Design and Operational Strategies for Enhancing Thermal Output in Coaxial Closed-Loop Geothermal Systems
Abstract
1. Introduction
1.1. Background and Methodological Rationale
1.1.1. Intermittent Operation and Formation Thermal Recovery
1.1.2. Alternative Working Fluid Selection
1.1.3. Enhanced Heat Transfer Through Wellbore and Formation Modifications
2. Materials and Methods
3. Results
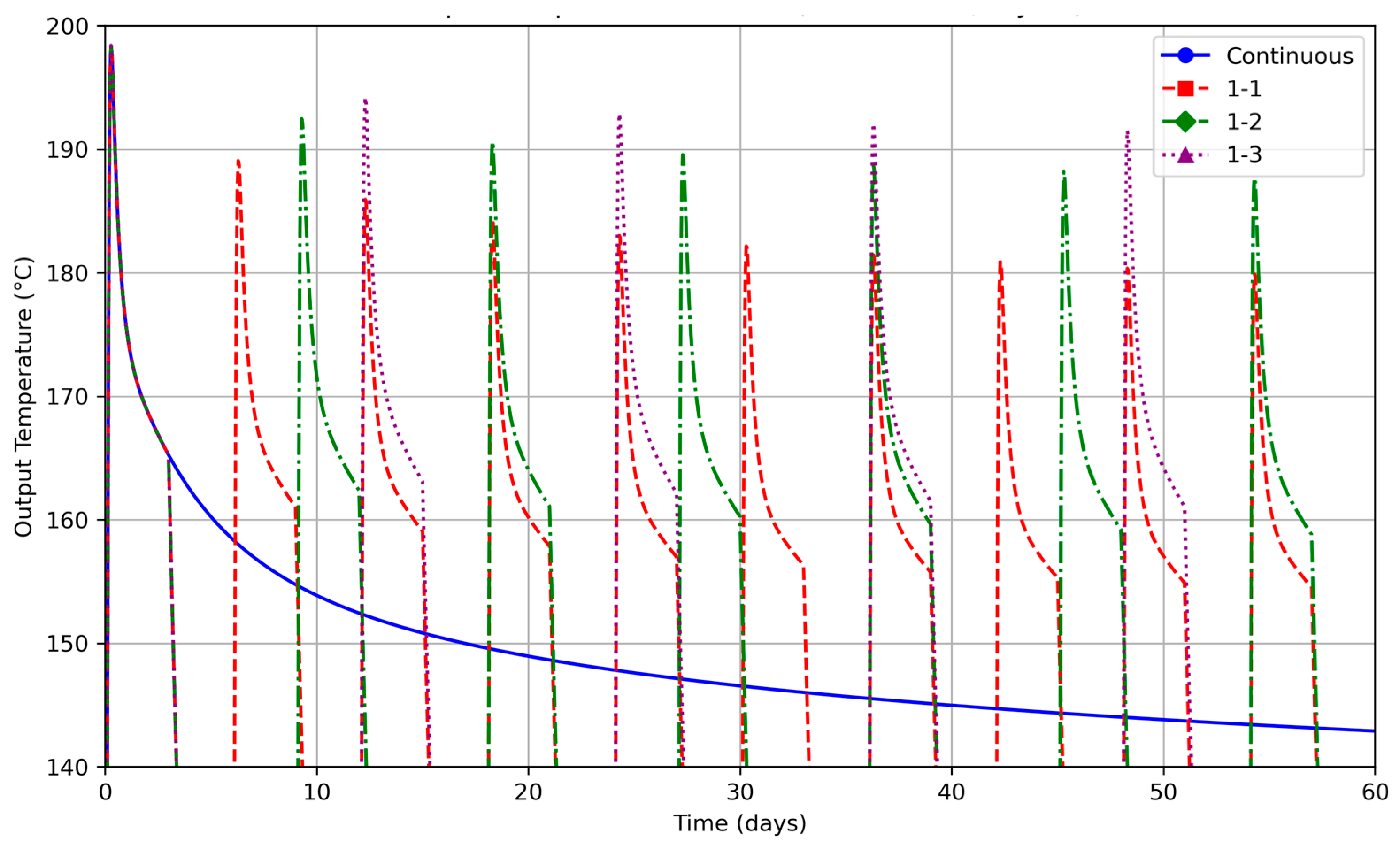
3.1. Intermittent Operation and Characteristic Recovery Curve
- The characteristic curve provides a practical tool for mapping recovery behavior under varying formation thermal properties, run-recovery ratios, and flow rates;
- Achieving 95% recovery requires excessive recovery times, particularly for short cycles, indicating that some degree of thermal degradation needs to be accepted in system design;
- Beyond 30 days of runtime, the decrease in recovery/run ratio to achieve 80% recovery slows, indicating a potential “sweet spot” for designing operational schedules.
