Low-Melting Mixtures Based on Lactic Acid with Choline Chloride or Betaine as Green Media for Extraction of Bioactive Compounds from Vaccinium vitis-idaea L. Leaves
Abstract
1. Introduction
2. Materials and Methods
2.1. Plant Material and Reagents
2.2. Low-Melting Mixture Preparation and Characterization
2.3. Ultrasound-Assisted Extraction, Kinetics, and Box–Behnken Design Optimization
2.4. Chemical Analysis
2.5. Antioxidant Activity Measurements
2.6. Statistical Analysis
3. Results
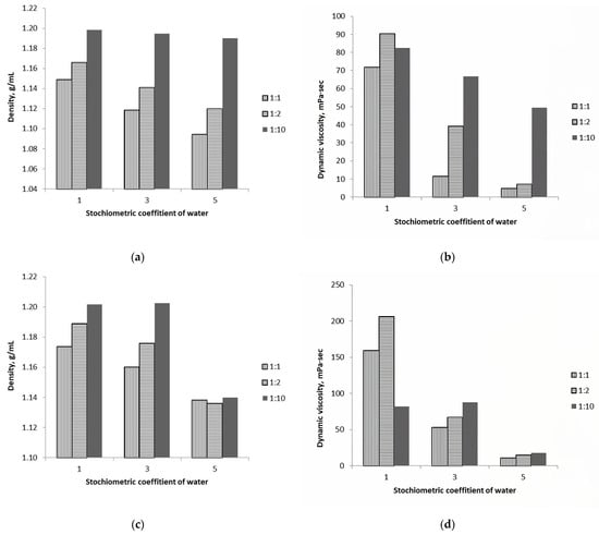
3.1. LMM Characterization
3.2. Kinetical Analysis
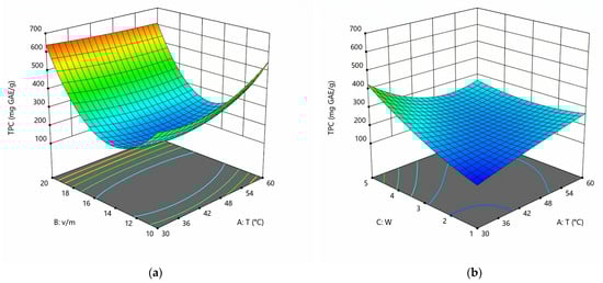
3.3. Optimization
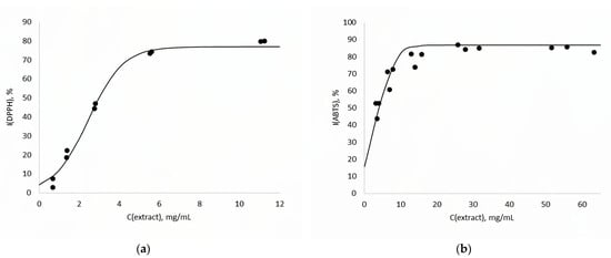
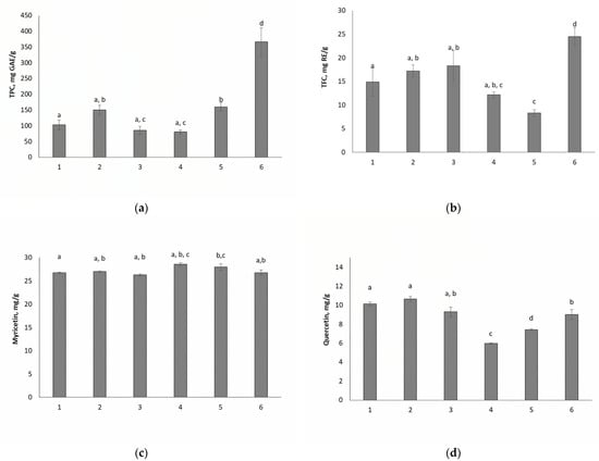
3.4. Antioxidant Activity
4. Discussion
5. Conclusions
Author Contributions
Funding
Data Availability Statement
Acknowledgments
Conflicts of Interest
References
- Ferreira, C.; Sarraguça, M. A Comprehensive Review on Deep Eutectic Solvents and Its Use to Extract Bioactive Compounds of Pharmaceutical Interest. Pharmaceuticals 2024, 17, 124. [Google Scholar] [CrossRef] [PubMed]
- Dzhavakhyan, M.A.; Prozhogina, Y.E. Deep Eutectic Solvents: History, Properties, and Prospects. Pharm. Chem. J. 2023, 57, 296–299. [Google Scholar] [CrossRef]
- Rente, D.; Cvjetko Bubalo, M.; Panić, M.; Paiva, A.; Caprin, B.; Radojčić Redovniković, I.; Duarte, A.R.C. Review of Deep Eutectic Systems from Laboratory to Industry, Taking the Application in the Cosmetics Industry as an Example. J. Clean. Prod. 2022, 380, 135147. [Google Scholar] [CrossRef]
- Zuo, J.; Geng, S.; Kong, Y.; Ma, P.; Fan, Z.; Zhang, Y.; Dong, A. Current Progress in Natural Deep Eutectic Solvents for the Extraction of Active Components from Plants. Crit. Rev. Anal. Chem. 2023, 53, 177–198. [Google Scholar] [CrossRef]
- Wawoczny, A.; Gillner, D. The Most Potent Natural Pharmaceuticals, Cosmetics, and Food Ingredients Isolated from Plants with Deep Eutectic Solvents. J. Agric. Food Chem. 2023, 71, 10877–10900. [Google Scholar] [CrossRef]
- Hikmawanti, N.P.E.; Ramadon, D.; Jantan, I.; Mun’im, A. Natural Deep Eutectic Solvents (Nades): Phytochemical Extraction Performance Enhancer for Pharmaceutical and Nutraceutical Product Development. Plants 2021, 10, 2091. [Google Scholar] [CrossRef]
- Ali Redha, A. Review on Extraction of Phenolic Compounds from Natural Sources Using Green Deep Eutectic Solvents. J. Agric. Food Chem. 2021, 69, 878–912. [Google Scholar] [CrossRef]
