Numerical Simulation of CO2 Injection and Production in Shale Oil Reservoirs with Radial Borehole Fracturing
Abstract
1. Introduction
2. Radial Borehole Fracturing in Shale Oil Reservoirs
3. Numerical Model and Solution
3.1. Compositional Model
3.2. Model Description
3.3. Model Validation
4. Results and Discussion
4.1. Influence of Non-Darcy Flow
4.2. Influence of Diffusion
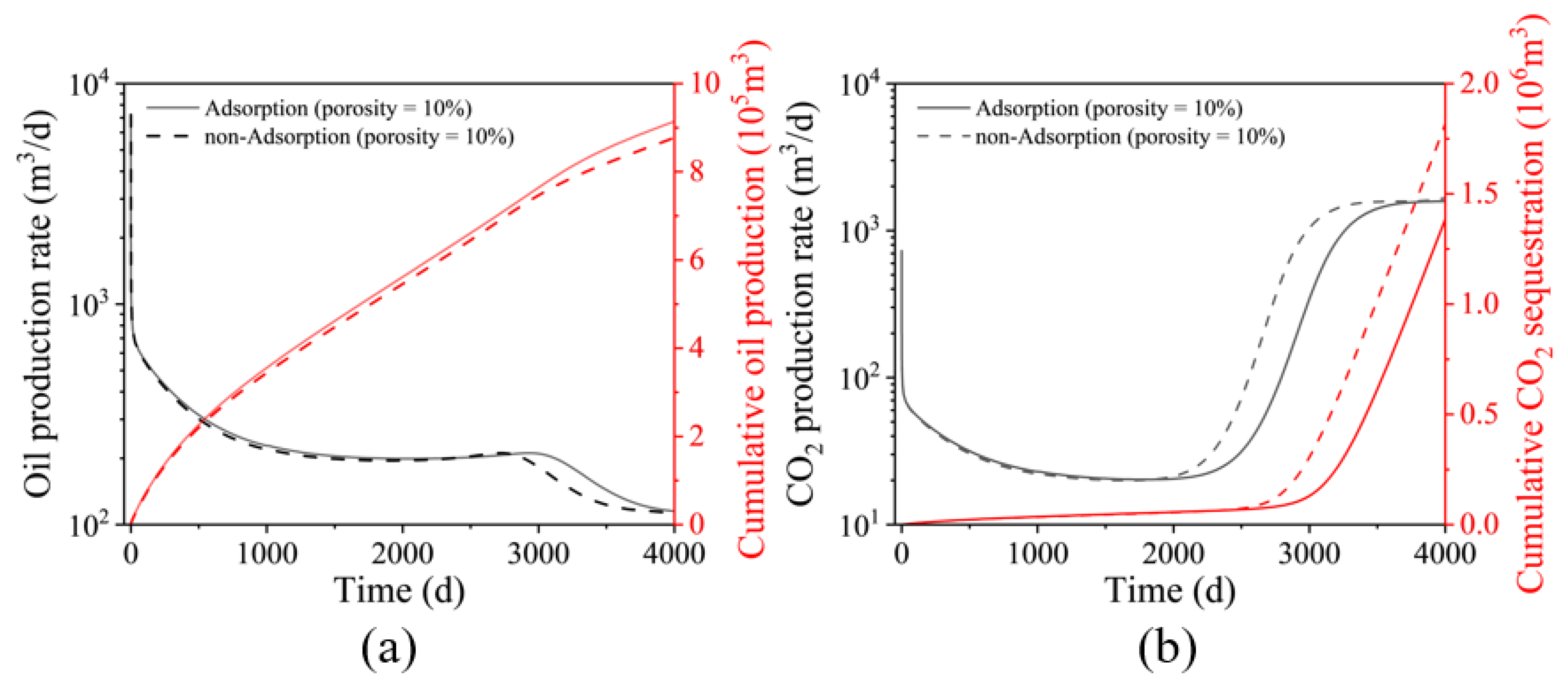
4.3. The Impact of Adsorption
4.4. Comparison of Continuous Flooding and Huff-n-Puff
4.5. Influence of Model Boundary and Fracture Length on Simulation Results
5. Conclusions
- (1)
- CO2 injection using radial borehole multistage fracturing requires only a single vertical well to achieve long-term oil recovery and carbon sequestration, providing a reference method for efficient carbon sequestration.
