Abstract
Soybean oil is the second most consumed vegetable oil worldwide and is recognized as a source of heart-healthy polyunsaturated fatty acids. Optimizing the extraction process in the oil industry is essential for both economic and environmental sustainability. This research aimed to determine the optimal conditions for various extraction parameters—stripper temperature (110–140 °C), stripper pressure (150–210 mbar), and dryer pressure (60–120 mbar)—and their effects on the physicochemical properties of soybean oil. These properties include oil-insoluble fine substances, acidity, the color index, peroxide value, oxidative stability, and moisture content. The results indicated that the stripper temperature significantly influenced oil-insoluble fine substances, acidity, the color index, and peroxide value (p < 0.05). The optimal conditions for oil extraction were found to be a stripper temperature of 110 °C, a stripper pressure of 150 mbar, and a dryer pressure of 120 mbar. Under these conditions, the oil-insoluble fine substances, acidity, the color index, peroxide value, oxidative stability, and moisture content of soybean oil were in the ranges of 0.2–0.58%, 0.63–1.15%, 4.3–5.5, 0.67–1.23 meqO2/kg, 3–5.5, and 0.05–0.11%, respectively. These findings provide valuable insight for optimizing soybean oil extraction processes to enhance quality and efficiency. Future advancements in industrial oil extraction are expected to focus on integrating efficient, eco-friendly technologies and enhancing precision through automation and data analytics to optimize yield and minimize waste.
1. Introduction
Plant oils are an important source of essential nutrients in the human diet. The usage forms are different: raw form, creams, mayonnaise, ice cream, or other food products. In food products, oils are mixed with emulsifying agents, such as proteins, phospholipids, and surfactants, and then homogenized to create a stable oil-in-water emulsion [1]. Soybean (Glycine max) is an important food crop known for its rich content of oil and plant proteins [2]. As one of the most widely consumed cooking oils, soybean oil ranks as the second most consumed vegetable oil globally, accounting for approximately 50% of the edible vegetable oil supply and 30% of all fats and oils produced worldwide [3]. Given its critical role in global food security, soybean cultivation is essential for meeting the nutritional needs of a growing population, as it contributes significantly to both caloric intake and protein supply [4]. This economically significant oilseed crop contains around~35–40% protein, ~20% lipids, ~9% dietary fiber, and ~8.5% moisture content [2,5]. Additionally, soybean oil is characterized by its rich biochemical composition, including high levels of linoleic and α-linolenic acids, along with various phospholipids, triglycerides, and minor components, such as isoflavones and saponins. The biochemical composition of plants with essential oils can significantly vary depending on the location and climatic conditions in which they are cultivated [5,6,7].
In 2021, global soybean production exceeded 388 million tons, with 34.8% produced in Brazil, 31.1% in the USA, and 11.9% in Argentina, according to the FAO [8]. Soybean oil is particularly valued for its commercial importance and nutritional benefits, such as being rich in polyunsaturated fatty acids, namely linoleic acid (about 51%) and α-linolenic acid (around 7–10%) [9]. It has been recognized as a source of heart-healthy polyunsaturated fatty acids and vitamin E, which possesses antioxidant properties [10].
The soybean is the most produced oilseed crop in the world [11]. Oil extraction is one of the most critical steps in seed oil processing because it determines the quality and quantity of the oil extracted [12]. The two primary industrial methods for oil production are mechanical processing and solvent extraction, with solvent extraction being the most widely used method for lipid extraction and the method can affect the physicochemical properties of the oil [13,14]. In solvent extraction, organic solvents like hexane are commonly used owing to their ability to break down plant cell walls or disrupt the interaction between lipids and the tissue matrix, allowing for effective oil extraction costs and the ability to produce a defatted meal with an acceptable odor and low residual oil content. However, various parameters, including temperature and pressure, can significantly influence the quality and quantity of the oil and meal obtained from oilseeds [14]. While much research has been conducted on optimizing the quantity and quality of oil during extraction, there is limited research focused on industrial-scale extraction parameters, including temperature (110–125 and 140 °C), stripper pressure (150, 180, and 210 mbar), and the pressure of the oil dryer (60, 90, and 120 mbar), on the physicochemical properties of soybean oil. These properties include oil-insoluble fine substances, acidity, the color index, peroxide value, oxidative stability, and moisture content. We used response surface methodology and central composite rotatable design to optimize these parameters, ultimately identifying the optimal conditions for soybean extraction. Hexane is the main solvent used in industry for oil extraction due to its high efficiency and practicality [15]. Oil extraction with hexane provides high oil recovery with low production costs. This method has additional advantages, such as producing a defatted meal with an acceptable odor and low residual oil content [16,17]. Various parameters can influence the quality and quantity of the oil and meal obtained from oilseeds, making it crucial to determine the optimal conditions for oil extraction [9,13,15,16,18,19,20,21,22]. Researchers have extensively studied the quantity and quality of oils during extraction [9,13,15,16,18,19,20,21,22]. The purpose of this study was to optimize part of the process of oil extraction (separating hexane from miscella) in order to produce higher quality soybean oil.
2. Materials and Methods
2.1. Raw Materials
Soybeans (Gorgan variety) were sourced from Gorgan, Golestan province, Iran, and transported to the Khorasan Cotton and Oilseeds Company in Neyshabur, Khorasan Razavi, Iran, for the production of oil and flour.
2.2. Oil Extraction
Upon arrival at the factory, the soybeans were stored in beehive-shaped silos and were purified to remove impurities. The seeds were then fed into a cracker (Buhler, Alzenau, Germany, capacity of 500 tons per day) and broken down into smaller particles. Next, they were transferred to a cooking pot (Andreotti, Calenzano, Italy, capacity of 500 tons per day), where the temperature and moisture content were adjusted to 60 °C and 12%, respectively. The seeds remained in this stage for approximately 40 min. The effect of sampling time before entering the line on some properties of soybeans is mentioned in Table 1.
