You are currently viewing a new version of our website. To view the old version click .
Processes
  • Feature Paper
  • Editor’s Choice
  • Article
  • Open Access

1 September 2025

Characterization of Cadmium Removal Processes from Seawater by the Living Biomass of Three Microalgae with Different Tolerance to This Metal

and
Laboratorio de Microbiología, Facultad de Ciencias, Universidade da Coruña, Campus de A Zapateira, 15071 A Coruña, Spain
*
Author to whom correspondence should be addressed.
This article belongs to the Special Issue Microbial Bioremediation of Environmental Pollution (2nd Edition)

Abstract

Pollution of the marine environment is a current problem. One of the main pollutants is cadmium. This heavy metal is toxic for living beings. For this reason, the removal of cadmium from seawater solutions is a relevant problem. However, there are few studies on the elimination of this metal in seawater. Biosorption is a technique that uses the properties of living or dead biomass to remove pollutants from solutions in an efficient and environmentally friendly way. Microalgal biomass has shown good results in this field. In this work, the ability of the living biomass of three species of marine microalgae (Phaeodactylum tricornutum, Tetraselmis suecica and Dunaliella salina) to remove cadmium from seawater was studied. Growth, kinetics, equilibrium isotherms, cadmium adsorbed to the cell surface and intracellular cadmium were studied. The efficiency of the three species in removing cadmium was compared, showing significant differences both in kinetics and in amount of cadmium removed. After 96h P. tricornutum was able to remove 27.48 ± 1.05 milligrams of cadmium per gram of biomass, T. suecica 78.11 ± 2.08 and D. salina 10.72 ± 0.28. The percentage of cadmium removed by adsorption was higher than the intracellular, except for the lowest cadmium concentrations in P. tricornutum and T. suecica.

1. Introduction

Marine pollution continues to be a current problem [1,2,3]. The destination of most pollutants is the sea. Rivers and effluents that discharge their waters into the sea carry large quantities of pollutants, which endanger marine ecosystems and their resources. Many pollutants can accumulate in seafood, making it dangerous to eat. Furthermore, seawater itself can be a direct source of pollutants for humans due to the many uses that seawater has today in human activities. Thus, among the many applications of seawater, those related to health care, cooking and culture systems (aquaculture) stand out. For this reason, studies to reduce pollution of the marine environment or for the decontamination treatment of waters of marine origin so that they can be used for the different purposes are necessary. However, the marine environment or waters taken from it often receive less attention than the environment or waters of continental origin in relation to the elimination of pollutants, hence the need to increase the number of studies dealing with this subject.
Heavy metals are some of the most important pollutants in natural environments. Due to the widespread use of these elements in modern society, their levels in natural environments, including marine environments, have increased in recent decades [4,5]. Of particular relevance is cadmium, which is a non-essential metal and is known for its toxicity to living beings [6,7]. Although the effects of cadmium on human health are well known [8], new important toxic effects on humans have recently been revealed [9]. For this reason, the removal of this metal from the marine environment or from seawater intended for different applications is of great importance.
Although a variety of techniques and strategies are available to remove pollutants from aquatic environments [10,11,12,13], biosorption is a technique that is currently receiving much attention for the removal of pollutants from these media [14]. Biosorption is considered an efficient and environmentally friendly technique. This technique uses biomass of different types to remove pollutants through their interaction with the different structures that make up said biomass. Today, biosorption is a well-established technique for removing pollutants, with numerous developments to improve its efficiency. The biomass used for this purpose includes waste materials, plant and macroalgae derivatives, biochar, microbial biomass, etc. [15,16,17,18]. Some of these biomasses or derivatives are even modified with newly manufactured materials to make them more efficient [19].
There are two strategies for using biomass in a biosorption process: dead biomass and living biomass. Each of these strategies has its advantages and disadvantages. For example, dead biomass is not affected by the toxicity of a particular pollutant and can be used with high concentrations of that pollutant. Furthermore, this type of biomass could be more easily regenerated for use in multiple cycles, although this regeneration involves loss of biomass and a possible increase in costs. However, in this form of biomass, the removal of a pollutant occurs only through adsorption to exposed surfaces. In contrast, with living biomass, a pollutant can interact in several ways. In this case, in addition to adsorption, a pollutant can be removed by bioaccumulation in the cell interior or can undergo biotransformation due to cellular metabolism, so the chances of increasing the removal efficiency may be greater. However, living biomass has the problem of toxicity, which limits the maximum concentration of pollutant that can be efficiently removed. For these reasons, to determine the efficiency of a removal process using living biomass, biosorption studies must be complemented with toxicity studies.
Of particular interest is the biomass derived from microalgae because many studies indicate that this biomass offers good results in the removal of pollutants [20,21,22,23]. In fact, the removal of cadmium ions from aqueous solutions by microalgae is well demonstrated [24,25]. The living biomass of microalgae is not only able to remove this metal by adsorption to the cell surface, but also this biomass is able to bioaccumulate said metal inside the cell, increasing the amount of metal removed. An additional advantage of this microalgal biomass is that it can subsequently be used in biorefineries or in other treatments, allowing the production of other economically valuable products or even the recovery of cadmium [26,27,28].
However, not all microalgal species are equally efficient in removing cadmium when used as living biomass. Knowing and having the most efficient species is necessary in order to use this biomass in a successful removal process. The sensitivity of microalgal species to cadmium toxicity and their structural and biochemical characteristics are important factors in determining the efficiency of this process. For these reasons, in this work the efficiency of the living biomass of three microalgal species with different sensitivities to cadmium toxicity and different structural and biochemical characteristics was studied for the removal of this metal from seawater. The process was characterized for each microalgal species under the same environmental conditions (culture conditions) and with the same initial amount of biomass. The efficiency of the three microalgae was discussed in relation to cadmium toxicity and in relation to the structural and metabolic characteristics of the microalgal species tested.

2. Materials and Methods

2.1. Reagents

All the reagents used in this work were of analytical grade. CdCl2, NaOH, HCl, ammonium formate (NH4HCO2), HNO3 HClO4 and EDTA (ethylenediaminetetraacetic acid) were obtained from Sigma-Aldrich (St. Louis, MO, USA).

2.2. Seawater

The seawater used in these experiments was natural seawater. This natural seawater was obtained from the Bay of A Coruña (Spain) (43°22′3.7356″ N, 8°23′35.8599″ W). The seawater was first filtered through a 0.45 µm pore size filter. The filtered seawater was then passed through an activated carbon column to remove chelating organic substances. Finally, the seawater was autoclaved at 121 °C for 20 min before use in the experiments. The salinity of the seawater was 36 ± 0.4 ‰ and the pH was 8.2 ± 0.1, adjusted with HCl or NaOH when necessary.

2.3. Cadmium Stock Solution

A stock solution of CdCl2 was prepared in deionized water with a concentration of 10 g L−1 of cadmium.

2.4. Microalgal Biomass

The three microalgal species used in the experiments were Phaeodactylum tricornutum Bohlin, Tetraselmis suecica (Kylin) Butch and Dunaliella salina Teod. Each of these microalgae was grown in the sterilized natural seawater enriched with ALGAL culture medium at 18 ± 2 °C, with an illumination of 65 μmol photons m−2 s−1 and a 12:12 h light-dark cycle. These cultures constituted the stock cultures from which the microalgal biomass for the experiments was obtained.

