Abstract
This study evaluates the performance of asphalt concrete incorporating steel slag aggregates coated with recycled polyethylene terephthalate (PET). The aim was to enhance adhesion between aggregate and binder while addressing environmental concerns related to waste management. Laboratory testing was carried out to assess Marshall stability, indirect tensile strength, and tensile strength ratio, which are commonly used indicators of strength and moisture resistance in asphalt mixtures. The results showed that PET coating enhanced binder-aggregate bonding, resulting in higher stability, which indicates an improved resistance to plastic deformation and moisture damage compared to uncoated slag mixtures. Among the tested combinations, the mixes containing 20% slag with 10% PET and 30% slag with 15% PET demonstrated the most balanced performance. These mixes achieved greater durability while maintaining satisfactory strength values, indicating that PET-coated slag can serve as an effective partial replacement for natural aggregates in asphalt concrete. The study also highlights that the approach can help reduce reliance on natural stone, lower construction costs, and promote recycling of industrial byproducts and plastic waste. This contributes to more sustainable pavement practices while addressing issues of waste disposal and environmental degradation. The findings suggest that PET-coated steel slag can be considered a practical and resource-efficient material for asphalt mixtures. The research not only adds technical evidence to the growing interest in waste-based construction materials but also provides guidance for adopting such methods in developing countries, where cost and sustainability are critical factors.
1. Introduction
Plastics possess a chemical structure that resists natural biodegradation, resulting in gradual physical fragmentation into microplastics over time, and affects direct ingestion, indirect consumption (by consuming plants and animals), and interference with diverse hormonal mechanisms [1,2]. In 2023, UNEP reported that about 430 million tons of plastic waste were produced worldwide [3]. This huge amount of plastic consumption is due to their low cost, durability, and remarkable versatility based on the use of consumers [4].
Improper disposal of slag, a byproduct of steel production, poses a serious risk to biodiversity and soil fertility. In Bangladesh, plastic waste generation has become a growing concern, with a production of nearly 7.5 million tons of steel annually, generating 40–70 kg of slag per ton [5]. The leaching of slag can lead to groundwater with extremely high alkalinity, with pH levels exceeding 12 [6]. Slags and slag tailings are disposed of in “slag dumps,” where weathering can lead to the leaching of toxic elements and the runoff of alkaline substances, posing a threat to local ecosystems. While non-ferrous slags are commonly associated with leaching, ferrous and ferroalloy slags, including those in weathered dumps or recycled materials, may also pose similar risks [7,8].
To reduce these adverse effects on the environment, several researchers have explored the use of steel slag as a pavement material. In particular, steel slag has been investigated as a partial replacement for natural stone aggregates. Its angularity, rough texture, and hardness contribute to rutting resistance, while its ability to soften and exhibit binding properties at 130–180 °C enhances its performance in asphalt mixtures, as shown in Figure 1 [9]. Several researchers investigated the effect of partial replacement of stone with steel slag as a road construction material in AC mix, and the optimum slag content was found to be 25% [10] and 30% [11].
Figure 1.
Potentiality of slag and waste plastic.
Although steel slag offers many advantages, it has the significant drawback of requiring more asphalt. Several researchers reported that the drawbacks of steel slag can be improved by coating it with a suitable agent [12,13,14]. Similar approaches have also been applied to conventional stone aggregates, where the use of plastic coatings (PET/HDPE/LDPE/mixed) in asphalt concrete mixes was found to enhance stability, reduce water and thermal susceptibility, decrease the optimum asphalt content (OBC) by filling aggregate pores, and lower costs [15,16,17,18,19,20]. The increase in plastic waste causes solid waste management problems that may become a global challenge for developing countries [21,22]. This led the researchers to investigate the optimization of plastic waste in pavement constructions as a partial replacement of asphalt binders [23,24]. It helps to minimize waste management as well as reduce the economic and environmental concerns and the dependence on natural resources [25,26,27]. Slag with PET (polyethylene terephthalate) and PP (Polypropylene) has been studied, and some beneficial properties are found in the AC mix [12,28,29]. Usman and Masirin (2018) conducted physical and mechanical tests on recycled PET fiber to evaluate its effectiveness as a reinforcement material for asphalt mixtures [30].
Although PET and steel slag have been studied separately in asphalt mixtures, little is known about how PET-coated steel slag affects mechanical performance and moisture susceptibility. Specifically, the effects of such a mixture on important parameters such as Marshall stability, indirect tensile strength (ITS), and tensile strength ratio (TSR) in both wet and dry circumstances have not been thoroughly examined. Unlike earlier studies that examined PET and steel slag separately, this research applies a dual modification approach by coating steel slag with PET before mixing with stone and bitumen. This simple process provides two novel advantages. First, it directly improves the bond between aggregate and binder, which helps to reduce stripping and moisture damage—an area not fully addressed in past research. Second, it allows both materials to be reused together, creating a combined effect that is different from adding PET to the binder or using raw slag alone. The study also goes beyond single property testing by examining strength (Marshall stability), resistance to cracking (ITS), and durability under moisture (TSR). This broader framework helps to show how PET-coated slag mixtures perform in real service conditions. Finally, the study identifies optimum mix proportions that balance strength and durability, providing practical insights not reported in earlier works. The use of plastic waste in pavement building and sustainable pavement design makes this gap particularly pertinent. With a focus on performance enhancement and environmental sustainability, the current work attempts to fill this research gap by assessing the viability of employing PET-coated steel slag as a dual-modified aggregate in asphalt concrete. Thus, the main goal of this research is as follows:
- Examine the effects of adding PET-coated steel slag to asphalt concrete on its strength and moisture resistance, in particular;
- Determine which PET and slag combinations offer the optimum stability and moisture resistance balance;
- Utilize statistical analysis to comprehend the impact of every element and how they interact;
- Provide useful advice for creating high-performing and more environmentally friendly asphalt mixtures.
This study’s main contribution is the introduction of a novel hybrid strategy for flexible pavement design that mixes post-consumer plastic waste with industrial byproducts, notably PET-coated steel slag.
2. Materials and Experimental Procedures
2.1. Materials
2.1.1. Asphalt
Locally available 60/70-grade asphalt was used as a base binder of asphalt concrete mix, which was replaced with PET and incorporated through a dry mixing process. The conventional tests conforming to ASTM standards of specifications were performed to characterize the asphalt properties; the obtained results are shown in Table 1.
2.1.2. PET
Polyethylene terephthalate (PET) is a versatile thermoplastic polymer widely used in clothing fibers, food and liquid containers or bottles, and as an engineering resin when reinforced with glass fiber. It comprises repeating units of (C10H8O4) as shown in Figure 2, derived from terephthalic acid [31] and is commonly recycled and collected from the waste buyers of local markets in Bangladesh in shredded form, as shown in Figure 3. For bottle-grade PET polymer, the weight-average molecular weight typically ranges from 32,300 to 35,500 g/mol, with a dispersity index of 2.01–2.03 [32]. The mechanical and physical properties of PET were examined, conforming to the ASTM standard test specifications summarized in Table 1.
Figure 2.
(a) Structure of polyethylene terephthalate (PET) [32]; (b) space-fFilling model of a section of the PET polymer [33].
Figure 2.
(a) Structure of polyethylene terephthalate (PET) [32]; (b) space-fFilling model of a section of the PET polymer [33].

Table 1.
Properties of PET and asphalt.
Table 1.
Properties of PET and asphalt.
| Property | Specification | Ref. | Unit | Results | Requirements | |
|---|---|---|---|---|---|---|
| PET | Asphalt | |||||
| Chemical Formula | Charles E. Carraher Jr. (2017) | [34] | (C10H8O4)n | – | – | |
| Specific Gravity (25 °C) | ASTM D792 | [35] | g/cm3 | 1.31 | – | – |
| AASHTO T 228–93 | [36] | – | 1.02 | 1.02 to 1.06 | ||
| Water Absorption | ASTM D570 | [37] | % | 0.15 | – | – |
| Penetration Test (25 °C) | AASHTO T 49–93 | [38] | – | 65 | 60 to 70 | |
| Ductility Test (25 °C) | AASHTO T 51–93 | [39] | cm | <1.0 | >100 | >100 |
| Softening Point Test | AASHTO T 53–92 | [40] | °C | – | 52 | 46–54 |
| Flash and Fire Point Test | AASHTO T 48–91 | [41] | °C | 300–330 | 310–340 | >232 |
2.1.3. Steel Slag
Steel slag, a byproduct of iron and recycled metals, i.e., pyrometallurgical processes, is primarily composed of metal oxides and silicon dioxide [42]. Its key constituents include calcium-rich silicates from the olivine and melilite groups, with diverse physicochemical properties depending on the production stage. In this study, steel slag was collected from B.S.R.M. (The Bangladesh Steel Re-Rolling Mills Ltd., Chittagong, Bangladesh, as shown in Figure 4. The technical specifications and chemical composition are shown in Table 2, conforming to ASTM standard test specifications.