Table 1.
The effect of sampling time before entering the line on some properties of soybeans *.
The heated soybeans were then processed in a flicker (Buhler, Germany, capacity of 250 tons per day) to create flakes. Soybean oil was extracted from the flakes using hexane solvent in an extractor (operating at 50 °C for 7 h), producing a miscella (a mixture of hexane and oil) containing about 30% oil. After passing through a strainer, the miscella entered the economizer, where its oil content increased to about 70%. It then proceeded to the evaporator, where the oil content in the miscella reached approximately 90–95%. In the next stage, the miscella entered the stripper, which was operated at three different levels of pressure (150, 180, and 210 mbar) and three levels of temperature (110, 125, and 140 °C). Afterward, the miscella was transferred to the dryer, which was also operated at three different levels of pressure (60, 90, and 120 mbar) and a temperature of 120 °C to completely separate and recover the solvent from the oil. Finally, the oil was cooled and stored in oil tanks. The stripper and dryer in the production line of the Khorasan Cotton and Oilseeds Company were manufactured by Andreotti, Italy, with the capacity of approximately 80 tons per day. On average, the oil remained in these devices for about 2.5 h. Valves on these devices allow for sampling, which was conducted every two hours. The data used in this study represent the average of at least 50 samples. Table 2 shows the treatments studied in this research, which included 20 treatments with 6 replications at the central point. It is important to note that to ensure uniformity of the oil and to prevent other processes from influencing the measured characteristics, the conditions of the subsequent stages were kept constant across all treatments. In the stripper, both direct and indirect steam were used, while in the dryer, only direct steam was applied, with the pressure controlled accordingly. The Khorasan Cotton and Oilseeds factory utilizes DeSmet extractors, a type of horizontal extractor with uneven solvent and sample flow. Valves installed along the processing route were used for sampling.
Table 2.
Treatments used in this study.
2.3. Oil-Insoluble Fine Substances
To measure the amount of oil-insoluble fine substances, 10 mL of soybean oil was poured into centrifuge tubes (Thermo, Tokyo, Japan) and centrifuged at 4000 rpm for 10 min. The percentage of oil-insoluble fine substances was determined by multiplying the mass of the material deposited inside the tube by 10 [23].
2.4. Determination of Color Index
A UV–Visible spectrophotometer (Shimadzu, Kyoto, Japan) and the AOCS Cd 13-92 [24] method were used to measure the color index. So, the optical density of the oil was measured at wavelengths of 460, 550, 620, and 670 nm, then the color index was determined according to the yellow color of Leviband (Equation (1)), as follows:
This formula was used to calculate the color index, which is typically used to measure the color of a substance based on how it absorbs light.
A460, A550, A620, A670: these are absorbance values of the material at specific wavelengths of light (460 nm, 550 nm, 620 nm, and 670 nm). The result of the formula gives a numerical value that presents the color of the substance. This can be used to identify the material or analyze its properties.
2.5. Acidity
The acidity of the soybeans and soybean oil was measured following the AOCS 3-63 method [24]. First, 5 g of sample was mixed with 20–30 mL of ethanol. Then, a few drops of phenolphthalein were added, and the mixture was titrated with 0.1 N NaOH solution until a pink color appeared. Acidity was then calculated using Equation (2):
where V is the volume of titrant (NaOH) used to neutralize the acid in the sample, W is the weight of the sample being analyzed, and A represents the free fatty acids, expressed as oleic acid in 100 g of sample. The constant 2.82 was used to adjust the calculation for the specific acid (oleic acid).
2.6. Peroxide Value
The peroxide value is important in food science because it indicates the extent of oxidation, which can be lead to rancidity in oils. The peroxide value of the soybeans and soybean oil was measured following the AOCS 8-53 method [24]. Approximately 5 g of sample was mixed with 300 mL of acetic acid-chloroform solvent (in a 3:2 v/v). After stirring, 0.5 mL of saturated potassium iodide solution was added and the mixture was left in the dark for 1 min. Next, 30 mL of distilled water was added to the solution, which was then slowly titrated with 0.1 M sodium thiosulfate until the yellow color disappeared. Afterward, 0.5 mL of starch reagent was added and the titration was continued until the blue color disappeared. The peroxide value was then calculated using Equation (3). This formula was used to calculate the peroxide value (P), which is a measure of the amount of peroxides in fats or oils:
where S is the volume of titrant (usually sodium thiosulfate in mL), M is the molarity of the titrant (sodium thiosulfate solution), W is the weight of the sample being tested in grams, and P is the peroxide, expressed in milliequivalents of oxygen per kilogram of each sample. Additionally, 100 is a constant factor used to scale the result for expression in standard units.
2.7. Oxidative Stability Measurement
The stability of the soybean oil was determined using a Rancimat (Ohm Meter, Liestal, Switzerland) and the AOCS Cd 12b-92 method [24].
2.8. Moisture Content
The moisture content was measured according to the AOAC 44-15 method [25]. About 2 g of sample was weighed in a container that had previously been dried to a constant weight in a laboratory oven (Memmert, Schwabach, Germany). The sample was then dried in an oven at 100 °C for 3–5 h. After cooling in a desiccator, the moisture content was calculated based on the difference in weight.