2.5. Biosorption Experiments

The cultures of the microalgae in the biosorption assays were carried out in 250 mL bottles for 96 h under axenic conditions. The cultures were incubated in a culture chamber with artificial light at 65 μmol photons m−2 s−1 and a 12:12 h light-dark cycle. The bottles were shaken twice every 24 h. All experiments were conducted using the sterilized natural seawater without added nutrients and with an initial amount of living biomass equivalent to 20 mg L−1 expressed as dry weight. This biomass was obtained from the stock cultures during the exponential phase. To determine the volume that had to be taken from the stock cultures, cell density was determined by counting an aliquot under a microscope in a Neubauer chamber (BRAND GMBH + CO KG, Germany). Using this count and the dry cell weight corresponding to each microalga, the necessary volume of the stock culture was determined to obtain the initial amount of biomass in a final volume of 200 mL of seawater. An appropriate volume of the cadmium stock solution was previously added to the seawater to obtain the tested concentrations of this metal, which were 0.5, 1, 2.5, 5, 10, 20, 30, 40, 50, 60, 70, 80 and 100 mg L−1. Control cultures without cadmium were also included. All cadmium concentrations tested were nominal. All experiments were performed in triplicate. Every 24 h a sample was taken from each culture for the different determinations.

2.6. Determination of Dry Weight

A volume of each culture was filtered through a 0.45 µm pore-sized cellulose acetate filter, which was initially weighed (initial weigh) on a precision balance. After filtration, an equivalent volume of a 1% ammonium formate solution was passed through the filter to remove salts from the seawater. The filter was placed in an oven at 65 °C for 24 h. After this time, the filter was weighed again (final weight). The amount of biomass per unit of volume was obtained by considering the filtered volume and the difference between the final weight of the filter and the initial weight.

2.7. Measurement of Growth

The growth of the microalgal cultures was determined daily by measuring dry weight. The toxic effect of cadmium on growth was determined at 96 h of culture using the EC50 value. This value was calculated using the percentage of inhibition of the cultures exposed to the different cadmium concentrations relative to the control without cadmium. A dose-response curve was constructed, which was adjusted to the Hill equation. The EC50 for each species of microalga was obtained from this equation.

2.8. Measurement of Cadmium Concentration

The concentration of cadmium present in the samples was measured by ICP-MS using a VG Elemental Plasma Quad 2 ICP-MS instrument (Thermo Fisher Scientific, Waltham, MA, USA).

Determination of the Different Fractions of Removed Cadmium Associated with the Microalgae

The cadmium removed by the microalgae was divided into three fractions:
  • total cadmium removed
  • cadmium removed intracellularly
  • cadmium bioadsorbed to the cell surface
An aliquot of each culture was taken and centrifuged at 3500× g for 10 min. The supernatant was used to determine total cadmium removed and the pellet was used to determine intracellular and adsorbed cadmium, as will be indicated below. Total removed cadmium was calculated as the difference between the cadmium initially added to the culture and the cadmium determined in the supernatant.
For the determination of intracellular cadmium, the pellet was resuspended in seawater with 0.02 M EDTA in order to remove cadmium adsorbed to the microalgal surface. This solution was kept in agitation for 20 min. After this time, the solution was centrifuged again and the pellet was resuspended in seawater. After further centrifugation, the pellet was digested for 24 h with 1 mL of 15 M HNO3 and 0.5 mL of 72% HClO4. After digestion, the sample was suitably diluted with deionized water to determine cadmium.
The cadmium bioadsorbed to the cell surface was determined by the difference between total cadmium removed minus intracellular cadmium.

2.9. Kinetics

The data obtained for cadmium removal over time were fitted to two kinetic models widely used in biomass pollutant removal processes, the pseudo-first and pseudo-second order kinetics, whose equations are included in Table 1. The purpose of these adjustments was to find the model that best described the kinetics of the cadmium removal process by each microalga.
Table 1. Equations of the kinetic and isotherm models used in this study.

2.10. Isotherms

The data obtained from the total cadmium removed at 96 h of exposure to this metal for each of the three microalgal species tested were analyzed using different isotherm models (Table 1) to characterize the process and determine the ability of each of the microalgae to remove cadmium.

2.11. Statistical Analysis

All assays were performed in triplicate and the results are shown as mean ± standard deviation. The data were fitted to the kinetic and isotherm models using nonlinear regression. The radj2 coefficient was used as a measure of goodness of fit. To verify statistically significant differences between groups, one-way or two-way ANOVA (Analysis of Variance) tests were used. When differences were significant, Tukey’s test was used to determine which groups differed from each other. The value of α = 0.05 was established as the significance level. In all cases, the requirements for ANOVA were verified. Statistical analyses were performed using IBM SPSS software (version 29.0.1.0) (IBM Corp, Armonk, NY, USA).

3. Results

3.1. Growth Under Cadmium Exposure

The three species of microalgae tested under the same experimental conditions showed inhibition in their growth after 96 h of exposure to cadmium (Figure 1). This inhibition was proportional to the initial cadmium concentration in the medium.
Figure 1. Growth curves and their corresponding dose-response curve at 96 h of culture of the three microalgae exposed to the same initial cadmium concentrations (0–100 mg L−1) and same culture conditions.
Figure 1 shows that as the initial concentration of this metal increased, growth inhibition increased since the final concentration of the biomass obtained after 96 h of exposure was lower. This inhibition was statistically significant for the three microalgae species. The ANOVA test for the biomass concentration values obtained at 96 h for the cadmium concentrations tested indicated that the differences obtained were significant for the three microalgal species (F13,28 = 216.01, p < 0.0001 for P. tricornutum; F13,28 = 254.70, p < 0.0001 for T. suecica; and F13,28 = 85.91, p < 0.0001 for D. salina). However, the three microalgae showed different degrees of sensitivity to cadmium toxicity. The microalga with the greatest sensitivity to cadmium toxicity was T. suecica, with an EC50 value at 96 h of 2.38 ± 0.07 mg L−1 of cadmium. An initial cadmium concentration of only 0.5 mg L−1 caused a significant inhibition in the final amount of biomass of this microalga and total growth inhibition was obtained from a concentration of 20 mg L−1. In contrast, the microalga with the highest tolerance to cadmium toxicity was D. salina with a EC50 value at 96 h of 34.32 ± 1.62 mg cadmium L−1. In this microalga, significant growth inhibition began at a cadmium concentration of 20 mg L−1 and complete inhibition was achieved from an initial cadmium concentration of 60 mg L−1. The P. tricornutum species showed intermediate sensitivity to cadmium. The EC50 value obtained for this species was 18.62 ± 0.84 mg cadmium L−1. Significant growth inhibition was obtained from a cadmium concentration of 5 mg L−1 and total growth inhibition was obtained from an initial cadmium concentration of 50 mg L−1.

