Abstract
Longitudinal dispersion coefficient is a key parameter governing solute transport in porous media, with significant implications for various industrial processes. However, the impact of microfractures on the longitudinal dispersion coefficient remains insufficiently understood. In this study, pore-scale direct numerical simulations are performed to analyze solute transport in microfractured porous media during unstable miscible displacement. Spatiotemporal concentration profiles were fitted to the analytical solution of the convection–dispersion equation to quantify the longitudinal dispersion coefficient across different microfracture configurations. The results indicate that the longitudinal dispersion coefficient is highly sensitive to microfracture characteristics. Specifically, an increased projection length of microfractures in the flow direction and a reduced lateral projection length enhance longitudinal dispersion at the outlet. When Peclet number ≥1, the longitudinal dispersion coefficient follows a three-stage variation pattern along the flow direction, with microfracture connectivity and orientation dominating its scale sensitivity. Furthermore, both diffusion-dominated and mixed advective-diffusion regimes are observed. In diffusion-dominated regimes, significant channeling alters the applicability of traditional scaling laws, with the relationship between longitudinal dispersion coefficient and porosity holding only when the Peclet number is below 0.07. These results provide a comprehensive scale-up framework for CO2 miscible flooding in unconventional reservoirs and CO2 storage in saline aquifers, offering valuable insights for the numerical modeling of heterogeneous reservoir development.
1. Introduction
Solute dispersion in porous media plays a critical role in various scientific and engineering applications, including CO2 miscible flooding for shale oil recovery [1,2], solvent-based techniques in heavy oil recovery [3,4], CO2 storage [5,6], and migration in saline aquifers [7,8,9]. The transport of solute within the pore space consists of two primary mechanisms: molecular diffusion and convective spreading, both of which are governed by the convection–dispersion equation (CDE). Molecular diffusion refers to the transport of solute particles driven by concentration gradients and is quantified by the diffusion coefficient (D). In contrast, convective spreading arises from heterogeneity in the velocity field of porous media, causing solute particles to disperse due to velocity contrasts between various flow paths. To characterize the combined impacts of these mechanisms, the longitudinal dispersion coefficient (DL) was introduced as a macroscopic parameter that captures the interplay between convective transport and molecular diffusion along the flow direction [10]. In field-scale numerical simulations, the physical parameters of individual grid blocks (e.g., DL) are typically assigned fixed values. However, this approach requires further consideration of the impact of the internal pore structure within the grid on DL. Particularly in tight reservoirs, localized stress variations caused by geological structures and diagenetic processes lead to the widespread presence of microfractures [11,12]. Therefore, understanding the impact of microfractures on DL is essential for bridging pore-scale processes with macroscale phenomena, providing critical insights into solute transport in fractured reservoirs and related applications.
DL cannot be directly measured through experiments and instead requires to be indirectly calibrated using characteristics derived from numerical simulation data [13]. Several pore-scale numerical simulation techniques have been developed to model dispersion, including pore network modeling (PNM) [14,15] and direct numerical simulation (DNS) [16,17,18]. While PNM assumes well-mixed transport within the pore space due to its simplified pore structure, it often results in lower accuracy for capturing dynamic transport processes compared to DNS [19]. In contrast, DNS provides higher fidelity in modeling transport dynamics but comes with significantly higher computational costs. Currently, the values of DL in porous media are typically determined through numerical simulations using methods such as random walk particle tracking [14,20,21], moments [22,23], or by fitting the analytical solution of the governing CDE to historical concentration data [16,24,25,26]. Meng et al. [27] introduced a physics-enhanced convolutional neural network-transformer (PhysenCT-Net), a model that estimates DL and the average solute transport velocity in three-dimensional porous media. However, this method still relies on input data derived from analytical solutions and historical matching.
The magnitude of DL is significantly impacted by displacement patterns, which arise from variations in the velocity field caused by media heterogeneity and viscous contrast [28]. Viscous fingering, a phenomenon that occurs under unfavorable viscosity ratios, leads to the extension of the concentration front and generates sharp concentration gradients through mechanisms such as stretching and tip splitting [29]. Conversely, Jha et al. [30] argued that at extremely high unfavorable viscosity ratios, channels of lower viscosity fluids focus the flow through the domain, and tip splitting slows the formation of additional interfaces, thereby hindering further mixing. This suggests that the impact of the viscosity ratio on DL is not monotonic. Since Jha et al.’s [30] study was conducted under conditions of viscosity ratios above 50 and Peclet numbers above 5000, which are difficult to replicate in the engineering context of CO2 miscible flooding, this study focuses on the impact of microfracture-induced heterogeneity on DL under fixed unfavorable viscosity ratios. In terms of heterogeneity at the Darcy scale, Brigham et al. [31] carried out miscible displacement experiments using glass bead packs and natural core samples. By varying parameters such as velocity, travel length, and bead size, they demonstrated that naturally complex pore structures in core samples lead to longer mixing zones. Bretz et al. [32] revealed higher dispersion coefficients in core samples with wider pore size distributions (PSD). John et al. [33] employed tracer particle tracking simulations to model miscible displacement at the field scale, showing that permeability variance enhances dispersion and expands the mixing zone. Conolly and Johns [26] further investigated the impacts of the Dykstra–Parsons coefficient of permeability and adverse mobility ratios on convective dispersion. They concluded that increased solute diffusion at the perturbed concentration front leads to higher DL. From a pore-scale perspective, Bijeljic et al. [17] suggested that carbonate rocks exhibited higher DL than sandstones due to greater heterogeneity. Bruderer-Weng et al. [34] demonstrated that increased variance and correlation length in PNM result in increased DL. Afshari et al. [16] examined the impact of layering heterogeneity and scale sensitivity along the flow length on DL in a non-uniform spherical particle model under both stable (unit viscosity ratio) and unstable flow (unfavorable viscosity ratio). Their study revealed that viscous fingering increased DL by several orders of magnitude compared to stable displacement. In summary, the presence of heterogeneity and viscous fingering in porous media leads to significant variations in the velocity field, while the concentration front fluctuates with the migration of solute particles, thereby increasing dispersion. The above research provides a foundation for modeling the flow behavior of miscible displacement. However, most previous studies have focused on DL for the heterogeneity at the Darcy scale or from the heterogeneity of pores and throats. The impact of microfracture heterogeneity on DL and its scale sensitivity remains poorly understood. This study addresses this research gap by clarifying the impact of microfracture characteristics on DL, providing essential insights to optimize the numerical simulations of CO2 miscible flooding and enhance reservoir engineering practices.
To address the challenges discussed above, a numerical model is developed to simulate solute dispersion by coupling the Navier–Stokes (N-S) equation with the advection–diffusion equation in two-dimensional granular porous media. This model incorporates microfractures with varying lengths, densities, orientations, and connectivity levels. Numerical simulations are performed across a range of Peclet numbers, and the concentration profiles are fitted to analytical solutions to investigate the impact of microfractures on the scale sensitivity of DL. In the following section, the porous media model that integrates microfractures is introduced, along with details of the numerical simulation approach and the computational process used to determine DL. Subsequently, the simulation results of unstable CO2 dispersion are discussed. Finally, the main conclusions of this study are summarized.
2. Materials and Methods
2.1. Governing Equations for CO2 Miscible Flooding
To simulate miscible displacement in pore-scale microfractured porous media (M-PM), the following assumptions are made as follows: (1) The compressibility of both the fluid and solid phases is neglected, and the fluids are assumed to be first-contact miscible. (2) The fluids are considered Newtonian. (3) Chemical reactions between the two fluids and CO2 adsorption are not taken into account. (4) The CO2 diffusion coefficient is assumed to be constant and isotropic throughout the displacement process. (5) The gravitational effects of the two fluids are ignored.
