Fourier Optimization and Linear-Algebra-Based Combination of Controls to Improve Bioethanol Production
Abstract
1. Introduction
2. Mathematical Model of Bioethanol Production
3. Proposed Strategies
3.1. Dynamic Optimization
3.1.1. Optimization Problem Statement
3.1.2. Parameterization of Control Actions
- Specify the number of Fourier terms to use, m, and define the number of parameters as (for a smooth and continuous signal, three terms are sufficient); coincides with the number of coefficients in the polynomial of Equation (10), thereby setting its order, l.
- Establish the range of values the Fourier parameters can take, assuming these values lie within the bounds of the control vector (see Equation (5)). Assign initial values to the parameters, within the defined limits, using any random search algorithm (e.g., Monte Carlo).
- Perform orthogonalization of the basis P using the Gram–Schmidt process over the time interval , then perform normalization.
- Optimize the Fourier parameters using a chosen algorithm.
3.2. Non-Linear Control
3.3. Tuning Hybrid Search Algorithm
4. Results and Discussion
4.1. System Optimization
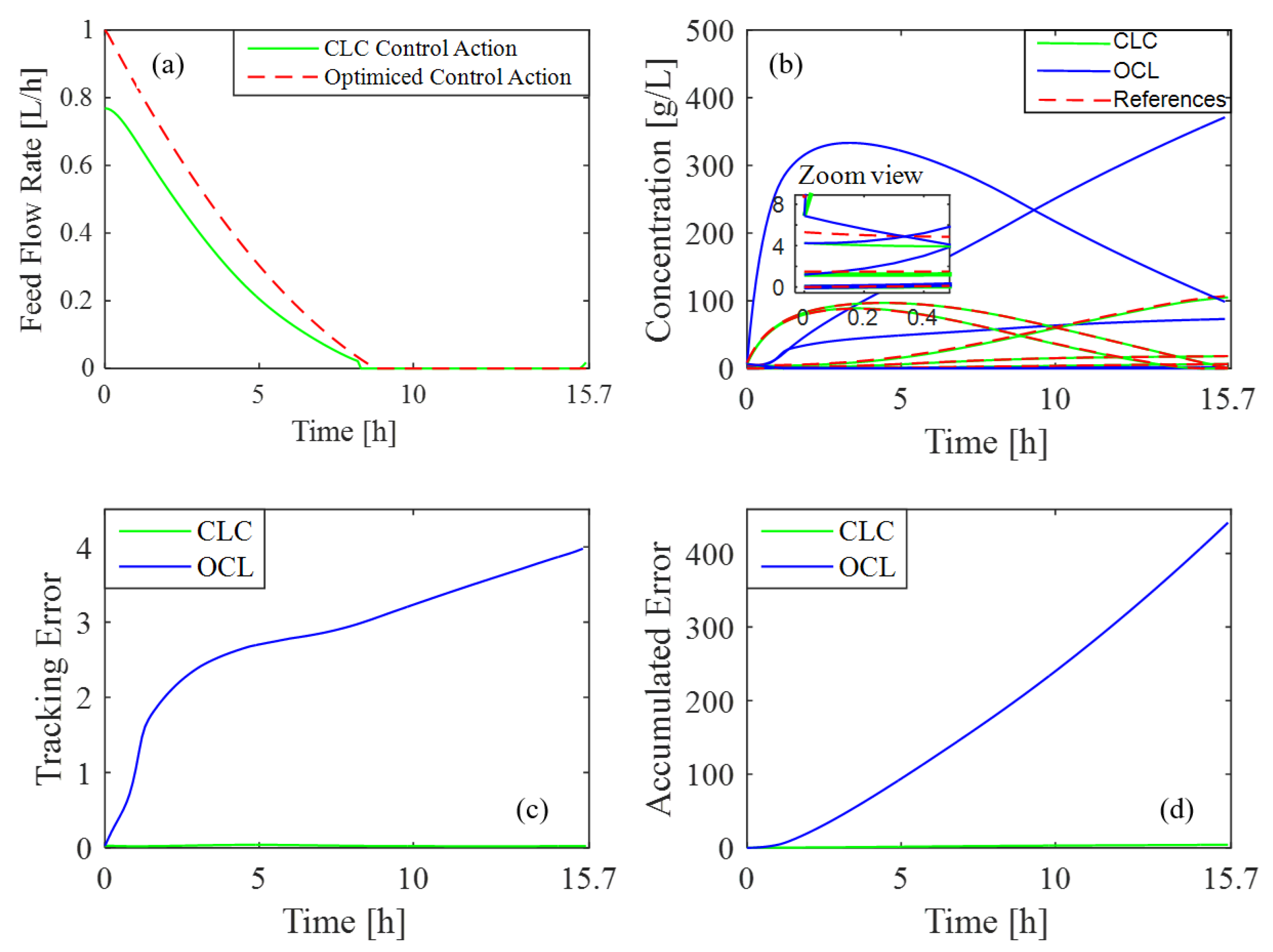
4.2. System Control
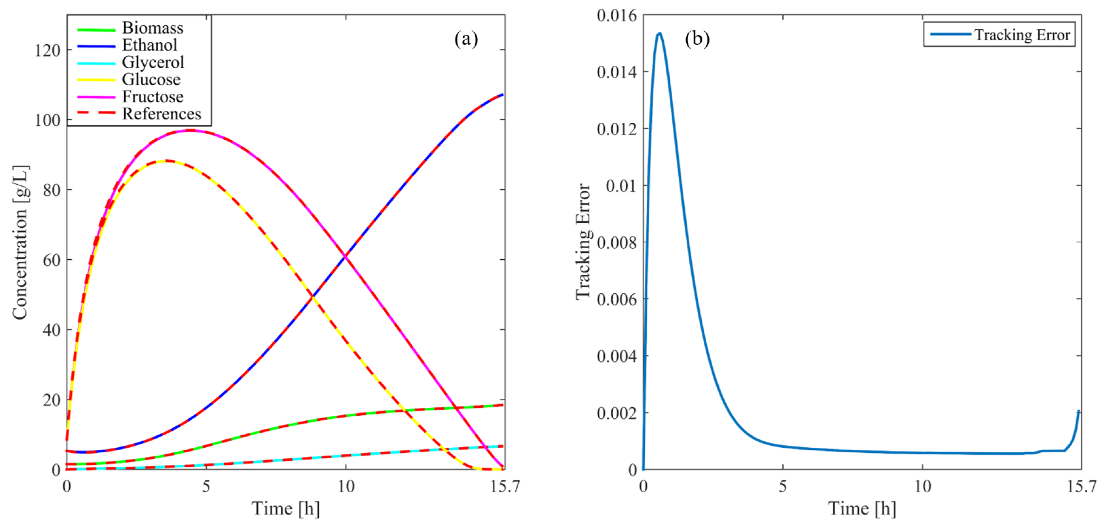
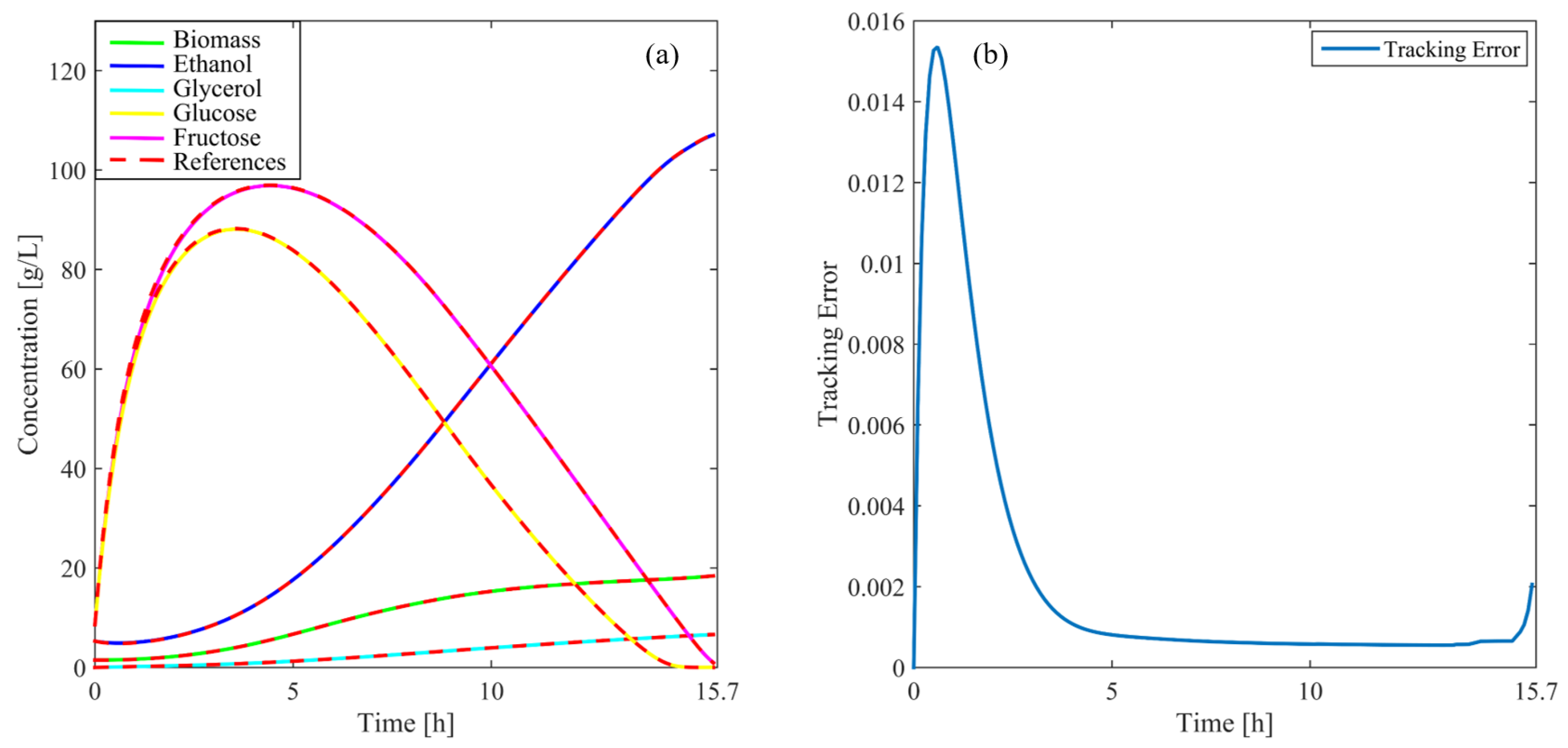
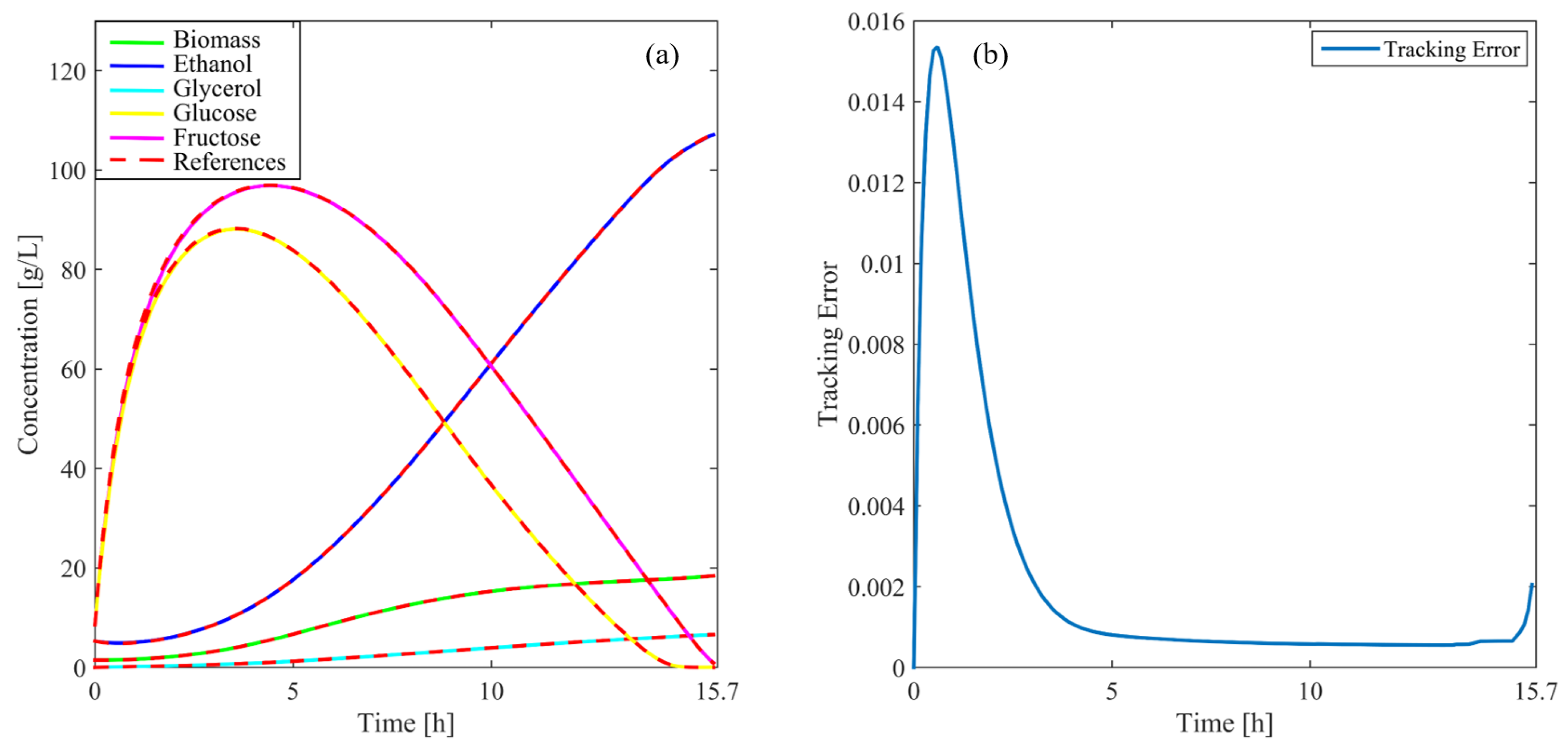
4.2.1. Evaluation of the Controller Under Normal Operating Conditions
4.2.2. Controller Evaluation with Perturbations in the Initial Conditions
4.3. Discussion
5. Conclusions
Author Contributions
Funding
Data Availability Statement
Acknowledgments
Conflicts of Interest
References
- Negri, V. Life Cycle Assessment and Optimization of Carbon Dioxide Mitigation and Removal Technologies. Ph.D. Thesis, ETH Zurich, Zurich, Switzerland, 2023. [Google Scholar]
