An Integrated Tubing String for Synergistic Acidizing-Flowback: Simulation and Optimization Targeting Offshore Dongying Formation
Abstract
1. Introduction
2. Adaptive Analysis of the Integrated Acidizing and Flowback Tubing System Technology
2.1. Analysis of the Characteristics of the Offshore Dongying Formation Oilfields
2.2. Adaptive Analysis of Integrated Tubing String
3. Design and Mechanical Analysis of the Integrated Acidizing and Flowback Tubing String Model
3.1. Integrated Acidizing and Flowback Process Design
3.1.1. Plan Concept and Expected Goals
- (1)
- Plan concept
- (2)
- Expected goals
3.1.2. Integrated Acidizing and Flowback Operation Construction Procedures
3.2. Integrated Tubing Column Structure Model for Acidizing and Flowback Recovery
3.2.1. Casing Structure Design
3.2.2. Casing Selection Design and Calculation
3.2.3. Main Components of the Acidification Pipe Column
- (1)
- Extension and retraction joint
- (2)
- Packer
- (3)
- Reverse flushing valve
- (4)
- Hydraulic anchor
3.2.4. Basic Mechanical Effects of Downhole Pipe Column
- (1)
- Floating weight effect
- (2)
- Viscous flow effect
- (3)
- Plunger effect
- (4)
- Bulging effect
- (5)
- Spiral bending effect
- (6)
- Temperature effect
3.3. Study on the Force and Deformation of the Acidizing Tubing String Under Different Mechanical Effects
- (1)
- Evaluation of the influence of buoyancy force on the acidizing operation tubing string
- (2)
- Evaluation of the impact of the piston effect on the acidizing operation tubing string
- (3)
- Evaluation of the effect of bulging on the acidizing operation tubing string
- (4)
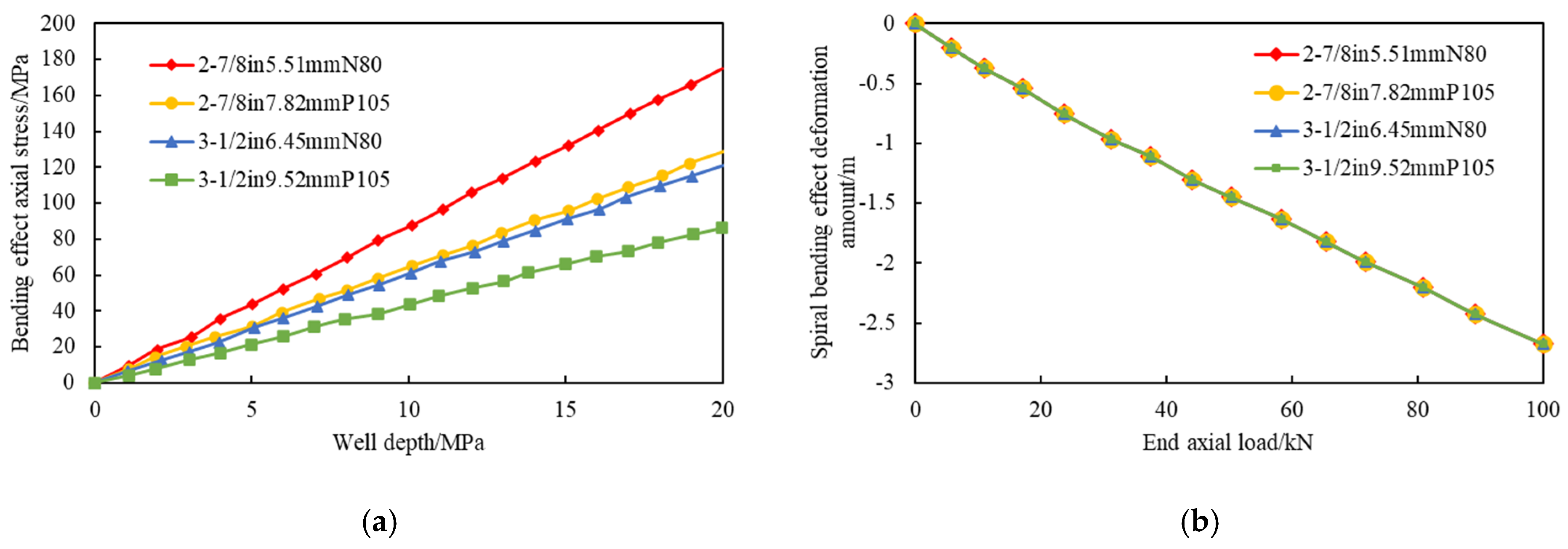
- Evaluation of the effect of helical bending on the acidizing operation tubing string
- (5)
- Evaluation of the influence of the temperature effect on the acidizing operation tubing string
- (6)
- Evaluation of the influence of the flow viscosity effect on the tubing string in acidizing operations
- (7)
- Analysis of total deformation of the tubing string caused by different effects
4. Analysis of Key Equipment and Calculation of Force Distribution Simulation
4.1. Mechanical Analysis of Expansion Joints
4.2. Mechanical Analysis of Anti-Fouling Valve and Causes of Failure
- (1)
- Sealing Failure
- (2)
- Mechanical Faults
4.3. Mechanical Analysis of Reverse Discharge Pump and Calculation of Displacement
4.4. Dynamic Simulation of Stress and Deformation
5. Evaluation of Production Increase Effect
5.1. Application Example
5.2. Economic and Social Impact Evaluation
6. Conclusions
- (1)