The governing equations for the miscible displacement of incompressible fluids include the mass conservation equation (Equation (1)), N-S equation (Equation (2)), and the advection–diffusion equation (Equation (3)) as follows:
where u is the fluid velocity (m·s−1); ρ is the mixture density (kg·m−3); t is the time (s); p is the pressure (Pa); μ is the mixture viscosity (Pa·s); c is the concentration of CO2 in the pore space (mol·m−3); and D is the diffusion coefficient (m2·s−1). The mixture viscosity is related to the concentration of CO2 injected. For this purpose, this study uses the quarter-power mixing rule, which is often employed in previous studies [35,36] as follows:
where μed and μi are the viscosity of displaced and the displacing fluids, respectively (Pa·s); c0 is the injected solute concentration (mol·m−3); and ci is the initial solute concentration in the pore space, which is considered to be zero (mol·m−3).
2.2. Porous Media Model
Firstly, an unconsolidated granular packing density algorithm was employed to simulate the free fall, collision, and stacking processes of granular particles in a two-dimensional domain under gravity, generating random packing structures (Figure 1). This algorithm enables the specification of parameters such as the packing region, particle diameter, particle spacing, and the number of particles, allowing for the creation of a granular packing structure that closely resembles actual porous media. The generated structure was modeled using MATLAB 2024b [37]. The computational domain measures 1000 μm in length (L) and 500 μm in width (W), with a porosity (φ) of 0.26. Solid size distribution (SSD) and PSD are illustrated in Figure 2. SSD follows a normal distribution, with an average particle diameter (ds) of 25 μm, while the average pore diameter (dp) is 6 μm.
Figure 1.
Granular porous medium before microfracture incorporation. (Note: The computational domain (L × W) dimensions are 1000 μm × 50 μm; the white regions represent solid particles and the blue regions represent the pore space).
Figure 2.
SSD and PSD in porous medium.
Secondly, microfractures with varying lengths, densities, angles, and connectivity levels were introduced into the matrix domain to examine their impact on solute transport. A total of eight M-PM models were generated at the pore scale (Figure 3). Across all the models, the microfracture apertures (A) were set to five times the average pore diameter (5dp). M-PM1 and M-PM2 represent single horizontal microfracture systems with microfracture lengths (Lm) of 0.4 L and 0.8 L, respectively. M-PM3 and M-PM4 incorporate 2 and 3 horizontal microfractures, respectively, allowing for a comparative analysis with M-PM1 to assess the impact of varying microfracture densities in the vertical direction. M-PM5 and M-PM6, along with M-PM3, were designed to investigate the impact of microfracture orientation. These models included microfractures angled at 90° (M-PM5) and 45° (M-PM6) relative to the flow direction, both with Lm = 0.4 L. Lastly, M-PM7 and M-PM8 examined the role of microfracture connectivity under controlled conditions, with both models having Lm = 0.4 L. This study focuses on natural microfractures that are comparable in scale to pore sizes, while the analysis of larger-scale hydraulic fractures [38] is beyond the scope of this research.
Figure 3.
Porous media domains with embedded microfractures. Microfractures in M-PM1 to M-PM4 are parallel to the flow direction but vary in length and density. (a) M-PM1. (b) M-PM2. (c) M-PM3. (d) M-PM4. (e) M-PM5. (f) M-PM6. (g) M-PM7. (h) M-PM8. (Note: In M-PM1 to M-PM4, microfractures are aligned parallel to the flow direction but differ in length and density. M-PM5 and M-PM6 contain microfractures oriented at 90° and 45° to the flow direction, respectively, while M-PM8 exhibits enhanced microfracture connectivity compared to M-PM7).
2.3. Numerical Setting
The engineering context of this study involves the mixing of CO2 with crude oil (n-decane). Based on the minimum miscible pressure of CO2, the viscosity of CO2 and crude oil at 343 K and 14 MPa were set to 0.0343 mPa·s and 0.57269 mPa·s, respectively. D was taken as 1 × 10−8 m2·s−1. The physical properties of the fluids were sourced from Zhu et al. [39] and Ma et al. [40], with additional data obtained from the National Institute of Standards and Technology Standard Reference Database 69 [41].
The initial condition is set as follows:
The boundary condition at the grain surface, top, and bottom is set as no-slip and no-flux as follows:
where n is the unit normal vector at the boundary.
The inlet condition at the left side is set as a constant concentration flux as follows:
where c0 is the inlet concentration of CO2 (10,405 mol·m−3) and u0 is the injection velocity of CO2, which can be adjusted to simulate miscible displacement at different Peclet numbers.
The outlet condition is set as follows:
where pout is the pressure at the outlet (Pa) and p0 is the atmospheric pressure (101,325 Pa).
The Peclet number (Pe) is a dimensionless number frequently used in the study of continuous transport phenomena, which can be typically defined as follows:
where v is the intrinsic velocity in PMM as u0/φ (m·s−1) and Lc is the characteristic length in PMM, which can be expressed as follows:
where f, m, and t are the fracture, matrix, and total, respectively. Pe is the ratio of convective to diffusive effects in a continuous transport simulation. Several studies have demonstrated a correlation between DL and Pe. In their investigation of solute transport in a single capillary, Taylor [42] and Aris [43] established that DL/D and Pe follow the relationship DL/D = 1 + kPe2, where k is the shape factor of the capillary interface. However, in real porous media, transport properties often deviate from these theoretical predictions due to the complexity of the pore structure and flow heterogeneity. To account for these variations, Sahimi [44] proposed a quantitative relationship between DL and Pe specifically for porous media as follows:
where F is the formation factor; α and α’ are the mixing exponents; while β and β’ are the power-law coefficients. When Pe is sufficiently small (Pe < ε, where ε = 0.1 [14], 0.3 [45], or 5 [44]), diffusion is the dominant transport mechanism in miscible displacement. In this regime, the impact of convection on DL is negligible, and DL is governed by the total porosity of the medium. Conversely, when Pe > 300, convection becomes the dominant transport mechanism, significantly impacting solute dispersion. In the intermediate range of Pe, both convection and diffusion contribute substantially to the miscible displacement process. Considering the field-scale application of CO2 miscible flooding, the range of Pe corresponding to injection velocities in subsurface reservoirs is typically between 0.01 and 100, as reported in previous studies on CO2-enhanced oil recovery (CO2-EOR) [46].
Then, the two-dimensional M-PM models were imported into the commercial software COMSOL Multiphysics 6.2, where N-S and advection–diffusion equations were coupled and solved using an implicit finite element scheme based on second-order polynomials. In high Pe displacements, numerical challenges such as oscillations in outlet concentration and convergence issues frequently arise. To mitigate these instabilities, stabilization techniques, including Streamline and Crosswind Diffusion methods, were applied to enhance solution stability, particularly for Pe > 1. These methods effectively reduce artificial diffusion and improve the accuracy of convection-dominated solutions.