3.2. Study of Cadmium Removal by the Three Microalgal Species

3.2.1. Total Cadmium Removed

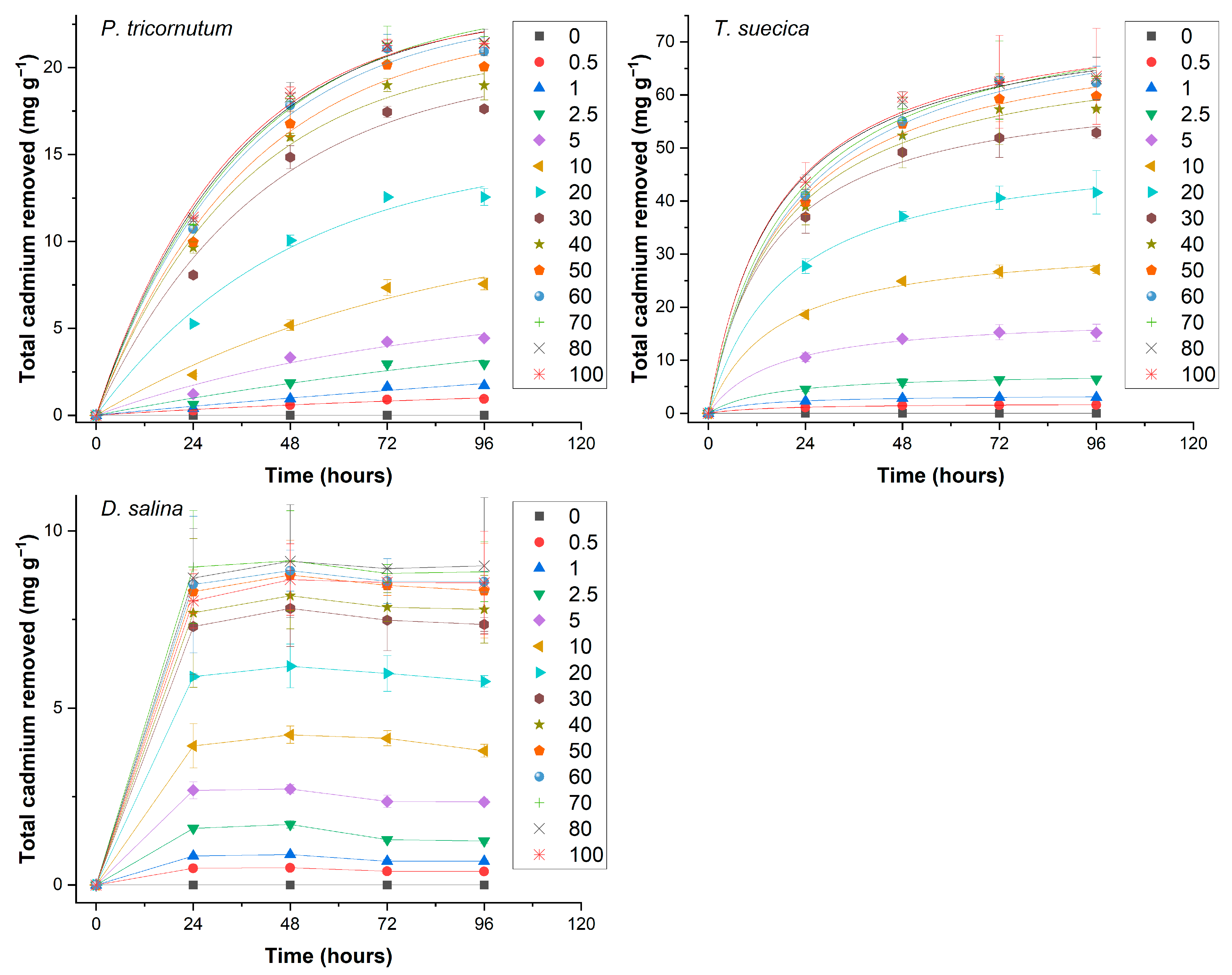
The three tested microalgae species were able to remove cadmium after 96 h of exposure to the metal (Figure 2). As exposure time progressed, the amount of cadmium removed per unit of biomass increased in the three species of microalgae; however, the kinetics of removal were different in the three species. D. salina was the species that removed cadmium most rapidly, reaching the maximum amount removed at 48 h, followed by a reduction in the amount of cadmium removed. In contrast, P. tricornutum and T. suecica reached the maximum amount of cadmium removed at 72 h, remaining constant until 96 h. However, there was a difference between both microalgae, T. suecica removed cadmium more rapidly because in this microalga the removal process followed a pseudo-second order kinetics at all cadmium concentrations (radj2 = 0.99383–0.99872), while P. tricornutum removed cadmium following a pseudo-first order kinetics (radj2 = 0.96019–0.99393).
Figure 2. Evolution over the culture time of the total cadmium removed per unit of biomass by the three species of microalgae tested at the different initial cadmium concentrations (0–100 mg L−1). The data for P. tricornutum and T. suecica were fitted to pseudo-first and pseudo-second order kinetics, respectively. The data for D. salina were not fitted to any kinetic model.
Table 2 shows the percentage of cadmium removed by the three species of microalga tested at 96 h of exposure. The two-way ANOVA (considering as factors: microalga species and initial cadmium concentration) and Tukey’s test showed that the percentage of total cadmium removed was significantly different in the three microalgae species (F2,84 = 1116.89, p < 0.0001). The microalga that was able to remove the highest amount of cadmium from the medium after 96 h was T. suecica, in which the removal percentage was the highest at all cadmium concentrations tested. The next microalga with the highest percentage of removed cadmium was P. tricornutum and, finally, the microalga that removed the least amount of cadmium was D. salina. For the three microalgae species, the percentage of removed cadmium decreased significantly with increasing initial cadmium concentration (F13,84 = 659.44, p < 0.0001). Furthermore, a significant interaction between the two factors was found (F26,84 = 93.02, p < 0.0001). This interaction was verified at the highest cadmium concentrations, where the microalgae T. suecica and P. tricornutum were able to remove a higher percentage of cadmium than expected.
Table 2. Percentage of cadmium removed by the three microalgae at 96 h of exposure.

3.2.2. Intracellular Cadmium

The three microalgae species removed cadmium intracellularly. Figure 3 shows the evolution over exposure time of the amount of cadmium removed intracellularly per unit of biomass. The removal kinetics was similar in T. suecica and P. tricornutum; in both microalgae, the data fitted better to a pseudo-first order kinetics (radj2 = 0.90971–0.99345) in all cadmium concentrations tested. The maximum amount of intracellular cadmium was reached at 72 h of culture in P. tricornutum and T. suecica and this amount remained constant until 96 h. However, in D. salina the kinetics were very different. In this microalga, the maximum amount of intracellular cadmium was reached at 48 h of culture. After this time, the amount of intracellular cadmium clearly decreased until reaching 96 h of culture. The data from this microalga did not fit any of the kinetic models used in this work.
Figure 3. Evolution of the amount of cadmium removed intracellularly per unit of biomass in the three microalgae species at the different initial cadmium concentrations (0–100 mg L−1). The data for P. tricornutum and T. suecica were fitted to a pseudo-first order kinetics. The data for D. salina were not fitted to any kinetic model.
The amount of cadmium removed intracellularly was different when comparing the three microalgae species. Thus, the percentage of cadmium removed intracellularly after 96 h of culture is shown in Table 3. Two-way ANOVA (factors: microalgae species and initial cadmium concentration) and Tukey’s test showed that the percentage of cadmium removed intracellularly was significantly different in the three microalgae species (F2,84 = 2696.75, p < 0.0001). The species that removed the highest amount of cadmium intracellularly was T. suecica, followed by P. tricornutum and, finally, D. salina was the one that acquired the least amount of cadmium intracellularly after 96 h. The percentage of cadmium removed intracellularly also decreased significantly (F13,84 = 1546.23, p < 0.0001) with the increase in the initial concentration of the metal. In this case, a significant interaction between the two factors was also found (F26,84 = 357.69, p < 0.0001). D. salina removed more cadmium intracellularly than expected.
Table 3. Percentage of cadmium removed intracellularly by the three species of microalgae at 96 h of exposure.