2.9. Statistical Analysis
Response surface methodology (RSM) features include the design of experiments to efficiently explore the input space, fitting of polynomial models to approximate the true response surface, and the use of contour plots and other visualization techniques to understand response behavior. It is widely used in optimization to find the best operating conditions for a system or process, particularly when the response is influenced by multiple variables and their interactions. This makes RSM particularly valuable in fields like engineering, manufacturing, and product development, where it helps in identifying optimal conditions and enhancing performance. RSM was used to evaluate the effects of fixed parameters (stripper temperature (X1), stripper pressure (X2), and dryer pressure (X3)) on variable parameters (moisture content, acidity, peroxide value, color parameter, oxidative stability, and oil-insoluble fine substances) using a central composite rotatable design. The primary focus of this study was to investigate the interaction of these factors and identify the optimal conditions for the oil extraction process from soybeans. Therefore, RSM was selected for this analysis. To assess the response surface, a quadratic polynomial equation was fitted for each independent variable (Equation (4)), as follows:
where Y represents the estimated response (moisture content, acidity, peroxide value, color parameter, oxidative stability, and oil-insoluble fine substances), βii, βi, β0, and βij are constant coefficients, and xj and xi denote encoded independent variables. The quality and accuracy of the regression model, as well as the appropriateness of the fit, were assessed using analysis parameters, fitting weakness, and the coefficient of determination. Statistical analysis was performed using Design Expert software (version 6.0.2). To compare certain characteristics of the input soybeans at different times, a completely randomized design and SAS software (version 7) were used, with Duncan’s multiple range test applied to compare means at the 95% confidence level.
3. Results and Discussion
3.1. Some Properties of Soybeans Before Entering the Line
Table 3 presents the average data from three work shifts. The time at which the soybeans entered the production line had no significant effect on the acidity and peroxide value of the sample (p > 0.05), indicating the uniformity and homogeneity of the soybeans entering the line. It is worth noting that the Khorasan Cotton and Oilseeds Company operates three production shifts. Due to the lack of significant differences at the 5% level among the samples taken at different times and shifts, it could be concluded that the influence of the sampler was neutralized. The acidity and peroxide value of the samples ranged from 0.45% to 0.47% and 0.50 to 0.53 meqO2/kg, respectively.
Table 3.
Model selection for dependent variables.
3.2. Oil-Insoluble Fine Substances
During the extraction process, the extracted oil contains some fine solids that are insoluble in the oil and must be separated. This separation occurs in a decanter or separator, where fine materials are collected as insoluble substances at the end of the tank, and the oil is then filtered [15]. Increasing the temperature and pressure during the process can lead to chemical reactions that cause some soluble compounds to become insoluble, thereby increasing the amount of fine substances in the oil.
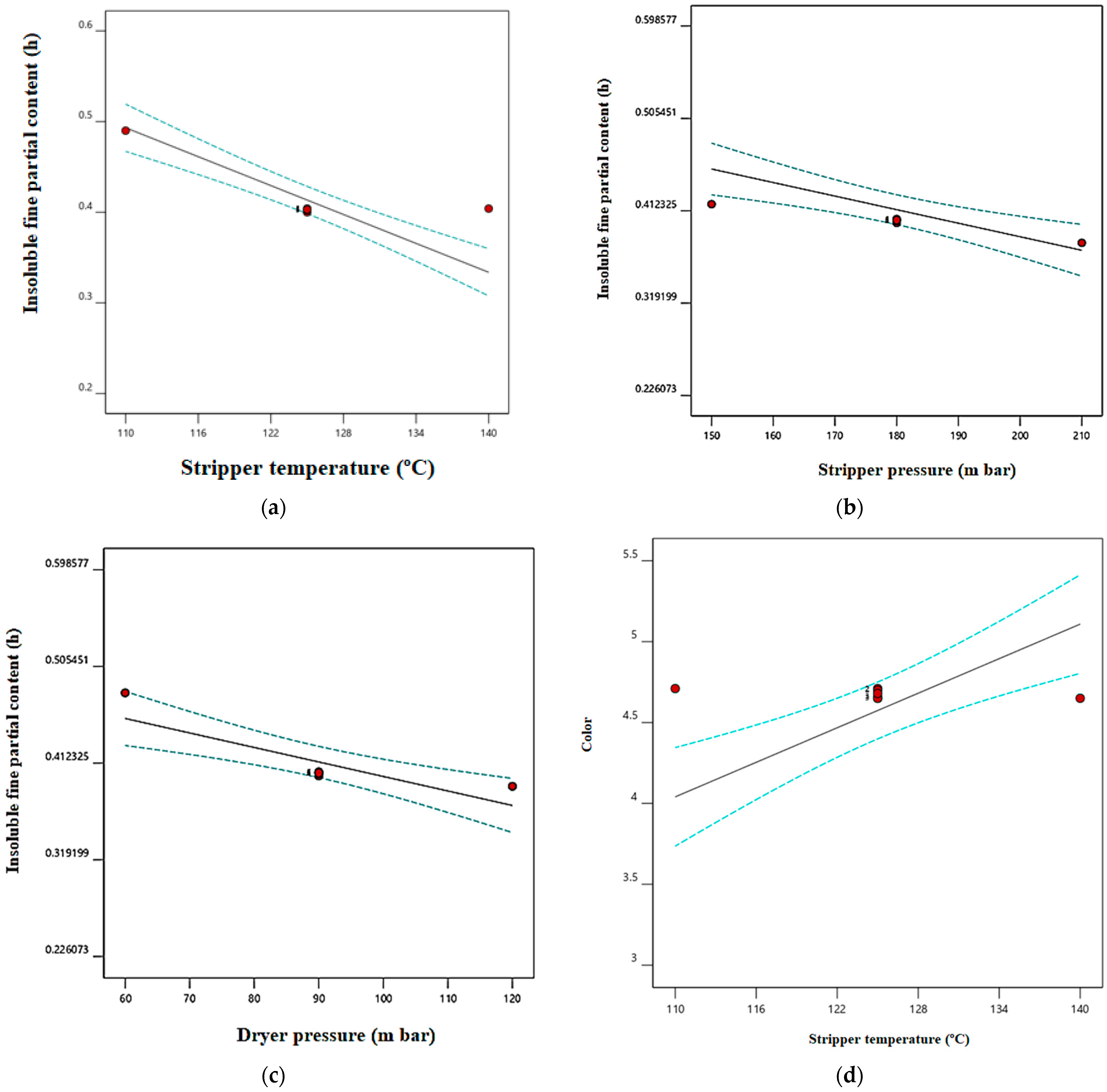
Table 3 indicates that the best model for the effect of operating parameters on the oil-insoluble fine substances was the linear model. Table 4 demonstrates that variations in stripper temperature, stripper pressure, and dryer pressure significantly affected the oil-insoluble fine substances (p < 0.001). As shown in Figure 1a–c, increases in stripper temperature, stripper pressure, and dryer pressure reduced the amount of oil-insoluble fine substances. The best model results suggested that the effect of stripper temperature on the oil-insoluble fine substances was more significant than that of other parameters (Table 5). The concentration of oil-insoluble fine substances of soybean oil ranged from 0.2% to 0.58%. Bakhshabadi et al. (2017) investigated the effects of operating parameters on oil extraction from sunflowers and reported that increased processing temperature raised the level of insoluble fine matter, which aligned with the findings of this study [26]. Farzaneh et al. (2017) observed similar results in oil extraction from rapeseed [23]. Abad and Shahidi (2020) developed a robust stripping method for removing minor components from edible oils and reported that this method was much better than column chromatography [20].