- Wang, X.; Li, G.; Ho Row, K. Extraction and Determination of Quercetin from Ginkgo Biloba by DESs-Based Polymer Monolithic Cartridge. J. Chromatogr. Sci. 2017, 55, 866–871. [Google Scholar] [CrossRef]
- Bajkacz, S.; Adamek, J. Evaluation of New Natural Deep Eutectic Solvents for the Extraction of Isoflavones from Soy Products. Talanta 2017, 168, 329–335. [Google Scholar] [CrossRef]
- Wang, M.; Wang, J.; Zhou, Y.; Zhang, M.; Xia, Q.; Bi, W.; Chen, D.D.Y. Ecofriendly Mechanochemical Extraction of Bioactive Compounds from Plants with Deep Eutectic Solvents. ACS Sustain. Chem. Eng. 2017, 5, 6297–6303. [Google Scholar] [CrossRef]
- Choi, Y.H.; van Spronsen, J.; Dai, Y.; Verberne, M.; Hollmann, F.; Arends, I.W.C.E.; Witkamp, G.-J.J.; Verpoorte, R. Are Natural Deep Eutectic Solvents the Missing Link in Understanding Cellular Metabolism and Physiology? Plant Physiol. 2011, 156, 1701–1705. [Google Scholar] [CrossRef] [PubMed]
- Dai, Y.; van Spronsen, J.; Witkamp, G.J.; Verpoorte, R.; Choi, Y.H. Natural Deep Eutectic Solvents as New Potential Media for Green Technology. Anal. Chim. Acta 2013, 766, 61–68. [Google Scholar] [CrossRef] [PubMed]
- Ruß, C.; König, B. Low Melting Mixtures in Organic Synthesis—An Alternative to Ionic Liquids? Green Chem. 2012, 14, 2969–2982. [Google Scholar] [CrossRef]
- Francisco, M.; Van Den Bruinhorst, A.; Kroon, M.C. New Natural and Renewable Low Transition Temperature Mixtures (LTTMs): Screening as Solvents for Lignocellulosic Biomass Processing. Green Chem. 2012, 14, 2153–2157. [Google Scholar] [CrossRef]
- Obluchinskaya, E.D.; Pozharitskaya, O.N.; Zakharova, L.V.; Daurtseva, A.V.; Flisyuk, E.V.; Shikov, A.N. Efficacy of Natural Deep Eutectic Solvents for Extraction of Hydrophilic and Lipophilic Compounds from Fucus vesiculosus. Molecules 2021, 26, 21–24. [Google Scholar] [CrossRef]
- Obluchinskaya, E.D.; Pozharitskaya, O.N.; Shevyrin, V.A.; Kovaleva, E.G.; Flisyuk, E.V.; Shikov, A.N. Optimization of Extraction of Phlorotannins from the Arctic Fucus vesiculosus Using Natural Deep Eutectic Solvents and Their HPLC Profiling with Tandem High-Resolution Mass Spectrometry. Mar. Drugs 2023, 21, 263. [Google Scholar] [CrossRef]
- Bakirtzi, C.; Triantafyllidou, K.; Makris, D.P. Novel Lactic Acid-Based Natural Deep Eutectic Solvents: Efficiency in the Ultrasound-Assisted Extraction of Antioxidant Polyphenols from Common Native Greek Medicinal Plants. J. Appl. Res. Med. Aromat. Plants 2016, 3, 120–127. [Google Scholar] [CrossRef]
- Vilkickyte, G.; Petrikaite, V.; Pukalskas, A.; Sipailiene, A.; Raudone, L. Exploring Vaccinium vitis-idaea L. as a Potential Source of Therapeutic Agents: Antimicrobial, Antioxidant, and Anti-Inflammatory Activities of Extracts and Fractions. J. Ethnopharmacol. 2022, 292, 115207. [Google Scholar] [CrossRef]