- Pistikopoulos, E.N.; Barbosa-Povoa, A.; Lee, J.H.; Misener, R.; Mitsos, A.; Reklaitis, G.V.; Venkatasubramanian, V.; You, F.; Gani, R. Process systems engineering—The generation next? Comput. Chem. Eng. 2021, 147, 107252. [Google Scholar] [CrossRef]
- Aslanbay Guler, B.; Gurlek, C.; Sahin, Y.; Oncel, S.S.; Imamoglu, E. Renewable bioethanol for a sustainable green future. In A Sustainable Green Future: Perspectives on Energy, Economy, Industry, Cities and Environment; Springer: Berlin/Heidelberg, Germany, 2023; pp. 449–480. [Google Scholar]
- Kumar, A.; Verma, A. Recent advances in bioethanol: Current scenario, sources and production techniques. In Microbiology-2.0 Update for a Sustainable Future; Springer: Berlin/Heidelberg, Germany, 2024; pp. 331–349. [Google Scholar]
- Lamichhane, G.; Acharya, A.; Poudel, D.K.; Aryal, B.; Gyawali, N.; Niraula, P.; Phuyal, S.R.; Budhathoki, P.; Bk, G.; Parajuli, N. Recent advances in bioethanol production from lignocellulosic biomass. Int. J. Green Energy 2021, 18, 731–744. [Google Scholar] [CrossRef]
- Fansuri, H.; Purwandari, U.; Putra, S.; Adhiksana, A.; Junianto, I.D.; Oktavian, R.; Cordiner, J. A review of the technological aspects and process optimization of bioethanol production from corn stover biomass: Pretreatment process, hydrolysis, fermentation, purification process, and future perspective. Environ. Qual. Manag. 2024, 34, e22336. [Google Scholar] [CrossRef]
- Joyia, M.A.K.; Ahmad, M.; Chen, Y.F.; Mustaqeem, M.; Ali, A.; Abbas, A.; Gondal, M.A. Trends and advances in sustainable bioethanol production technologies from first to fourth generation: A critical review. Energy Convers. Manag. 2024, 321, 119037. [Google Scholar] [CrossRef]