A mesh resolution sensitivity analysis was conducted to ensure that the grid resolution is sufficiently fine to minimize numerical diffusion. Figure 4a depicts the relationship between dimensionless concentration (cD) and dimensionless time (tD) for M-PM5 at Pe = 100. Unless otherwise specified, the parameters related to concentration (c), time (t), and length (x) in the following section are dimensionless quantities, defined as cD = c/c0, tD = Lφt/v, and xD = x/L. The pore space was discretized into hundreds of thousands of free triangular mesh elements, ensuring that each pore throat and microfracture is represented by multiple elements smaller than the characteristic size. The total number of mesh elements varied from 100,353 (coarsest) to 1,530,835 (finest). The results indicate that once the total number of elements exceeds 570,000, the outlet concentration profile stabilizes, demonstrating mesh convergence. Consequently, all the simulations in this study utilize between 600,000 and 1,000,000 elements (e.g., Mesh 3, with local mesh details in Figure 4b) to maintain numerical accuracy and computational efficiency. Additionally, to ensure the numerical stability of the results, a 2 μm buffer layer was set at the inlet. A simulation case with 600,000 grid elements and a high Pe typically requires approximately 240 min of computation on an 7950X CPU (AMD, CA, USA.).
Figure 4.
Outlet concentration curves for mesh resolutions during CO2 miscible displacements in M-PM5 at Pe = 100 (a) and local mesh details in Mesh 3 (b).
2.4. Computing of the Longitudinal Dispersion Coefficient
DL was determined by fitting historical concentration data obtained from numerical simulations. To achieve this, the concentration profiles at different spatial locations over time within the two-dimensional domain were transformed into a one-dimensional distribution along the flow direction (x-direction) as a function of time. The velocity field u (x, y, t) and concentration field c (x, y, t), obtained by solving the governing equations, were firstly used to compute the average concentration at multiple positions along the x-direction as follows:
where u is the velocity component in the direction of flow (m·s−1) and is the average concentration in the y-direction. The one-dimensional CDE is expressed as follows:
where is the average convection velocity and CDE is an analytical solution, which can be formulated as follows [47]:
where erfc is the complementary error function. Subsequently, the breakthrough curves of CO2 at the x-direction (i.e., the relationship between CO2 concentration and time) are fitted using Equation (14) to compute DL. The fitting process is conducted using the SciPy package in Python (version 3.11), specifically employing its optimization inversion algorithm, which applies the least squares method to minimize the sum of errors between the predicted and simulated data. Since multiple solutions may emerge during the concentration data fitting process, the solution with the smallest mean squared error is selected to ensure accuracy. An example of the fitting results is presented in Figure 5, illustrating the temporal variation in outlet concentration for M-PM1 at Pe = 0.01.
Figure 5.
Comparison of simulated and analytical outlet concentration data in M-PM1 at Pe = 0.01.
3. Results and Discussion
3.1. Model Validation
To validate the accuracy of the proposed method, a series of test cases were conducted to analyze CO2 miscible transport between two-dimensional parallel flat plates, followed by the calculation of DL at the outlet. The plate model has a length of 80 μm and a gap of 20 μm. Due to the regular geometry of the system, a free quadrilateral mesh was employed for discretization. During the grid independence test, the mesh was progressively refined from 4420 to 12,000 elements. To balance computational accuracy and simulation efficiency, a mesh count of 5148 elements was selected, ensuring numerical stability.
The assumptions regarding fluid properties and the plate model in the validation cases remain consistent with those described in Section 2.1. The initial and boundary conditions are defined according to Equations (5)–(8). Berkowitz and Zhou [48] derived an analytical expression for DL in fractures (DL/D = 1 + 0.019Pe2), where the velocity in Pe corresponds to the average velocity, and the characteristic length is defined as half the aperture of the fracture. Wang et al. [49] obtained similar results for fractures exhibiting Poiseuille flow. Figure 6 illustrates a comparison between 14 sets of DL calculated using the numerical method in this study and the corresponding analytical solutions. The results demonstrate excellent agreement, with errors not exceeding 1%, confirming the reliability of the proposed approach.
Figure 6.
Comparison of numerical simulation and analytical solutions (Berkowitz and Zhou [48]; Wang et al. [49]) for DL and Pe in stable miscible flow between two parallel flat plates.
3.2. Longitudinal Dispersion Coefficient in M-PM
CO2 miscible flooding is a displacement process in which a low-viscosity solvent disperses into high-viscosity crude oil, leading to an inherently unstable miscible displacement. To analyze the impact of microfractures on DL and its scale sensitivity, numerical simulations of CO2 miscible displacement were performed for the M-PM models in Figure 3. The relationship between the ratio of DL to D of CO2 (DL/D) and the dimensionless length (xD) is depicted in Figure 7. Table 1 summarizes the impacts of microfracture characteristics on DL at the outlet, offering a clearer interpretation of the results.

Figure 7.
Variation in dimensionless DL (DL/D) along flow direction from M-PM1 to M-PM8 under different Pe. (a) Pe = 0.01. (b) Pe = 0.1. (c) Pe = 1. (d) Pe = 10. (e) Pe = 50. (f) Pe = 100.
Table 1.
Impact of microfracture characteristics on DL/D at outlet.
At Pe = 0.01, diffusion dominates transport within M-PM models, resulting in minimal variation in DL/D at the outlet across all the cases, with values converging approximately at 0.75 (Figure 7a). These minor numerical differences arise from variations in porosity due to different microfracture characteristics, where porosity ranges from 0.292 to 0.341. Under these conditions, DL/D = 1/Fφt remains valid. Further derivation indicates that F varies from 3.9 to 5.46, aligning with predictions for unconsolidated packed porous media based on Archie’s equation (F = 1/φt1.3) [50] and Fricke’s equation (F = ((x + 1) − φt)/xφt, x = 2 for spheres) [51]. However, at Pe = 0.1, DL/D for M-PM1, M-PM2, and M-PM8 deviate from DL/D = 1/Fφt correlation, whereas the other M-PM models retain this intrinsic relationship (Figure 7b). This discrepancy is attributed to horizontal microfracture channels, which introduce heterogeneity and disrupt the stability of the displacement front (Figure 8). These results indicate that even under diffusion-dominated conditions (Pe < 1), the presence of a single microfracture or highly connected microfracture networks in the flow direction can lead to deviations from DL/D = 1/Fφt. Additionally, instability in DL near the inlet boundary (Figure 7a,b) is observed, resulting from the rapid attainment of injection concentration in the numerical solution over a short period, leading to reduced agreement with analytical solutions. At Pe ≥ 1, the combined impacts of advection and diffusion on CO2 transport become increasingly significant, with DL exhibiting an upward trend across all the M-PM models (Figure 7c–f). This increase is driven by two key mechanisms. Firstly, the complex spatial structure of M-PM models induces variations in the velocity field, while concentration gradients alter the viscosity field, further promoting velocity heterogeneity. Together, these factors distort the displacement front within the matrix region, increasing the contact area between the displacing and displaced fluids. Secondly, a higher Pe leads to earlier solute breakthroughs in the presence of microfractures, shortening the time available for convective mixing and spreading. This impact expands the concentration distribution range, ultimately resulting in a larger DL.
Figure 8.
Impact of strong flow direction heterogeneity on CO2 concentration front propagation. (a) M-PM1. (b) M-PM2. (c) M-PM8. (Note: cD distributions for M-PM1, M-PM2, and M-PM3 at tD = 0.5 and Pe = 0.1).