- An innovative integrated process of acidizing-flowback was achieved by injecting acid through the tubing-casing annulus and conducting acidizing via the reverse flushing valve in the target zone, combined with the rapid flowback of spent acid using a return pump. This approach reduces time and space costs while effectively preventing secondary formation damage.
- (2)
- The tubing string is primarily subjected to mechanical effects, including buoyancy, piston effect, flow viscosity effect, helical buckling, temperature differential effect, and ballooning effect. The maximum deformations are 1.4 m, 1.9 m, 0.18 m, 2.7 m, 1.8 m, and 2.5 m, respectively, all remaining below 3 m, indicating overall string safety.
- (3)
- Dynamic simulation and optimization software for tubing string mechanics, developed in C#, was used to simulate three groups of wells at different depths. Results showed axial forces of 400–600 kN, stress of 260–350 MPa, deformation of 1.1–2.4 m, and safety factors exceeding 3.0, confirming operational safety.
- (4)
- Field application demonstrated significant production enhancement, with example wells showing an approximately 100 t·d−1 increase in total fluid production and about a 10 t·d−1 increase in oil production. The integrated acidizing flowback technology achieved economic savings exceeding CNY 500,000, reduced time costs by over 40%, and effectively ensured operational safety.
Author Contributions
Funding
Data Availability Statement
Acknowledgments
Conflicts of Interest
References
- Al-Shargabi, M.; Davoodi, S.; Wood, D.A.; Ali, M.; Rukavishnikov, V.S.; Minaev, K.M. A critical review of self-diverting acid treatments applied to carbonate oil and gas reservoirs. Petrol. Sci. 2023, 2, 922–950. [Google Scholar] [CrossRef]
- Cai, J.; Yang, J.; Huang, Z.; Xu, S.; Zhang, L.; Wang, H. Quantitative evaluation of residual acid invasion and flowback in fractured-vuggy carbonate reservoirs using microfluidics. Energies 2025, 18, 1162. [Google Scholar] [CrossRef]
- Zhang, J.; He, J.; Zhang, R.; Zhang, L.; Xu, W. Optimization and performance evaluation of an atomized acid system for the expansion of carbonate gas injection. Processes 2023, 11, 3080. [Google Scholar] [CrossRef]
- Jafarpour, H.; Moghadasi, J.; Khormali, A.; Petrakov, D.; Ashena, R. Increasing the stimulation efficiency of heterogeneous carbonate reservoirs by developing a multi-bached acid system. J. Pet. Sci. Eng. 2019, 172, 50–59. [Google Scholar] [CrossRef]
- Hu, J.; Liu, H.; Wu, D.; Zhang, J. Acidizing flowback optimization for tight sandstone gas reservoirs. J. Nat. Gas. Sci. Eng. 2015, 24, 311–316. [Google Scholar] [CrossRef]