3.2. Working Fluids: Synergy Between the Surface and the Subsurface
3.3. Thermal Enhancers: Rings Versus Fishbones
4. Discussion
5. Conclusions
- Intermittent operation. Longer recovery windows raise outlet temperatures and average delivered heat but with diminishing returns. The proposed characteristic recovery curve (recovery/run vs. run length) indicates ~80% recovery as a realistic design point for shorter cycles, whereas 95% recovery is operationally prohibitive except for longer seasonal shut-ins. Formation properties shift the curve in predictable ways: higher thermal conductivity and lower heat capacity shorten recovery times. Flow rate effects were negligible within the tested range;
- Working fluids. Within the sub-critical ORC temperature range, n-pentane and R245fa deliver higher thermal output than water and allow direct ORC coupling without a surface heat exchanger. However, hydraulic penalties and safety/climate considerations introduce trade-offs. Thermo-siphoning at lower flow rates for water and n-pentane suggests potential for eliminating pump requirements, while higher flow rates increased pressure drops sharply, particularly for R245fa. The Joule–Thomson sign change for n-pentane and R245fa above ~80–100 °C underscores the importance of tracking along-wellbore pressure-temperature paths in design and operation;
- Conductive enhancements. Ring architectures outperform fishbones due to their greater capacity for injected volumes and higher effective conductivity. After one year, rings yielded ~4.5–9.4% gains in outlet temperature (vs. ~0.65–1.37% for fishbones); after 20 years, gains remain at ~3.7–7.8% for rings (vs. ~0.55–1.18% for fishbones). Performance scaled approximately linearly with injected volume fraction for both geometries. Reach further amplified performance, with rings showing ~20–25% relative improvement when extended from 5 to 10 m, compared with ~5–10% for fishbones.
Author Contributions
Funding
Data Availability Statement
Conflicts of Interest
Abbreviations
| CBHE | Coaxial Borehole Heat Exchanger |
| LCOE | Levelized Cost of Energy |
| NIST | The National Institute of Standards and Technology |
| ORC | Organic Rankine Cycle |
| NPV | Net Present Value |
| GHG | Greenhouse gas |
| GWP | Global Warming Potential |
| KPI | key performance indicator |
| EMT | effective medium theory |
| CV | Control Volume |
| JT | Joule–Thomson |
References
- Movahedzadeh, Z.; Shokri, A.R.; Chalaturnyk, R.; Nickel, E.; Sacuta, N. Measurement, monitoring, verification and modelling at the Aquistore CO2 storage site. First Break. 2021, 39, 69–75. [Google Scholar] [CrossRef]
- Hau, K.P.; Brehme, M.; Shokri, A.R.; Malakooti, R.; Nickel, E.; Chalaturnyk, R.J.; Saar, M.O. CCS coupled with CO2 plume geothermal operations: Enhancing CO2 sequestration and reducing risks. Geothermics 2025, 133, 103447. [Google Scholar] [CrossRef]
- Xia, Z.; Jia, G.; Ma, Z.; Wang, J.; Zhang, Y.; Jin, L. Analysis of economy, thermal efficiency and environmental impact of geothermal heating system based on life cycle assessments. Appl. Energy 2021, 303, 117671. [Google Scholar] [CrossRef]
- Chen, H.; Tomac, I. Feasibility of coaxial deep borehole heat exchangers in southern California. Geotherm. Energy 2024, 12, 41. [Google Scholar] [CrossRef]
- Pokhrel, S.; Sasmito, A.P.; Sainoki, A.; Tosha, T.; Tanaka, T.; Nagai, C.; Ghoreishi-Madiseh, S.A. Field-scale experimental and numerical analysis of a downhole coaxial heat exchanger for geothermal energy production. Renew. Energy 2022, 182, 521–535. [Google Scholar] [CrossRef]