In Figure 7, DL is significantly impacted by microfracture characteristics, with variations spanning 2~4 orders of magnitude. A comparison between M-PM1 and M-PM2 indicates that for Pe ≥ 0.1, a longer, horizontally aligned single microfracture in the flow direction leads to a higher DL. For the concentration profiles (Figure 9a–f), CO2 preferentially migrates through the microfractures, with longer microfractures oriented along the flow direction facilitating earlier solute breakthrough at the outlet. Additionally, this configuration substantially increases the contact area available for molecular diffusion. In the lateral direction, diffusion is driven by concentration gradients, whereas in the flow direction, both advection and diffusion contribute to the advancement of the concentration front. At Pe = 1, longer microfractures enhance diffusion in the perpendicular direction relative to the microfractures (Figure 9a,b). However, as Pe increases, advection within the microfractures becomes more dominant, reducing the relative effect of perpendicular diffusion. Furthermore, a closer examination in Figure 9 reveals that at the same tD, the concentration front in the matrix region of M-PM2 propagates more slowly compared to M-PM1. This impact is due to the greater impact of microfracture-induced heterogeneity in M-PM2, which enhances solute dispersion and prolongs mixing. Consequently, at the same Pe and xD, the concentration profile in M-PM2 appears more smeared than in M-PM1, leading to a higher DL.
Figure 9.
Impact of single horizontal microfracture length on CO2 concentration front propagation. (a) M-PM1, Pe = 1. (b) M-PM2, Pe = 1. (c) M-PM1, Pe = 10. (d) M-PM2, Pe = 10. (e) M-PM1, Pe = 100. (f) M-PM2, Pe = 100. (Note: cD distributions for M-PM1 and M-PM2 at tD = 0.5 and Pe = 1, 10, 100).
Further analysis in Figure 7c–f reveals that for Pe ≥ 1, DL decreases significantly in M-PM3 and M-PM4 as the density of microfractures perpendicular to the flow direction increases. This trend can be attributed to the evolution of the concentration front near the microfractures. In Figure 9a,c,e and Figure 10, the dispersion area of CO2 surrounding the microfractures expands with an increasing number of microfractures. At the same Pe, the concentration front in M-PM4 exhibits a more uniform lateral distribution compared to M-PM3 and M-PM1, indicating a greater degree of dispersion homogenization. The results in Figure 11 further support this observation by comparing the temporal evolution of CO2 concentration for M-PM1 to M-PM4 at Pe = 1 and xD = 1. The results confirm that the concentration distribution along the microfracture front in M-PM2 is more smeared, while in M-PM4, CO2 breakthrough at the outlet occurs later, but with a steeper concentration rise. This behavior leads to M-PM4 exhibiting the smallest DL, followed by M-PM3 and then M-PM1. By analyzing the relationship between DL across M-PM1 to M-PM4, we see that longer microfractures oriented in the flow direction enhance CO2 convection–dispersion, facilitating solute transport. In contrast, an increase in the projected length of microfractures perpendicular to the flow direction (y-direction) restricts the full expansion of the CO2 concentration front around the microfractures.
Figure 10.
Impact of microfracture parallel density on CO2 concentration front propagation. (a) M-PM3, Pe = 1. (b) M-PM4, Pe = 1. (c) M-PM3, Pe = 10. (d) M-PM4, Pe = 10. (e) M-PM3, Pe = 100. (f) M-PM4, Pe = 100. (Note: cD distributions for M-PM3 and M-PM4 at tD = 0.8 and Pe = 1, 10, 100).
Figure 11.
Dimensionless CO2 concentration profiles at xD = 1 for M-PM1 to M-PM4 as a function of tD at Pe = 1.
The comparison of DL at the outlet for M-PM3, M-PM5, and M-PM6 (Figure 7c–f) alongside the concentration profiles at tD = 0.5 (Figure 12) reveals different transport behaviors impacted by microfracture orientation. M-PM5, characterized by a larger projected microfracture length in the y-direction, introduces localized heterogeneity that slightly induces preferential flow paths and distorts the displacement front. However, viscous fingering is predominantly governed by matrix heterogeneity, which enhances CO2 concentration front diffusion within the matrix (Figure 12c,d). Compared to the concentration profiles of M-PM3 (Figure 12a,b) and M-PM6 (Figure 12e,f), M-PM5 exhibits a smaller increase in contact area along the flow direction, leading to the smallest DL among all the M-PM systems. At this stage, the advantageous contact area in M-PM6 is not yet clearly distinguishable. However, given the similarity in DL at the outlet between M-PM3 and M-PM6, it can be inferred that their effective surface areas are comparable. A further trend is observed in the scale sensitivity of DL: when 1 ≤ Pe ≤ 10, DL at the outlet for M-PM6 exceeds M-PM3, whereas for 50 ≤ Pe ≤ 100, the relationship reverses. This reversal is attributed to the scale sensitivity of DL, which is examined in detail in the next subsection.
Figure 12.
Impact of microfracture orientation on CO2 concentration front propagation at high Pe. (a) M-PM3, Pe = 50. (b) M-PM3, Pe = 100. (c) M-PM5, Pe = 50. (d) M-PM5, Pe = 100. (e) M-PM6, Pe = 50. (f) M-PM6, Pe = 100. (Note: cD distributions for M-PM3, M-PM5, and M-PM6 at tD = 0.5 and Pe = 50, 100).
The impact of microfracture connectivity on DL was examined by comparing M-PM7 and M-PM8. For Pe ≥ 1, DL in M-PM8 (i.e., features greater microfracture connectivity) is consistently higher than in M-PM7. Under similar microfracture characteristics, the enhanced connectivity in M-PM8 effectively forms a longer continuous microfracture network aligned with the flow direction, facilitating preferential CO2 transport through interconnected fracture channels. In Figure 13a,c, CO2 preferentially migrates into the connected microfracture flow channels in M-PM8, resulting in an earlier breakthrough at the outlet compared to M-PM7 at the same tD. Conversely, in M-PM7 (Figure 13a,b), although the projected microfracture lengths in both x- and y-directions are similar to those in M-PM8, the weaker connectivity in M-PM7 leads to less efficient solute transport and a smaller DL.
Figure 13.
Impact of microfracture connectivity on CO2 concentration front propagation at high Pe. (a) M-PM7, Pe = 100. (b) M-PM7, Pe = 50. (c) M-PM8, Pe = 100. (Note: cD for M-PM7 at tD = 0.5 and Pe = 50, 100; cD distribution for M-PM8 at tD = 0.5 and Pe = 100).
Overall, the presence of microfractures significantly enhances the heterogeneity of porous media, impacting solute transport dynamics during unstable miscible displacement. In the vertical microfracture system (M-PM5), viscous fingering is amplified within the matrix, intensifying instability in the flow field. In other M-PM models, the strong heterogeneity along the primary flow direction inhibits the full development of viscous fingering within the matrix, instead promoting preferential flow pathways through the fractures. Furthermore, the total surface area introduced by microfractures does not exhibit a monotonic relationship with DL. However, an increase in surface area along the flow direction, which facilitates earlier solute breakthroughs, contributes to the overall enhancement of DL. In the following section, the scale sensitivity of DL in M-PM models is further analyzed, specifically examining the variation in DL with xD.
3.3. Scale Sensitivity of the Longitudinal Dispersion Coefficient in M-PM
At Pe = 0.01, DL/D trend exhibits minimal variation with increasing xD, indicating that diffusion dominates the transport process, resulting in stable dispersion behavior. However, at Pe = 0.1, DL in M-PM1, M-PM2, and M-PM8 shows slight fluctuations. Specifically, DL in M-PM1 and M-PM2 initially increases in the first half of the domain length, followed by a minor decrease in the latter half (Figure 7b). This trend is attributed to the presence of horizontal microfractures, which introduce preferential flow channels for solutes during unstable miscible displacement. Since the transport velocity of solutes within microfractures is higher than in the matrix, the tD interval between the arrival and plateau of the concentration front at a given location in the microfractures increases as the microfractures extend along the flow direction. This phenomenon leads to an increase in DL along the flow path within the microfractures. However, when the concentration front reaches the ends of the microfractures and enters the matrix, the higher tortuosity of the pore space causes a deceleration in the propagation of the concentration front. As a result, the tD interval for high-concentration CO2 to reach the vicinity of the outlet shortens, leading to a downward trend in DL. In contrast, DL in M-PM8 asymptotically approaches a steady value near the outlet rather than decreasing. This is because the connected microfractures in M-PM8 do not terminate horizontally, allowing solutes to remain within the fracture network for an extended period.