Table 2.
Properties of aggregate (slag and stone).
Figure 3.
Shredded PET.
Figure 3.
Shredded PET.

Figure 4.
Slag chips (BSRM).
Figure 4.
Slag chips (BSRM).

2.1.4. Stone Aggregate
As a potential pavement material, stone aggregate, specifically limestone, was collected from the local market, which was crushed and sieved into different sizes. Aggregate gradation, physical, and mechanical properties were tested in the laboratory in accordance with the ASTM standard of specification, and the aggregate test results were tabulated in Table 2. Table 3 summarizes the results of sieve analysis of coarse aggregate according to ASTM C136, as well as 0.45 power generation and the Roads and Highways Department (RHD) limits of specifications for asphalt concrete mix [48]. The adopted gradation for the study complies with both MS-4: The Asphalt Handbook, 7th Ed. (2007) guidelines and the RHD limits in Bangladesh, as shown in Figure 5 [49,50]. Positioned between the specified lower limits (SLLs) and specified upper limits (SULs) prescribed by RHD, the gradation is near the p = 0.45 power curve but avoids a true maximum density to prevent unacceptably low VMA levels [49,51,52,53]. The selected gradation comprises 58% coarse aggregate (CA), 37% fine aggregate (FA), and 5% mineral filler (MF).
Table 3.
Aggregate gradation for MMD.
Figure 5.
Different gradation limits of aggregate with adopted gradation.
2.2. Mixing and Fabrication of Asphalt Concrete (AC)
Three distinct categories of AC mixes were developed by dry mixing process: virgin stone with asphalt, uncoated slag (10%, 20%, and 30% by weight of total aggregate) with stone and asphalt, and PET-coated slag with asphalt partially replaced by PET (5%, 10%, 15%, and 20% by weight of asphalt). Coarse aggregate was replaced by slag, while fine aggregate and filler were stone-based, with mix properties and optimal asphalt content (OBC) determined using the Marshall mix design (MMD) method.
A total of 16 mix sets, fabricated in accordance with the network shown in Figure 6, and 240 specimens were tested under medium traffic conditions with varying trial binder contents at 4.0%, 4.5%, 5.0%, 5.5%, and 6.0% by weight of the entire asphalt concrete mix. The trial binder contents were selected using the following empirical formula [49], which is given by Equation (1):
where P is the approximate trial binder content, a is the percentage of aggregate retained on the 2.36 mm sieve, b is the percentage of aggregate passing the 2.36 mm sieve and retained on the 0.075 mm sieve, c is the percentage of aggregate passing the 0.075 mm sieve, K is a factor dependent on c, and F is a coefficient based on the absorption of the aggregate.
P = 0.035a + 0.045b + Kc + F
Figure 6.
Combinations of AC mix.
The designation of AC mixes is based on the percentages of steel slag (S) and PET (P) used, where “S” indicates slag as a percentage of the total aggregate weight and “P” represents PET as a percentage of the total binder content. For example, S0_P0 refers to a virgin mix with no slag or PET, S10_P20 includes 10% slag and 20% PET, and S30_P0 contains 30% slag with 0% PET. These designations are used consistently throughout the report to identify the mix configurations. Table 4 summarizes the AIV and ACV values of the aggregate mixtures with varying steel slag contents, determined in accordance with the BS standards.
Table 4.
AIV and ACV of different aggregate combinations.
There are two distinct methods for adding additives (PET) to AC mixes. In the dry mixing method, aggregate surfaces are coated with the additives and then mixed with asphalt. In contrast, the heated aggregates are mixed with the blended additive and asphalt in the wet mixing method.
This study conformed to the dry mixing process to ensure the enhanced performance of the modified AC mix [54], as illustrated in Figure 7. Shredded PET was first added to the heated steel slag (170 °C) and mixed thoroughly until no residue of PET remained, ensuring uniform coating and consistent workability. The PET-coated slag was then mixed manually with heated stone (170 °C) and asphalt (160 °C) until a homogeneous AC mix was achieved. The sample preparation involved filling the bottom waxed mold with the mixture at the compaction temperature. A compaction hammer, weighing 4.5 kg and dropped from a height of 450 mm, was used to apply 50 blows (medium traffic) to each face of the specimen. After compaction, the specimen was demolded and left to cool overnight, with final dimensions of 100 mm in diameter (inner) and 62.5 mm in height. For volumetric measurements, specimen weights in air (Wa), water (Ww), and saturated surface-dry (SSD) conditions (Ws) were recorded to calculate specific gravity, density, and other volumetric properties. The bulk specific gravity before the Marshall stability test and the maximum theoretical specific gravity (Gmm) of the loose mix were determined using AASHTO T 166 (ASTM D2726) and AASHTO T 209 methods [55,56,57].
Figure 7.
Dry mixing process of PET and steel slag.
2.3. Testing Program
The laboratory tests carried out to assess the modified asphalt mixes’ mechanical and moisture-resistant qualities are compiled in this part. The ideal bitumen content was found using Marshall stability and flow tests, and the mixtures’ resilience to moisture was evaluated using indirect tensile strength (ITS) and tensile strength ratio (TSR) tests.
2.3.1. Marshall Mix Design
The Marshall mix design method was used to determine the optimum bitumen content and evaluate the stability and flow characteristics of asphalt mixtures. Specimens with varying binder and PET content were prepared and tested in accordance with standard procedures to assess their suitability for pavement applications.
Marshall Stability and Flow
The Marshall stability and flow test, following AASHTO R-12 (ASTM D1559), was conducted on asphalt specimens with varying asphalt and PET content to determine the optimum bitumen content (OBC) [58]. Using the ASTM D6927 standard for mix design, cylindrical HMA samples (100 mm diameter, 62.5 mm height) were prepared with binder content ranging from 4.0% to 6.0% by weight of total mix (1200 gm), mixed at 160 °C, and compacted at 135 °C with 50 blows per side for medium traffic [59].
Significant Marshall properties, including stability, flow, and air voids (AV%), were calculated and analyzed. The test setup for determining the Marshall stability and flow is shown in Figure 8. Bulk specific gravity and air void content were evaluated based on AASHTO T166 (ASTM D2726) [55,56]. The Marshall stability index, representing the stability-to-flow ratio (kN/mm), was also calculated accordingly [60,61].
Figure 8.
Marshall test setup for asphalt concrete (AC) mix: (a) Water bath for sample conditioning; (b) Marshall specimen placed in the loading frame; (c) Marshall stability and flow testing machine.
2.3.2. Moisture Susceptibility Tests
The resistance of asphalt mixtures to moisture-induced damage was assessed by the use of moisture susceptibility tests. To evaluate durability and performance, conditioned and unconditioned specimens were subjected to standard techniques for the tensile strength ratio (TSR) and indirect tensile strength (ITS) tests.
Indirect Tensile Strength Test (ITS)
Tensile strength of asphalt mixtures determines the resistance to cracking and permanent deformation. This study investigated the ITS of dry and moisture-conditioned specimens at 25 °C following the AASHTO T283 standard [62]. The flow diagram of freezing and thawing is shown in Figure 9. For each mixture, six specimens with 7 ± 0.5% air voids, prepared according to AASHTO T312, were categorized into two groups [63]. Unconditioned (dry) specimens were submerged in a 25 ± 0.5 °C water bath for 2 h ± 10 min, while conditioned (wet) specimens underwent vacuum saturation, freezing at −18 ± 3 °C for 16 to 24 h, heating in a 60 °C water bath after 24 ± 1 h, and equilibration in a 25 °C water tank for 2 h ± 10 min. The weight of the saturated, surface-dry specimens after partial vacuum saturation was determined following “Method A” of AASHTO T166 [55]. Both groups were tested using the Marshall test setup, applying a 50 mm/min load until failure to calculate ITS.