Table 4.
Analysis of variance for determined parameters.
Figure 1.
The effects of (a) stripper temperature, (b) stripper pressure, and (c) dryer pressure on the oil-insoluble fine substances and (d) stripper temperature on the color index of soybean oil. Solid line: design point, Dashed line: 95% Cl bands, Number: Repetition in the central points of the design.
Table 5.
Designed equation models for dependent variables.
3.3. Color Index
Color is a crucial quality characteristic of food that significantly impacts its acceptability. If a food product does not have the right color, it will face a severe decrease in supply value. Other quality characteristics, such as aroma, taste, and texture, are evaluated after consumption and sometimes only after initial purchase and use [27]. Lee et al. (2004) reported that the formation of brown substances in heat-processed compounds results from non-enzymatic browning reactions, including Millard reactions, caramelization, and phospholipid degradation. This explains the increase in the color index with higher processing temperature [28]. Table 3 illustrates that the linear model provided a better fit for the color index of soybean oil compared to other models. The analysis results also indicated that only the linear parameter of stripper temperature significantly affected the color index of the oil (p < 0.01) (Table 4). As depicted in Figure 1d, increasing the stripper temperature elevated the color index of soybean oil samples. Table 5 highlights that among all of the operational parameters studied, stripper temperature had the most significant effect on the color index. The color index of soybean oil ranged from 4.3 to 5.5. Bakhshabadi et al. (2018) found that increasing the temperature during the extraction of oil from Nigella sativa seeds led to phospholipid degradation and a corresponding increase in oil color [29]. Mitra et al. (2009), using supercritical carbon dioxide extraction and RSM for pumpkin seed oil, reported Hunter L, a, b coordinates of a (1.51 ± 0.52), b (19.10 ± 1.19), and L (4.15 ± 1.72), indicating a green to yellowish color for pumpkin oil [30]. Similarly, Ma et al. (2019) reported that pepper seed oil had a yellowish color [31].
3.4. Acidity
Acidity and acid value are critical quality characteristics of oils, serving as standards of purity. While refined oils are typically free of free fatty acids, significant amounts of these compounds are present in crude oils [32]. Increased acidity is associated with the chemical decomposition of triglycerides and the breaking of ester bonds between fatty acids, leading to higher levels of free fatty acids [33]. Table 3 shows the results of the fitting data for soybean oil acidity. The 2FI model was identified as the best fit for the acidity data (p = 0.0543). Statistical analysis indicated that the linear parameter of stripper temperature, as well as the interactions between stripper temperature and pressure and stripper temperature and dryer pressure, significantly affected oil acidity (p < 0.05) (Table 4). Figure 2a illustrates how stripper temperature and pressure impact soybean oil acidity. Increasing the stripper temperature continuously raised the acidity of soybean oil. At lower temperatures, the acidity increased with stripper pressure, but at higher stripper temperatures, it decreased with increasing pressure. Additionally, the acidity increased with higher dryer pressure at lower stripper temperatures but decreased with increasing dryer pressure at higher stripper temperature (Figure 2c). As shown in Table 4, the effect of stripper and dryer pressure on oil acidity was insignificant compared to stripper temperature. Aligning with the results in this section, Sesti Osseo et al. (2004) [34] also showed that at low temperatures, with increasing pressure, the oil acidity and peroxide value increased, but at higher temperatures with increasing pressure, these characteristics decreased. This is probably because with the increase in pressure there is the need for higher temperature; as a result, the increase in pressure reduces the effect of temperature to some extent, and it is also possible that some of the antioxidant compounds that are transferred into the oil are less damaged at higher pressures, so they prevent further increase in acidity.

Figure 2.
The effect of (a,b) temperature and pressure of stripper and (c,d) stripper temperature and pressure dryer on the acidity and peroxide value of soybean oil. Bold circle symbol: above surface and Faint circle symbol: below surface.
Table 4 shows that the linear parameter of stripper temperature had the greatest effect on the acidity of soybean oil. The acidity of soybean oil was in the range of 0.63–1.15%. Bakhshabadi et al. (2017) reported similar findings when studying the impact of microwaves on the physicochemical properties of Nigella sativa seed oil. They observed that high process temperature and triglyceride breakdown into free fatty acids led to increased acidity [35]. Ma et al. (2019) compared pressure-assisted extraction (PAE), ultrasound-assisted extraction (UAE), and conventional solvent extraction (CSE) via RSM to optimize pressure parameters in pepper seed oil extraction. They found that PAE resulted in the lowest acid value of 93.89 mg KOH/g) [31].