- Zhang, Y.; Yu, C.; Li, G.; Guo, X.; Wang, G.; Shi, Y.; Peng, C.; Tan, Y. Performance analysis of a downhole coaxial heat exchanger geothermal system with various working fluids. Appl. Therm. Eng. 2019, 163, 114317. [Google Scholar] [CrossRef]
- Xu, T.; Hu, Z.; Feng, B.; Feng, G.; Li, F.; Jiang, Z. Numerical evaluation of building heating potential from a co-axial closed-loop geothermal system using wellbore–reservoir coupling numerical model. Energy Explor. Exploit. 2019, 38, 733–754. [Google Scholar] [CrossRef]
- Huang, S.; Zhu, K.; Dong, J.; Li, J.; Kong, W.; Jiang, Y.; Fang, Z. Heat transfer performance of deep borehole heat exchanger with different operation modes. Renew. Energy 2022, 193, 645–656. [Google Scholar] [CrossRef]
- Jia, G.; Ma, Z.; Xia, Z.; Zhang, Y.; Xue, Y.; Chai, J.; Jin, L. A finite-volume method for full-scale simulations of coaxial borehole heat exchangers with different structural parameters, geological and operating conditions. Renew. Energy 2022, 182, 296–313. [Google Scholar] [CrossRef]
- Benavides, J.; Sharma, P.; Al Saedi, A.; Kabir, S. Techno-economic analysis of green energy resources for power generation & direct use by preserving near-wellbore geothermal gradient. Energy Sustain. Dev. 2023, 74, 127–139. [Google Scholar] [CrossRef]
- Galoppi, G.; Biliotti, D.; Ferrara, G.; Carnevale, E.; Ferrari, L. Feasibility Study of a Geothermal Power Plant with a Double-pipe Heat Exchanger. Energy Procedia 2015, 81, 193–204. [Google Scholar] [CrossRef]
- Yang, M.-H.; Liu, M.-C.; Yeh, R.-H. Investigation of low-GWP working fluids as substitutes for R245fa in organic Rankine cycle application. Heliyon 2024, 10, e34219. [Google Scholar] [CrossRef]
- Linstrom, P.J. NIST Chemistry WebBook, NIST Standard Reference Database Number 69. Available online: https://webbook.nist.gov/chemistry/ (accessed on 3 December 2025).
- Sun, L.; Fu, B.; Wei, M.; Zhang, S. Analysis of Enhanced Heat Transfer Characteristics of Coaxial Borehole Heat Exchanger. Processes 2022, 10, 2057. [Google Scholar] [CrossRef]
- Renaud, T.; Pan, L.; Doran, H.; Falcone, G.; Verdin, P.G. Numerical Analysis of Enhanced Conductive Deep Borehole Heat Exchangers. Sustainability 2021, 13, 6918. [Google Scholar] [CrossRef]
- Hara, H. Geothermal Well Using Graphite as Solid Conductor. U.S. Patent 20110232858A1, 29 September 2011. [Google Scholar]
- Buchi, H.F. Method and Apparatus for Extracting and Utilizing Geothermal Energy. U.S. Patent 4912941A, 3 April 1990. [Google Scholar]
- Khaleghi, K.; Livescu, S.; Sepehrnoori, K. A Comprehensive Techno-Economic Optimization Framework for Deep Geothermal Coaxial Closed-loop System. J. Geoenergy Sci. Eng. 2025. [Google Scholar] [CrossRef]
- Liu, S.; Taleghani, A.D. Factors affecting the efficiency of closed-loop geothermal wells. Appl. Therm. Eng. 2023, 222, 119947. [Google Scholar] [CrossRef]
- Sissembayev, N.; Al-Braiki, A.M.; Bakri, H.; Turniyazov, N.; Soliman, I.; Malak, M.; Rashid, S. Maximizing Efficiency: Coiled Tubing Success in Cutting Needles for Fishbones Completion. In Proceedings of the Abu Dhabi International Petroleum Exhibition and Conference, Abu Dhabi, United Arab Emirates, 4–7 November 2024; p. D011S8R05. [Google Scholar] [CrossRef]
- Beckers, K.F.; Ketchum, A.M.; Augustine, C.R. (Eds.) Evaluating Heat Extraction Performance of Closed-Loop Geothermal Systems with Thermally Conductive Enhancements in Conduction-Only Reservoirs. In Proceedings of the 49th Workshop on Geothermal Reservoir Engineering, Stanford, CA, USA, 12 February 2024. [Google Scholar]
- Xu, P.; Yu, B.; Yun, M.; Zou, M. Heat conduction in fractal tree-like branched networks. Int. J. Heat Mass Transf. 2006, 49, 3746–3751. [Google Scholar] [CrossRef]