- (2)
- Non-Darcy flow, diffusion, and adsorption are important factors influencing the CO2 injection process in radial borehole fracturing. The liquid-phase non-Darcy effect not only retards oil flow but also counteracts the acceleration of CO2 flow by the gas-phase non-Darcy effect. Both diffusion and adsorption facilitate the retention of CO2 in the reservoir, with the impact order being non-Darcy > adsorption > diffusion.
- (3)
- For reservoirs with higher permeability (>0.01 mD), continuous CO2 injection can effectively mobilize and sequester carbon in the majority of the reservoir. For reservoirs with lower permeability (<0.001 mD), huff-n-puff development should be employed to mobilize and sequester carbon in the vicinity of the fractures.
- (4)
- The simulated CO2 injection pressure and rate are within the safe operating limits of conventional injection systems. While technically feasible, the method may still pose risks such as casing corrosion, wellbore instability, and near-well mechanical failure. Future studies should include wellbore integrity modeling and pilot testing to ensure safe field implementation.
- (5)
- While the compositional model captures key fluid flow and retention mechanisms, it does not explicitly represent fracture-scale leakage, caprock integrity, or heterogeneity in fracture connectivity. In complex field scenarios, these factors can influence both storage security and injectivity. Future improvements should include geomechanical coupling, sealing capacity evaluation, and site-specific calibration to enhance the model’s reliability under field conditions.
Author Contributions
Funding
Data Availability Statement
Conflicts of Interest
References
- Bagci, A.S.; Jonnalagadda, A.; Hernandez-Diaz, D. CO2 Injection Well Design Considerations: Completion Design to Injectivity Analysis. In Proceedings of the SPE Annual Technical Conference and Exhibition, New Orleans, LA, USA, 23–25 September 2024; p. D021S016R005. [Google Scholar]
- Terrén-Serrano, G.; Martínez-Ramón, M. Kernel learning for intra-hour solar forecasting with infrared sky images and cloud dynamic feature extraction. Renew. Sustain. Energy Rev. 2023, 175, 113125. [Google Scholar] [CrossRef]
- Li, Q.; Li, Q.; Wang, F.; Xu, N.; Wang, Y.; Bai, B. Settling behavior and mechanism analysis of kaolinite as a fracture proppant of hydrocarbon reservoirs in CO2 fracturing fluid. Colloids Surf. A Physicochem. Eng. Asp. 2025, 724, 137463. [Google Scholar] [CrossRef]
- Li, Q.; Zhao, D.; Yin, J.; Zhou, X.; Li, Y.; Chi, P.; Han, Y.; Ansari, U.; Cheng, Y. Sediment instability caused by gas production from hydrate-bearing sediment in Northern South China Sea by horizontal wellbore: Evolution and mechanism. Nat. Resour. Res. 2023, 32, 1595–1620. [Google Scholar] [CrossRef]
- Guo, X.; Ma, X.; Li, M.; Qian, M.; Hu, Z. Mechanisms for lacustrine shale oil enrichment in Chinese sedimentary basins. Oil Gas. Geol. 2023, 44, 1333–1349. [Google Scholar]
- Zou, C.; Pan, S.; Jing, Z.; Gao, J.; Yang, Z.; Wu, S.; Zhao, Q. Shale oil and gas revolution and its impact. Acta Pet. Sin. 2020, 41, 1–12. [Google Scholar]
- Yan, L.; Chen, F.; Wang, Z.; Yan, Y.; Cao, J.; Wang, K. Challenges and Technical Countermeasures for Effective Development of Shale Oil in China. Pet. Drill. Tech. 2020, 48, 63–69. [Google Scholar]