3.2.3. Adsorbed Cadmium

Figure 4 shows the evolution over exposure time of the amount of cadmium adsorbed to the cell surface per unit of biomass. As can be seen in this figure, both the kinetics and the amounts of cadmium adsorbed to the cell surface were also different in the three microalgal species.
Figure 4. Evolution over time of the amount of cadmium adsorbed to the cell surface in the three species of microalgae at the different initial cadmium concentrations (0–100 mg L−1). The data for P. tricornutum and T. suecica were fitted to a pseudo-first order kinetics. The data for D. salina were not fitted to any kinetic model.
In the case of P. tricornutum, the maximum amount of adsorbed cadmium occurred at 72 h of culture. In T. suecica, the maximum amount occurred at 48 h, while in D. salina, the maximum occurred at 24 h. In both P. tricornutum and T. suecica, the data were significantly fitted to a pseudo-first order kinetics (radj2 = 0.88525–0.99937) in all cadmium concentrations tested. In contrast, in D. salina the data could not be significantly fitted to any of the kinetic models indicated in this work. In this species, adsorption reaches its maximum after only 24 h and remains constant until the end of the exposure time.
The percentage of cadmium that was removed by adsorption to the surface after 96 h of exposure is shown in Table 4. Two-way ANOVA (factors: microalgae and initial cadmium concentration) and Tukey’s test showed that this percentage was significantly different among the three microalgae species (F2,84 = 2022.21, p < 0.0001). The microalga that removed the highest amount of cadmium through adsorption to the cell surface was T. suecica. The next was P. tricornutum, while D. salina was the microalga that removed the least amount of cadmium through adsorption. In the three microalgal species, the percentage of adsorbed cadmium also decreased significantly (F13,84 = 1490.64, p < 0.0001) as the initial cadmium concentration in the medium increased. In this case, the interaction was not significant (F26,84 = 59.3, p = 0.052).
Table 4. Percentage of cadmium removed by adsorption to the cell surface at 96 h of exposure.

3.2.4. Comparison Between the Fractions of Cadmium Removed

Comparing the cadmium removed in both cellular compartments in the three microalgae, different behaviors can be observed. In the case of P. tricornutum, the cadmium removed intracellularly was significantly higher than the cadmium adsorbed to the cell surface up to the concentration of 2.5 mg L−1 of cadmium. Above this concentration, cadmium removed at the cell surface was higher than intracellular cadmium. This behavior was similar in T. suecica. However, this dynamic was different in D. salina, the cadmium removed intracellularly was always clearly lower than the cadmium removed at the cell surface at all cadmium concentrations tested.

3.3. Results of Isotherm Analysis

The analysis of the equilibrium isotherms was performed with the data obtained at 96 h because at this time an equilibrium was reached in the amount of total cadmium removed by the three species.
Figure 5 shows the data fits to the four isotherm models studied for each of the microalgae and Table 5 shows the parameters derived from these fits. As can be seen in this table, the Langmuir isotherm was the one that best fit the experimental data in the three microalgae because it was the isotherm that obtained the highest radj2 values. Considering this isotherm, the maximum cadmium removal capacities were 27.48 ± 1.05 mg g−1 for P. tricornutum, 78.11 ± 2.08 mg g−1 for T. suecica and 10.72 ± 0.28 mg g−1 for D. salina. These results indicate that the microalga T. suecica was the microalga that had the highest capacity to remove this metal, followed by P. tricornutum and then by D. salina. This higher sufficiency of T. suecica is also supported by the Freundlich isotherm constant KF, which is considered as a measure of the affinity of the biomass for the sorbate. T. suecica was the microalga that had the highest value for this parameter. In the three species, the value of the constant 1/n of this model (which was always <1) indicated favorable removal and heterogeneous material. From the Temkin isotherm it can be deduced that the cadmium removal process by these microalgae was spontaneous and exothermic. Finally, the Ed value of the Dubinin–Radushkevich isotherm was less than 8 kJ mol−1, which indicates that the main mechanism involved in cadmium biosorption by these microalgae is related to physisorption, mainly ion exchange. These values make sense despite using living biomass because most of the cadmium was removed by adsorption.
Figure 5. Equilibrium isotherm models with the experimental data obtained for the removal of cadmium by the three microalgal species.
Table 5. Parameters derived from equilibrium data fits to isotherm models.