- Shikov, A.N.; Pozharitskaya, O.N.; Makarov, V.G.; Wagner, H.; Verpoorte, R.; Heinrich, M. Medicinal Plants of the Russian Pharmacopoeia; Their History and Applications. J. Ethnopharmacol. 2014, 154, 481–536. [Google Scholar] [CrossRef]
- Shikov, A.N.; Narkevich, I.A.; Flisyuk, E.V.; Luzhanin, V.G.; Pozharitskaya, O.N. Medicinal Plants from the 14th Edition of the Russian Pharmacopoeia, Recent Updates. J. Ethnopharmacol. 2021, 268, 113685. [Google Scholar] [CrossRef]
- Kostka, T.; Ostberg-Potthoff, J.J.; Stärke, J.; Guigas, C.; Matsugo, S.; Mirčeski, V.; Stojanov, L.; Veličkovska, S.K.; Winterhalter, P.; Esatbeyoglu, T. Bioactive Phenolic Compounds from Lingonberry (Vaccinium vitis-idaea L.): Extraction, Chemical Characterization, Fractionation and Cellular Antioxidant Activity. Antioxidants 2022, 11, 467. [Google Scholar] [CrossRef] [PubMed]
- Vilkickyte, G.; Raudone, L.; Petrikaite, V. Phenolic Fractions from Vaccinium vitis-idaea L. and Their Antioxidant and Anticancer Activities Assessment. Antioxidants 2020, 9, 1261. [Google Scholar] [CrossRef] [PubMed]
- Shamilov, A.A.; Bubenchikova, V.N.; Chernikov, M.V.; Pozdnyakov, D.I.; Garsiya, E.R. Vaccinium vitis-idaea L.: Chemical Contents, Pharmacological Activities. Pharm. Sci. 2020, 26, 344–362. [Google Scholar] [CrossRef]
- Vilkickyte, G.; Raudone, L. Optimization, Validation and Application of HPLC-PDA Methods for Quantification of Triterpenoids in Vaccinium vitis-idaea L. Molecules 2021, 26, 1645. [Google Scholar] [CrossRef]
- Vilkickyte, G.; Petrikaite, V.; Marksa, M.; Ivanauskas, L.; Jakstas, V.; Raudone, L. Fractionation and Characterization of Triterpenoids from Vaccinium vitis-idaea L. Cuticular Waxes and Their Potential as Anticancer Agents. Antioxidants 2023, 12, 465. [Google Scholar] [CrossRef]
- Vilkickyte, G.; Motiekaityte, V.; Vainoriene, R.; Liaudanskas, M.; Raudone, L. Development, Validation, and Application of UPLC-PDA Method for Anthocyanins Profiling in Vaccinium L. Berries. J. Berry Res. 2021, 11, 583–599. [Google Scholar] [CrossRef]
- Koigerova, A.; Gosteva, A.; Samarov, A.; Tsvetov, N. Deep Eutectic Solvents Based on Carboxylic Acids and Glycerol or Propylene Glycol as Green Media for Extraction of Bioactive Substances from Chamaenerion angustifolium (L.) Scop. Molecules 2023, 28, 6978. [Google Scholar] [CrossRef]