- Sun, L.; Liu, H.; Zhu, R.; Cui, B.; Lei, Z.; Meng, S.; Tang, J. Ten noteworthy issues on shale oil revolution in China. Acta Pet. Sin. 2023, 44, 2007–2019. [Google Scholar]
- Li, Y.; Zhao, Q.; Qi, L.; Xue, Z.; Cao, X.; Liu, Z. Evaluation technology and practice of continental shale oil development in China. Pet. Explor. Dev. 2022, 49, 1098–1109. [Google Scholar] [CrossRef]
- Swift, G.; Kiel, O. The prediction of gas-well performance including the effect of non-Darcy flow. J. Pet. Technol. 1962, 14, 791–798. [Google Scholar] [CrossRef]
- Sherman, F.S. The transition from continuum to molecular flow. Annu. Rev. Fluid. Mech. 1969, 1, 317–340. [Google Scholar] [CrossRef]
- Klinkenberg, L.J. The permeability of porous media to liquids and gases: American Petroleum Institute. Drill. Prod. Pract. 1941, 200–213. [Google Scholar]
- Javadpour, F. Nanopores and apparent permeability of gas flow in mudrocks (shales and siltstone). J. Can. Pet. Technol. 2009, 48, 16–21. [Google Scholar] [CrossRef]
- Javadpour, F.; Fisher, D.; Unsworth, M. Nanoscale gas flow in shale gas sediments. J. Can. Pet. Technol. 2007, 46, PETSOC-07-10-06. [Google Scholar] [CrossRef]
- Darabi, H.; Ettehad, A.; Javadpour, F.; Sepehrnoori, K. Gas flow in ultra-tight shale strata. J. Fluid. Mech. 2012, 710, 641–658. [Google Scholar] [CrossRef]
- Florence, F.A.; Rushing, J.A.; Newsham, K.E.; Blasingame, T.A. Improved permeability prediction relations for low-permeability sands. In Proceedings of the SPE Rocky Mountain Petroleum Technology Conference/Low-Permeability Reservoirs Symposium, Denver, CO, USA, 16–18 April 2007; p. SPE-107954. [Google Scholar]
- Fathi, E.; Tinni, A.; Akkutlu, I.Y. Shale gas correction to Klinkenberg slip theory. In Proceedings of the SPE Unconventional Resources Conference/Gas Technology Symposium, Pittsburgh, PA, USA, 5–7 June 2012; p. SPE-154977. [Google Scholar]
- Singh, H.; Javadpour, F.; Ettehadtavakkol, A.; Darabi, H. Nonempirical apparent permeability of shale. SPE Reserv. Eval. Eng. 2014, 17, 414–424. [Google Scholar] [CrossRef]
- Shi, K.; Zhang, S.; Chen, J.; Pang, X.; Hui, S.; Chen, D.; Wang, L.; Jin, Y.; Li, C.; Wang, Y.; et al. Influence of pore heterogeneity of shale with different lithofacies on CO2 storage: Experiments and molecular dynamics simulation. Eng. Geol. 2025, 353, 108107. [Google Scholar] [CrossRef]
- Zhang, Y.; Hu, J.; Zhang, Q. Simulation study of CO2 Huff-n-Puff in tight oil reservoirs considering molecular diffusion and adsorption. Energies 2019, 12, 2136. [Google Scholar] [CrossRef]
- Zhao, M.; Yang, W.; Wang, Y.; Lu, J.; Xu, L.; Li, L.; Li, X.; Yao, L. Distribution and genetic mechanisms of connected pore systems in continental shale reservoirs: A case study of Xujiahe Formation of Upper Triassic, Western Sichuan Depression. Pet. Geol. Exp. 2022, 44, 170–179. [Google Scholar]
- He, X.; Li, J.; Wang, J.; Cheng, L.; Chen, X.; Lv, Z. Theoretical understanding, key technologies, and field practice of high-efficiency reservoir stimulation for shale oil in Jimsar Sag. Xinjiang Oil Gas. 2021, 17, 28–35. [Google Scholar]