- Nasriani, H.R.; Jamiolahmady, M. Optimising flowback strategies in unconventional reservoirs: The critical role of capillary forces and fluid dynamics. Energies 2024, 17, 5822. [Google Scholar] [CrossRef]
- Zhang, W.; Gao, D.; Liu, Y.; Bai, J.; Wang, C. Study of the failure mechanism of an integrated injection-production string in thermal recovery wells for heavy oil. Energies 2023, 16, 3246. [Google Scholar] [CrossRef]
- Saini, R.K.; Sayed, M.A.; Cairns, A.J. Flowback additive for acidizing fluid to stimulate carbonate gas reservoirs. Soc. Pet. Eng. J. 2024, 29, 4841–4855. [Google Scholar] [CrossRef]
- Wang, Y.; Zhou, F.; Su, H.; Li, Y.; Yu, F.; Dong, R.; Wang, Q.; Li, J. Performance evaluation of microemulsion acid for integrated acid fracturing in Middle Eastern carbonate reservoirs. Petrol. Explor. Dev 2023, 50, 1196–1205. [Google Scholar] [CrossRef]
- Ren, J.; Liu, Z.; Deng, Y.; Guo, J.; Lai, J.; Wang, J.; He, S. The quantitative study of residual acid damage of low permeability carbonate rock based on NMR test. Geoenergy. Sci. Eng. 2024, 241, 213109. [Google Scholar] [CrossRef]
- Li, P.; Wang, L.; Lai, X.; Gao, J.; Dang, Z.; Wang, R.; Mao, F.; Li, Y.; Jia, G. Two-level self-thickening mechanism of a novel acid thickener with a hydrophobic-associated structure during high-temperature acidification processes. Polymers 2024, 16, 679. [Google Scholar] [CrossRef]
- Cai, W.; Huang, Z.; Mo, X.; Zhang, H. Velocity string drainage technology for horizontal gas wells in Changbei. Processes 2022, 10, 2640. [Google Scholar] [CrossRef]
- Zhang, L.P.; Zhang, L.; Lan, X.T.; Liu, C.L.; Zou, J.; Gao, S. Application of non-acid block removing technology in Bohai Oilfield. Drill. Fluid Complet. Fluid 2018, 35, 116–122. [Google Scholar]
- Yuan, H.; Sun, Y.; Xiong, W.; Niu, W.; Tang, Z.; Li, Y. Advances in evaluation methods for artificial fracture networks in shale gas horizontal wells. Appl. Sci. 2025, 15, 9008. [Google Scholar] [CrossRef]
- Chen, D.; Sun, Z. Gas–liquid flow pattern and hydrate risk in wellbore during the deep-water gas-well cleanup process. ACS Omega 2023, 8, 12911–12921. [Google Scholar] [CrossRef] [PubMed]
- Liu, J.W.; Xian, G.Q.; Li, C.Y.; Qu, H.M.; Tan, Y.X.; Cui, Y.H.; Ding, Z.F.; Xiao, H.; Zhao, T.H. Acidizing, Negative-Pressure and Flowback Integrated Equipment and Technology. CN Patent CN105672976, 15 June 2016. Available online: https://ss.zhizhen.com/detail_38502727e7500f261a7b5f441dec441545103c5d99a9155e1921b0a3ea25510133e7f87ae1903bd62163d3a8b505c2ddfc7d188a48f9f2e7424194cada808d01a613e5dd08e158c2f826a6a8f4e512e2? (accessed on 1 November 2025).