- Fernández, M.C.; Pantano, M.N.; Machado, R.A.F.; Ortiz, O.A.; Scaglia, G.J. Nonlinear multivariable tracking control: Application to an ethanol process. Int. J. Autom. Control 2019, 13, 440–468. [Google Scholar] [CrossRef]
- Niu, S.S.; Xiao, D. Advanced Process Control. In Process Control: Engineering Analyses and Best Practices; Springer: Berlin/Heidelberg, Germany, 2022; pp. 169–216. [Google Scholar]
- Ceaser, R.; Montané, D.; Constantí, M.; Medina, F. Current progress on lignocellulosic bioethanol including a technological and economical perspective. In Environment, Development and Sustainability; Springer: Berlin/Heidelberg, Germany, 2024; pp. 1–46. [Google Scholar]
- Bisht, S.; Kumar, A.; Kumar, N.; Singh, H.; Kumar, P. Biofuel Production by Using Biomass and Its Application. In Renewable Energy and Green Technology; CRC Press: Boca Raton, FL, USA, 2021; pp. 85–103. [Google Scholar]
- Al-Hammadi, M.; Anadol, G.; Martín-García, F.J.; Moreno-García, J.; Keskin Gündoğdu, T.; Güngörmüşler, M. Scaling bioethanol for the future: The commercialization potential of extremophiles and non-conventional microorganisms. Front. Energy Res. 2025, 13, 1565273. [Google Scholar] [CrossRef]
- Rathore, A.S.; Mishra, S.; Nikita, S.; Priyanka, P. Bioprocess control: Current progress and future perspectives. Life 2021, 11, 557. [Google Scholar] [CrossRef] [PubMed]
- Broda, M.; Yelle, D.J.; Serwańska, K. Bioethanol production from lignocellulosic biomass—Challenges and solutions. Molecules 2022, 27, 8717. [Google Scholar] [CrossRef]