- Computer Modelling Group, L. STARS. Thermal and Advanced Processes Reservoir Simulator; Computer Modelling Group Ltd.: Calgary, AB, Canada, 2025. [Google Scholar]
- Morita, K.; Bollmeier, W.S.; Mizogami, H. An Experiment to Prove the Concept of the Downhole Coaxial Heat Exchanger (DCHE) in Hawaii. Geotherm. Resour. Counc. Trans. 1992, 16, 9–16. [Google Scholar]
- Morita, K.; Bollmeier, W.S.; Mizogami, H. Analysis of the Results from the Downhole Coaxial Heat Exchanger (DCHE) Experiment in Hawaii. Geothermal Resources Council Trans. 1992, 16, 17–23. [Google Scholar]
- White, M.; Vasyliv, Y.; Beckers, K.; Martinez, M.; Balestra, P.; Parisi, C.; Augustine, C.; Bran-Anleu, G.; Horne, R.; Pauley, L.; et al. Numerical investigation of closed-loop geothermal systems in deep geothermal reservoirs. Geothermics 2024, 116, 102852. [Google Scholar] [CrossRef]
- Xiaoqing, S.; Ming, J.; Peiwen, X. Analysis of the Thermophysical Properties and Influencing Factors of Various Rock Types from the Guizhou Province. In Proceedings of the E3s Web of Conferences, Bali, Indonesia, 6–8 September 2018. [Google Scholar] [CrossRef]
- Lee, B.I.; Kesler, M.G. A generalized thermodynamic correlation based on three-parameter corresponding states. AIChE J. 1975, 21, 510–527. [Google Scholar] [CrossRef]
- Holman, J.P. Heat Transfer, 10th ed.; McGraw-Hill: New York, NY, USA, 2010. [Google Scholar]
- Hashin, Z.; Shtrikman, S. A Variational Approach to the Theory of the Effective Magnetic Permeability of Multiphase Materials. J. Appl. Phys. 1962, 33, 3125–3131. [Google Scholar] [CrossRef]
- Smalc, M.; Skandakumaran, P.; Norley, J. Thermal Performance of Natural Graphite Heat Spreaders with Embedded Thermal Vias. In Proceedings of the International Electronic Packaging Technical Conference and Exhibition, San Francisco, CA, USA, 17–22 July 2007; pp. 607–617. [Google Scholar]
- Chen, C.; Shao, H.; Naumov, D.; Kong, Y.; Tu, K.; Kolditz, O. Numerical investigation on the performance, sustainability, and efficiency of the deep borehole heat exchanger system for building heating. Geotherm. Energy 2019, 7, 18. [Google Scholar] [CrossRef]
- Han, B.; Chakraborty, A.; Saha, B.B. Enhancing Cooling and Atmospheric Water Harvesting via Zeolite-MOF Composites: Experimental and Thermodynamic Evaluation of MIL-160 (Al) and AFI-Type Zeolite Hybrid Adsorbents. ACS Sustain. Chem. Eng. 2025, 13, 17635–17656. [Google Scholar] [CrossRef]
- Han, B.; Ng, M.S.; Chakraborty, A. Optimizing metal-organic frameworks for adsorption-based atmospheric water harvesting: A systematic evaluation of pristine and modified MOFs for enhanced performance in diverse climates. Chem. Eng. J. 2025, 521, 166607. [Google Scholar] [CrossRef]
- Eberle, A.; Heath, G.; Carpenter Petri, A.; Nicholson, S. Systematic Review of Life Cycle Greenhouse Gas Emissions from Geothermal Electricity; Technical Report for National Renewable Energy Laboratory: Golden, CO, USA, 2017. [Google Scholar] [CrossRef]
- Holm, A.; Jennejohn, D.; Blodgett, L. Geothermal Energy and Greenhouse Gas Emissions; Geothermal Energy Association (GEA): Washington, DC, USA, 2012; Available online: https://geothermal.org/sites/default/files/2021-02/Geothermal_Greenhouse_Emissions_2012_0.pdf (accessed on 20 November 2025).
- Fridriksson, T.; Mateos, A.; Orucu, Y.; Audinet, P. Greenhouse gas emissions from geothermal power production. In Proceedings of the 42nd Workshop on Geothermal Reservoir Engineering, Stanford, CA, USA, 13–15 February 2017; Available online: https://pangea.stanford.edu/ERE/pdf/IGAstandard/SGW/2017/Fridriksson.pdf (accessed on 20 November 2025).