Figure 9.
Flowchart for freezing and thawing.
The ITS of AC mixes is calculated for both conditioned and unconditioned specimens using Equation (2).
ITS = (2Pmax)/πdt
Here, ITS represents the indirect tensile strength (kN/m2); Pmax is the maximum applied load (kN); and t and d are the specimen’s thickness and diameter (mm), respectively.
Tensile Strength Ratio (TSR)
TSR was determined by comparing the ITS of conditioned and unconditioned specimens according to the AASHTO T283 standard [64], providing insights into the resistance of mixtures to moisture-induced damage. For each mixture, TSR was calculated using Equation (3).
TSR = ITS (unconditioned)/ITS (conditioned)
Here, TSR denotes the ratio of the average ITS of conditioned (wet) to the average ITS of unconditioned (dry) specimens. Results averaged from three specimens per group ensured accuracy in evaluating the performance of each AC mixture.
3. Results and Discussions
The findings are discussed in terms of the mechanical properties, moisture susceptibility, and overall performance of the modified asphalt mixtures. Comparisons are made to evaluate the effects of incorporating PET and steel slag, providing insights into their potential for sustainable pavement applications.
3.1. Marshall Test Results
The outcomes of the Marshall stability and flow tests, examining the mechanical behavior of asphalt mixtures with varying PET and binder contents, are presented below. The results help identify the optimum bitumen content and assess mix performance.
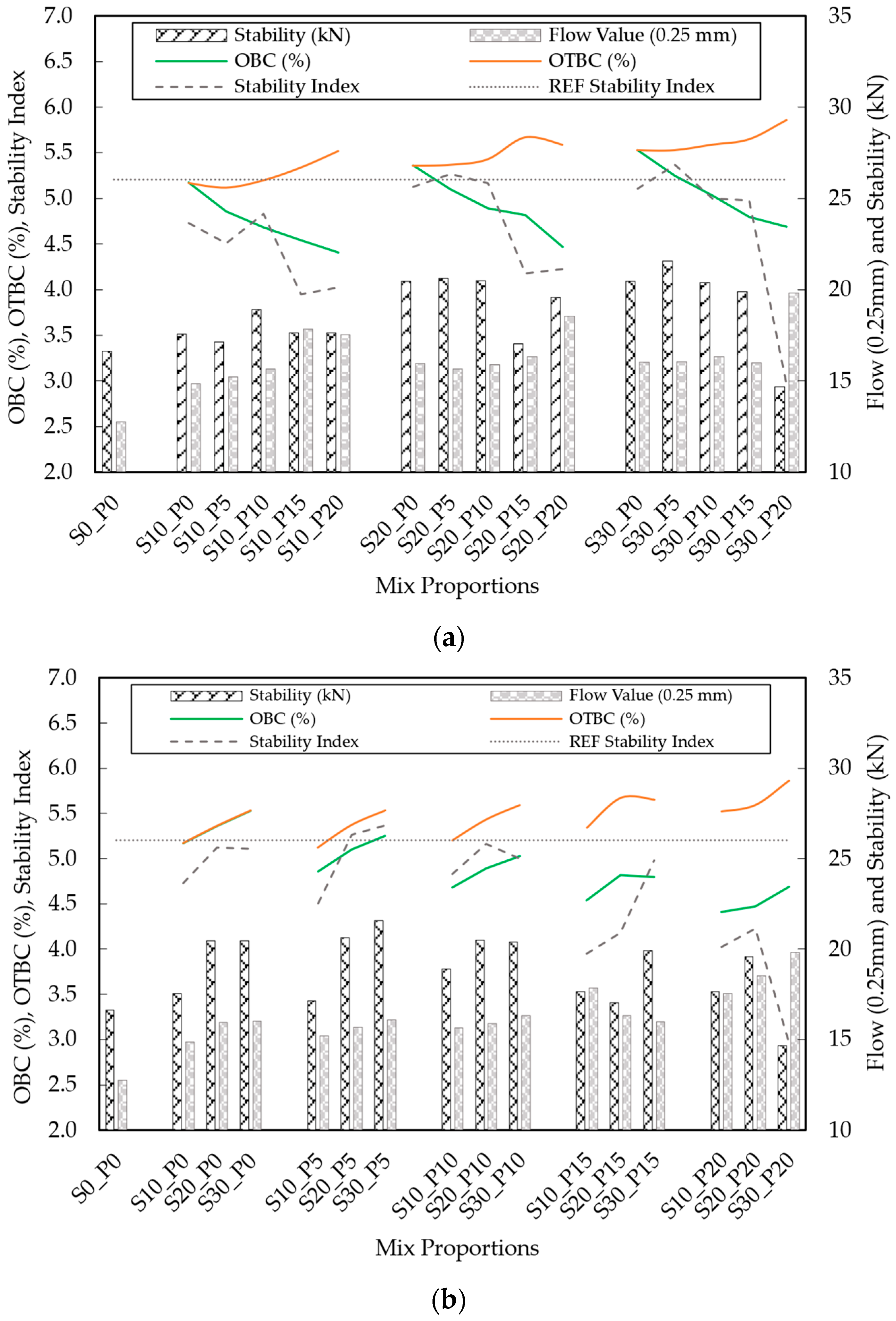
3.1.1. OBC and OTBC
The total optimum binder content (OTBC; bitumen + PET) is determined from the individual plots of 4.0% air voids (AV%), stability, flow (0.25 mm), unit weight of specimen, voids in mineral aggregate (VMA%), and voids filled with asphalt (VFA%) of each set of specimens. The key findings of these properties are summarized in Table 5. Figure 10 expresses the multidimensional relations among OTBC, OBC, flow (0.25 mm), stability, and stability index for the AC mix of different mix combinations as designated. Figure 10a shows the relations of Marshall properties and OBC with the mix combination of various steel slag content partially replaced with stone but varying with PET content (0%, 5%, 10%, and 15%) for each slag content, e.g., 0%, 10%, 20%, and 30% in accordance with the increase in OTBC with increasing PET content but decreasing the asphalt content replaced by PET. Another illustration demonstrates these properties with the different AC mix combinations containing various PET content, varying with the steel slag content simultaneously, as stated earlier. The three mix combinations that represent the larger OTBC requirement are addressed at S20_P15, S30_P15, and S30_P20, which are 5.67, 5.65, and 5.86, respectively, with an OBC of 4.82, 4.80, and 4.69. Figure 10 depicts that the requirements of OBC are decreased with increasing PET content and steel slag content in the AC mix. Because steel slag is denser and more angular than conventional aggregates, it increases the mechanical interlock within the mix, which requires additional binder in order to ensure adequate coating adhesion [29,64]. Zinnurain et al. (2024) also observed an increasing trend of the OTBC with the addition of steel slag [65]. The difference between OTBC and OBC denotes the PET requirements in AC mix, indicating high PET content and low asphalt requirements for the above three mix combinations, respectively.
Table 5.
Summary of Marshall properties for different mix proportions.
Figure 10.
Marshall properties of AC mixes with different mix proportions: (a) PET content-wise variation; (b) steel slag content-wise variation.
3.1.2. Marshall Stability
Marshall stability and flow are two significant parameters of AC mixes that are required to identify the road performance characteristics. Stability indicates the resistance to deformation (rutting or shear failure), withstanding loading from the wheel load of the vehicle, largely dependent on the internal friction of aggregate (stone and slag) and the cohesion of binding materials (asphalt and PET) [67]. Marshall stability is increased due to an increase in PET up to a certain content and then decreases for each slag replacement content, as shown in Figure 10a. This can be attributed to the semicrystalline nature of PET particles, which exhibits more adhesion in the mixture up to a limit greater than that of the control mix. Beyond the limit, further increase in PET content causes a decrease in stability due to lower stiffness and internal friction of aggregates [67,68]. Ahmadinia et al. (2011 & 2012) and Moghaddam et al. (2013) also observed the increase in stability up to a certain content and then the decrease due to the incorporation of PET in asphalt-modified concrete mix [28,69,70].