- Zou, C.; Zhu, R.; Bai, B.; Yang, Z.; Hou, L.; Ziia, M.; Fu, J.; Shao, Y.; Liu, K.; Cao, H.; et al. Significance, geologic characteristics, resource potential and future challenges of tight oil and shale oil. Bull. Mineral. Petrol. Geochem. 2015, 34, 3–17. [Google Scholar]
- Boak, J.; Kleinberg, R. 4—Shale Gas, Tight Oil, Shale Oil and Hydraulic Fracturing. In Future Energy, 3rd ed.; Trevor, M., Ed.; Elsevier: Letcher, SD, USA, 2020; pp. 67–95. [Google Scholar]
- Ma, X.; Li, X.; Liang, F.; Wan, Y.; Shi, Q.; Wang, Y.; Zhang, X.; Che, M.; Guo, W.; Guo, W. Dominating factors on well productivity and development strategies optimization in Weiyuan shale gas play, Sichuan Basin, SW China. Pet. Explor. Dev. 2020, 47, 594–602. [Google Scholar] [CrossRef]
- Christensen, J.; Stenby, E.H.; Skauge, A. Review of WAG field experience. SPE Reserv. Eval. Eng. 2001, 4, 97–106. [Google Scholar] [CrossRef]
- Sun, L.; Cui, B.; Zhu, R.; Wang, R.; Feng, Z.; Li, B.; Zhang, J.; Gao, B.; Wang, Q.; Zeng, H.; et al. Shale oil enrichment evaluation and production law in Gulong Sag, Songliao Basin, NE China. Pet. Explor. Dev. 2023, 50, 505–519. [Google Scholar] [CrossRef]
- Yang, Z.; Hou, L.; Lin, S.; Luo, X.; Zhang, L.; Wu, S.; Cui, J. Geologic characteristics and exploration potential of tight oil and shale oil in Lucaogou Formation in Jimsar sag. China Pet. Explor. 2018, 23, 76. [Google Scholar]
- Nguyen, N.T.; Dang, C.T.; Chen, Z.; Nghiem, L.X. Optimization of hydraulic fracturing design with future EOR considerations in shale oil reservoirs. In Proceedings of the SPE Europec Featured at EAGE Conference and Exhibition, Madrid, Spain, 1–4 June 2015. [Google Scholar]
- Sun, H. Exploration practice and cognitions of shale oil in Jiyang depression. China Pet. Explor. 2017, 22, 1. [Google Scholar]
- Sun, L.; Liu, H.; He, W.; Li, G.; Zhang, S.; Zhu, R.; Jin, X.; Meng, S.; Jiang, H. An analysis of major scientific problems and research paths of Gulong shale oil in Daqing Oilfield, NE China. Pet. Explor. Dev. 2021, 48, 527–540. [Google Scholar] [CrossRef]
- Dai, J.; Wang, T.; Tian, K.; Weng, J.; Li, J.; Li, G. CO2 huff-n-puff combined with radial borehole fracturing to enhance oil recovery and store CO2 in a shale oil reservoir. Geoenergy Sci. Eng. 2023, 228, 212012. [Google Scholar] [CrossRef]
- Pang, Y.; Wang, Y.; Wang, R. Production test analysis and productivity prediction of horizontal wells in Gulong shale oil reservoirs, Songliao Basin. Pet. Geol. Oilfield Dev. Daqing 2020, 39, 137–146. [Google Scholar]
- Sun, H.; Cai, X.; Hu, D.; Lu, Z.; Zhao, P.; Zheng, A.; Li, J.; Wang, H. Theory, technology and practice of shale gas three-dimensional development: A case study of Fuling shale gas field in Sichuan Basin, SW China. Pet. Explor. Dev. 2023, 50, 651–664. [Google Scholar] [CrossRef]
- Zhang, Y.; Sheng, M.; Wang, B.; Li, J.; Tian, S.; Zhang, Z.; Li, G. Numerical Simulation for Controlling Fracture Propagation of an Infill Well with Radial Multilateral Wells. Xinjiang Oil Gas. 2022, 18, 31–37. [Google Scholar]
- Wang, T.; Guo, Z.; Li, G.; Ma, Z.; Yong, Y.; Chang, X.; Tian, S. Numerical simulation of three-dimensional fracturing fracture propagation in radial boreholes. Pet. Explor. Dev. 2023, 50, 699–711. [Google Scholar] [CrossRef]