According to Codex standards, for refined vegetable oils, including soybean oil, the maximum acid values are typically ≤0.6 mg KOH/g for refined oils and ≤4.0 mg KOH/g for crude (unrefined) oils [36].
3.5. Peroxide Value
Peroxide value is a primary indicator of fatty substances. Generally, oils with a higher degree of unsaturation are more prone to oxidation. As peroxide levels increase, they lead to the formation of aldehydes and ketones, which contribute to undesirable smells and tastes in fatty substances [23]. Peroxide value is also a good indicator of freshness; for instance, in refined soybean oil, a peroxide value of 1 or less suggests product freshness [37]. An increase in peroxide value can often be attributed to higher processing temperature, which accelerates oxidation. Heat enhances the rate of free radical formation, which in turn promotes the oxidation of unsaturated fatty acids [38]. Lipid peroxidation has been shown to be exponentially dependent on temperature. The magnitude of the temperature effect on each of the kinetic parameters and rate constants can be investigated through the temperature coefficient, which is calculated by semi-logarithmic regression of the parameters on temperature [39]. Table 3 shows that the best model for fitting the peroxide value was the 2FI model (p = 0.004). It can also be seen in Table 3 that the effect of the linear parameter of stripper temperature and the interaction between temperature and stripper pressure as well as stripper temperature and dryer pressure on the peroxide value of soybean oil was significant (p < 0.05). As the stripper temperature increased, the peroxide value of the oil increased, but with the increase in stripper pressure, the peroxide value increased at low temperatures and decreased at high temperatures (Figure 2b). In addition, it can be seen in Figure 2d that the peroxide value was reduced with the increase in dryer pressure. According to the results of Table 4, the linear parameter of the stripper temperature had the greatest effect on the peroxide value of soybean oil. In this study, the peroxide value of soybean oil was from 0.67 to 1.23 meqO2/kg. The peroxide value of crude soybean oil should be less than 15 meqO2/kg, and it was very low in this study. Mitra et al. (2009) and Ma et al. (2019) reported peroxide values of 3.46 ± 0.42 meqO2/kg for pumpkin seed oil and 1.47 m mol/kg for pepper seed oil, respectively [30,31]. Emmons et al. (1999) highlighted that the conditions and type of operation applied during oilseed processing significantly affected peroxide levels. Their research indicated that the oxidation of phospholipids, besides photo-oxidation, also contribute to higher peroxide values in oil extraction [40]. The international standards for peroxide value in oils, such as those provided by the Codex Alimentarius or ISO standards, specify acceptable limits to ensure oil quality and safety for consumption. For refined soybean oil, the peroxide value is typically set at a maximum of 10 meqO2/kg (milliequivalents of active oxygen per kilogram of oil).
3.6. Oxidative Stability of Soybean Oil
Oxidative stability refers to the duration it takes for an oil to reach a point where oxidation indicators, such as peroxide value or carbonyl number, sharply increase, resulting in the production of unpleasant tastes and odors. Oxidation leads to spoilage, which degrades food quality and causes off-flavors and smells. Evaluating oxidative stability is crucial for understanding the chemical, physical, and nutritional changes that occur in oils during thermal processes. One of the key indicators of oxidative stability is the oxidation stability index [41]. However, measuring the oxidative stability index alone does not fully evaluate oil quality, but it provides insight into the initial state of the oil sample [42]. Table 3 indicates that the linear model was the most effective for fitting the oxidative stability data of soybean oil (p = 0.003). Table 4 indicates that the linear parameter of the stripper temperature significantly impacted the oxidative stability of soybean oil (p < 0.05). The results demonstrated that an increase in stripper temperature decreased the oxidative stability of the oil (Figure 3a and Table 5). This decrease in oxidative stability with higher stripper temperature can be attributed to reductions in tocopherol and antioxidant compounds due to increased heat, as well as the increase in free fatty acids at higher stripper temperature [43,44,45]. The oxidative stability of soybean oil in this study ranged from 3 to 5.5. Samaram et al. (2014) found that the extraction method affected the oxidative stability of papaya seed oil, with ultrasound-assisted extraction showing higher oxidative stability compared to Soxhlet and solvent extraction methods [46].
Figure 3.
The effect of (a,b) stripper temperature on the oxidative stability and moisture content of soybean oil. Solid line: design point, Dashed line: 95% Cl bands, Number: Repetition in the central points of the design.
The peroxide value of refined vegetable oils (including soybean oil) is ≤10 meqO2/kg according to Codex standards [36]. While, according to the European Union, the maximum peroxide value is 10 meqO2/kg for refined oils and 15–20 meqO2/kg for cold-pressed or unrefined oils [47].
3.7. Moisture Content
The linear model was identified as the best fit for the moisture content data (p = 0.0009) (Table 3). The data analysis indicated that both the linear parameters of temperature and stripper pressure significantly affected the moisture content of the oil (p < 0.05) (Table 4). The results showed that increasing the temperature of the stripper led to a decrease in the moisture content of the oil (Table 5 and Figure 3b). The reduction in moisture content with higher process temperature was more pronounced than the effect of pressure, as the increased temperature facilitated greater evaporation of moisture. The moisture content of soybean oil ranged from 0.05 to 0.11%. Laoretani et al. (2014) reported that higher process temperature result in decreased oil moisture [48]. Rostami et al. (2014) and Bakhshabadi et al. (2017) observed a decrease in moisture content with increasing process temperature, consistent with the findings of this research [15,26].