In contrast, Figure 10b highlights that stability increases with an increase in slag content if the PET contents remain constant. It is evident from the illustration that the stability of the containing mix with the replacement of slag is higher than that of the control mix for all cases except S30_P20. The higher stability numbers were recorded at the AC mix combination of S20_P5 and S30_P5, having stability values of 20.62 kN and 21.57 kN, respectively. The increase in Marshall stability is attributed to the high internal friction of slag, consisting of higher angularity, rougher surface textures, and denser gradation of aggregate than natural stone aggregate, ensuring better interlocking of aggregates [71]. Notably, the AC mix containing 30% slag with 20% may underperform due to the higher slag content that demands more binders, leading to poor aggregate coating, higher entrapped air voids, and difficulty in compaction, resulting in lower Marshall stability [72]. Zinnurain et al. (2024) also reported enhanced stability at moderate steel slag replacement levels, but a reduction in Marshall stability at higher slag contents [65].
In the previous study, several researchers found that the addition of PET increases the stability of the modified PET-coated AC mix more than that of the control mix due to the improvement of adhesion among aggregate-binder and plastic pellets [28,70,73]. But further increasing the PET content, the internal friction decreases, resulting in a reduction in cohesion in binders, i.e., lower viscosity, lower stiffness, and lower internal friction (due to the presence of the excess amount of binder on the aggregate surface after coating) [67]. Literature shows that depolymerization of PET becomes measurable at 170 °C, showing 10–20% loss of viscosity after 30 min [74]. Moreover, PET begins depolymerization with a slow crystallization rate (65–70%) at temperatures above 160 °C and promotes chain scission, breaking ester bonds, reducing molecular weight, and weakening polymer integrity, causing softening of the binder and reducing cohesion of the AC mix [75].
3.1.3. Marshall Flow
Marshall flow determines the vertical displacement of the AC mix due to the superimposed wheel load from vehicles, which indicates the flexibility and ductility of the pavement mix. Higher flow identifies the plastic mix susceptible to rutting and the permanent deformation under traffic, whereas low flow may cause pavement distress, e.g., cracks, pavement deformation on pavement, etc., as well as less workability during pavement construction [49,76]. In Figure 10, it is observed that the flow value increases with an increase in both PET and slag content. This result is also consistent with the outcomes investigated by Ali et al. in 2013 [76]. Kalantar et al. (2012), Moghaddam et al. (2013), and Taherkhani et al. (2019) found that flow value increases with increasing PET content [67,70,77]. A similar trend of increasing flow value due to increasing steel slag was also observed by Ameri et al. [60]. But an inverse trend is detected for the AC mix containing 15% PET, where flow decreases with an increase in slag content. Incorporation of PET causes a higher flow value than that of the control mix for all cases. A higher flow value of 19.81 (0.25 mm) was obtained at S30_P20 due to excessive binder content, which makes the mix less stiff and flexible by creating a lubricating medium that results in the reduction in internal friction of the aggregate [71].
3.1.4. Marshall Stability Index
In order to identify the most efficient mix that offers a good performance on structural strength, durability, and resistance to pavement, an important parameter called the stability index dominates significantly and is represented by the ratio of Marshall stability to the flow of the AC mix specimens obtained from the Marshall tests. This parameter is used as an indication of the resistance against shear stress and permanent deformation of the AC mix [60]. The higher stability index offers better performance, conforming to higher stability and comparatively lower flow value (0.25 mm). Figure 10 illustrates the values of the stability index against the AC mixes consisting of different PET content and steel slag replacement. Figure 10 depicts that the stability index increases up to 5% addition of PET and then decreases. Taherkhani and Arshadi (2019) [67] also investigated and observed a limit of 4%, whereas Israa and Hawraa (2020) [78] set 7.5% of PET addition, beyond which the stability index decreases [67,78]. However, the addition of steel slag in AC mixes causes an increase in stability index, indicating the higher shear resistance and structural integrity against permanent deformations [60]. The maximum stability index is observed at 5.27 and 5.37 at S20_P5 and S30_P5 AC mix, respectively, which offer a greater value than that of the control mix (5.21 at S0_P0). The value of the stability index of other specimens is less than that of the control mix, as illustrated in Figure 10.
3.2. Moisture Susceptibility
The result of moisture susceptibility tests, evaluating the durability and resistance of asphalt mixtures to moisture-induced damage through ITS and TSR analyses, are discussed below.
3.2.1. Indirect Tensile Strength (ITS)
Moisture damage of pavement, particularly in flexible pavement, occurs due to a decrease in adhesive force between aggregate and binders that may lead to several durability and structural integrity problems, often known as pavement distress, such as rutting and cracking due to fatigue [60,79,80]. Table 6 summarizes the key findings of three significant parameters, such as ITS, tensile strength ratio (TSR), and tensile strain (TS) for both conditioned and unconditioned specimens. Figure 11 presents the ITS and TS for both conditioned (wet) and unconditioned (dry) specimens containing various mix proportions of AC mix as designated.
Table 6.
Summary of the ITS, TS, and TSR for different mix proportions.
Figure 11.
ITS and tensile strain of AC mixes with different mix proportions: (a) PET content-wise variation; (b) steel slag content-wise variation.
Figure 11a,b illustrate the variation in ITS and TS plotted on the primary vertical axis and secondary vertical axis against different mix proportions of asphalt concrete. As depicted in Figure 11a, the variation of ITS and TS varies with the PET content replaced by asphalt for specific steel slag content replaced by stone aggregate, where Figure 11b shows these varying with the slag content for specific PET content. In both figures, an inconsistent trend is observed in both conditioned and unconditioned cases. In the case of unconditioned specimens, the ITS value increases up to 5% PET content with 10%, 20%, and 30% slag replacement, then decreases with an increase in PET content, as shown in Figure 11a. Beyond the 10% PET replacement, a greater increase in ITS value was observed in unconditioned specimens than that of specimens without PET replacements. The two highest ITS values of 694.1 kPa and 700.8 kPa for unconditioned specimens were recorded for S20_P5 and S30_P20, respectively. However, the higher values of ITS for conditioned specimens were recorded at the S20_P10 and S30_P15, where an increase in the ITS value is shown with an increase in PET content up to 10% for different slag replacement, and then decreases beyond this point, as shown in Figure 10a. This outcome can be attributed to the lower stiffness of PET compared to the aggregates used in the mix, which was also observed by Hasan Taherkhani in 2019 [67]. It is evident that the ITS value of all mix combinations, for both unconditioned and conditioned specimens with PET and steel slag replacement, is higher than that of the control mix. This improvement arises because uncoated steel slag is porous and can absorb asphalt, which may reduce the effective mastication of AC mixes. PET coating prevents this absorption and preserves binder at particle surfaces for bonding. In addition, the PET film enhances local binder performance, and the angular, interlocking nature of slag provides structural stiffness and mechanical interlock, together increasing indirect tensile strength [81,82].
On the other hand, TS, which is derived from the horizontal deformation (χt) and εt, measures the flexibility of the AC mix that is crucial for balancing crack resistance and durability in asphalt concrete design. Lower TS takes place than that of the virgin mix for both the conditioned and unconditioned specimens, though the specimens were subjected to large withstand loading, resulting in a higher ITS. Higher TS under repetitive loading may decrease the stability and structural integrity and may lead to cracking by reducing the adhesion and cohesion between aggregate and binders, making the pavement prone to cracking [83,84]. Figure 11 depicts the TS of the AC mix with different mix combinations for both the conditioned and unconditioned specimens, plotted on the secondary vertical axis of Figure 11a,b. The lowest TS was observed at 0.91 and 0.51 mm/mm at 20% slag replacement with 10% and 5% PET content for unconditioned and conditioned specimens, respectively, as illustrated in Figure 11.
From another perspective, it can be observed in Figure 11a that TS shows a contradictory behavior with ITS in the mixes containing higher PET content. For conditioned specimens, the TS shows reverse trends with ITS beyond 5% PET at 10% constant steel slag. At 20% steel slag, a similar contradictory trend is observed beyond 5% PET content, whereas the AC mix containing 30% steel slag shows the same nature at all PET contents. Moreover, it is noticeable that the TS for all mix combinations except S10_P5 and S30_P0 show a lower TS than that of the virgin mix (S0_P0), which indicates the resistance of moisture damage, particularly fatigue damage of the AC mix in pavement construction due to wheel load from vehicles [70].
