic groups rather than the aliphatic central part of the molecule. All of the dibenzoate blends performed better rheologically (G′plasticizer < G′DEHP, i.e., they were softer) than DEHP blends, and previous studies have shown that at least one of them, 1,5-PDDB, displayed good thermal and tensile properties [15]. Additionally, the results of initial toxicity screening in mammalian cells also looks promising in terms of their potential as green plasticizers [19,37].
5. Conclusions
Overall, the dynamic rheological properties obtained for the succinate, maleate, and dibenzoate plasticizer blends tested were comparable to those of the commercial plasticizer blends. Combined with the tensile properties obtained previously, this indicates their suitability as potential replacement plasticizers. In terms of their rheological properties, to achieve the lowest G′ master curve for the maleate and succinate plasticizers, an optimal chain length was found to be six to eight carbons, on the basis of the observation of improved rheological properties (G′plasticizer ≤ G′DEHP) as well as previous work demonstrating optimal mechanical and thermal properties [18]. Collectively, on the basis of the results of the current and previous studies of these compounds [37], the group of succinate and dibenzoate plasticizers, and especially DHS, are most promising as green replacements for DEHP. These pave the way for the next step in the scale-up of the process to ensure suitability for production.
Supplementary Materials
The following are available online at www.mdpi.com/2227-9717/5/3/43/s1, Figure S1: Time–temperature superposition algorithm; Figure S2: Dynamic frequency sweep of elastic modulus, G′, for a 40 PHR PVC-DEHP blend from T = 110 °C to T = 200 °C; Figure S3: Dynamic frequency sweep of loss modulus, G″, for a 40 PHR PVC-DEHP blend from T = 110 °C to T = 200 °C; Figure S4: Dynamic frequency sweep of elastic modulus, G′, for a 40 PHR PVC-DINCH blend from T = 110 °C to T = 200 °C; Figure S5: Dynamic frequency sweep of loss modulus, G″, for a 40 PHR PVC-DINCH blend from T = 110 °C to T = 200 °C; Figure S6: Dynamic frequency sweep of elastic modulus, G′, for a 40 PHR PVC-DOS blend from T = 110 °C to T = 200 °C; Figure S7: Dynamic frequency sweep of loss modulus, G″, for a 40 PHR PVC-DOS blend from T = 110 °C to T = 200 °C; Figure S8: Dynamic frequency sweep of elastic modulus, G′, for a 40 PHR PVC-1,4-BDDB blend from T = 110 °C to T = 180 °C; Figure S9: Dynamic frequency sweep of loss modulus, G″, for a 40 PHR PVC-1,4-BDDB blend from T = 110 °C to T = 180 °C; Figure S10: Dynamic frequency sweep of elastic modulus, G′, for a 40 PHR PVC-DOM blend from T = 110 °C to T = 190 °C; Figure S11: Dynamic frequency sweep of loss modulus, G″, for a 40 PHR PVC-DOM blend from T = 110 °C to T = 190 °C; Figure S12: Melt stability of PVC/DEHP blends that were heat pressed at 140 °C and 180 °C; Figure S13: Melt stability of PVC/DINCH blends that were heat pressed at 140 °C and 180 °C; Figure S14: Melt stability of PVC/DOS blends that were heat pressed at 140 °C and 180 °C.
Acknowledgments
Funding was provided by a CIHR Team Grant (CIHR; grant RHF-100626 of the Institute of Human Development, Child and Youth Health) and the Natural Sciences and Engineering Research Council of Canada (NSERC; Discovery Grants Program, 261938-13). Student support was provided through a McGill Engineering Doctoral Award (MEDA) of the Faculty of Engineering of McGill University and Eugenie Ulmer-Lamothe (EUL) Award. The authors acknowledge BASF Canada for their donation of a sample of Hexamoll DINCH.
Author Contributions
M.M., R.L.L., J.A.N. and R.J. conceived and designed the experiments; R.J. and H.C.E. performed the processing and R.J. performed the rheology experiments; M.M., R.L.L., J.A.N., H.C.E. and R.J. analyzed the data and wrote the paper; H.C.E. synthesized and provided all of the green plasticizers; D.B. developed the MATLAB code used for time–temperature superposition of the rheological results.
Conflicts of Interest
The authors declare no conflict of interest. The founding sponsors had no role in the design of the study; in the collection, analyses, or interpretation of data; in the writing of the manuscript; or in the decision to publish the results.