3.8. Optimizing Soybean Oil Extraction on an Industrial Scale
Considering that the oil extraction of soybean on an industrial scale was conducted under specific conditions (stripper temperature 110–140 °C, stripper pressure 150 to 210 mbar, and dryer pressure 60 to 120 mbar), the optimal conditions for achieving minimal oil-insoluble fine materials, acidity, peroxide value, moisture content, and color index while maximizing oxidative stability were determined. The results indicated that the best conditions for soybean oil extraction were a stripper temperature of 110 °C, stripper pressure of 150 mbar, and dryer pressure of 120 mbar (R2 = 0.763). To validate the model predicted by the software, the data obtained under these optimal conditions were compared with the same characteristics under real conditions (Table 4). Except for the color index, there were no significant differences between the real and predicted values. Subroto et al. (2015) reported the optimal conditions for extracting oil from Jatropha curcas L. kernels as 19 MPa pressure, 90 °C pressing temperature, and 3.8% (w.b) moisture content, yielding an oil extraction rate of 87.8% [49]. Rezzoug et al. (2005) used RSM to evaluate various conditions for extracting essential oil from rosemary leaves. The optimal conditions they identified were a pressure level of 410 KPa, a moisture content of 0.40 g H2O/g of dry material, and a processing time of 15.8 min, resulting in a predicted essential oil yield of 96% using a polynomial equation. Their results highlighted the significant effects of processing temperature and time on the extraction of essential oil from rosemary leaves [50]. Mitra et al. (2009) studied oil extraction from pumpkin seeds using supercritical carbon dioxide and reported a maximum yield of 37% under the optimal conditions of 32,140 KPa pressure and 68.1 °C for 94.6 min [30].
4. Conclusions
Extraction is the most prevalent method used in the industry for oil production. To achieve high-quality and high-quantity oil, designing an effective process in crucial. This research examined various parameters of soybean oil extraction, including stripper temperature (110–140 °C), stripper pressure (150–210 mbar), and dryer pressure (60 to 120 mbar), and optimized the extraction process on an industrial scale. Increasing the stripper temperature was found to decrease the oil-insoluble fine substances, oxidative stability, and moisture content, while increasing acidity, the color index, and peroxide value. An increase in stripper pressure reduced the oil-insoluble fine substances and moisture content. Additionally, higher dryer pressure decreased the oil-insoluble fine substances and peroxide value. The analysis indicated that the stripper temperature had a more significant impact on oil-insoluble fine substances, acidity, the color index, and peroxide value compared to other parameters. The optimal conditions of soybean oil extraction were identified as a stripper temperature of 110 °C, stripper pressure of 150 mbar, and dryer pressure of 120 mbar. The findings of this research provide valuable insight for the oil industry, helping to determine the best conditions for soybean oil extraction. The future of industrial oil extraction methods is likely to see significant advancements with the integration of more efficient and environmentally friendly technologies, such as supercritical fluid extraction and enzyme-assisted processes. Innovations in automation and data analytics will also enhance the precision and scalability of extraction methods, optimizing yield and reducing waste during the process.
Author Contributions
T.M.-M.: conceptualization, writing—original draft, review and editing: H.B.: methodology, supervision, project administration: A.M.: writing—review and editing, visualization: M.E.V. and A.B.: writing—original draft, data curating. All authors have read and agreed to the published version of the manuscript.
Funding
This research received no external funding.
Data Availability Statement
The original contributions presented in the study are included in the article; further inquiries can be directed to the corresponding author.
Conflicts of Interest
Author Abolfazl Bojmehrani was employed by the Khorasan Cotton and Oilseeds Company. The remaining authors declare that the research was conducted in the absence of any commercial or financial relationships that could be construed as a potential conflict of interest.
References
- Zhao, Q.; Xu, Y.; Liu, Y. Soybean oil bodies: A review on composition, properties, food applications, and future research aspects. Food Hydrocoll. 2022, 124, 107296. [Google Scholar]
- Liu, S.; Zhang, M.; Feng, F.; Tian, Z. Toward a “green revolution” for soybean. Mol. Plant 2020, 13, 688–697. [Google Scholar] [CrossRef]
- Khamies, M.; Hagar, M.; Kassem, T.S.; Moustafa, A.H.E. Case study of chemical and enzymatic degumming processes in soybean oil production at an industrial plant. Sci. Rep. 2024, 14, 4064. [Google Scholar] [CrossRef]
- Rizi, M.S.; Mohammadi, M. Breeding crops for enhanced roots to mitigate against climate change without compromising yield. Rhizosphere 2023, 26, 100702. [Google Scholar] [CrossRef]
- Chatterjee, C.; Gleddie, S.; Xiao, C.-W. Soybean bioactive peptides and their functional properties. Nutrients 2018, 10, 1211. [Google Scholar] [CrossRef]
- Preece, K.; Hooshyar, N.; Zuidam, N. Whole soybean protein extraction processes: A review. Innov. Food Sci. Emerg. Technol. 2017, 43, 163–172. [Google Scholar] [CrossRef]
- Shaltouki, M.; Nazeri, V.; Shokrpour, M.; Tabrizi, L.; Aghaei, F. Phenotypic and genotypic assessment of some Iranian Ziziphora clinopodioides Lam. Ecotypes. J. Agric. Sci. Technol. 2021, 23, 645–660. [Google Scholar]
- FAO. Food and Agriculture Organization (FAO). Available online: https://www.donorplatform.org/post/fao-statistical-yearbook-2023-world-food-and-agriculture/ (accessed on 1 January 2023).