- Guo, Z.; Tian, S.; Liu, Q.; Ma, L.; Yong, Y.; Yang, R. Experimental investigation on the breakdown pressure and fracture propagation of radial borehole fracturing. J. Pet. Sci. Eng. 2022, 208, 109169. [Google Scholar] [CrossRef]
- Dai, J.; Wang, T.; Tian, K.; Li, J.; Tian, S.; Li, G. Research into a productivity prediction model of radial-borehole fracturing in a shale oil reservoir. Pet. Sci. Bull. 2023, 8, 588–599. [Google Scholar]
- Liu, X.; Zhang, J.; Jia, H.; Zhang, T.; Du, X.; Wang, Z. The influence of temperature, seepage and stress on the area and category of wellbore instability. Sci. Rep. 2025, 15, 4711. [Google Scholar] [CrossRef] [PubMed]
- Li, S.; Zhou, P.; Lan, B. Study of wellbore instability in shale formation considering the effect of hydration on strength weakening. Front. Earth Sci. 2024, 12, 1403902. [Google Scholar] [CrossRef]
- Li, S.; Liang, K.; Wang, C.; Jiao, Y.; Liu, H.; Wang, C. Study on the mechanism of anisotropic wellbore instability in continental shale in Songliao Basin. J. Pet. Explor. Prod. Technol. 2022, 12, 2551–2563. [Google Scholar] [CrossRef]
- Verliac, M.; Le Calvez, J. Microseismic monitoring for reliable CO2 injection and storage—Geophysical modeling challenges and opportunities. Lead. Edge 2021, 40, 418–423. [Google Scholar] [CrossRef]
- Zheng, F.; Jha, B.; Jafarpour, B. Mitigating caprock failure and leakage risks through controlled CO2 injection and coupled flow-geomechanics-fracturing simulation. Int. J. Greenh. Gas. Control 2025, 144, 104387. [Google Scholar] [CrossRef]
- Jia, B.; Tsau, J.-S.; Barati, R. A review of the current progress of CO2 injection EOR and carbon storage in shale oil reservoirs. Energy Fuel 2019, 236, 404–427. [Google Scholar] [CrossRef]
- Dai, J.; Wang, T.; Zhang, Y.; Zhang, Y.; Zhang, Z.; Zeng, C.; Tian, K.; Li, J.; Tian, S.; Li, G. Enhancing shale oil recovery with water-alternating-CO2 injection through radial borehole fracturing. Pet. Sci. 2025; in press. [Google Scholar]
- Zhao, X.; Chen, Z.; Wang, B.; Liao, X.; Li, D.; Zhou, B. A Multi-medium and Multi-mechanism model for CO2 injection and storage in fractured shale gas reservoirs. Fuel 2023, 345, 128167. [Google Scholar] [CrossRef]
- Jaynes, D.B.; Rogowski, A.S. Applicability of Fick’s law to gas diffusion. Soil. Sci. Soc. Am. J. 1983, 47, 425–430. [Google Scholar] [CrossRef]
- Wilke, C.R.; Chang, P. Correlation of diffusion coefficients in dilute solutions. AIChE J. 1955, 1, 264–270. [Google Scholar] [CrossRef]
- Kapoor, A.; Ritter, J.A.; Yang, R.T. An extended Langmuir model for adsorption of gas mixtures on heterogeneous surfaces. Langmuir 1990, 6, 660–664. [Google Scholar] [CrossRef]
- Wang, X.; Sheng, J.J. Effect of low-velocity non-Darcy flow on well production performance in shale and tight oil reservoirs. Fuel 2017, 190, 41–46. [Google Scholar] [CrossRef]
- Wang, X.; Yang, Z.; Sun, Y.; Liu, X. Experimental and theoretical investigation of nonlinear flow in low permeability reservoir. Procedia Environ. Sci. 2011, 11, 1392–1399. [Google Scholar] [CrossRef]
- Beskok, A.; Karniadakis, G.E. A model for flows in channels, pipes, and ducts at micro and nano scales. Microscale Thermophys. Eng. 1999, 3, 43–78. [Google Scholar] [CrossRef]
- Civan, F. Effective correlation of apparent gas permeability in tight porous media. Transp. Porous Media 2010, 82, 375–384. [Google Scholar] [CrossRef]