- Lin, C.; Kang, Y.; He, H.; Han, L.; Xu, Q.; Li, G.; Zhou, H. Geoscience-engineering integration-based formation damage control drill-in fluid (GEI-FDC-DIF): An essential technology for successful extraction of deep mid-high permeability sandstone reservoirs. Geoenergy Sci. Eng. 2024, 237, 212828. [Google Scholar] [CrossRef]
- Wang, C.; Zhang, J.; Huang, B.; Du, H.; Meng, X.; Li, X.; Xue, X.; Su, Y.; Li, C.; Guo, H. Polymer flooding injectivity maintaining and enhancement strategies: A field case study of chinese offshore EOR project. Processes 2025, 13, 903. [Google Scholar] [CrossRef]
- Wu, S.W.; Zhou, H.Y.; Lin, K.X.; Yuan, H.; Luo, G.; Hu, Y.L. An integrated working fluid for blocking removal and sand control in offshore wells blocked by particle migration. Drill. Fluid Complet. Fluid 2021, 38, 391–396. [Google Scholar]
- Ming, E.; Li, C.; Lan, H.; Yu, J.; Zheng, L.; Pei, X. Modelling wave transmission for transient flow and amplitude-frequency characteristics of tubular string in a water injection well. Appl. Sci. 2023, 13, 3917. [Google Scholar] [CrossRef]
- Li, D.; Gao, B.; Cui, X. Emulsifying behavior between oil and water of flowback fluids from acidizing oil wells based on high-voltage electric field oil–water separation technology. New J. Chem. 2022, 46, 16858–16873. [Google Scholar] [CrossRef]
- Li, S.N.; Yan, W. Commonly used treatment technology of acidizing fluid flowback. Open J. Nat. Sci. 2017, 5, 302–305. [Google Scholar] [CrossRef]
- Zhai, Z.B.; Qi, S.W.; Kartoatmodjo, G. Pressure survey, analysis and diagnostic of small diameter velocity string to improve well monitoring and surveillance. Pet. Sci. Technol. 2022, 41, 1019–1037. [Google Scholar] [CrossRef]
- Yin, D.; Luo, P.; Zhang, J.; Yao, X.; Wang, R.; Wang, L.; Wang, S. Synthesis of oligomeric silicone surfactant and its interfacial properties. Appl. Sci. 2019, 9, 497. [Google Scholar] [CrossRef]
- Kong, X.; Liu, B.; Xu, H.; Shen, J.; Li, S. Optimization and performance evaluation of foam acid systems for plugging removal in low pressure oil and gas reservoirs. Processes 2023, 11, 649. [Google Scholar] [CrossRef]
- Li, J.T.; Han, J.J.; Xu, Q.H.; Xue, X.C.; Zhang, S.A. Third-Section Acid Pickling Integrated Well Completion Pipe String and Method. CN Patent CN105041267, 11 November 2015. [Google Scholar]
- Yu, Z.S.L. Perforating, Detecting, Acidating and Liquid-Discharging Integrated Testing Pipe String. CN Patent CNU2005201062073, 18 July 2007. Available online: https://ss.zhizhen.com/detail_38502727e7500f263168c25d27cffd2178ea8fa7e004e9451921b0a3ea25510133e7f87ae1903bd60cbc8308fe832728c7f667a6b29a344ca9480c637d9474d22eb13cf9a5c1052d6fd5fc3f93bf62bf? (accessed on 1 November 2025).
- Li, Q.Z.; Xu, D.K.; Wu, E.C. Deep Gas Well Subsection Acidizing and Completion Integral Tool String. CN Patent CNU2007201516785, 23 April 2008. Available online: https://ss.zhizhen.com/detail_38502727e7500f261a3b92c20e49cd472bc66bc1e2315ea81921b0a3ea25510133e7f87ae1903bd674cd55a89d1ef7a51c317007611b90ac4abc1a683a53ee43d75c28f4a098b629af4f8e85cdc5fa72? (accessed on 1 November 2025).