- Wei, T.; Wang, S.; Zhong, J.; Liu, D.; Zhang, J. A review on evolutionary multitask optimization: Trends and challenges. IEEE Trans. Evol. Comput. 2021, 26, 941–960. [Google Scholar] [CrossRef]
- Pantano, M.N.; Fernández, M.C.; Amicarelli, A.; Scaglia, G.J. Evolutionary algorithms and orthogonal basis for dynamic optimization in L2 space for batch biodiesel production. Chem. Eng. Res. Des. 2022, 177, 354–364. [Google Scholar] [CrossRef]
- Mondal, P.P.; Galodha, A.; Verma, V.K.; Singh, V.; Show, P.L.; Awasthi, M.K.; Lall, B.; Anees, S.; Pollmann, K.; Jain, R. Review on machine learning-based bioprocess optimization, monitoring, and control systems. Bioresour. Technol. 2023, 370, 128523. [Google Scholar] [CrossRef]
- Helleckes, L.M.; Hemmerich, J.; Wiechert, W.; von Lieres, E.; Grünberger, A. Machine learning in bioprocess development: From promise to practice. Trends Biotechnol. 2023, 41, 817–835. [Google Scholar] [CrossRef] [PubMed]
- Parsa, Z.; Dhib, R.; Mehrvar, M. Dynamic modelling, process control, and monitoring of selected biological and advanced oxidation processes for wastewater treatment: A review of recent developments. Bioengineering 2024, 11, 189. [Google Scholar] [CrossRef] [PubMed]
- Mahmoodi, M.; Nassireslami, E. Control algorithms and strategies of feeding for fed-batch fermentation of Escherichia coli: A review of 40 years of experience. Prep. Biochem. Biotechnol. 2022, 52, 823–834. [Google Scholar] [CrossRef]
- Dubey, V.; Goud, H.; Sharma, P.C. Role of PID control techniques in process control system: A review. In Data Engineering for Smart Systems: Proceedings of SSIC 2021, Online, 16 October 2021; Springer: Berlin/Heidelberg, Germany, 2021; pp. 659–670. [Google Scholar]