At Pe ≥ 1, the variation in DL along the flow direction within all the M-PM domains can be categorized into three stages: (1) the matrix section before the microfractures, (2) the mixing section between microfractures and matrix, and (3) the matrix section after the microfractures (Figure 7c–f). In Stage 1, DL increases with xD due to the progressive development of the concentration front perturbation, which enhances the molecular diffusion frontal area [16]. In Figure 14a,c, this perturbation becomes more pronounced as tD increases, further promoting diffusive spreading. Among different M-PM models, Stage 1 is relatively shorter in M-PM2, M-PM6, and M-PM9, where the transition to the mixing section (Stage 2) occurs at approximately xD = 0.2~0.3. In contrast, for the other M-PM models, the turning point of DL is delayed, occurring xD ≈ 0.5. This variation is significantly impacted by the position of microfractures along the flow direction. Furthermore, as Pe increases, concentration front perturbations intensify, leading to a greater increase in DL during Stage 1 (Figure 14a–d).

Figure 14.
Perturbation of CO2 concentration front in Stage 1 (a–d), Stage 2 (e), and Stage 3 (f).
In Stage 2, the variation in DL with xD depends on the connectivity and continuity of the microfracture network. For systems with connected microfractures or continuous microfracture networks along the flow direction (e.g., M-PM1-4 and M-PM8), DL continues to increase with xD, though at a lower rate than in Stage 1. The reduction in the growth rate occurs because convective and diffusive mixing processes stabilize, leading to a more uniform dispersion along the flow direction. Conversely, for M-PM6 and M-PM7, the presence of short matrix sections between microfractures slows the propagation of the concentration front, causing DL to slightly decrease with increasing xD. In M-PM5, the presence of longer matrix sections between microfractures allows for the sufficient development of concentration front perturbation (Figure 14e,f). This results in DL remaining nearly constant across both Stage 2 and Stage 3.
In Stage 3, analyzing Figure 7c in conjunction with the concentration evolution curves at different xD (Figure 15), different patterns emerge in Stage 3: For connected and non-horizontal microfractures (e.g., M-PM8), DL remains constant with increasing xD. For disconnected and non-horizontal microfractures (e.g., M-PM6 and M-PM7), DL increases with xD. For connected and horizontal microfractures (e.g., M-PM1-4), DL decreases with xD. These results underscore the critical role of microfracture connectivity and orientation in shaping the scale sensitivity of DL.
Figure 15.
Impact of microfracture orientation and connectivity on CO2 concentration distribution along domain length. (a) M-PM1. (b) M-PM6. (c) M-PM7. (d) M-PM8.
A further comparison between M-PM3 and M-PM6 reveals that with increasing convective contributions, the dispersion enhancement in Stage 2 is more pronounced in M-PM3. This prevents M-PM6 from surpassing M-PM3 in DL during Stage 3.
3.4. Longitudinal Dispersion Regimes in M-PM
To further investigate the dispersion regimes of CO2 in M-PM systems, DL at the outlet was extracted, and the relationship between DL/D and Pe is illustrated in Figure 16. The applicability of traditional scaling laws proposed by Bijeljic et al. [17] (ε = 0.1), Babaei and Joekar-Niasar [45] (ε = 0.3), and Sahimi [44] (ε = 5) in Equation (11) was evaluated, revealing deviations in M-PM1, M-PM2, and M-PM8 from DL/D = 1/Fφt (Pe < ε), even at low Pe (0.01 ≤ Pe ≤ 0.1). At this stage, the coupling between molecular diffusion and velocity gradients begins to emerge, and significant local channeling along the flow direction amplifies the impact of advection. However, because advection remains limited in impact, the system still falls within the diffusion-dominated regime. The presence of significant channeling introduces uncertainty in the applicability range of traditional scaling laws for M-PM systems, particularly in cases with strong microfracture connectivity along the flow direction. To clarify this behavior, the outlet DL for M-PM1, M-PM2, and M-PM8 was computed within Pe range of 0.02 to 0.09 (Table 2). The results indicate that for Pe < 0.07, a porous medium with highly connected microfractures along the flow direction exhibits a DL/D relationship that follows a fixed dependency on porosity. In contrast, the other M-PM systems conformed to traditional scaling laws within their respective applicability ranges.
Figure 16.
Identification of dispersion regimes in unstable displacement process.
Table 2.
Ratio of outlet DL/D for M-PM1, M-PM2, and M-PM8 across Pe = 0.02~0.09 relative to DL/D at Pe = 0.01.
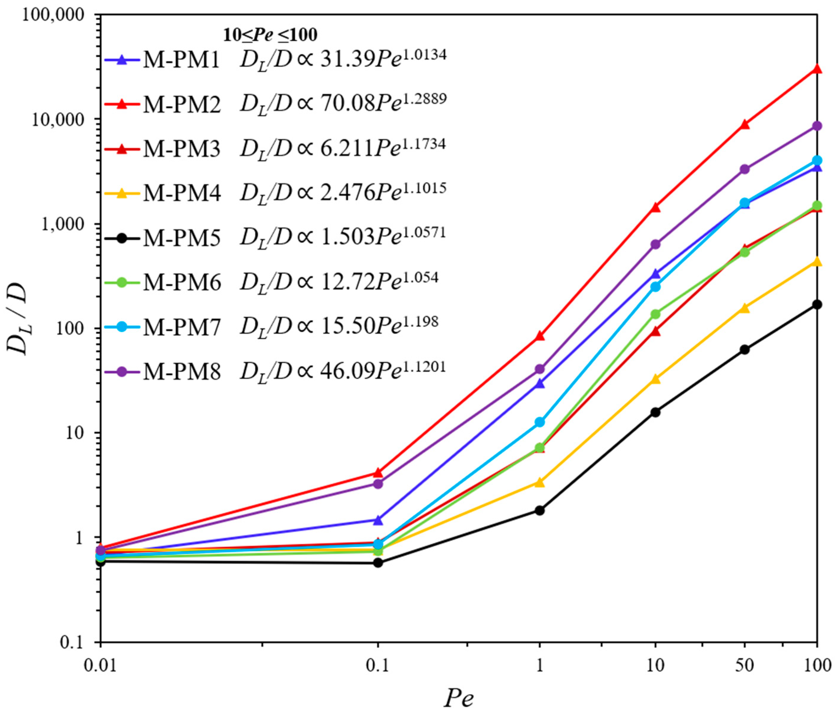
At Pe = 1, the impact of advection becomes more pronounced, marking the transition from the diffusion-dominated regime to the mixed diffusive–advective regime. As Pe increases beyond 10, advection further enhances solute mixing, leading to greater dispersion. To quantify this behavior, a power-law equation (DL/D~αPeβ) was fitted within the range of 10 ≤ Pe ≤ 100. The resulting power-law exponent (β) varied between 1.01 and 1.289, which lies between the mechanical dispersion regime (β = 1) and Taylor–Aris regime (β = 2). This range of β is consistent with solute transport trends in different porous media (Table 3), providing indirect validation of the numerical results. At this stage, both mechanical dispersion and molecular diffusion contribute to solute transport in M-PM systems, confirming their classification within the mixed diffusive–advective regime. However, no clear or generalizable trends in β are observed concerning microfracture characteristics.