4. Discussion

The use of biosorption for pollutant removal from aqueous solutions offers numerous advantages. These advantages include the fact that this technique is generally considered economical and environmentally friendly. For this reason, studies to assess the ability of different biomasses to remove pollutants are necessary in order to have the appropriate biomass for each application. To date, numerous studies have been published using both living and dead microalgal biomass for this purpose, demonstrating the excellent characteristics of this biomass to remove pollutants [21,36,37,38]. However, the biosorption properties of microalgal biomass depend, among other factors, on the species. Microalgal species differ in biochemical composition and metabolic activities [39,40], parameters that have an influence on the biosorption capacity. The different biochemical composition is reflected in the presence of different functional groups that have a different performance in terms of binding pollutants [41,42]. In this sense, biochemical composition influences biosorption properties when dead biomass is used, while biochemical composition and metabolic activity have an influence when living biomass is used. In this work, the capacity of the living biomass of three different species of microalgae to remove cadmium was compared under the same experimental conditions. Although the three species correspond to microalgal biomass, their maximum capacities to remove this metal were very different, as can be demonstrated, for example, by observing the parameters derived from the Langmuir isotherm (Table 5). Furthermore, these microalgae also showed different sensitivity to cadmium toxicity (Figure 1). To interpret these differences in the removed cadmium (differences that are also related to the sensitivity of these species to this metal), it is necessary to consider the results obtained with the two fractions of removed cadmium, intracellular cadmium and adsorbed cadmium.
Regarding adsorbed cadmium, the three microalgal species showed significant differences in the amount absorbed per unit of biomass (Figure 4), which is related to the different biochemical composition of the cell surface of these three microalgae. The microalga that removed the highest amount of cadmium by binding to the cell surface was T. suecica. This microalga has a complex cell wall, even five layers composed of proteins and polysaccharides were described [43,44]. This makes possible the existence of multiple sites that can bind cadmium. In contrast, P. tricornutum has a thinner cell wall, with only three layers and therefore it is expected that there are fewer binding sites for cadmium. Despite this, the main polysaccharide found in this wall is a sulfated glucuronomannan [45,46] that can carry negative charges that allow the binding of cadmium ions. D. salina was the microalga that removed the least amount of cadmium on the cell surface. Precisely, this microalga does not have a rigid cell wall but has a thin elastic plasma membrane made up of glycoproteins and contains neuraminic acid residues [47,48]. Although this structure would imply a less effective surface area for binding cadmium, these compounds have functional groups with affinity for the metal. This would explain why this microalga also had cadmium bound to its surface, although in much smaller quantities.
With respect to the amount of cadmium removed intracellularly, the three species also showed significant differences (Table 3). These differences could be interpreted by taking into account different strategies in the accumulation and detoxification mechanisms of this metal that the three microalgae would have. In microalgae, a well-known response mechanism to the toxic effects of cadmium is the synthesis of phytochelatins (or class III metallothioneins) [49]. These compounds are cysteine-rich peptides, which can have different chain lengths because such compounds are made up of repetitions of the Glu−Cys subunit. Cysteine provides a thiol group that allows the binding of cadmium ions to these peptides, making this metal unavailable inside the cell to exert a toxic effect. The higher the concentration of these peptide molecules within the cell and the longer the chain, the greater the capacity to bind a higher amount of cadmium ions. T. suecica can synthesize phytochelatins of three to six subunits, although the levels of these compounds decrease at cadmium concentrations of 15 and 30 mg L−1 [50]. Furthermore, it is known that in this microalga there is a clear relationship between the amount of thiol compounds and the amount of intracellular cadmium [51]. Precisely, this microalga was the one that accumulated the highest amount of cadmium intracellularly and was also the microalga that showed the greatest sensitivity to cadmium toxicity, with the lowest EC50 value. Cadmium seems to enter more easily into these cells. When cadmium concentrations in the medium are low, this microalga is able to synthesize with sufficient speed the levels of phytochelatins necessary to counteract the toxic effect of cadmium. However, at increasingly higher concentrations of the metal, the intracellular cadmium level would be too high to counteract the toxic effect through the synthesis of phytochelatins. It is important to note that this microalga, despite being the most sensitive to cadmium toxicity, was the most efficient, managing to remove a higher percentage of cadmium (Table 2).
P. tricornutum also bioaccumulated cadmium intracellularly (although in lower amount than in T. suecica) and is also known to be a microalga with a good capacity to synthesize phytochelatins with a high number of subunits. In fact, this microalga is capable of synthesizing phytochelatins with 4–9 subunits, even at a cadmium concentration of 20 mg L−1 [52]. This biosynthetic capacity, and considering that cadmium would enter the cell with greater difficulty than in T. suecica, would allow this microalga to tolerate higher concentrations of this metal, accumulating the metal intracellularly in a harmless manner. In fact, this microalga had an EC50 value of 18.62 ± 0.84 mg cadmium L−1 with the culture conditions already indicated; a value that was slightly lower than that previously known for this species, 19.1 ± 3.5 mg L−1 [53]. Finally, D. salina was the microalga with the lowest amount of cadmium removed intracellularly and, furthermore, the one with the highest EC50 (34.32 ± 1.62 mg cadmium L−1). Considering these two results, it could be concluded that, in this microalga, cadmium would barely enter the cell interior. Resistance to toxicity by this metal would be located at the level of the plasma membrane; therefore, this microalga is considered cadmium-tolerant, but a poor remover of this metal (Table 2), even using different and more favorable culture conditions [54]. However, this would not be the only resistance mechanism; this species is also capable of synthesizing thiol compounds in the presence of cadmium. This microalga could have mechanisms to excrete these cadmium complexes, which would explain the decrease in the amount of intracellular cadmium (Figure 3). This decrease would be accompanied by a decrease in the intracellular content of thiol compounds, a decrease that was also observed in cultures of this microalga exposed to cadmium [54].
The obtained results indicated that the three species of microalgae tested were able to remove cadmium with different efficiency; however, to determine whether the biomasses of these microalgae are efficient in removing cadmium, it would be necessary to compare them with other biomasses under similar conditions. However, the microalgae used in this work are marine microalgae and therefore these experiments are conducted in seawater, unlike the vast majority of biosorption experiments, which are conducted with deionized water. Seawater is a much more complex solution, with very different physicochemical properties, making a comparison of biosorbents under these different conditions meaningless. In fact, some tests to assess the effect of salinity on the biosorption process found a decrease in removal efficiency with increasing salinity [55]. However, salinity is not the only factor that influences cadmium removal in a biosorption process. The presence of other cations, such as calcium and magnesium, which are also abundant in seawater, interferes with the biosorption process of cadmium by competing for binding sites [56]. pH is another factor of great importance in biosorption processes, and in the case of metals, also in their bioavailability. However, pH must be maintained at an optimal value when living systems are used. For this reason, the effect of changes in the pH of the medium was not studied in this work. An average pH considered typical of seawater (around 8.1) was maintained. This is another important difference from typical metal biosorption studies in deionized water solutions, where the pH is typically around 7. The results obtained in most biosorption studies indicate that the optimum pH for cadmium removal is usually between 5 and 6 [57,58,59]. As the pH increases, efficiency decreases due to metal speciation, which leads to the formation of uncharged or even negatively charged cadmium compounds. Therefore, in seawater and at the pH at which the experiments were conducted, 8.2, the conditions for cadmium biosorption were not ideal, but they were more similar to reality. Finally, the presence of organic materials, which can also be abundant in seawater, can also reduce cadmium bioavailability, which would reduce the efficiency of the biosorption process [60]. In this study, despite using natural seawater, this seawater was passed through activated carbon to remove possible organic materials, thus minimizing this effect. In any case, this situation highlights the need to consider the appropriate physicochemical conditions (matrix in which the pollutant is found) to test the characteristics of a good biosorbent.
Although biosorption studies for cadmium removal are abundant, these same studies using seawater are scarce; however, the marine environment is the final destination for many pollutants, hence biosorption studies to remove pollutants in this environment are also a priority. Table 6 shows the cadmium removal efficiency of some biomasses, indicating the medium used to perform the test. This table shows that many sorbents have maximum sorption capacities much higher than those of the microalgae studied in this work. However, it must always be kept in mind that the results obtained with these microalgae were in seawater solutions. Despite the complexity of this solution, as indicated above, the biomass of these microalgae, especially T. suecica, offered good results. The efficiency of this microalgal biomass was even superior to other sorbents in deionized water.
Table 6. Examples of sorbents used to remove cadmium in different solutions.

5. Conclusions

Living microalgae biomass is capable of removing cadmium from seawater polluted with this metal. However, not all biomasses derived from these microorganisms have the same efficiency. The different biochemical compositions and the different metabolic characteristics of the microalgal species have much influence on this efficiency. In fact, the comparison of the efficiency to remove cadmium from seawater by the living biomass of three microalgal species, P. tricornutum, T. suecica and D. salina gave significantly different results with 27.48 ± 1.05, 78.11 ± 2.08 and 10.72 ± 0.28 mg cadmium per g of biomass, respectively. Therefore, T suecica was the microalga that removed the highest amount of cadmium but was the microalga most sensitive to cadmium toxicity. In contrast, D. salina was the microalga most resistant to cadmium toxicity but removed the least amount of metal. Finally, it is necessary to consider that in order to correctly evaluate the efficiency of a biosorbent, the matrix in which the pollutant is dissolved, in this case seawater, must be taken into account. For this reason, the efficiency of these microalgae was evaluated by performing the assays in seawater. Considering the results of this study, the living biomass of the microalga T. suecica may be an economical alternative for removing cadmium from seawater solutions. Therefore, the use of this microalgal biomass is a successful approach to reducing cadmium pollution in aqueous solutions of marine origin through bioremediation. This study contributes to the development of cadmium removal technologies based on the use of microalgal biomass.