- Deng, S.; Li, X.; Yang, Z.; Yi, L.; Rao, D. Flow and heat transfer for non-Newtonian CO2 mixed fluid injection in the wellbore. Fuel 2025, 381, 133647. [Google Scholar] [CrossRef]
- Zhang, F.; Yang, X.; Peng, J.; Li, N.; Lv, S.; Zeng, N.; Zhang, R. Well Integrality technical practice of ultra deep ultrahigh pressure well in Tarim Oilfield. In Proceedings of the 6th International Petroleum Technology Conference, Beijing, China, 26–28 March 2013. [Google Scholar]
- Shishlyannikov, D.; Zverev, V.; Ivanchenko, A.; Zvonarev, I. Increasing the time between failures of electric submersible pumps for oil production with high content of mechanical impurities. Appl. Sci. 2022, 12, 64. [Google Scholar] [CrossRef]
- Li, J.; Ding, Y.Y.; Wang, L.R.; Shi, S.Z.; Liao, R.Q.; Zhang, M.L.; Zhang, Q. The mechanic analysis of integrated tubing string for acid fracturing and production. J. Oil Gas Technol. 2017, 39, 79–88. [Google Scholar] [CrossRef]
- Awotiku, O.; Hackney, D.; Ledergerber, A.; Ugah, I.; Femi-Saliu, B. Well clean out and acidization of a deepwater intelligent completion well—A case history. In Proceedings of the Nigeria Annual International Conference and Exhibition, Lagos, Nigeria, 1 July–2 August 2017. [Google Scholar]
- Wang, J.; Li, D.; Du, X.; Li, H.; Yang, S. Development of a design method for casing and tubing strings under complex alternating loads. Processes 2023, 11, 2582. [Google Scholar] [CrossRef]
- Al Ramadan, M.; Salehi, S.; Ezeakacha, C.; Teodoriu, C. Analytical and experimental investigation of the critical length in casing–liner overlap. Sustainability 2019, 11, 6861. [Google Scholar] [CrossRef]
- Feng, Z.; Guo, B.; Cai, Z.; Yuan, H. Eccentric wear mechanism and centralizer layout design in 3D curved wellbores. Appl. Sci. 2025, 15, 1494. [Google Scholar] [CrossRef]
- Li, Y.K.; Jia, Y.Y.; Zhang, G.Z.; Wang, H.W.; Cui, Y.H. Research progress and development suggestion of stratified acidizing strings in water injection wells of Shengli Oilfield. Pet. Drill. Tech. 2021, 49, 129–134. [Google Scholar]
- Zhao, X.; Geng, Q.; Qiu, Z.S.; Geng, T.; Zhou, G.W.; Xing, X.J. Gel-breaHng free drill-in nuid technology for deepwater high-porosity and high-permeability reservoirs. Nat. Gas Ind. 2021, 41, 107–114. [Google Scholar]
- Wang, Q.; Yang, H.; Han, X.; Huang, X.; Zeng, J.; Chen, W.; Zhang, H.; Li, L.; Zhou, C.; Wang, H. Method for Acid Fracturing Comprises e.g. Sandblasting and Perforating to Form Perforation Channel in Formation, Running Acid Fracturing String Into Wellbore, Injecting Acid Liquid into Perforation Channel, and Liquid Passes Through Perforation Channel to form Fractures in Formation. CN Patent CN10431573, 21 October 2022. Available online: https://ss.zhizhen.com/detail_38502727e7500f26a94cc9e8088d1781fbd65685d76678fe1921b0a3ea25510133e7f87ae1903bd6b466ec2028a731074210bf2a3c9923bf3bab857c045c8b9b3070a6704eede4aafe61327bf5125744? (accessed on 1 November 2025).
- Dore, F.P.; Pereira, A.Z.I.; Germino, F.D.S.M.; Ferreira, D.S.M.G.; Ignacio, P.A.Z.; Fernandes, P.D. Uniformization of Flow for Stimulation Operations Involves Using the Wash Pipe Tool to Stimulate the Reservoir, and Performing Reservoir Stimulation with the Wash Pipe Tool with Divergent Perforation During the Well Completion. US Patent US983606, 11 May 2023. Available online: https://ss.zhizhen.com/d-tail_38502727e7500f269f46c8a6849ffd8f01cd3ee1b951b0441921b0a3ea25510133e7f87ae1903bd6653e84ab8524ea2a70e511d2dca4593b77b7c8986150a9f2a384695c6c9a9b7f36834484f53973e0? (accessed on 1 November 2025).