- Civan, F. Porous Media Transport Phenomena; John Wiley & Sons: Hoboken, NJ, USA, 2011. [Google Scholar]
- Lie, K.; Krogstad, S.; Ligaarden, I.S.; Natvig, J.R.; Nilsen, H.M.; Skaflestad, B. Open-source MATLAB implementation of consistent discretisations on complex grids. Comput. Geosci. 2012, 16, 297–322. [Google Scholar] [CrossRef]
- Yu, W.; Zhang, Y.; Varavei, A.; Sepehrnoori, K.; Zhang, T.; Wu, K.; Miao, J. Compositional simulation of CO2 huff’n’puff in Eagle Ford tight oil reservoirs with CO2 molecular diffusion, nanopore confinement, and complex natural fractures. SPE Reserv. Eval. Eng. 2019, 22, 492–508. [Google Scholar] [CrossRef]
- Li, L.; Su, Y.; Sheng, J.; Hao, Y.; Wang, W.; Lv, Y.; Zhao, Q.; Wang, H. Experimental and numerical study on CO2 sweep volume during CO2 huff-n-puff enhanced oil recovery process in shale oil reservoirs. Energy Fuels 2019, 33, 4017–4032. [Google Scholar] [CrossRef]
- Zhou, R.; Huang, L.; Rutledge, J. Microseismic event location for monitoring CO2 injection using double-difference tomography. Lead. Edge 2010, 29, 208–214. [Google Scholar] [CrossRef]
- Dai, J.C.; Wang, T.Y.; Weng, J.T.; Tian, K.J.; Zhu, L.Y.; Li, G.S. CO2 flooding in shale oil reservoir with radial borehole fracturing for CO2 storage and enhanced oil recovery. Pet. Sci. 2024, 21, 519–534. [Google Scholar] [CrossRef]
- Jia, A.; Wei, Y.; Liu, C.; Wang, J.; Qi, Y.; Jia, C.; Li, B. A dynamic prediction model of pressure-control production performance of shale gas fractured horizontal wells and its application. Nat. Gas. Ind. B 2020, 7, 71–81. [Google Scholar] [CrossRef]
- Dai, J.; Tian, K.; Xue, Z.; Ren, S.; Wang, T.; Li, J.; Tian, S. CO2-Enhanced Radial Borehole Development of Shale Oil: Production Simulation and Parameter Analysis. Processes 2024, 12, 116. [Google Scholar] [CrossRef]
- Guo, T.; Qu, Z.; Gong, D.; Lei, X.; Liu, M. Numerical simulation of directional propagation of hydraulic fracture guided by vertical multi-radial boreholes. J. Nat. Gas. Sci. Eng. 2016, 35, 175–188. [Google Scholar] [CrossRef]
- Li, G.; Huang, Z.; Li, J. Study of the key techniques in radial jet drilling. Pet. Drill. Tech. 2017, 45, 1–9. [Google Scholar]
- Lie, K.; Møyner, O. Advanced Modelling with the MATLAB Reservoir Simulation Toolbox; Cambridge University Press: Cambridge, UK, 2021. [Google Scholar]
- Luo, Z.; Xie, Y.; Zhao, L.; Cheng, L.; Wen, G. A two-phase flow extended finite element technology modeling CO2 in fractured porous media. Greenh. Gases Sci. Technol. 2022, 12, 712–728. [Google Scholar] [CrossRef]
- Nguyen, V.; Olayiwola, O.; Guo, B.; Liu, N. Well cement degradation and wellbore integrity in geological CO2 storages: A literature review. arXiv 2023, arXiv:2301.02357. [Google Scholar] [CrossRef]
- Vilarrasa, V. Impact of CO2 injection through horizontal and vertical wells on the caprock mechanical stability. Int. J. Rock. Mech. Min. Sci. 2014, 66, 151–159. [Google Scholar] [CrossRef]
- Wen, G.; Li, Z.; Long, Q.; Azizzadenesheli, K.; Anandkumar, A.; Benson, S. Real-time high-resolution CO2 geological storage prediction using nested Fourier neural operators. Energy Environ. Sci. 2023, 16, 1732–1741. [Google Scholar] [CrossRef]