- Kong, W.; Baeyens, J.; De Winter, K.; Urrutia, A.R.; Degrève, J.; Zhang, H. An energy-friendly alternative in the large-scale production of soybean oil. J. Environ. Manag. 2019, 230, 234–244. [Google Scholar] [CrossRef]
- Aussanasuwannakul, A.; Boonbumrung, S.; Pantoa, T. Valorization of soybean residue (Okara) by supercritical carbon dioxide extraction: Compositional, physicochemical, and functional properties of oil and defatted powder. Foods 2023, 12, 2698. [Google Scholar] [CrossRef] [PubMed]
- Wilcox, J. (Ed.) Breeding soybeans for improved oil quantity and quality. In World Soybean Research Conference III; CRC Press: Boca Raton, FL, USA, 2022. [Google Scholar]
- Say, M.; Kong, S.; Nat, Y.; Tan, C.P.; Tan, R. Oil extraction through hydraulic pressing from Cambodian soybean seeds and analysis of its physicochemical quality. J. Food Technol. 2023, 10, 93–102. [Google Scholar]
- Cheng, M.-H.; Rosentrater, K.A. Economic feasibility analysis of soybean oil production by hexane extraction. Ind. Crops Prod. 2017, 108, 775–785. [Google Scholar] [CrossRef]
- Zhang, H.; Yuan, Y.; Zhu, X.; Xu, R.; Shen, H.; Zhang, Q.; Ge, X. The effect of different extraction methods on extraction yield, physicochemical properties, and volatile compounds from field muskmelon seed oil. Foods 2022, 11, 721. [Google Scholar] [CrossRef] [PubMed]
- Rostami, M.; Farzaneh, V.; Boujmehrani, A.; Mohammadi, M.; Bakhshabadi, H. Optimizing the extraction process of sesame seed’s oil using response surface method on the industrial scale. Ind. Crops Prod. 2014, 58, 160–165. [Google Scholar] [CrossRef]
- Potrich, E.; Miyoshi, S.C.; Machado, P.F.; Furlan, F.F.; Ribeiro, M.P.; Tardioli, P.W.; Giordano, R.L.; Cruz, A.J. Replacing hexane by ethanol for soybean oil extraction: Modeling, simulation, and techno-economic-environmental analysis. J. Clean. Prod. 2020, 244, 118660. [Google Scholar] [CrossRef]
- Lavenburg, V.M.; Rosentrater, K.A.; Jung, S. Extraction methods of oils and phytochemicals from seeds and their environmental and economic impacts. Processes 2021, 9, 1839. [Google Scholar] [CrossRef]
- Taticchi, A.; Esposto, S.; Veneziani, G.; Minnocci, A.; Urbani, S.; Selvaggini, R.; Sordini, B.; Daidone, L.; Sebastiani, L.; Servili, M. High vacuum-assisted extraction affects virgin olive oil quality: Impact on phenolic and volatile compounds. Food Chem. 2021, 342, 128369. [Google Scholar] [CrossRef] [PubMed]
- Ferreira, M.C.; Gonçalves, D.; Bessa, L.C.; Rodrigues, C.E.; Meirelles, A.J.; Batista, E.A. Soybean oil extraction with ethanol from multiple-batch assays to reproduce a continuous, countercurrent, and multistage equipment. Chem. Eng. Process. Process Intensif. 2022, 170, 108659. [Google Scholar] [CrossRef]
- Abad, A.; Shahidi, F. A robust stripping method for the removal of minor components from edible oils. Food Prod. Process. Nutr. 2020, 2, 1–9. [Google Scholar] [CrossRef]
- Comerlatto, A.; Voll, F.A.; Daga, A.L.; Fontana, É. Mass transfer in soybean oil extraction using ethanol/isopropyl alcohol mixtures. Int. J. Heat Mass Transf. 2021, 165, 120630. [Google Scholar] [CrossRef]
- Chakraborty, D.; Das, J.; Das, P.; Bhattacharjee, S.; Das, S. Evaluation of the parameters affecting the extraction of sesame oil from sesame (Sesamum indicum L.) seed using soxhlet apparatus. Int. Food Res. J. 2017, 24, 691–695. [Google Scholar]
- Farzaneh, V.; Bakhshabadi, H.; Gharekhani, M.; Ganje, M.; Farzaneh, F.; Rashidzadeh, S.; Carvalho, I.S. Application of an adaptive neuro_fuzzy inference system (ANFIS) in the modeling of rapeseeds’ oil extraction. J. Food Process Eng. 2017, 40, e12562. [Google Scholar] [CrossRef]
- AOCS. AOCS Official Method Cd 8-53. In Official Methods and Recommended Practices of the AOCS; AOCS: Champaign, IL, USA, 1993. [Google Scholar]
- Cunniff, P.; Washington, D. Official methods of analysis of aoac international. J. AOAC Int. 1997, 80, 127A. [Google Scholar]
- Bakhshabadi, H.; Rostami, M.; Moghimi, M.; Bojmehrani, A.; Bahelkeh, A.; Toorani, N. Optimizing the operating parameters of cooker during oil extraction and production of sunflower meal on an industrial scale. Iran. Food Sci. Technol. Res. J. 2017, 13, 27–37. [Google Scholar]
- Moghimi, M.; Farzaneh, V.; Bakhshabadi, H. The effect of ultrasound pretreatment on some selected physicochemical properties of black cumin (Nigella sativa). Nutrire 2018, 43, 18. [Google Scholar] [CrossRef]
- Lee, Y.-C.; Oh, S.-W.; Chang, J.; Kim, I.-H. Chemical composition and oxidative stability of safflower oil prepared from safflower seed roasted with different temperatures. Food Chem. 2004, 84, 1–6. [Google Scholar] [CrossRef]
- Bakhshabadi, H.; Mirzaei, H.; Ghodsvali, A.; Jafari, S.M.; Ziaiifar, A.M. The influence of pulsed electric fields and microwave pretreatments on some selected physicochemical properties of oil extracted from black cumin seed. Food Sci. Nutr. 2018, 6, 111–118. [Google Scholar] [CrossRef] [PubMed]
- Mitra, P.; Ramaswamy, H.S.; Chang, K.S. Pumpkin (Cucurbita maxima) seed oil extraction using supercritical carbon dioxide and physicochemical properties of the oil. J. Food Eng. 2009, 95, 208–213. [Google Scholar] [CrossRef]