- Bannazadeh, F. Model Predictive Control for Dissolved Oxygen and Temperature to Study Adeno-Associated Virus (AAV) Production in Bioreactor. Ph.D. Thesis, Université d’Ottawa/University of Ottawa, Ottawa, ON, Canada, 2024. [Google Scholar]
- Hille, R.; Brandt, H.; Colditz, V.; Classen, J.; Hebing, L.; Langer, M.; Kreye, S.; Neymann, T.; Krämer, S.; Tränkle, J.; et al. Application of model-based online monitoring and robust optimizing control to fed-batch bioprocesses. IFAC-PapersOnLine 2020, 53, 16846–16851. [Google Scholar] [CrossRef]
- Benattia, S.E.; Tebbani, S.; Dumur, D. Linearized min-max robust model predictive control: Application to the control of a bioprocess. Int. J. Robust Nonlinear Control 2020, 30, 100–120. [Google Scholar] [CrossRef]
- Rashedi, M.; Khodabandehlou, H.; Demers, M.; Wang, T.; Garvin, C. Model predictive controller design for bioprocesses based on machine learning algorithms. IFAC-PapersOnLine 2022, 55, 45–50. [Google Scholar] [CrossRef]
- Hunag, W.H.; Shieh, G.S.; Wang, F.S. Optimization of fed-batch fermentation using mixture of sugars to produce ethanol. J. Taiwan Inst. Chem. Eng. 2012, 43, 1–8. [Google Scholar] [CrossRef]
- Fernández, C.; Pantano, N.; Groff, C.; Gil, R.; Scaglia, G. Bioethanol production optimization by direct numerical methods and evolutionary algorithms. IEEE Lat. Am. Trans. 2024, 22, 259–265. [Google Scholar] [CrossRef]
- Pantano, M.N.; Fernández, M.C.; Ortiz, O.A.; Scaglia, G.J.; Vega, J.R. A Fourier-based control vector parameterization for the optimization of nonlinear dynamic processes with a finite terminal time. Comput. Chem. Eng. 2020, 134, 106721. [Google Scholar] [CrossRef]
- Boyce, W.E.; DiPrima, R.C.; Meade, D.B. Elementary Differential Equations; John Wiley & Sons: Hoboken, NJ, USA, 2017. [Google Scholar]