3.2.2. Tensile Strength Ratio (TSR)
TSR of AC mix is an important indication of moisture susceptibility to the flexible pavement, which is necessary to evaluate the moisture durability against pavement distress, caused by the intrusion of moisture. In order to evaluate the resistance against moisture, the TSR for both conditioned and unconditioned specimens is tabulated in Table 6 for different mix proportions of the AC mix. Figure 12 shows the experimental TSR value obtained at different mixes, varying with PET content, where the aggregate is replaced with steel slag. From Figure 12b, it is observed that the TSR value is higher for 10% PET for all percentages of steel slag, i.e., 10%, 20%, and 30%, than that of the control mix. In contrast, the lower TSR value was observed for all steel slag replacements containing 5% PET content. As depicted in Figure 12a, the TSR increases with increasing PET content up to 10% and then decreases, leading to the minimum and maximum TSR values obtained at 5% and 10% PET content, respectively. It is also noticeable that the TSR values at 5% PET content and 10% replacement of SS remain almost below the TSR of the virgin mix, except S10_P10.

Figure 12.
Comparative ITS and TSR values across all AC mix proportions: (a) PET content-wise variation; (b) steel slag content-wise variation.
According to the AASHTO T-283, a minimum TSR value greater than 80% must be complied with as an indication of better performance of PET as an anti-stripping additive against moisture-induced damages of the pavement [62,85]. According to Sun (2016), the requirements of standard TSR value against moisture-induced damage range from 70% to 80% [86]. Therefore, from Figure 12, it is evident that the virgin mix shows 6.25% improvement with a TSR value of 0.85 compared to AASHTO requirements, which confirms the better performance against moisture penetration into the AC mix. Higher TSR values are attributed to the higher effective hydrophobic nature of the interface between binders and aggregates, which enhances the film durability under moisture [87]. The inconsistent outcomes of the TSR value underscore the importance of finding a balanced combination of PET and steel slag due to the synergistic effect.
As a result, the optimum combination of AC mix can be defined based on the dual benefits of the mechanical interlocking of steel slag and hydrophobic or adhesive contribution of PET, yielding TSR improvements that surpass the AASHTO requirements [88]. The highest TSR value was observed at 0.96 for the AC mix, designated by S20_P10, showing a 12.9% and 20.0% increase over that of the control mix and the minimum threshold of AASHTO, respectively. The OTBC and OBC based on the best TSR value are then 5.43% and 4.89%, respectively, as depicted in Figure 12.
4. Statistical Analysis
A statistical analysis was performed in order to identify the important constituents in the AC mix, such as steel slag content, PET content, and Optimum Total Binder Content, which influence the properties of better performance against moisture susceptibility. A multiple linear regression analysis (MLRA) was performed, and the statistical parameters, such as p-value and SE for each variable, SE, R2, RMSE, MAPE, and MAE of the models, are tabulated in Table 7.
Table 7.
Statistical analysis for experimental results.
The lower p-value of any parameter indicates a relevant factor that is more significant in the analysis of the models. Equations (4)–(6) express the experimental relation of stability, stability index (SI), and TSR, respectively, which are the functions of independent variables: steel slag, PET, and OTBC. As per the p-value coefficient, the percentage of steel slag is more significant than other variables in determining the stability of the mixture. SS and OTBC play an important role in determining the stability index stated from the p-value coefficient, shown in Table 7. However, there is a similar contribution of SS, PET, content, and OTBC in the AC mix upon which the TSR value relies. Another significant regression coefficient, R2, is often called the coefficient of determination when performing regression analysis. A higher value of R2 is obtained in predicting the stability index using MLRA, which is 0.66. It denotes a better regression fit than that of other parameters, such as stability (0.47) and TSR (0.17). As a consequence, it is evident from the linear regression analysis (LRA) that steel slag content and PET control the AC mix properties, which are required to investigate the performance against both structural distress and moisture susceptibility.
5. Limitations and Future Scope
Despite the encouraging results of this study, a number of caveats should be noted. First, there was a narrow range of PET content that was studied, which might have limited its impact on the TSR. A wider range of PET proportions might offer more thorough understanding of its impacts. Second, the microstructure analysis, such as SEM/EDS, ATR-FTIR, and contact-angle measurements on fractured and conditioned specimens, will help to assess coating uniformity, chemical interactions, and wettability at the PET-slag-bitumen interface. These analyses will confirm whether microstructural changes underlie the observed improvements in binder-aggregate adhesion and moisture resistance. Third, the performance of the combinations during high traffic was not assessed because the study only examined medium traffic situations. More research is needed in this area. Fourth, every assessment was carried out in a lab setting. The performance of the changed asphalt mixtures in the actual world is therefore still unknown. To evaluate aging behavior, environmental effect, and long-term durability, field testing is required. Future research should also consider the environmental and economic advantages of incorporating PET and steel slag into asphalt mixtures, supporting the move toward more sustainable construction practices.
6. Conclusions
This study investigated the mechanical performance (Marshall stability and indirect tensile strength) and moisture susceptibility (TSR) of asphalt concrete containing PET-coated steel slag and identified the optimal PET/slag proportions for improved pavement performance and sustainable waste utilization. Results depicted that the optimized PET-slag combination with OTBC improved stability, indirect tensile strength (ITS), and moisture resistance.
- Higher slag content (10–30%) elevated both OTBC and OBC due to slag’s porous structure, requiring more binder. However, OBC for the specific AC mix containing 10% slag with 5% PET is below the virgin OBC.
- Stability values exceeded the virgin mix in all cases except for AC mix containing 30% slag with 20% PET. Increased slag content enhanced stability for fixed PET percentages, with peak values (21.57 kN and 20.62 kN for AC mixes containing 30% slag with 5% PET and 20% slag with 5% PET, respectively) indicating better performance at moderate PET and higher slag ratios.
- Both unconditioned and conditioned specimens of all mixes showed higher ITS than the virgin mix. The highest ITS (unconditioned) occurred in the AC mixes containing 30% slag with 20%, and 20% slag with 5%, indicating improved resistance to fatigue, thermal cracking, and rutting.
- The AC mixes containing 20% slag with 10% and 30% slag with 15 exhibited the highest tensile strength ratio (TSR) values of 0.96 and 0.92, respectively, indicating superior resistance to moisture-induced damage.
- Statistical analysis (MLRA) indicates that steel slag plays a dominant role in enhancing stability, with the combined effect of steel slag and OTBC also proving significant for the stability index; however, the influence of SS, PET, and OTBC on the TSR of AC mixes exhibits irregular or inconsistent behavior.
- Overall, the AC mix containing 20% slag with 10% is identified as the most suitable mix across all combinations due to its enhanced performance, reflected by the higher stability index, ITS, and TSR.
Both policy and practical applications can benefit from the findings of this study. For highway repairs and urban road resurfacing, using PET and steel slag in asphalt mixtures can be a sustainable option. Pavement quality is enhanced and waste is decreased with the use of these recycled materials. They may also reduce expenses. Because of these advantages, engineers and legislators may be persuaded to think about more economical and environmentally beneficial approaches to road building and maintenance.
Author Contributions
Conceptualization, M.Z. and M.M.R.; methodology, M.Z. and M.K.H.K.; software, M.K.H.K.; validation, M.Z., M.K.H.K., M.K.I., and M.A.; formal analysis, M.Z. and M.K.H.K.; investigation, M.K.I., M.K.H.K., and M.A.P.; resources, M.M.R. and M.K.I.; data curation, M.Z. and M.K.H.K.; writing—original draft preparation, M.Z. and M.K.H.K.; writing—review and editing, M.K.I. and M.M.R.; visualization, M.K.H.K.; supervision, M.M.R., M.K.I., M.A., and M.A.P.; project administration, M.M.R. and M.K.I.; funding acquisition, M.K.I., M.A., and M.A.P. All authors have read and agreed to the published version of the manuscript.
Funding
This work was supported by the Deanship of Scientific Research, Vice Presidency for Graduate Studies and Scientific Research, King Faisal University, Saudi Arabia [Grant No. KFU252980].
Data Availability Statement
The data that support the findings of this study are available from the first author, Mahiman Zinnurain.
Acknowledgments
The authors express their gratitude to Bangladesh Steel Re-Rolling Mills Ltd. (BSRM) for supplying steel slag; extend their thanks to Md. Touhidul Islam and Gobinda Kirtonia for their valuable assistance; and appreciate the Department of Civil Engineering at Dhaka University of Engineering & Technology (DUET), Gazipur, for granting them access to its laboratory facilities.