- Tsvetov, N.; Pasichnik, E.; Korovkina, A.; Gosteva, A. Extraction of Bioactive Components from Chamaenerion angustifolium (L.) Scop. with Choline Chloride and Organic Acids Natural Deep Eutectic Solvents. Molecules 2022, 27, 4216. [Google Scholar] [CrossRef]
- Tsvetov, N.; Sereda, L.; Korovkina, A.; Artemkina, N.; Kozerozhets, I.; Samarov, A. Ultrasound-Assisted Extraction of Phytochemicals from Empetrum Hermafroditum Hager. Using Acid-Based Deep Eutectic Solvent: Kinetics and Optimization. Biomass Convers. Biorefin. 2022, 12, 145–156. [Google Scholar] [CrossRef]
- Kedare, S.B.; Singh, R.P. Genesis and Development of DPPH Method of Antioxidant Assay. J. Food Sci. Technol. 2011, 48, 412–422. [Google Scholar] [CrossRef]
- Re, R.; Pellegrini, N.; Proteggente, A.; Pannala, A.; Yang, M.; Rice-Evans, C. Antioxidant Activity Applying an Improved ABTS Radical Cation Decolorization Assay. Free Radic. Biol. Med. 1999, 26, 1231–1237. [Google Scholar] [CrossRef] [PubMed]
- Zhang, L.; Wang, M. Optimization of Deep Eutectic Solvent-Based Ultrasound-Assisted Extraction of Polysaccharides from Dioscorea Opposita Thunb. Int. J. Biol. Macromol. 2017, 95, 675–681. [Google Scholar] [CrossRef] [PubMed]
- Nolasco, M.M.; Pedro, S.N.; Vilela, C.; Vaz, P.D.; Ribeiro-Claro, P.; Rudić, S.; Parker, S.F.; Freire, C.S.R.; Freire, M.G.; Silvestre, A.J.D. Water in Deep Eutectic Solvents: New Insights From Inelastic Neutron Scattering Spectroscopy. Front. Phys. 2022, 10, 834571. [Google Scholar] [CrossRef]
- Ninayan, R.; Levshakova, A.S.; Khairullina, E.M.; Vezo, O.S.; Tumkin, I.I.; Ostendorf, A.; Logunov, L.S.; Manshina, A.A.; Shishov, A.Y. Water-Induced Changes in Choline Chloride-Carboxylic Acid Deep Eutectic Solvents Properties. Colloids Surf. A Physicochem. Eng. Asp. 2023, 679, 132543. [Google Scholar] [CrossRef]
- Mohd Fuad, F.; Mohd Nadzir, M. The Formulation and Physicochemical Properties of Betaine-Based Natural Deep Eutectic Solvent. J. Mol. Liq. 2022, 360, 119392. [Google Scholar] [CrossRef]
- Sánchez, P.B.; González, B.; Salgado, J.; José Parajó, J.; Domínguez, Á. Physical Properties of Seven Deep Eutectic Solvents Based on L-Proline or Betaine. J. Chem. Thermodyn. 2019, 131, 517–523. [Google Scholar] [CrossRef]
- Ștefănescu, B.-E.E.; Călinoiu, L.F.; Ranga, F.; Fetea, F.; Mocan, A.; Vodnar, D.C.; Crișan, G. Chemical Composition and Biological Activities of the Nord-West Romanian Wild Bilberry (Vaccinium myrtillus L.) and Lingonberry (Vaccinium vitis-idaea L.) Leaves. Antioxidants 2020, 9, 495. [Google Scholar] [CrossRef]