Table 3.
Reported β values from experiments and numerical simulations.
Brigham et al. [31] highlighted that the mixing coefficient (α) is impacted by both the geometric characteristics of the pore structure and the viscosity ratio of the components. When the characteristic length in the Pe is redefined, the corresponding value of α changes accordingly. In this study, Pe is defined with the consideration of microfracture characteristics, and the viscosities of CO2 and crude oil are fixed, allowing α to serve as a measure of macroscopic heterogeneity in M-PM systems. Among all the M-PM models, M-PM2 exhibits the highest α (α = 70.082), indicating the greatest degree of heterogeneity, surpassing M-PM1 (α = 31.39). This suggests that longer microfractures in the flow direction significantly enhance solute dispersion and heterogeneity. The impact of parallel microfractures on porous media heterogeneity is further validated by α. A comparison among M-PM1, M-PM3, and M-PM6 reveals that M-PM1 has the largest α, followed by M-PM3, with M-PM6 exhibiting the smallest α. The introduction of additional microfractures perpendicular to the flow direction reduces macroscopic heterogeneity. Systems with vertical microfractures exhibit the lowest α (α = 1.503), suggesting that heterogeneity is minimized in these configurations. Under strong convective conditions, the macroscopic heterogeneity of M-PM3 is slightly greater than M-PM6, as the horizontal microfractures in M-PM3 contribute more significantly to the increase in DL. Regarding microfracture connectivity, M-PM8 exhibits a higher α than M-PM7, which is attributed to the connected microfractures forming extended composite fracture networks, thereby enhancing heterogeneity and solute dispersion efficiency.
This study focuses on the impact of pore-scale microfractures on solute transport, providing valuable insights into longitudinal dispersion dynamics in microfractured porous media. However, further research is needed to explore more complex and larger-scale heterogeneities that impact solute transport and dispersion behavior. Future research could investigate matrix heterogeneity within microfractured porous media using the lattice Boltzmann method (LBM) [55], allowing for a more detailed representation of flow dynamics at the pore scale. Despite the capability of in situ tests in critically analyzing the field-scale soil properties [56], understanding the fluid–fluid or fluid–porous media interactions along with the impact of hydraulic fracture characteristics [38] still plays an essential role for future studies.
4. Conclusions
This study investigates the impact of microfracture characteristics on the longitudinal dispersion coefficient in porous media within the framework of CO2 miscible flooding. Two-dimensional pore-scale direct numerical simulations are conducted by coupling the Navier–Stokes equations with the advection–diffusion equation. The spatiotemporal concentration distribution data are fitted to the analytical solution of the convection–dispersion equation to compute the longitudinal dispersion coefficient. The key conclusions derived from this study are outlined as follows:
- A longer projected microfracture length along the flow direction enhances CO2 convection–dispersion, leading to a higher longitudinal dispersion coefficient. Conversely, a longer lateral projected length of microfractures restricts the full development of the CO2 concentration front, causing a decrease in the longitudinal dispersion coefficient.
- When Pe ≥ 1, the variation in longitudinal dispersion coefficient along the flow direction in all M-PM domains follows a three-stage pattern: In Stage 1, the matrix section is before microfractures, where the longitudinal dispersion coefficient increases with the dimensionless length, and the rate of increase grows with the Peclet number. In Stage 2, the mixing section is between microfractures and the matrix, where the longitudinal dispersion coefficient variation is impacted by microfracture connectivity and orientation. In Stage 3, the matrix section is after the microfractures, where the longitudinal dispersion coefficient exhibits case-dependent behavior based on microfracture connectivity and flow conditions.
- When 0.01 ≤ Pe ≤ 0.1, the presence of dominant flow channels in M-PM1, M-PM2, and M-PM8 results in a longitudinal dispersion coefficient deviating from traditional scaling laws. However, due to the limited impact of convection, this regime remains diffusion-dominated. Uncertainty analysis indicates that for Pe < 0.07, the longitudinal dispersion coefficient in porous media with highly connected microfractures along the flow direction follows a fixed relationship with porosity. When Pe ≥ 1, all the M-PM systems transition into the mixed diffusive–advective regime, where both mechanical dispersion and molecular diffusion impact solute transport. In addition, the mixing coefficient effectively characterizes the macroscopic heterogeneity of M-PM.
Author Contributions
Conceptualization, M.W. and Q.Z.; methodology, M.W. and K.W.; software, M.W.; validation, M.W. and Q.Z.; formal analysis, M.W. and Q.Z.; investigation, M.W. and J.Y.; writing—original draft preparation, M.W. and J.Y.; writing—review and editing, K.W. All authors have read and agreed to the published version of the manuscript.
Funding
This study was supported by the Beijing Natural Science Foundation (Grant NO. 3232029) and the National Natural Science Foundation of China (Grant NO. 52174041, 52104051, 52204058, and 51874319).
Data Availability Statement
The data supporting the findings of this study are available from the corresponding author upon reasonable request.
Conflicts of Interest
The authors declare no conflicts of interest.
Abbreviations
The following abbreviations are used in this manuscript:
| Nomenclature | |
| A | Aperture of microfractures |
| CDE | convection–dispersion equation |
| c | concentration of CO2, mol·m−3 |
| c0 | Injected CO2 concentration, mol·m−3 |
| ci | Initial CO2 concentration, mol·m−3 |
| average concentration in the y-direction, mol·m−3 | |
| cD | dimensionless concentration |
| D | diffusion coefficient, m2·s−1 |
| DL | longitudinal dispersion coefficient, m2·s−1 |
| DNS | direct numerical simulation |
| ds | average particle diameter, μm |
| dp | average pore diameter, μm |
| EOR | enhanced oil recovery |
| erfc | complementary error function |
| F | formation factor |