- Ma, Y.; Wu, X.; Zhao, L.; Wang, Y.; Liao, X. Comparison of the compounds and characteristics of pepper seed oil by pressure-assisted, ultrasound-assisted and conventional solvent extraction. Innov. Food Sci. Emerg. Technol. 2019, 54, 78–86. [Google Scholar] [CrossRef]
- Anjum, F.; Anwar, F.; Jamil, A.; Iqbal, M. Microwave roasting effects on the physico-chemical composition and oxidative stability of sunflower seed oil. J. Am. Oil Chem. Soc. 2006, 83, 777–784. [Google Scholar] [CrossRef]
- Bruhn, C.M. Consumer attitudes and market response to irradiated food. J. Food Prot. 1995, 58, 175–181. [Google Scholar] [CrossRef]
- Osséo, L.S.; Caputo, G.; Gracia, I.; Reverchon, E. Continuous fractionation of used frying oil by supercritical CO2. J. Am. Oil Chem. Soc. 2004, 81, 879–885. [Google Scholar] [CrossRef]
- Bakhshabadi, H.; Mirzaei, H.; Ghodsvali, A.; Jafari, S.M.; Ziaiifar, A.M.; Farzaneh, V. The effect of microwave pretreatment on some physico-chemical properties and bioactivity of Black cumin seeds’ oil. Ind. Crops Prod. 2017, 97, 1–9. [Google Scholar] [CrossRef]
- Alimentarius, C. Codex standard for named vegetable oils. Codex Stan 1999, 210, 1–13. [Google Scholar]
- O’brien, R.D. Fats and Oils: Formulating and Processing for Applications; CRC Press: Boca Raton, FL, USA, 2008. [Google Scholar]
- Velasco, J.N.; Andersen, M.L.; Skibsted, L.H. Evaluation of oxidative stability of vegetable oils by monitoring the tendency to radical formation. A comparison of electron spin resonance spectroscopy with the Rancimat method and differential scanning calorimetry. Food Chem. 2004, 85, 623–632. [Google Scholar] [CrossRef]
- Farhoosh, R. Critical kinetic parameters and rate constants representing lipid peroxidation as affected by temperature. Food Chem. 2021, 340, 128137. [Google Scholar] [CrossRef] [PubMed]
- Emmons, C.L.; Peterson, D.M.; Paul, G.L. Antioxidant capacity of oat (Avena sativa L.) extracts. 2. In vitro antioxidant activity and contents of phenolic and tocol antioxidants. J. Agric. Food Chem. 1999, 47, 4894–4898. [Google Scholar] [CrossRef] [PubMed]
- Holser, R. Properties of refined milkweed press oil. Ind. Crops Prod. 2003, 18, 133–138. [Google Scholar] [CrossRef]
- Matthäus, B. Utilization of high-oleic rapeseed oil for deep-fat frying of French fries compared to other commonly used edible oils. Eur. J. Lipid Sci. Technol. 2006, 108, 200–211. [Google Scholar] [CrossRef]
- Navarra, G.; Cannas, M.; D’Amico, M.; Giacomazza, D.; Militello, V.; Vaccaro, L.; Leone, M. Thermal oxidative process in extra-virgin olive oils studied by FTIR, rheology and time-resolved luminescence. Food Chem. 2011, 126, 1226–1231. [Google Scholar] [CrossRef]
- Spielmeyer, A.; Wagner, A.; Jahreis, G. Influence of thermal treatment of rapeseed on the canolol content. Food Chem. 2009, 112, 944–948. [Google Scholar] [CrossRef]
- Hosseini, S.M.; Bojmehrani, A.; Zare, E.; Zare, Z.; Hosseini, S.M.; Bakhshabadi, H. Optimization of antioxidant extraction process from corn meal using pulsed electric field-subcritical water. J. Food Process. Preserv. 2021, 45, e15458. [Google Scholar] [CrossRef]
- Samaram, S.; Mirhosseini, H.; Tan, C.P.; Ghazali, H.M. Ultrasound-assisted extraction and solvent extraction of papaya seed oil: Crystallization and thermal behavior, saturation degree, color and oxidative stability. Ind. Crops Prod. 2014, 52, 702–708. [Google Scholar] [CrossRef]
- Regulation (EC) No 1333/2008 of the European Parliament and of the Council of 16 December 2008 on Food Additives (Text with EEA Relevance). Available online: https://eur-lex.europa.eu/eli/reg/2008/1333/oj (accessed on 11 December 2008).
- Laoretani, D.; Fernández, M.; Crapiste, G.; Nolasco, S. Effect of drying operating conditions on canola oil tocopherol content. Antioxidants 2014, 3, 190–199. [Google Scholar] [CrossRef] [PubMed]
- Subroto, E.; Manurung, R.; Heeres, H.J.; Broekhuis, A.A. Optimization of mechanical oil extraction from Jatropha curcas L. kernel using response surface method. Ind. Crops Prod. 2015, 63, 294–302. [Google Scholar] [CrossRef]
- Rezzoug, S.-A.; Boutekedjiret, C.; Allaf, K. Optimization of operating conditions of rosemary essential oil extraction by a fast controlled pressure drop process using response surface methodology. J. Food Eng. 2005, 71, 9–17. [Google Scholar] [CrossRef]
Disclaimer/Publisher’s Note: The statements, opinions and data contained in all publications are solely those of the individual author(s) and contributor(s) and not of MDPI and/or the editor(s). MDPI and/or the editor(s) disclaim responsibility for any injury to people or property resulting from any ideas, methods, instructions or products referred to in the content. |
© 2025 by the authors. Licensee MDPI, Basel, Switzerland. This article is an open access article distributed under the terms and conditions of the Creative Commons Attribution (CC BY) license (https://creativecommons.org/licenses/by/4.0/).