Conflicts of Interest
The authors declare no conflict of interest.
Abbreviations
The following abbreviations are used in this manuscript:
| AC | Asphalt Concrete |
| AASHTO | American Association of State Highway and Transportation Officials |
| ACV | Aggregate Crushing Value |
| AIV | Aggregate Impact Value |
| ASTM | American Society for Testing and Materials |
| AV | Air Voids |
| BS | British Standard |
| CA | Coarse Aggregate |
| FA | Fine Aggregate |
| HDPE | High-Density Polyethylene |
| HMA | Hot Mix Asphalt |
| ITS | Indirect Tensile Strength |
| LDPE | Low-Density Polyethylene |
| MF | Mineral Filler |
| MLRA | Multiple linear regression analysis |
| MMD | Marshall Mix Design |
| OBC | Optimum Bitumen Content |
| OTBC | Optimum Total Binder Content |
| PET | Polyethylene Terephthalate |
| PP | Polypropylene |
| RHD | Roads and Highways Department (Bangladesh) |
| SS | Steel Slag |
| SSD | Saturated Surface-Dry |
| SSL | Specified Upper Limits |
| SUL | Specified Lower Limits |
| TS | Tensile Strain |
| TSR | Tensile Strength Ratio |
| VFA | Voids Filled with Asphalt |
| VMA | Voids in Mineral Aggregate |
References
- Plastic Pollution: When the Mermaids Cry—The Great Plastic Tide. Available online: https://coastalcare.org/2020/01/plastic-pollution-when-the-mermaids-cry-the-great-plastic-tide-by-claire-le-guern/ (accessed on 8 June 2025).
- Ziani, K.; Ioniță-Mîndrican, C.B.; Mititelu, M.; Neacșu, S.M.; Negrei, C.; Moroșan, E.; Drăgănescu, D.; Preda, O.T. Microplastics: A Real Global Threat for Environment and Food Safety: A State of the Art Review. Nutrients 2023, 15, 617. [Google Scholar] [CrossRef]
- Gameplan: It’s Time to Beat Plastic Pollution. Available online: https://www.unep.org/beatpollution/beat-plastic-pollution/gameplan-it-is-time-to-beat-plastic-pollution (accessed on 8 June 2025).
- Hester, R.E.; Harrison, R.M.; Harrison, R.; Hester, R. (Eds.) Marine Pollution and Human Health; The Royal Society of Chemistry: London, UK, 2011; Volume 33. [Google Scholar] [CrossRef][Green Version]
- How BSRM Turns Steel Waste into Eco-Friendly Construction Material. Available online: https://www.tbsnews.net/bangladesh/environment/how-bsrm-turns-steel-waste-eco-friendly-construction-material-644214 (accessed on 8 June 2025).
- Roadcap, G.S.; Kelly, W.R.; Bethke, C.M. Geochemistry of Extremely Alkaline (pH > 12) Ground Water in Slag-Fill Aquifers. Ground Water 2005, 43, 806–816. [Google Scholar] [CrossRef]
- Ettler, V.; Vítková, M. Slag Leaching Properties and Release of Contaminants. In Metallurgical Slags: Environmental Geochemistry and Resource Potential; Piatak, N.M., Ettler, V., Eds.; Royal Society of Chemistry: London, UK, 2021; pp. 151–173. [Google Scholar] [CrossRef]
- Ettler, V.; Kierczak, J. Environmental Impact of Slag Particulates. In Metallurgical Slags: Environmental Geochemistry and Resource Potential; Piatak, N.M., Ettler, V., Eds.; Royal Society of Chemistry: London, UK, 2021; pp. 174–193. [Google Scholar] [CrossRef]
- Huang, Y.; Bird, R.N.; Heidrich, O. A Review of the Use of Recycled Solid Waste Materials in Asphalt Pavements. Resour. Conserv. Recycl. 2007, 52, 58–73. [Google Scholar] [CrossRef]
- Asi, I.M.; Qasrawi, H.Y.; Shalabi, F.I. Use of Steel Slag Aggregate in Asphalt Concrete Mixes. Can. J. Civ. Eng. 2007, 34, 902–911. [Google Scholar] [CrossRef]
- Hunt, L.; Boyle, G.E. Steel Slag in Hot Mix Asphalt Concrete: Final Report; ROSA P: Washington, DC, USA, 2000. [CrossRef]
- Amuchi, M.; Abtahi, S.M.; Koosha, B.; Hejazi, S.M.; Sheikhzeinoddin, H. Reinforcement of Steel-Slag Asphalt Concrete Using Polypropylene Fibers. J. Ind. Text. 2015, 44, 526–541. [Google Scholar] [CrossRef]
- Zinnurain, M.; Dipto, S.B. Property Analysis of Induction Furnace Steel Slag for Use in Flexible Pavement. In Proceedings of the 6th International Conference on Civil Engineering for Sustainable Development (ICCESD 2022), Khulna, Bangladesh, 10–12 February 2022; ICCESD: Chittagong, Bangladesh, 2022; pp. 1–8. [Google Scholar]
- Ahmedzade, P.; Sengoz, B. Evaluation of Steel Slag Coarse Aggregate in Hot Mix Asphalt Concrete. J. Hazard. Mater. 2009, 165, 300–305. [Google Scholar] [CrossRef] [PubMed]
- Awwad, M.T.; Shbeeb, L. The Use of Polyethylene in Hot Asphalt Mixtures. Am. J. Appl. Sci. 2007, 4, 390–396. [Google Scholar] [CrossRef]
- Azarhoosh, A.; Koohmishi, M.; Hamedi, G.H. Rutting Resistance of Hot Mix Asphalt Containing Coarse Recycled Concrete Aggregates Coated with Waste Plastic Bottles. Adv. Civ. Eng. 2021, 2021, 1–11. [Google Scholar] [CrossRef]
- Mir, A.H. Use of Plastic Waste in Pavement Construction: An Example of Creative Waste Management. IOSR J. Eng. 2015, 5, 57–67. [Google Scholar] [CrossRef]
- Modak, S.; Belkhode, P. Construction of Pavement by Processing the Waste Plastic. Acad. J. Manuf. Eng. 2022, 20, 5–12. [Google Scholar]
- Sojobi, A.O.; Nwobodo, S.E.; Aladegboye, O.J. Recycling of Polyethylene Terephthalate (PET) Plastic Bottle Wastes in Bituminous Asphaltic Concrete. Cogent Eng. 2016, 3, 1133480. [Google Scholar] [CrossRef]
- Suaryana, N.; Nirwan, E.; Ronny, Y. Plastic Bag Waste on Hotmixture Asphalt as Modifier. Key Eng. Mater. 2018, 789, 20–25. [Google Scholar] [CrossRef]
- Moinuddin Sarker, M.M.R. Thermal Degradation of Poly(Ethylene Terephthalate) Waste Soft Drinks Bottles and Low Density Polyethylene Grocery Bags. Int. J. Sustain. Energy Environ. 2013, 1, 78–86. [Google Scholar]
- Zohoori, M.; Ghani, A. Municipal Solid Waste Management Challenges and Problems for Cities in Low-Income and Developing Countries. Int. J. Sci. Eng. Appl. 2017, 6, 39–48. [Google Scholar] [CrossRef]
- Martinho, F.C.G.; Picado-Santos, L.G.; Capitão, S.D. Feasibility Assessment of the Use of Recycled Aggregates for Asphalt Mixtures. Sustainability 2018, 10, 1737. [Google Scholar] [CrossRef]
- Fernandes, S.; Peralta, J.; Oliveira, J.R.M.; Williams, R.C.; Silva, H.M.R.D. Improving Asphalt Mixture Performance by Partially Replacing Bitumen with Waste Motor Oil and Elastomer Modifiers. Appl. Sci. 2017, 7, 794. [Google Scholar] [CrossRef]
- Fang, C.; Wu, C.; Yu, R.; Zhang, Z.; Zhang, M.; Zhou, S. Aging Properties and Mechanism of the Modified Asphalt by Packaging Waste Polyethylene and Waste Rubber Powder. Polym. Adv. Technol. 2013, 24, 51–55. [Google Scholar] [CrossRef]
- Leng, Z.; Padhan, R.K.; Sreeram, A. Production of a Sustainable Paving Material through Chemical Recycling of Waste PET into Crumb Rubber Modified Asphalt. J. Clean. Prod. 2018, 180, 682–688. [Google Scholar] [CrossRef]
- Abdel Bary, E.M.; Farag, R.K.; Ragab, A.A.; Abdel-monem, R.M.; Abo-shanab, Z.L.; Saleh, A.M.M. Green Asphalt Construction with Improved Stability and Dynamic Mechanical Properties. Polym. Bull. 2020, 77, 1729–1747. [Google Scholar] [CrossRef]
- Ahmadinia, E.; Zargar, M.; Karim, M.R.; Abdelaziz, M.; Ahmadinia, E. Performance Evaluation of Utilization of Waste Polyethylene Terephthalate (PET) in Stone Mastic Asphalt. Constr. Build. Mater. 2012, 36, 984–989. [Google Scholar] [CrossRef]
- Hasban, A.; Waje, A.; Vhatte, V.; Shinde, S.; Binayake, R.A. Study of Effective Utilization of Waste P.E.T (Plastic) and Steel Slag to Enhance the Performance of Bitumen Based Pavement. Int. J. Res. Appl. Sci. Eng. Technol. 2022, 10, 3172–3177. [Google Scholar] [CrossRef]
- Usman, N.; Masirin, M.I.M. Performance of Asphalt Concrete with Plastic Fibres; Elsevier: Amsterdam, The Netherlands, 2018. [Google Scholar] [CrossRef]
- What Is PET?—NAPCOR. Available online: https://napcor.com/about-pet/ (accessed on 8 June 2025).