| Fluid | Molecular Weight (g/mole) | Critical Temperature (°C) | Critical Pressure (MPa) | Acentric Factor | Dipole Moment (Debye) |
|---|---|---|---|---|---|
| Water | 18.02 | 373.946 | 22.0640 | 0.3443 | 1.855 |
| n-Pentane | 72.15 | 196.9 | 3.3675 | 0.251 | 0.07 |
| R245fa | 134.05 | 153.86 | 3.6510 | 0.3783 | 1.549 |
| Hole ID (Cement OD) | Annulus OD | Annulus ID | Insulation OD | Tube OD | Tube ID |
|---|---|---|---|---|---|
| m | m | m | m | m | m |
| 0.241 | 0.178 | 0.16 | 0.089 | 0.076 | 0.064 |
| Formation Conductivity | Formation Heat Capacity | Cement Conductivity | Cement Heat Capacity | Casing Conductivity | Casing Heat Capacity |
| W/m·K | J/kg·K | W/m·K | J/kg·K | W/m·K | J/kg·K |
| 2.5 | 600.0 | 1.0 | 1900.0 | 45.0 | 470.0 |
| Case ID | Type | Inclusion Thickness (m) | Inclusion Reach (m) | # of Inclusions per Unit Length of Wellbore | Vol. Fraction |
|---|---|---|---|---|---|
| 1 | Ring | 0.01 | 5 | 2/5 | 4.0 × 10−3 |
| 2 | Ring | 0.01 | 5 | 4/5 | 8.0 × 10−3 |
| 3 | Ring | 0.01 | 10 | 2/5 | 4.0 × 10−3 |
| 4 | Ring | 0.01 | 10 | 4/5 | 8.0 × 10−3 |
| 5 | Fishbone | 0.05 | 5 | 4 | 4.95 × 10−4 |
| 6 | Fishbone | 0.05 | 5 | 8 | 9.90 × 10−4 |
| 7 | Fishbone | 0.05 | 10 | 4 | 2.49 × 10−4 |
| 8 | Fishbone | 0.05 | 10 | 8 | 4.98 × 10−4 |
| Case ID | Type | Reach (m) | Eff. Thermal Cond (W/m·K) | % Increase in T (1 year) | % Increase in T (20 Years) |
| 0 | No enhancer | 0 | 2.5 | 0.000 | 0.000 |
| 1 | Ring | 5 | 4.49 | 4.532 | 3.654 |
| 2 | Ring | 5 | 6.48 | 7.642 | 5.944 |
| 3 | Ring | 10 | 4.49 | 5.432 | 4.691 |
| 4 | Ring | 10 | 6.48 | 9.377 | 7.791 |
| 5 | Fishbone | 5 | 2.74 | 0.655 | 0.552 |
| 6 | Fishbone | 5 | 2.99 | 1.295 | 1.084 |
| 7 | Fishbone | 10 | 2.74, 2.58 * | 0.690 | 0.595 |
| 8 | Fishbone | 10 | 2.99, 2.66 * | 1.370 | 1.179 |
Disclaimer/Publisher’s Note: The statements, opinions and data contained in all publications are solely those of the individual author(s) and contributor(s) and not of MDPI and/or the editor(s). MDPI and/or the editor(s) disclaim responsibility for any injury to people or property resulting from any ideas, methods, instructions or products referred to in the content. |
© 2025 by the authors. Licensee MDPI, Basel, Switzerland. This article is an open access article distributed under the terms and conditions of the Creative Commons Attribution (CC BY) license (https://creativecommons.org/licenses/by/4.0/).
Share and Cite
Khaleghi, K.; Rangriz Shokri, A.; Livescu, S.; Sepehrnoori, K. Design and Operational Strategies for Enhancing Thermal Output in Coaxial Closed-Loop Geothermal Systems. Processes 2025, 13, 3969. https://doi.org/10.3390/pr13123969
Khaleghi K, Rangriz Shokri A, Livescu S, Sepehrnoori K. Design and Operational Strategies for Enhancing Thermal Output in Coaxial Closed-Loop Geothermal Systems. Processes. 2025; 13(12):3969. https://doi.org/10.3390/pr13123969
Chicago/Turabian StyleKhaleghi, Keivan, Alireza Rangriz Shokri, Silviu Livescu, and Kamy Sepehrnoori. 2025. "Design and Operational Strategies for Enhancing Thermal Output in Coaxial Closed-Loop Geothermal Systems" Processes 13, no. 12: 3969. https://doi.org/10.3390/pr13123969
APA StyleKhaleghi, K., Rangriz Shokri, A., Livescu, S., & Sepehrnoori, K. (2025). Design and Operational Strategies for Enhancing Thermal Output in Coaxial Closed-Loop Geothermal Systems. Processes, 13(12), 3969. https://doi.org/10.3390/pr13123969