References
- Mishra, M.; Yagci, Y. Handbook of Vinyl Polymers: Radical Polymerization, Process, and Technology, 2nd ed.; CRC Press: Boca Raton, FL, USA, 2016. [Google Scholar]
- Wilkes, C.; Summers, J.W.; Daniels, C.A. Pvc handbook; Hanser Gardner Publications: Cincinnati, OH, USA, 2005. [Google Scholar]
- Cullen, S. Global plasticizer update. In Proceedings of the SPI 23rd Annual Flexible Vinyl Products Conference, Annapolis, MD, USA, 16 July 2012; p. 4. [Google Scholar]
- Hester, R.E.; Harrison, R.M. Chemical Alternatives Assessments; Royal Society of Chemistry: London, UK, 2013. [Google Scholar]
- Kastner, J.; Cooper, D.G.; Marić, M.; Dodd, P.; Yargeau, V. Aqueous leaching of di-2-ethylhexyl phthalate and “green” plasticizers from poly (vinyl chloride). Sci. Total Environ. 2012, 432, 357–364. [Google Scholar] [CrossRef] [PubMed]
- Wams, T. Diethylhexylphthalate as an environmental contaminant—A review. Sci. Total Environ. 1987, 66, 1–16. [Google Scholar] [CrossRef]
- Erythropel, H.C.; Maric, M.; Nicell, J.A.; Leask, R.L.; Yargeau, V. Leaching of the plasticizer di (2-ethylhexyl) phthalate (dehp) from plastic containers and the question of human exposure. Appl. Microbiol. Biotechnol. 2014, 98, 9967–9981. [Google Scholar] [CrossRef] [PubMed]
- Feige, J.N.; Gelman, L.; Rossi, D.; Zoete, V.; Métivier, R.; Tudor, C.; Anghel, S.I.; Grosdidier, A.; Lathion, C.; Engelborghs, Y. The endocrine disruptor monoethyl-hexyl-phthalate is a selective peroxisome proliferator-activated receptor γ modulator that promotes adipogenesis. J. Biol. Chem. 2007, 282, 19152–19166. [Google Scholar] [CrossRef] [PubMed]
- Latini, G.; Verrotti, A.; De Felice, C. Di-2-ethylhexyl phthalate and endocrine disruption: A review. Curr. Drug Targets Immune Endocr. Metabol. Disord. 2004, 4, 37–40. [Google Scholar] [CrossRef] [PubMed]
- Proposal for Legislative Action on di(2-ethylhexyl) Phthalate under the Hazardous Products Act; Health Canada: Ottawa, ON, Canada, 2007.
- Consumer Product Safety Improvement Act of 2008; Public law No. 110–314 (hr4040); U.S. Congress: Washington, DC, USA, 2008.
- Commission Regulation (ec) No 552/2009 of 22 June 2009 Amending Regulation (ec) No 1907/2006 of the European Parliament and of the Council on the Registration, Evaluation, Authorisation and Restriction of Chemicals (Reach) as Regards Annex Xvii (Text with Eea Relevance); European Union: Maastricht, The Netherlands, 2009.
- Wadey, B.L. An innovative plasticizer for sensitive applications. J. Vinyl Addit. Technol. 2003, 9, 172–176. [Google Scholar] [CrossRef]
- Lott, S. Phthalate-Free Plasticizers in Pvc; Healthy Building Network: Washington, DC, USA, 2014; pp. 1–26. [Google Scholar]
- Firlotte, N.; Cooper, D.G.; Marić, M.; Nicell, J.A. Characterization of 1,5-pentanediol dibenzoate as a potential “green” plasticizer for poly (vinyl chloride). J. Vinyl Addit. Technol. 2009, 15, 99–107. [Google Scholar] [CrossRef]
- Erythropel, H.C.; Dodd, P.; Leask, R.L.; Maric, M.; Cooper, D.G. Designing green plasticizers: Influence of alkyl chain length on biodegradation and plasticization properties of succinate based plasticizers. Chemosphere 2013, 91, 358–365. [Google Scholar] [CrossRef] [PubMed]
- Erythropel, H.C.; Brown, T.; Maric, M.; Nicell, J.A.; Cooper, D.G.; Leask, R.L. Designing greener plasticizers: Effects of alkyl chain length and branching on the biodegradation of maleate based plasticizers. Chemosphere 2015, 134, 106–112. [Google Scholar] [CrossRef] [PubMed]
- Erythropel, H.C.; Shipley, S.; Börmann, A.; Nicell, J.A.; Maric, M.; Leask, R.L. Designing green plasticizers: Influence of molecule geometry and alkyl chain length on the plasticizing effectiveness of diester plasticizers in pvc blends. Polymer 2016, 89, 18–27. [Google Scholar] [CrossRef]