- Kreyszig, E. Introductory Functional Analysis with Applications; Jonh Wiley & Sons Inc.: Hoboken, NJ, USA, 1978. [Google Scholar]
- Nagle, R.K.; Saff, E.B.; Snider, A.D. Ecuaciones Diferenciales y Problemas con Valores en la Frontera; Pearson Educación: Rading, MA, USA, 2000. [Google Scholar]
- Scaglia, G.; Serrano, M.E.; Albertos, P. Linear Algebra Based Controllers; Springer: Berlin/Heidelberg, Germany, 2020. [Google Scholar]
- Griffiths, D.V.; Smith, I.M. Numerical Methods for Engineers; Chapman and Hall/CRC: Boca Raton, FL, USA, 2006. [Google Scholar]
- Strang, G. Linear Algebra and Its Applications; Cengage Learning: Boston, MA, USA, 2000. [Google Scholar]
- Capito, L.; Proaño, P.; Camacho, O.; Rosales, A.; Scaglia, G. Experimental comparison of control strategies for trajectory tracking for mobile robots. Int. J. Autom. Control 2016, 10, 308–327. [Google Scholar] [CrossRef]
- Öztürk, S.; Calik, P.; Özdamar, T.H. Fed-batch biomolecule production by Bacillus subtilis: A state of the art review. Trends Biotechnol. 2016, 34, 329. [Google Scholar] [CrossRef] [PubMed]
- Fernández, C.; Pantano, N.; Godoy, S.; Serrano, E.; Scaglia, G. Optimización de parámetros utilizando los métodos de Monte Carlo y Algoritmos Evolutivos. Aplicación a un controlador de seguimiento de trayectoria en sistemas no lineales. Rev. Iberoam. Autom. Inform. Ind. 2019, 16, 89–99. [Google Scholar] [CrossRef]
- Grossmann, I.E. Challenges in the new millennium: Product discovery and design, enterprise and supply chain optimization, global life cycle assessment. Comput. Chem. Eng. 2004, 29, 29–39. [Google Scholar] [CrossRef]