- Tian, Y.; Puganen, A.; Alakomi, H.L.; Uusitupa, A.; Saarela, M.; Yang, B. Antioxidative and Antibacterial Activities of Aqueous Ethanol Extracts of Berries, Leaves, and Branches of Berry Plants. Food Res. Int. 2018, 106, 291–303. [Google Scholar] [CrossRef]
- Drózdz, P.; Sežiene, V.; Wójcik, J.; Pyrzyńska, K. Evaluation of Bioactive Compounds, Minerals and Antioxidant Activity of Lingonberry (Vaccinium vitis-idaea L.) Fruits. Molecules 2018, 23, 53. [Google Scholar] [CrossRef]
- Vilkickyte, G.; Raudone, L. Phenological and Geographical Effects on Phenolic and Triterpenoid Content in Vaccinium vitis-idaea L. Leaves. Plants 2021, 10, 1986. [Google Scholar] [CrossRef]
- Vilkickyte, G.; Raudone, L. Vaccinium Vitis-idaea L. Fruits: Chromatographic Analysis of Seasonal and Geographical Variation in Bioactive Compounds. Foods 2021, 10, 2243. [Google Scholar] [CrossRef] [PubMed]
- Raudone, L.; Vilkickyte, G.; Pitkauskaite, L.; Raudonis, R.; Vainoriene, R.; Motiekaityte, V. Antioxidant Activities of Vaccinium vitis-idaea L. Leaves within Cultivars and Their Phenolic Compounds. Molecules 2019, 24, 844. [Google Scholar] [CrossRef] [PubMed]
- Ivashkin, V.T.; Maev, I.V.; Abdulganieva, D.I.; Alekseenko, S.A.; Gorelov, A.V.; Zakharova, I.N.; Zolnikova, O.Y.; Ivashkina, N.Y.; Korochanskaya, N.V.; Mammayev, S.N.; et al. Practical Recommendations of Scientific Society for the Study of Human Microbiome and the Russian Gastroenterological Association on Use of Probiotics, Prebiotics, Synbiotics and Functional Foods in Treatment and Prevention of Gastroenterological Diseases. Russ. J. Gastroenterol. Hepatol. Coloproctol. 2021, 31, 65–91. [Google Scholar] [CrossRef]





| № | T, °C | v/m | w |
|---|---|---|---|
| 1 | 30 | 10 | 3 |
| 2 | 60 | 10 | 3 |
| 3 | 30 | 20 | 3 |
| 4 | 60 | 20 | 3 |
| 5 | 30 | 15 | 1 |
| 6 | 60 | 15 | 1 |
| 7 | 30 | 15 | 5 |
| 8 | 60 | 15 | 5 |
| 9 | 45 | 10 | 1 |
| 10 | 45 | 20 | 1 |
| 11 | 45 | 10 | 5 |
| 12 | 45 | 20 | 5 |
| 13 | 45 | 15 | 3 |
| 14 | 45 | 15 | 3 |
| 15 | 45 | 15 | 3 |
| 16 | 45 | 15 | 3 |
| 17 | 45 | 15 | 3 |
| LMM | TPC | TFC | ||||||
|---|---|---|---|---|---|---|---|---|
| Y(TPC)Eq | k × 103 | tR | R2 | Y(TFC)Eq | k × 103 | tR | R2 | |
| [ChCl][Lac][H2O]3 | 103.7 | 3.8 | 2.5 | 0.973 | 18.1 | 11.3 | 4.9 | 0.984 |
| [ChCl][Lac]2[H2O]3 | 164.3 | 3.9 | 1.6 | 0.997 | 17.6 | 44.6 | 1.3 | 0.998 |
| [ChCl][Lac]10[H2O]3 | 73.8 | 54.8 | 0.2 | 0.814 | 21.6 | 11.8 | 3.9 | 0.989 |
| [Bet][Lac][H2O]3 | 103.9 | 1.1 | 8.4 | 0.990 | 11.9 | 32.0 | 2.6 | 0.986 |
| [Bet][Lac]2[H2O]3 | 166.1 | 4.8 | 1.2 | 0.996 | 11.2 | 11.2 | 8.0 | 0.996 |