- Barber, N.A. (Ed.) Polymer Science and Technology Polyethylene Terephthalate: Uses, Properties, and Degradation; Nova Science Publishers: Hauppauge, NY, USA, 2017. [Google Scholar]
- File: Polyethylene-Terephthalate-3D-Spacefill.png. Available online: https://en.wikipedia.org/wiki/polyethylene_terephthalate#/media/file:polyethylene-terephthalate-3d-spacefill.png (accessed on 8 June 2025).
- Carraher, C.E., Jr. (Ed.) Introduction to Polymer Chemistry, 4th ed.; CRC Press: Boca Raton, FL, USA, 2017. [Google Scholar] [CrossRef]
- ASTM D792; Standard Test Methods for Density and Specific Gravity (Relative Density) of Plastics by Displacement. ASTM International: West Conshohocken, PA, USA, 2020. [CrossRef]
- AASHTO T 228; Standard Method of Test for Specific Gravity of Semi-Solid Bituminous Material. American Association of State Highway and Transportation Officials: Washington, DC, USA, 2022.
- ASTM D570; Standard Test Method for Water Absorption of Plastics. ASTM International: West Conshohocken, PA, USA, 2022. [CrossRef]
- AASHTO T 49; Standard Method of Test for Penetration of Bituminous Materials. American Association of State Highway and Transportation Officials: Washington, DC, USA, 2022. Available online: https://store.transportation.org/item/publicationdetail?id=4762 (accessed on 12 May 2025).
- AASHTO T 51; Standard Method of Test for Ductility of Asphalt Materials. American Association of State Highway and Transportation Officials: Washington, DC, USA, 2022. Available online: https://store.transportation.org/item/publicationdetail?id=4764 (accessed on 12 May 2025).
- AASHTO T 53; Standard Method of Test for Softening Point of Bitumen (Ring-and-Ball Apparatus). American Association of State Highway and Transportation Officials: Washington, DC, USA, 2022. Available online: https://store.transportation.org/item/publicationdetail?id=4765 (accessed on 12 May 2025).
- AASHTO T 48; Standard Method of Test for Flash Point of Asphalt Binder by Cleveland Open Cup. American Association of State Highway and Transportation Officials: Washington, DC, USA, 2022. Available online: https://store.transportation.org/item/publicationdetail?id=4761 (accessed on 12 May 2025).
- Piatak, N.M.; Parsons, M.B.; Seal, R.R. Characteristics and Environmental Aspects of Slag: A Review. Appl. Geochem. 2015, 57, 236–266. [Google Scholar] [CrossRef]
- ASTM C127; Standard Test Method for Relative Density (Specific Gravity) and Absorption of Coarse Aggregate. ASTM International: West Conshohocken, PA, USA, 2024. [CrossRef]
- BS 812-112:1990; Testing Aggregates Method for Determination of Aggregate Impact Value (AIV). BSI: Bonn, Germany, 1990. Available online: https://www.en-standard.eu/bs-812-112-1990-testing-aggregates-method-for-determination-of-aggregate-impact-value-aiv/ (accessed on 22 July 2025).
- BS 812-110:1990; Testing Aggregates Methods for Determination of Aggregate Crushing Value (ACV). BSI: Bonn, Germany, 1990; 6p. Available online: https://www.en-standard.eu/bs-812-110-1990-testing-aggregates-methods-for-determination-of-aggregate-crushing-value-acv/ (accessed on 22 July 2025).
- ASTM C128; Standard Test Method for Relative Density (Specific Gravity) and Absorption of Fine Aggregate. ASTM International: West Conshohocken, PA, USA, 2022. [CrossRef]
- ASTM D854; Standard Test Methods for Specific Gravity of Soil Solids by Water Pycnometer. ASTM International: West Conshohocken, PA, USA, 2002. [CrossRef]
- ASTM C136; Standard Test Method for Sieve Analysis of Fine and Coarse Aggregates. ASTM International: West Conshohocken, PA, USA, 2019. [CrossRef]
- Asphalt Institute. MS-4 The Asphalt Handbook, 7th ed.; Asphalt Institute: Lexington, KY, USA, 2007; Available online: https://my.asphaltinstitute.org/shop/product-details?productid=9e5a6840-361b-e811-80f2-000d3a011cec (accessed on 10 July 2025).
- Government of the People’s Republic of Bangladesh Ministry of Road Transport and Bridges Roads and Highways Department Bangladesh Road Research laboratory. Laboratory Technical Note on: Asphalt Mix Design for Heavily Trafficked. 2017. Available online: https://rhd.portal.gov.bd/sites/default/files/files/rhd.portal.gov.bd/page/5fe252bb_4e63_4d72_995f_7ddfb652e02a/asphalt%20mix%20design%20for%20heavily%20trafficked%20road.pdf (accessed on 10 July 2025).
- RHD Technical Specification Dense Bituminous Surfacing (Plant Method). 2001; Volume 3. Available online: https://www.rhd.gov.bd/documents/contractdocuments/technicalspecification/dense%20bituminous%20surfacing.pdf (accessed on 10 July 2025).
- Mitchell, T. Superpave Mixture Design Guide; U.S. Department of Transportation: Washington, DC, USA, 2001.
- Cominsky, R.J. Strategic Highway Research Program (SHRP-A-407). In The Superpave Mix Design Manual for New Construction and Overlays; Transportation Research Board: Washington, DC, USA, 1994. [Google Scholar]
- Nguyen, M.T.; Vu, B.T. Laboratory Investigation on Mixing Methods for Polymer Modified Asphalt Mixture. In Lecture Notes in Civil Engineering; Springer: Singapore, 2024; Volume 442, pp. 1780–1787. [Google Scholar] [CrossRef]
- AASHTO T166; Standard Method of Test for Bulk Specific Gravity of Compacted Asphalt Mixtures Using Saturated Surface-Dry Specimens. American Association of State Highway and Transportation Officials: Washington, DC, USA, 2009.
- ASTM D2726; Standard Test Method for Bulk Specific Gravity and Density of Non-Absorptive Compacted Bituminous Mixtures. ASTM International: West Conshohocken, PA, USA, 2011. [CrossRef]
- AASHTO T209; Standard Method of Test for Theoretical Maximum Specific Gravity and Density of Bituminous Paving Mixtures. American Association of State Highway and Transportation Officials: Washington, DC, USA, 2011.