Disclaimer/Publisher’s Note: The statements, opinions and data contained in all publications are solely those of the individual author(s) and contributor(s) and not of MDPI and/or the editor(s). MDPI and/or the editor(s) disclaim responsibility for any injury to people or property resulting from any ideas, methods, instructions or products referred to in the content. |
© 2025 by the authors. Licensee MDPI, Basel, Switzerland. This article is an open access article distributed under the terms and conditions of the Creative Commons Attribution (CC BY) license (https://creativecommons.org/licenses/by/4.0/).
Share and Cite
Fernández, M.C.; Pantano, M.N.; Rodríguez, L.; Groff, M.C.; Montoro, M.L.; Scaglia, G. Fourier Optimization and Linear-Algebra-Based Combination of Controls to Improve Bioethanol Production. Processes 2025, 13, 2792. https://doi.org/10.3390/pr13092792
Fernández MC, Pantano MN, Rodríguez L, Groff MC, Montoro ML, Scaglia G. Fourier Optimization and Linear-Algebra-Based Combination of Controls to Improve Bioethanol Production. Processes. 2025; 13(9):2792. https://doi.org/10.3390/pr13092792
Chicago/Turabian StyleFernández, María C., María N. Pantano, Leandro Rodríguez, María C. Groff, María L. Montoro, and Gustavo Scaglia. 2025. "Fourier Optimization and Linear-Algebra-Based Combination of Controls to Improve Bioethanol Production" Processes 13, no. 9: 2792. https://doi.org/10.3390/pr13092792
APA StyleFernández, M. C., Pantano, M. N., Rodríguez, L., Groff, M. C., Montoro, M. L., & Scaglia, G. (2025). Fourier Optimization and Linear-Algebra-Based Combination of Controls to Improve Bioethanol Production. Processes, 13(9), 2792. https://doi.org/10.3390/pr13092792