| [Bet][Lac]10[H2O]3 | 367.1 | 1.3 | 2.1 | 0.993 | 28 | 5.4 | 6.6 | 0.991 |
| Intercept | A | B | C | AB | AC | BC | A2 | B2 | C2 | A2B | A2C | AB2 | R2 | |
|---|---|---|---|---|---|---|---|---|---|---|---|---|---|---|
| TPC | 198.82 | −4.15 | 114.275 | 27.025 | −47.175 | −76 | 0 | 41.69 | 305.615 | 31.14 | −35.3 | 48.675 | 37.725 | 0.999 |
| p-values | 0.4600 | <0.0001 | 0.0034 | 0.0003 | <0.0001 | 0 | 0.0004 | <0.0001 | 0.0016 | 0.0048 | 0.0012 | 0.0036 | ||
| TFC | 7.84 | 1.75 | −0.05 | 7.625 | −1.525 | −1.5 | −2.925 | −2.645 | 11.73 | 1.955 | 0 | −5.025 | 2.325 | 0.998 |
| p-values | 0.0041 | 0.8481 | <0.0001 | 0.0074 | 0.0079 | 0.0004 | 0.0006 | <0.0001 | 0.0023 | 0 | 0.0002 | 0.0054 |
Disclaimer/Publisher’s Note: The statements, opinions and data contained in all publications are solely those of the individual author(s) and contributor(s) and not of MDPI and/or the editor(s). MDPI and/or the editor(s) disclaim responsibility for any injury to people or property resulting from any ideas, methods, instructions or products referred to in the content. |
© 2025 by the authors. Licensee MDPI, Basel, Switzerland. This article is an open access article distributed under the terms and conditions of the Creative Commons Attribution (CC BY) license (https://creativecommons.org/licenses/by/4.0/).
Share and Cite
Aniskevich, A.; Koigerova, A.; Samarov, A.; Matusevich, O.; Tsvetov, N. Low-Melting Mixtures Based on Lactic Acid with Choline Chloride or Betaine as Green Media for Extraction of Bioactive Compounds from Vaccinium vitis-idaea L. Leaves. Processes 2025, 13, 1774. https://doi.org/10.3390/pr13061774
Aniskevich A, Koigerova A, Samarov A, Matusevich O, Tsvetov N. Low-Melting Mixtures Based on Lactic Acid with Choline Chloride or Betaine as Green Media for Extraction of Bioactive Compounds from Vaccinium vitis-idaea L. Leaves. Processes. 2025; 13(6):1774. https://doi.org/10.3390/pr13061774
Chicago/Turabian StyleAniskevich, Anna, Alena Koigerova, Artemiy Samarov, Oleg Matusevich, and Nikita Tsvetov. 2025. "Low-Melting Mixtures Based on Lactic Acid with Choline Chloride or Betaine as Green Media for Extraction of Bioactive Compounds from Vaccinium vitis-idaea L. Leaves" Processes 13, no. 6: 1774. https://doi.org/10.3390/pr13061774
APA StyleAniskevich, A., Koigerova, A., Samarov, A., Matusevich, O., & Tsvetov, N. (2025). Low-Melting Mixtures Based on Lactic Acid with Choline Chloride or Betaine as Green Media for Extraction of Bioactive Compounds from Vaccinium vitis-idaea L. Leaves. Processes, 13(6), 1774. https://doi.org/10.3390/pr13061774