- ASTM D6926; Standard Practice for Preparation of Asphalt Mixture Specimens Using Marshall Apparatus. ASTM International: West Conshohocken, PA, USA, 2020. [CrossRef]
- ASTM D6927; Standard Test Method for Marshall Stability and Flow of Asphalt Mixtures. ASTM International: West Conshohocken, PA, USA, 2022. [CrossRef]
- Ameri, M.; Hesami, S.; Goli, H. Laboratory Evaluation of Warm Mix Asphalt Mixtures Containing Electric Arc Furnace (EAF) Steel Slag. Constr. Build. Mater. 2013, 49, 611–617. [Google Scholar] [CrossRef]
- Zoorob, S.E.; Suparma, L.B. Laboratory Design and Investigation of the Properties of Continuously Graded Asphaltic Concrete Containing Recycled Plastics Aggregate Replacement (Plastiphalt). Cem. Concr. Compos. 2000, 22, 233–242. [Google Scholar] [CrossRef]
- AASHTO T 283; Standard Method of Test for Resistance of Compacted Hot Mix Asphalt to Moisture Induced Damage. American Association of State Highway and Transportation Officials: Washington, DC, USA, 2011.
- AASHTO T 312; Standard Method of Test for Preparing and Determining the Density of Asphalt Mixture Specimens by Means of the Superpave Gyratory Compactor. American Association of State Highway and Transportation Officials: Washington, DC, USA, 2011. Available online: https://store.transportation.org/item/publicationdetail?id=4865 (accessed on 15 June 2025).
- Usman, I.U.; Kunlin, M. Influence of Polyethylene Terephthalate (PET) Utilization on the Engineering Properties of Asphalt Mixtures: A Review. Constr. Build. Mater. 2024, 411, 134439. [Google Scholar] [CrossRef]
- Zinnurain, M.; Rahman, M.; Islam, S.; Hasan, H. Effect of Steel Slag on Moisture Susceptibility of Asphalt Concrete Based on Tensile Strength Ratio; Atlantis Press International: Dordrecht, The Netherlands, 2024. [Google Scholar] [CrossRef]
- Asphalt Institute. MS-2: Asphalt Mix Design Methods, 7th ed.; Abedali, A.H., Ed.; Asphalt Institute: Lexington, KY, USA, 1997. [Google Scholar]
- Taherkhani, H.; Arshadi, M.R. Investigating the Mechanical Properties of Asphalt Concrete Containing Waste Polyethylene Terephthalate. Road Mater. Pavement Des. 2019, 20, 381–398. [Google Scholar] [CrossRef]
- Aghayan, I.; Khafajeh, R. Recycling of PET in Asphalt Concrete. Use Recycl. Plast. Eco-Effic. Concr. 2019, 269–285. [Google Scholar] [CrossRef]
- Ahmadinia, E.; Zargar, M.; Karim, M.R.; Abdelaziz, M.; Shafigh, P. Using Waste Plastic Bottles as Additive for Stone Mastic Asphalt. Mater. Des. 2011, 32, 4844–4849. [Google Scholar] [CrossRef]
- Moghaddam, T.B.; Karim, M.R.; Soltani, M. Utilization of Waste Plastic Bottles in Asphalt Mixture. J. Eng. Sci. Technol. 2013, 8, 264–271. [Google Scholar]
- Yildirim, I.Z.; Prezzi, M. Use of Steel Slag in Subgrade Applications; Purdue University Press: West Lafayette, IN, USA, 2009. [Google Scholar] [CrossRef]
- Mukheed, M.; Khan, A. Plastic Pollution in Pakistan: Environmental and Health Implications. J. Pollut. Eff. Control 2020, 8, 251. [Google Scholar] [CrossRef]
- Luan, Y.; Zhang, W.; Zhao, Y.; Pan, Z.; Niu, Z.; Zeng, K.; Chen, X.; Mohammad, L.N. Mechanical Property Evaluation for Steel Slag in Asphalt Mixture with Different Skeleton Structures Using Modified Marshall Mix Design Methodology. J. Mater. Civ. Eng. 2022, 34, 04021382. [Google Scholar] [CrossRef]
- Venkatachalam, S.; Nayak, S.G.; Labde, J.V.; Gharal, P.R.; Rao, K.; Kelkar, A.K.; Venkatachalam, S.; Nayak, S.G.; Labde, J.V.; Gharal, P.R.; et al. Degradation and Recyclability of Poly (Ethylene Terephthalate). In Polyester; Saleh, H., Ed.; IntechOpen: London, UK, 2012. [Google Scholar] [CrossRef]
- Di Lorenzo, M.L. Crystallization of Poly(Ethylene Terephthalate): A Review. Polymers 2024, 16, 1975. [Google Scholar] [CrossRef] [PubMed]
- Ali, T.; Iqbal, N.; Ali, M. Sustainability Assessment of Bitumen with Polyethylene as Polymer. IOSR J. Mech. Civ. Eng. 2013, 10, 1–6. [Google Scholar] [CrossRef][Green Version]
- Kalantar, Z.N.; Karim, M.R.; Mahrez, A. A Review of Using Waste and Virgin Polymer in Pavement. Constr. Build. Mater. 2012, 33, 55–62. [Google Scholar] [CrossRef]
- Al-Haydari, I.S.; Al-Haidari, H.S. Mechanical Properties of Polyethylene Terephthalate-Modified Pavement Mixture. IOP Conf. Ser. Mater. Sci. Eng. 2020, 870, 012073. [Google Scholar] [CrossRef]
- Wu, H.; Ji, X.; Song, W.; Deng, Z.; Zhan, Y.; Zou, X.; Li, Q.; He, F. Multi-Scale Analysis on Fracture Behaviors of Asphalt Mixture Considering Moisture Damage. Constr. Build. Mater. 2024, 416, 135234. [Google Scholar] [CrossRef]
- Kim, S.; Coree, B.J. Evaluation of Hot Mix Asphalt Moisture Sensitivity Using the Nottingham Asphalt Test Equipment; Iowa State University, Center for Transportation Research and Education: Ames, IA, USA, 2005. [Google Scholar]
- Júnior, J.L.O.L.; De Albuquerque Lima Babadopulos, L.F.; Soares, J.B. Influence of Aggregate–Binder Adhesion on Fatigue Life of Asphalt Mixtures. J. Test. Eval. 2020, 48, 150–160. [Google Scholar] [CrossRef]
- Liu, S.; Zhang, Z.; Wang, R. Performance Evaluation of Asphalt Concrete Incorporating Steel Slag Powder as Filler under the Combined Damage of Temperature and Moisture. Sustainability 2023, 15, 14653. [Google Scholar] [CrossRef]
- Xiao, R.; Shen, Z.; Polaczyk, P.; Huang, B. Thermodynamic Properties of Aggregate Coated by Different Types of Waste Plastic: Adhesion and Moisture Resistance of Asphalt-Aggregate Systems. J. Mater. Civ. Eng. 2023, 35, 04023261. [Google Scholar] [CrossRef]
- Liu, Z.; Wang, H.; Chen, J.; Cui, P. Adhesive and Cohesive Cracking Analysis of Asphalt Mastics in Contact with Steel Substrates Using an Energy-Based Crack Initiation Criterion. Sustainability 2023, 15, 4415. [Google Scholar] [CrossRef]
- Breakah, T.M.; Williams, R.C. Stochastic Finite Element Analysis of Moisture Damage in Hot Mix Asphalt. Mater. Struct. Constr. 2015, 48, 93–106. [Google Scholar] [CrossRef][Green Version]
- Sun, L. Structural Behavior of Asphalt Pavements; ScienceDirect: Amsterdam, The Netherlands, 2016. [Google Scholar]
- Movilla-Quesada, D.; Raposeiras, A.C.; Guíñez, E.; Frechilla-Alonso, A. A Comparative Study of the Effect of Moisture Susceptibility on Polyethylene Terephthalate-Modified Asphalt Mixes under Different Regulatory Procedures. Sustainability 2023, 15, 14519. [Google Scholar] [CrossRef]
- Agha, N.; Hussain, A.; Ali, A.S.; Qiu, Y. Performance Evaluation of Hot Mix Asphalt (HMA) Containing Polyethylene Terephthalate (PET) Using Wet and Dry Mixing Techniques. Polymers 2023, 15, 1211. [Google Scholar] [CrossRef] [PubMed]
Disclaimer/Publisher’s Note: The statements, opinions and data contained in all publications are solely those of the individual author(s) and contributor(s) and not of MDPI and/or the editor(s). MDPI and/or the editor(s) disclaim responsibility for any injury to people or property resulting from any ideas, methods, instructions or products referred to in the content. |
© 2025 by the authors. Licensee MDPI, Basel, Switzerland. This article is an open access article distributed under the terms and conditions of the Creative Commons Attribution (CC BY) license (https://creativecommons.org/licenses/by/4.0/).