| k | The shape factor of capillary interface |
| L | domain length, μm |
| Lc | characteristic length, μm |
| Lm | microfracture length, μm |
| M-PM | microfractured porous media |
| N-S | Navier–Stokes |
| n | Unit normal vector at boundary |
| PNM | pore network modeling |
| PSD | pore size distribution |
| p | pressure, Pa |
| Pe | Peclet number |
| SSD | Solid size distribution |
| t | time, s |
| tD | dimensionless time |
| u | fluid velocity, m·s−1 |
| u0 | injection velocity of CO2, m·s−1 |
| u | Velocity component in direction of flow, m·s−1 |
| average convection velocity, m·s−1 | |
| v | intrinsic velocity, m·s−1 |
| W | Domain width, μm |
| x, y | Cartesian coordinate components |
| xD | dimensionless length |
| Greek symbols | |
| α, α’ | power-law exponents |
| β, β’ | Mixing coefficients |
| ρ | mixture density, kg·m−3 |
| μ | mixture viscosity, Pa·s |
| μed | Viscosity of displaced fluids, Pa·s |
| μi | Viscosity of displacing fluids, Pa·s |
| φ | Original matrix porosity |
| φf | Microfracture porosity |
| φm | matrix porosity |
| φt | total porosity |
| ε | Applicability range parameters of scaling laws |
References
- Lu, M.; Qian, Q.; Zhong, A.; Zhang, Z.; Zhang, L. Investigation on the Flow Behavior and Mechanisms of Water Flooding and CO2 Immiscible/Miscible Flooding in Shale Oil Reservoirs. J. CO2 Util. 2024, 80, 102660. [Google Scholar] [CrossRef]
- Li, L.; Zhou, X.; Su, Y.; Xiao, P.; Chen, Z.; Zheng, J. Influence of Heterogeneity and Fracture Conductivity on Supercritical CO2 Miscible Flooding Enhancing Oil Recovery and Gas Channeling in Tight Oil Reservoirs. Energy Fuels 2022, 36, 8199–8209. [Google Scholar] [CrossRef]
- Zhu, Q.; Jia, X.; Li, B.; Wang, K.; Zhang, Y.; Chen, Z. Mathematical Modeling of Foamy-Oil Flow in a Cyclic Solvent Injection Process. J. Pet. Sci. Eng. 2022, 215, 110594. [Google Scholar] [CrossRef]
- Jia, X.; Zhu, Q.; Wang, K.; Jiao, B.; Guo, E.; Qu, T.; Wu, K.; Chen, Z. Numerical Simulation of Foamy-Oil Flow in a Cyclic Solvent Injection Process. Fuel 2023, 333, 126259. [Google Scholar] [CrossRef]
- Bachu, S. CO2 Storage in Geological Media: Role, Means, Status and Barriers to Deployment. Prog. Energy Combust. Sci. 2008, 34, 254–273. [Google Scholar] [CrossRef]
- Edouard, M.N.; Okere, C.J.; Ejike, C.; Dong, P.; Suliman, M.A.M. Comparative Numerical Study on the Co-Optimization of CO2 Storage and Utilization in EOR, EGR, and EWR: Implications for CCUS Project Development. Appl. Energy 2023, 347, 121448. [Google Scholar] [CrossRef]
- Cui, G.; Hu, Z.; Ning, F.; Jiang, S.; Wang, R. A Review of Salt Precipitation during CO2 Injection into Saline Aquifers and Its Potential Impact on Carbon Sequestration Projects in China. Fuel 2023, 334, 126615. [Google Scholar] [CrossRef]
- Izadpanahi, A.; Blunt, M.J.; Kumar, N.; Ali, M.; Gaeta Tassinari, C.C.; Sampaio, M.A. A Review of Carbon Storage in Saline Aquifers: Mechanisms, Prerequisites, and Key Considerations. Fuel 2024, 369, 131744. [Google Scholar] [CrossRef]
- Mim, R.T.; Negash, B.M.; Jufar, S.R.; Ali, F. Minireview on CO2 Storage in Deep Saline Aquifers: Methods, Opportunities, Challenges, and Perspectives. Energy Fuels 2023, 37, 18467–18484. [Google Scholar] [CrossRef]
- Afshari, S.; Hejazi, S.H.; Kantzas, A. Role of Medium Heterogeneity and Viscosity Contrast in Miscible Flow Regimes and Mixing Zone Growth: A Computational Pore-Scale Approach. Phys. Rev. Fluids 2018, 3, 054501. [Google Scholar] [CrossRef]
- Rokhforouz, M.R.; Akhlaghi Amiri, H.A. Pore-Level Influence of Micro-Fracture Parameters on Visco-Capillary Behavior of Two-Phase Displacements in Porous Media. Adv. Water Resour. 2018, 113, 260–271. [Google Scholar] [CrossRef]
- Meakin, P.; Tartakovsky, A.M. Modeling and Simulation of Pore-scale Multiphase Fluid Flow and Reactive Transport in Fractured and Porous Media. Rev. Geophys. 2009, 47, 2008RG000263. [Google Scholar] [CrossRef]
- El Kadi Abderrezzak, K.; Ata, R.; Zaoui, F. One-Dimensional Numerical Modelling of Solute Transport in Streams: The Role of Longitudinal Dispersion Coefficient. J. Hydrol. 2015, 527, 978–989. [Google Scholar] [CrossRef]
- Bijeljic, B.; Muggeridge, A.H.; Blunt, M.J. Pore-scale Modeling of Longitudinal Dispersion. Water Resour. Res. 2004, 40, 2004WR003567. [Google Scholar] [CrossRef]
- Bear, J. Dynamics of Fluids in Porous Media; Dover Books on Physics and Chemistry; Dover: New York, NY, USA, 1988; ISBN 978-0-486-65675-5. [Google Scholar]
- Afshari, S.; Hejazi, S.H.; Kantzas, A. Longitudinal Dispersion in Heterogeneous Layered Porous Media during Stable and Unstable Pore-Scale Miscible Displacements. Adv. Water Resour. 2018, 119, 125–141. [Google Scholar] [CrossRef]
- Bijeljic, B.; Mostaghimi, P.; Blunt, M.J. Signature of Non-Fickian Solute Transport in Complex Heterogeneous Porous Media. Phys. Rev. Lett. 2011, 107, 204502. [Google Scholar] [CrossRef]
- Hasan, S.; Niasar, V.; Karadimitriou, N.K.; Godinho, J.R.A.; Vo, N.T.; An, S.; Rabbani, A.; Steeb, H. Direct Characterization of Solute Transport in Unsaturated Porous Media Using Fast X-Ray Synchrotron Microtomography. Proc. Natl. Acad. Sci. USA 2020, 117, 23443–23449. [Google Scholar] [CrossRef]
- Sadeghi, M.A.; Agnaou, M.; Barralet, J.; Gostick, J. Dispersion Modeling in Pore Networks: A Comparison of Common Pore-Scale Models and Alternative Approaches. J. Contam. Hydrol. 2020, 228, 103578. [Google Scholar] [CrossRef]
- Mostaghimi, P.; Bijeljic, B.; Blunt, M.J. Simulation of Flow and Dispersion on Pore-Space Images. SPE J. 2012, 17, 1131–1141. [Google Scholar] [CrossRef]
- Bruderer, C.; Bernabé, Y. Network Modeling of Dispersion: Transition from Taylor Dispersion in Homogeneous Networks to Mechanical Dispersion in Very Heterogeneous Ones. Water Resour. Res. 2001, 37, 897–908. [Google Scholar] [CrossRef]
- Salles, J.; Thovert, J.-F.; Delannay, R.; Prevors, L.; Auriault, J.-L.; Adler, P.M. Taylor Dispersion in Porous Media. Determination of the Dispersion Tensor. Phys. Fluids A Fluid Dyn. 1993, 5, 2348–2376. [Google Scholar] [CrossRef]
- Sallès, J.; Thovert, J.F.; Adler, P.M. Reconstructed Porous Media and Their Application to Fluid Flow and Solute Transport. J. Contam. Hydrol. 1993, 13, 3–22. [Google Scholar] [CrossRef]
- Mahadevan, J.; Lake, L.W.; Johns, R.T. Estimation of True Dispersivity in Field-Scale Permeable Media. SPE J. 2003, 8, 272–279. [Google Scholar] [CrossRef]
- Garmeh, G.; Johns, R.T. Upscaling of Miscible Floods in Heterogeneous Reservoirs Considering Reservoir Mixing. SPE Reserv. Eval. Eng. 2010, 13, 747–763. [Google Scholar] [CrossRef]