- Zakirov, T.R.; Khramchenkov, M.G. Effect of pore space heterogeneity on the adsorption dynamics in porous media at various convection-diffusion and reaction conditions: A lattice Boltzmann study. J. Pet. Sci. Eng. 2022, 212, 110300. [Google Scholar] [CrossRef]




















| Parameter | Value | Unit |
|---|---|---|
| Reservoir dimensions (length × width × height) | 250 × 250 × 90 | m |
| Grid discretization (length × width × height) | 21 × 21 × 31 | Unit |
| Reservoir permeability | 10−3 to 0.1 | mD |
| Porosity | 10 | % |
| Tortuosity | 2 | |
| Initial reservoir pressure | 48.26 | MPa |
| Reservoir temperature | 450 | K |
| Parameter | Value | Unit |
|---|---|---|
| Number of main wells | 1 | Unit |
| Number of radial boreholes | 4 | Unit |
| Angle between radial borehole and maximum principal stress | 45 | ° |
| Diameter of radial borehole | 50 | mm |
| Length of radial borehole | 15 (Li et al., 2017 [63]) | m |
| Induced length | 25 | m |
| dβ | 1 | °/m |
| Total length of a single fracture | 50 | m |
| Fracture height | 9 | m |
| Fracture conductivity | 426.72 | md-m |
| Parameter | Value | Description |
|---|---|---|
| Initial Pressure | 32 MPa | Reservoir initial pressure |
| Initial Temperature | 78 °C | Reservoir initial temperature |
| Initial Oil Saturation | 0.65 | Oil saturation at initial state |
| Initial Gas Saturation | 0.05 | Gas saturation at initial state |
| Lateral Boundary | Constant-pressure | Allows fluid communication |
| Top Boundary | No-flow | Represents caprock sealing |
| Bottom Boundary | No-flow | Represents base sealing |
Disclaimer/Publisher’s Note: The statements, opinions and data contained in all publications are solely those of the individual author(s) and contributor(s) and not of MDPI and/or the editor(s). MDPI and/or the editor(s) disclaim responsibility for any injury to people or property resulting from any ideas, methods, instructions or products referred to in the content. |
© 2025 by the authors. Licensee MDPI, Basel, Switzerland. This article is an open access article distributed under the terms and conditions of the Creative Commons Attribution (CC BY) license (https://creativecommons.org/licenses/by/4.0/).
Share and Cite
Zhou, D.; Dong, H.; Wang, X.; Zhang, W.; Li, X.; Cao, Y.; Wang, Q.; Dai, J. Numerical Simulation of CO2 Injection and Production in Shale Oil Reservoirs with Radial Borehole Fracturing. Processes 2025, 13, 2873. https://doi.org/10.3390/pr13092873
Zhou D, Dong H, Wang X, Zhang W, Li X, Cao Y, Wang Q, Dai J. Numerical Simulation of CO2 Injection and Production in Shale Oil Reservoirs with Radial Borehole Fracturing. Processes. 2025; 13(9):2873. https://doi.org/10.3390/pr13092873
Chicago/Turabian StyleZhou, Dongyan, Haihai Dong, Xiaohui Wang, Wen Zhang, Xiaotian Li, Yang Cao, Qun Wang, and Jiacheng Dai. 2025. "Numerical Simulation of CO2 Injection and Production in Shale Oil Reservoirs with Radial Borehole Fracturing" Processes 13, no. 9: 2873. https://doi.org/10.3390/pr13092873
APA StyleZhou, D., Dong, H., Wang, X., Zhang, W., Li, X., Cao, Y., Wang, Q., & Dai, J. (2025). Numerical Simulation of CO2 Injection and Production in Shale Oil Reservoirs with Radial Borehole Fracturing. Processes, 13(9), 2873. https://doi.org/10.3390/pr13092873