- Nardelli, T.C.; Erythropel, H.C.; Robaire, B. Toxicogenomic screening of replacements for di (2-ethylhexyl) phthalate (dehp) using the immortalized tm4 sertoli cell line. PLoS ONE 2015, 10, e0138421. [Google Scholar] [CrossRef] [PubMed]
- Segura, P.A.; Kaplan, P.; Erythropel, H.C.; Yargeau, V. Comparative rapid toxicity screening of commercial and potential “green” plasticizers using bioluminescent bacteria. Ind. Eng. Chem. Res. 2012, 51, 11555–11560. [Google Scholar] [CrossRef]
- Erythropel, H.C.; Maric, M.; Cooper, D.G. Designing green plasticizers: Influence of molecular geometry on biodegradation and plasticization properties. Chemosphere 2012, 86, 759–766. [Google Scholar] [CrossRef] [PubMed]
- Chanda, M.; Roy, S.K. Plastics Technology Handbook; CRC Press: Boca Raton, FL, USA, 2006. [Google Scholar]
- Ferry, J.D. Viscoelastic Properties of Polymers; Wiley: Hoboken, NJ, USA, 1980. [Google Scholar]
- Zou, J.; Su, L.; You, F.; Chen, G.; Guo, S. Dynamic rheological behavior and microcrystalline structure of dioctyl phthalate plasticized poly (vinyl chloride). J. Appl. Polym. Sci. 2011, 121, 1725–1733. [Google Scholar] [CrossRef]
- Mezger, T.G. The Rheology Handbook: For Users of Rotational and Oscillatory Rheometers; Vincentz Network GmbH & Co KG: Hannover, Germany, 2006. [Google Scholar]
- Maiza, M.; Benaniba, M.T.; Quintard, G.; Massardier-Nageotte, V. Biobased additive plasticizing polylactic acid (pla). Polímeros 2015, 25, 581–590. [Google Scholar] [CrossRef]
- Chieng, B.W.; Ibrahim, N.A.; Then, Y.Y.; Loo, Y.Y. Epoxidized vegetable oils plasticized poly (lactic acid) biocomposites: Mechanical, thermal and morphology properties. Molecules 2014, 19, 16024–16038. [Google Scholar] [CrossRef] [PubMed]
- Sugimoto, M.; Hida, H.; Taniguchi, T.; Koyama, K.; Aoki, Y. Rheological properties of poly (vinyl chloride)/plasticizer systems—relation between sol–gel transition and elongational viscosity. Rheol. Acta 2007, 46, 957–964. [Google Scholar] [CrossRef]
- Van Gurp, M.; Palmen, J. Time-temperature superposition for polymeric blends. Rheol. Bull 1998, 67, 5–8. [Google Scholar]
- Dealy, J.; Plazek, D. Time-temperature superposition—a users guide. Rheol. Bull. 2009, 78, 16–31. [Google Scholar]
- Witenhafer, D. Infrared studies of crystallinity in poly (vinyl chloride). J. Macromol. Sci. Part B 1970, 4, 915–929. [Google Scholar] [CrossRef]
- Zarraga, A.; Pena, J.; Munoz, M.; Santamaria, A. Thermorheological analysis of pvc blends. J. Polym. Sci. Part B 2000, 38, 469–477. [Google Scholar] [CrossRef]
- Chazeau, L.; Paillet, M.; Cavaille, J. Plasticized pvc reinforced with cellulose whiskers. I. Linear viscoelastic behavior analyzed through the quasi-point defect theory. J. Polym. Sci. Part B 1999, 37, 2151–2164. [Google Scholar] [CrossRef]
- McKinney, P.V.; Foltz, C.R. Dta evidence for physical orientation (crystallinity) in pvc. J. Appl. Polym. Sci. 1967, 11, 1189–1197. [Google Scholar] [CrossRef]
- Hata, N.; Tobolsky, A.; Bondi, A. Effect of plasticizers on the viscoelastic properties of poly (vinyl chloride). J. Appl. Polym. Sci. 1968, 12, 2597–2613. [Google Scholar] [CrossRef]
- Leuchs, O. Zur weichmachung von polyvinylchlorid. Kunststoffe 1956, 46, 547–554. [Google Scholar]
- Boisvert, A.; Jones, S.; Issop, L.; Erythropel, H.C.; Papadopoulos, V.; Culty, M. In vitro functional screening as a means to identify new plasticizers devoid of reproductive toxicity. Environ. Res. 2016, 150, 496–512. [Google Scholar] [CrossRef] [PubMed]
© 2017 by the authors. Licensee MDPI, Basel, Switzerland. This article is an open access article distributed under the terms and conditions of the Creative Commons Attribution (CC BY) license (http://creativecommons.org/licenses/by/4.0/).