- Connolly, M.; Johns, R.T. Scale-Dependent Mixing for Adverse Mobility Ratio Flows in Heterogeneous Porous Media. Transp. Porous Med. 2016, 113, 29–50. [Google Scholar] [CrossRef]
- Meng, Y.; Jiang, J.; Wu, J.; Wang, D. A Physics-Enhanced Neural Network for Estimating Longitudinal Dispersion Coefficient and Average Solute Transport Velocity in Porous Media. Geophys. Res. Lett. 2024, 51, e2024GL110683. [Google Scholar] [CrossRef]
- Nicolaides, C.; Jha, B.; Cueto-Felgueroso, L.; Juanes, R. Impact of Viscous Fingering and Permeability Heterogeneity on Fluid Mixing in Porous Media. Water Resour. Res. 2015, 51, 2634–2647. [Google Scholar] [CrossRef]
- Tan, C.T.; Homsy, G.M. Simulation of Nonlinear Viscous Fingering in Miscible Displacement. Phys. Fluids 1988, 31, 1330–1338. [Google Scholar] [CrossRef]
- Jha, B.; Cueto-Felgueroso, L.; Juanes, R. Quantifying Mixing in Viscously Unstable Porous Media Flows. Phys. Rev. E 2011, 84, 066312. [Google Scholar] [CrossRef]
- Brigham, W.E.; Reed, P.W.; Dew, J.N. Experiments on Mixing During Miscible Displacement in Porous Media. Soc. Pet. Eng. J. 1961, 1, 1–8. [Google Scholar] [CrossRef]
- Bretz, R.E.; Specter, R.M.; Orr, F.M. Effect of Pore Structure on Miscible Displacement in Laboratory Cores. SPE Reserv. Eng. 1988, 3, 857–866. [Google Scholar] [CrossRef]
- John, A.K.; Lake, L.W.; Bryant, S.L.; Jennings, J.W. Investigation of Mixing in Field-Scale Miscible Displacements Using Particle-Tracking Simulations of Tracer Floods with Flow Reversal. SPE J. 2010, 15, 598–609. [Google Scholar] [CrossRef]
- Bruderer-Weng, C.; Cowie, P.; Bernabé, Y.; Main, I. Relating Flow Channelling to Tracer Dispersion in Heterogeneous Networks. Adv. Water Resour. 2004, 27, 843–855. [Google Scholar] [CrossRef]
- Todd, M.R.; Longstaff, W.J. The Development, Testing, and Application of a Numerical Simulator for Predicting Miscible Flood Performance. J. Pet. Technol. 1972, 24, 874–882. [Google Scholar] [CrossRef]
- Koval, E.J. A Method for Predicting the Performance of Unstable Miscible Displacement in Heterogeneous Media. Soc. Pet. Eng. J. 1963, 3, 145–154. [Google Scholar] [CrossRef]
- Suo, S.; Jiang, L.; Wang, P.; Xie, M. Study of the Porous Media Random Structure Model. Mod. Phys. Lett. B 2020, 34, 2050090. [Google Scholar] [CrossRef]
- Shakib, J.T.; Ghaderi, A.; Shahri, A.A. Analysis of Hydraulic Fracturing Length and Aperture on the Production Rate in Fractured Reservoir. Life Sci. J. 2012, 9, 1769–1777. [Google Scholar] [CrossRef]
- Zhu, Q.; Wu, K.; Guo, S.; Peng, F.; Zhang, S.; Jiang, L.; Li, J.; Feng, D.; Zhang, Y.; Chen, Z. Pore-Scale Investigation of CO2-Oil Miscible Flooding in Tight Reservoir. Appl. Energy 2024, 368, 123439. [Google Scholar] [CrossRef]
- Ma, Q.; Zheng, Z.; Fan, J.; Jia, J.; Bi, J.; Hu, P.; Wang, Q.; Li, M.; Wei, W.; Wang, D. Pore-Scale Simulations of CO2/Oil Flow Behavior in Heterogeneous Porous Media under Various Conditions. Energies 2021, 14, 533. [Google Scholar] [CrossRef]
- National Institute of Standards and Technology. NIST. 2023. Available online: https://www.nist.gov/ (accessed on 23 May 2024).
- Taylor, G.I. Dispersion of Soluble Matter in Solvent Flowing Slowly through a Tube. Proc. R. Soc. Lond. A 1953, 219, 186–203. [Google Scholar] [CrossRef]
- Aris, R. On the Dispersion of a Solute in a Fluid Flowing through a Tube. Proc. R. Soc. Lond. A 1956, 235, 67–77. [Google Scholar] [CrossRef]
- Sahimi, M. Fractal and Superdiffusive Transport and Hydrodynamic Dispersion in Heterogeneous Porous Media. Transp. Porous Med. 1993, 13, 3–40. [Google Scholar] [CrossRef]
- Babaei, M.; Joekar-Niasar, V. A Transport Phase Diagram for Pore-Level Correlated Porous Media. Adv. Water Resour. 2016, 92, 23–29. [Google Scholar] [CrossRef]
- Mahmoudvand, M.; Ashoorian, S. Carbon Dioxide Injection Enhanced Oil Recovery and Carbon Storage in Shale Oil Reservoirs. In Gas Injection Methods; Elsevier: Amsterdam, The Netherlands, 2023; pp. 199–257. ISBN 978-0-12-822302-4. [Google Scholar]
- Van Genuchten, M.T. Analytical Solutions for Chemical Transport with Simultaneous Adsorption, Zero-Order Production and First-Order Decay. J. Hydrol. 1981, 49, 213–233. [Google Scholar] [CrossRef]
- Berkowitz, B.; Zhou, J. Reactive Solute Transport in a Single Fracture. Water Resour. Res. 1996, 32, 901–913. [Google Scholar] [CrossRef]
- Wang, L.; Cardenas, M.B.; Deng, W.; Bennett, P.C. Theory for Dynamic Longitudinal Dispersion in Fractures and Rivers with Poiseuille Flow. Geophys. Res. Lett. 2012, 39, 2011GL050831. [Google Scholar] [CrossRef]
- Archie, G.E. The Electrical Resistivity Log as an Aid in Determining Some Reservoir Characteristics. Trans. AIME 1942, 146, 54–62. [Google Scholar] [CrossRef]
- Fricke, H. The Electric Conductivity and Capacity of Disperse Systems. Physics 1931, 1, 106–115. [Google Scholar] [CrossRef]
- Legatski, M.W.; Katz, D.L. Dispersion Coefficients for Gases Flowing in Consolidated Porous Media. Soc. Pet. Eng. J. 1967, 7, 43–53. [Google Scholar] [CrossRef]
- Kinzel, D.L.; Hill, G.A. Experimental Study of Dispersion in a Consolidated Sandstone. Can. J. Chem. Eng. 1989, 67, 39–44. [Google Scholar] [CrossRef]
- Sorbie, K.S.; Parker, A.; Clifford, P.J. Experimental and Theoretical Study of Polymer Flow in Porous Media. SPE Reserv. Eng. 1987, 2, 281–304. [Google Scholar] [CrossRef]
- Liu, H.; Zhang, Y.; Valocchi, A.J. Lattice Boltzmann Simulation of Immiscible Fluid Displacement in Porous Media: Homogeneous versus Heterogeneous Pore Network. Phys. Fluids 2015, 27, 052103. [Google Scholar] [CrossRef]
- Ghaderi, A.; Abbaszadeh Shahri, A.; Larsson, S. An Artificial Neural Network Based Model to Predict Spatial Soil Type Distribution Using Piezocone Penetration Test Data (CPTu). Bull. Eng. Geol. Env. 2019, 78, 4579–4588. [Google Scholar] [CrossRef]
Disclaimer/Publisher’s Note: The statements, opinions and data contained in all publications are solely those of the individual author(s) and contributor(s) and not of MDPI and/or the editor(s). MDPI and/or the editor(s) disclaim responsibility for any injury to people or property resulting from any ideas, methods, instructions or products referred to in the content. |
© 2025 by the authors. Licensee MDPI, Basel, Switzerland. This article is an open access article distributed under the terms and conditions of the Creative Commons Attribution (CC BY) license (https://creativecommons.org/licenses/by/4.0/).

