Author Contributions

Conceptualization, J.A. and E.T.; methodology, E.T.; validation, J.A. and E.T.; formal analysis, J.A. and E.T.; investigation, J.A. and E.T.; resources, J.A. and E.T.; data curation, J.A. and E.T.; writing—original draft preparation, E.T.; writing—review and editing, J.A. and E.T.; supervision, J.A. and E.T. All authors have read and agreed to the published version of the manuscript.

Funding

This research received no external funding.

Data Availability Statement

The data sets generated during or analyzed during the current study are available from the corresponding author on reasonable request.

Conflicts of Interest

The authors declare no conflicts of interest.

References

  1. Afsa, S.; Hamden, K.; Lara Martin, P.A.; Mansour, H.B. Occurrence of 40 pharmaceutically active compounds in hospital and urban wastewaters and their contribution to Mahdia coastal seawater contamination. Environ. Sci. Pollut. Res. Int. 2020, 27, 1941–1955. [Google Scholar] [CrossRef]
  2. Chidya, R.; Derbalah, A.; Abdel-Dayem, S.; Kaonga, C.; Tsuji, H.; Takeda, K.; Sakugawa, H. Contamination, dynamics, and health risk assessment of pesticides in seawater and marine samples from the Seto Inland Sea, Japan. Environ. Sci. Pollut. Res. Int. 2022, 29, 67894–67907. [Google Scholar] [CrossRef]
  3. Tan, R.H.; Ng, C.C.; Gu, T.; Tek, P.P.Y. Evaluation of potentially toxic elements (PTEs) contamination in seawater, sediment, and sea snails (Nerita articulata and Cerithidea obtusa) from Kukup Fishing Village, Johor, Malaysia. Environ. Monit. Assess. 2025, 197, 565. [Google Scholar] [CrossRef] [PubMed]
  4. Simou, A.; Mrabet, A.; Abdelfattah, B.; Bougrine, O.; Khaddor, M.; Allali, N. Distribution, ecological, and health risk assessment of trace elements in the surface seawater along the littoral of Tangier Bay (Southwestern Mediterranean Sea). Mar. Pollut. Bull. 2024, 202, 116362. [Google Scholar] [CrossRef] [PubMed]
  5. Maeyouf, H.; Khattab, R.A.; Temraz, T.; Sami, M.; Ali, I.; Imanova, G. Heavy metal contamination in seawater, sediments, algae, and fish from Susah and Tobruk, Mediterranean Sea. Water Environ. Res. 2025, 97, e70091. [Google Scholar] [CrossRef] [PubMed]
  6. Azlan, N.B.; Mohamad Zaid, S.S.; Md Zin, S.R. Toxicity effects of cadmium exposure on early development: A review of current evidence. Crit. Rev. Toxicol. 2025, 55, 417–436. [Google Scholar] [CrossRef] [PubMed]
  7. Shao, Y.; Zheng, L.; Jiang, Y. Cadmium toxicity and autophagy: A review. Biometals 2024, 37, 609–629. [Google Scholar] [CrossRef]
  8. Järup, L.; Åkesson, A. Current status of cadmium as an environmental health problem. Toxicol. Appl. Pharmacol. 2009, 238, 201–208. [Google Scholar] [CrossRef]
  9. Zhao, L.; Liao, M.; Li, L.; Chen, L.; Zhang, T.; Li, R. Cadmium activates the innate immune system through the AIM2 inflammasome. Chem. Biol. Interact. 2024, 399, 111122. [Google Scholar] [CrossRef]
  10. Aminzai, M.T.; Yabalak, E.; Kalderis, D.; Gizir, A.M. Environmental remediation of emerging contaminants using subcritical water: A review. J. Environ. Manag. 2024, 366, 121800. [Google Scholar] [CrossRef]
  11. Poornima, S.; Manikandan, S.; Karthik, V.; Balachandar, R.; Subbaiya, R.; Saravanan, M.; Lan Chi, N.T.; Pugazhendhi, A. Emerging nanotechnology based advanced techniques for wastewater treatment. Chemosphere 2022, 303, 135050. [Google Scholar] [CrossRef]
  12. Bajpai, M.; Katoch, S.S.; Kadier, A.; Singh, A. A review on electrocoagulation process for the removal of emerging contaminants: Theory, fundamentals, and applications. Environ. Sci. Pollut. Res. Int. 2022, 29, 15252–15281. [Google Scholar] [CrossRef]
  13. Alulema-Pullupaxi, P.; Espinoza-Montero, P.J.; Sigcha-Pallo, C.; Vargas, R.; Fernandez, L.; Peralta-Hernandez, J.M.; Paz, J.L. Fundamentals and applications of photoelectrocatalysis as an efficient process to remove pollutants from water: A review. Chemosphere 2021, 281, 130821. [Google Scholar] [CrossRef]
  14. Torres, E. Biosorption: A Review of the Latest Advances. Processes 2020, 8, 1584. [Google Scholar] [CrossRef]
  15. Li, N.; Zhu, F.; Wang, Z.; Wu, J.; Gao, Y.; Li, K.; Zhao, C.; Wang, X. Harnessing corn straw biochar: A breakthrough in eco-friendly Cu(II) wastewater treatment. Waste Manag. 2025, 197, 25–34. [Google Scholar] [CrossRef]
  16. Zhao, M.; Zou, G.; Li, Y.; Pan, B.; Wang, X.; Zhang, J.; Xu, L.; Li, C.; Chen, Y. Biodegradable microplastics coupled with biochar enhance Cd chelation and reduce Cd accumulation in Chinese cabbage. Biochar 2025, 7, 31. [Google Scholar] [CrossRef]
  17. Abdulwahid, K.D. Phytoremediation of Cadmium Pollutants in Wastewater by Using Ceratophyllum demersum L. as an Aquatic Macrophytes. Water Conserv. Manag. 2023, 7, 83–88. [Google Scholar] [CrossRef]
  18. Fouda-Mbanga, B.G.; Velempini, T.; Pillay, K.; Tywabi-Ngeva, Z. Heavy metals removals from wastewater and reuse of the metal loaded adsorbents in various applications: A review. Hybrid. Adv. 2024, 6, 100193. [Google Scholar] [CrossRef]
  19. Sahu, U.K.; Ji, W.; Liang, Y.; Ma, H.; Pu, S. Mechanism enhanced active biochar support magnetic nano zero-valent iron for efficient removal of Cr(VI) from simulated polluted water. J. Environ. Chem. Eng. 2022, 10, 107077. [Google Scholar] [CrossRef]
  20. González, V.; Abalde, J.; Torres, E. Discoloration and biosorption of Brilliant green dye in seawater using living biomass of the microalga Phaeodactylum tricornutum. J. Appl. Phycol. 2024, 36, 1823–1835. [Google Scholar] [CrossRef]
  21. Fernández, D.; Abalde, J.; Torres, E. The Biosorption Capacity of the Marine Microalga Phaeodactylum tricornutum for the Removal of Toluidine Blue from Seawater. Toxics 2024, 12, 277–293. [Google Scholar] [CrossRef] [PubMed]
  22. Ubando, A.T.; Africa, A.D.M.; Maniquiz-Redillas, M.C.; Culaba, A.B.; Chen, W.H.; Chang, J.S. Microalgal biosorption of heavy metals: A comprehensive bibliometric review. J. Hazard. Mater. 2021, 402, 123431. [Google Scholar] [CrossRef]
  23. Santaeufemia, S.; Abalde, J.; Torres, E. Efficient removal of dyes from seawater using as biosorbent the dead and living biomass of the microalga Phaeodactylum tricornutum: Equilibrium and kinetics studies. J. Appl. Phycol. 2021, 33, 3071–3090. [Google Scholar] [CrossRef]
  24. Chandrashekharaiah, P.S.; Sanyal, D.; Dasgupta, S.; Banik, A. Cadmium biosorption and biomass production by two freshwater microalgae Scenedesmus acutus and Chlorella pyrenoidosa: An integrated approach. Chemosphere 2021, 269, 128755. [Google Scholar] [CrossRef]
  25. Chen, C.Y.; Chang, H.W.; Kao, P.C.; Pan, J.L.; Chang, J.S. Biosorption of cadmium by CO2-fixing microalga Scenedesmus obliquus CNW-N. Bioresour. Technol. 2012, 105, 74–80. [Google Scholar] [CrossRef] [PubMed]
  26. de Morais, E.G.; da Silveira, J.T.; Schüler, L.M.; de Freitas, B.C.B.; Costa, J.A.V.; de Morais, M.G.; Ferrer, I.; Barreira, L. Biomass valorization via pyrolysis in microalgae-based wastewater treatment: Challenges and opportunities for a circular bioeconomy. J. Appl. Phycol. 2023, 35, 2689–2708. [Google Scholar] [CrossRef]
  27. Okeke, E.S.; Ejeromedoghene, O.; Okoye, C.O.; Ezeorba, T.P.C.; Nyaruaba, R.; Ikechukwu, C.K.; Oladipo, A.; Orege, J.I. Microalgae biorefinery: An integrated route for the sustainable production of high-value-added products. Energy Convers. Manag. X 2022, 16, 100323. [Google Scholar] [CrossRef]
  28. Tripathi, S.; Kairamkonda, M.; Gupta, P.; Poluri, K.M. Dissecting the molecular mechanisms of producing biofuel and value-added products by cadmium tolerant microalgae as sustainable biorefinery approach. Chem. Eng. J. 2023, 454, 140068. [Google Scholar] [CrossRef]
  29. Lagergren, S. About the theory of so-Called adsorption of soluble substance. Handlingar 1898, 24, 1–39. [Google Scholar]
  30. Langmuir, I. The adsorption of gases on plane surfaces of glass, mica and platinum. J. Am. Chem. Soc. 1918, 40, 1361–1403. [Google Scholar] [CrossRef]
  31. Blanchard, G.; Maunaye, M.; Martin, G. Removal of heavy metals from waters by means of natural zeolites. Water Res. 1984, 18, 1501–1507. [Google Scholar] [CrossRef]
  32. Freundlich, H.M.F. Over the adsorption in solution. J. Phys. Chem. 1906, 57, 385–470. [Google Scholar]
  33. Temkin, M.J.; Pyzhev, V. Recent modifications to Langmuir isotherms. Acta Physiochimica URSS 1940, 12, 217–225. [Google Scholar]
  34. Chu, K.H. Revisiting the Temkin Isotherm: Dimensional Inconsistency and Approximate Forms. Ind. Eng. Chem. Res. 2021, 60, 13140–13147. [Google Scholar] [CrossRef]
  35. Dubinin, M.M.; Radushkevich, L.V. Equation of the Characteristic Curve of Activated Charcoal. Proc. Acad. Sci. USSR Phys. Chem. Sect. 1947, 55, 331–333. [Google Scholar]
  36. Seoane, R.; Santaeufemia, S.; Abalde, J.; Torres, E. Efficient Removal of Methylene Blue Using Living Biomass of the Microalga Chlamydomonas moewusii: Kinetics and Equilibrium Studies. Int. J. Environ. Res. Public Health 2022, 19, 16. [Google Scholar] [CrossRef]
  37. Zada, S.; Lu, H.; Khan, S.; Iqbal, A.; Ahmad, A.; Ahmad, A.; Ali, H.; Fu, P.; Dong, H.; Zhang, X. Biosorption of iron ions through microalgae from wastewater and soil: Optimization and comparative study. Chemosphere 2021, 265, 129172. [Google Scholar] [CrossRef]
  38. Xiong, J.Q.; Kurade, M.B.; Jeon, B.H. Can Microalgae Remove Pharmaceutical Contaminants from Water? Trends Biotechnol. 2018, 36, 30–44. [Google Scholar] [CrossRef]
  39. Dimopoulou, M.; Kolonas, A.; Stagos, D.; Gortzi, O. A Review of the Sustainability, Chemical Composition, Bioactive Compounds, Antioxidant and Antidiabetic Activity, Neuroprotective Properties, and Health Benefits of Microalgae. Biomass 2025, 5, 11. [Google Scholar] [CrossRef]
  40. Pereira, H.; Custódio, L.; Rodrigues, M.J.; De Sousa, C.B.; Oliveira, M.; Barreira, L.; Neng, N.D.R.; Nogueira, J.M.F.; Alrokayan, S.A.; Mouffouk, F.; et al. Biological Activities and Chemical Composition of Methanolic Extracts of Selected Autochthonous Microalgae Strains from the Red Sea. Mar. Drugs 2015, 13, 3531–3549. [Google Scholar] [CrossRef]
  41. Gao, J.F.; Zhang, Q.; Wang, J.H.; Wu, X.L.; Wang, S.Y.; Peng, Y.Z. Contributions of functional groups and extracellular polymeric substances on the biosorption of dyes by aerobic granules. Bioresour. Technol. 2011, 102, 805–813. [Google Scholar] [CrossRef]
  42. Cai, J.; Cui, L.; Wang, Y.; Liu, C. Effect of functional groups on sludge for biosorption of reactive dyes. J Environ. Sci 2009, 21, 534–538. [Google Scholar] [CrossRef]
  43. Azma, M.; Mohamad, R.; Rahim, R.A.; Ariff, A.B. Improved Protocol for the Preparation of Axenic Culture and Adaptation to Heterotrophic Cultivation. Open Biotechnol. J. 2010, 4, 36–46. [Google Scholar] [CrossRef]
  44. Kermanshahi-pour, A.; Sommer, T.J.; Anastas, P.T.; Zimmerman, J.B. Enzymatic and acid hydrolysis of Tetraselmis suecica for polysaccharide characterization. Bioresour. Technol. 2014, 173, 415–421. [Google Scholar] [CrossRef]
  45. Le Costaouëc, T.; Unamunzaga, C.; Mantecon, L.; Helbert, W. New structural insights into the cell-wall polysaccharide of the diatom Phaeodactylum tricornutum. Algal Res. 2017, 26, 172–179. [Google Scholar] [CrossRef]
  46. Reimann, B.E.F.; Volcani, B.E. Studies on the biochemistry and fine structure of silica shell formation in diatoms: III. The structure of the cell wall of Phaeodactylum tricornutum Bohlin. J. Ultrastruct. Res. 1967, 21, 182–193. [Google Scholar] [CrossRef] [PubMed]
  47. Dodge, J.D. The Fine Structure of Algal Cells; Academic Press: Cambridge, MA, USA, 2012. [Google Scholar]
  48. Polle, J.E.W.; Roth, R.; Ben-Amotz, A.; Goodenough, U. Ultrastructure of the green alga Dunaliella salina strain CCAP19/18 (Chlorophyta) as investigated by quick-freeze deep-etch electron microscopy. Algal Res. 2020, 49, 101953. [Google Scholar] [CrossRef]
  49. Balzano, S.; Sardo, A.; Blasio, M.; Chahine, T.B.; Dell’Anno, F.; Sansone, C.; Brunet, C. Microalgal Metallothioneins and Phytochelatins and Their Potential Use in Bioremediation. Front. Microbiol. 2020, 11, 517. [Google Scholar] [CrossRef]
  50. Pérez-Rama, M.; Torres, E.; Abalde, J. Composition and production of thiol constituents induced by cadmium in the marine microalga Tetraselmis suecica. Environ. Toxicol. Chem. 2006, 25, 128–136. [Google Scholar] [CrossRef]
  51. Pérez-Rama, M.; Abalde, J.; Herrero, C.; Torres, E. Cadmium removal by living cells of the marine microalga Tetraselmis suecica. Bioresour. Technol. 2002, 84, 265–270. [Google Scholar] [CrossRef]
  52. Torres, E.; Cid, A.; Fidalgo, P.; Herrero, C.; Abalde, J. Long-chain class III metallothioneins as a mechanism of cadmium tolerance in the marine diatom Phaeodactylum tricornutum Bohlin. Aquat. Toxicol. 1997, 39, 231–246. [Google Scholar] [CrossRef]
  53. Torres, E.; Mera, R.; Herrero, C.; Abalde, J. Isotherm studies for the determination of Cd (II) ions removal capacity in living biomass of a microalga with high tolerance to cadmium toxicity. Environ. Sci. Pollut. Res. Int. 2014, 21, 12616–12628. [Google Scholar] [CrossRef] [PubMed]
  54. Folgar, S.; Torres, E.; Perez-Rama, M.; Cid, A.; Herrero, C.; Abalde, J. Dunaliella salina as marine microalga highly tolerant to but a poor remover of cadmium. J. Hazard. Mater. 2009, 165, 486–493. [Google Scholar] [CrossRef]
  55. Li, W.C.; Law, F.Y.; Chan, Y.H. Biosorption studies on copper (II) and cadmium (II) using pretreated rice straw and rice husk. Environ. Sci. Pollut. Res. Int. 2017, 24, 8903–8915. [Google Scholar] [CrossRef]
  56. Annath, H.; Jaiyeola, O.; Mangwandi, C. Highly Efficient Removal of Cadmium from Wastewater Using Eco-Friendly and Cost-Effective Amorphous Silicoaluminophosphates as Adsorbent Particles. Separations 2025, 12, 128. [Google Scholar] [CrossRef]
  57. Kaleem, M.; Minhas, L.A.; Hashmi, M.Z.; Ali, M.A.; Mahmoud, R.M.; Saqib, S.; Nazish, M.; Zaman, W.; Samad Mumtaz, A. Biosorption of Cadmium and Lead by Dry Biomass of Nostoc sp. MK-11: Kinetic and Isotherm Study. Molecules 2023, 28, 2292. [Google Scholar] [CrossRef]
  58. Long, J.; Yu, M.; Xu, H.; Huang, S.; Wang, Z.; Zhang, X.X. Characterization of cadmium biosorption by inactive biomass of two cadmium-tolerant endophytic bacteria Microbacterium sp. D2-2 and Bacillus sp. C9-3. Ecotoxicology 2021, 30, 1419–1428. [Google Scholar] [CrossRef] [PubMed]
  59. Yuan, W.; Cheng, J.; Huang, H.; Xiong, S.; Gao, J.; Zhang, J.; Feng, S. Optimization of cadmium biosorption by Shewanella putrefaciens using a Box-Behnken design. Ecotoxicol. Environ. Saf. 2019, 175, 138–147. [Google Scholar] [CrossRef]
  60. Ni, L.; Su, L.; Li, S.; Wang, P.; Li, D.; Ye, X.; Li, Y.; Li, Y.; Li, Y.; Wang, C. The characterization of dissolved organic matter extracted from different sources and their influence on cadmium uptake by Microcystis aeruginosa. Environ. Toxicol. Chem. 2017, 36, 1856–1863. [Google Scholar] [CrossRef]
  61. Ma, X.; Yan, X.; Yao, J.; Zheng, S.; Wei, Q. Feasibility and comparative analysis of cadmium biosorption by living Scenedesmus obliquus FACHB-12 biofilms. Chemosphere 2021, 275, 130125. [Google Scholar] [CrossRef] [PubMed]
  62. Abdel-Aty, A.M.; Ammar, N.S.; Abdel Ghafar, H.H.; Ali, R.K. Biosorption of cadmium and lead from aqueous solution by fresh water alga Anabaena sphaerica biomass. J. Adv. Res. 2013, 4, 367–374. [Google Scholar] [CrossRef]
  63. Jayakumar, V.; Govindaradjane, S.; Rajamohan, N.; Rajasimman, M. Biosorption potential of brown algae, Sargassum polycystum, for the removal of toxic metals, cadmium and zinc. Environ. Sci. Pollut. Res. Int. 2021, 29, 41909–41922. [Google Scholar] [CrossRef] [PubMed]
  64. Gupta, V.K.; Rastogi, A. Equilibrium and kinetic modelling of cadmium(II) biosorption by nonliving algal biomass Oedogonium sp. from aqueous phase. J. Hazard. Mater. 2008, 153, 759–766. [Google Scholar] [CrossRef]
  65. Bengourna, N.; Belguidoum, K.; Khalla, D.; Nacef, M.; Kouadri, I.; Benhamida, A.; Amira-Guebailia, H.; Brouk, A.E.; Affoune, A.M.; Satha, H. Exploring the efficacy of Cystoseira sedoide alga for cadmium and copper biosorption: An integrated experimental and computational study. RSC Adv. 2024, 14, 38721–38738. [Google Scholar] [CrossRef] [PubMed]
  66. Suranek, M.; Melichova, Z.; Thomas, M. Removal of cadmium and cobalt from water by Slovak bentonites: Efficiency, isotherms, and kinetic study. Environ. Sci. Pollut. Res. Int. 2024, 31, 29199–29217. [Google Scholar] [CrossRef]
  67. Park, J.H.; Chon, H.T. Characterization of cadmium biosorption by Exiguobacterium sp. isolated from farmland soil near Cu-Pb-Zn mine. Environ. Sci. Pollut. Res. Int. 2016, 23, 11814–11822. [Google Scholar] [CrossRef] [PubMed]
  68. Wang, P.; Yue, F.; Shao, C.; Li, Q.; Shen, Y.; Xu, K.; Shi, Z.; Liu, N.; Li, R.; Zhang, Z. Bio-sorption capacity of cadmium and zinc by Pseudomonas monteilii with heavy-metal resistance isolated from the compost of pig manure. Bioresour. Technol. 2024, 399, 130589. [Google Scholar] [CrossRef]
Disclaimer/Publisher’s Note: The statements, opinions and data contained in all publications are solely those of the individual author(s) and contributor(s) and not of MDPI and/or the editor(s). MDPI and/or the editor(s) disclaim responsibility for any injury to people or property resulting from any ideas, methods, instructions or products referred to in the content.

Article Metrics

Citations

Article Access Statistics

Multiple requests from the same IP address are counted as one view.