- Pan, W.H.; Qian, Y.C.; Tao, J.Q.; Pan, Y.; Gu, S.B.; Wang, H. Application of original production string acidizing technology in oil well. Shiyou Huagong Yingyong 2013, 32, 7–11. [Google Scholar] [CrossRef]
- Yu, Y.; Cao, Y.; Qu, Z.; Dou, Y.; Wang, Z. Finite-element analysis on energy dissipation and sealability of premium connections under dynamic loads. Processes 2023, 11, 1927. [Google Scholar] [CrossRef]
- Martin, F.; Miquilena, E.; Molero, N.J.; Acevo, A.K.; Franco, E.; Garcia, M.G.; Castillo, M. Corrosion inhibition workflow allows injection of high-volume acid treatments through coiled tubing Strings in Offshore Mexico. In Proceedings of the International Conference and Exhibition on Oilfield Corrosion, Aberdeen, UK, 9–10 May 2012. [Google Scholar]
- Wang, Y.; Yang, J.; Zhang, Y.; Huo, L.; Song, Z.; Cao, X. Development and application of integrated injection system for injection and profile control in Dagang Oilfield. J. Phys. Conf. Ser. 2024, 2834, 012044. [Google Scholar] [CrossRef]
- Wang, J.; Xiong, Y.; Lu, Z.; Shi, J.; Wu, J. Influence of volume fracturing on casing stress in horizontal wells. Energies 2021, 14, 2057. [Google Scholar] [CrossRef]
- Cheatham, J.B.; Patillo, P.D. Helical postbuckling configuration of a weightless column under the action of m axial load. Soc. Pet. Eng. J. 1984, 24, 467–472. [Google Scholar] [CrossRef]
- Kyriakides, S.; Corona, E. Mechanics of Offshore Pipelines, Vol. 1: Buckling and Collapse; Gulf Professional Publishing: Houston, TX, USA, 2023. [Google Scholar]
- Lu, Y.P.; Wu, X.D.; Guo, S.S.; Fu, H.; Zhang, G.Y. Tubing string stress and axial deformation in gas wells. Nat. Gas Ind. 2008, 28, 100–102. [Google Scholar]
- Wang, C. Integrated technology for layered sand control and layered water injection. J. Phys. Conf. Ser. 2024, 2683, 012044. [Google Scholar] [CrossRef]
- Zou, J.; Huang, L.P.; Zhao, P.; Yang, M.; Gao, S. Analysis of the content of solid suspended matter in acid fracturing flowback fluids from oil wells in Bohai Oilfield. Drill. Fluid Complet. Fluid 2020, 37, 536–540. [Google Scholar] [CrossRef]
- Xu, B.; Chen, H.; Yin, G.; Qin, R.; Gao, J.; He, X. Acoustic transmission characteristics and model prediction of upper and lower completion pipe strings for test production of natural gas hydrate. Appl. Sci. 2025, 15, 9174. [Google Scholar] [CrossRef]
- Bai, Y.J.; Huang, B.; Zou, C.; Xu, X.N.; Liu, W.B.; Wang, Z.; Zhang, N.; Li, D.; Cao, G.S.; Fu, C. Mechanism of enhanced oil recovery by nanoparticles extracted from flowback fluids of acidizing oil wells. Colloid Surf. A 2024, 690, 133782. [Google Scholar]






















| Experimental Condition | Experiment I | Experiment II |
|---|---|---|
| Temperature/°C | 80 | 80 |
| Core number | CB6 | CB14 |
| Permeability/10−3 μm2 | 116.81 | 5.30 |
| Pore volume/cm3 | 4.69 | 3.41 |
| Porosity/% | 17.07 | 11.21 |
| Length of rock sample/cm | 5.60 | 6.20 |
| Diameter of rock sample/cm | 2.50 | 2.50 |
| Volume of rock sample/cm3 | 27.48 | 30.42 |
| Experimental Condition | Experiment I | Experiment II |
|---|---|---|
| Temperature/°C | 19 | 19 |
| Well section/m | 3370.00–3377.66 | 3370.00–3377.66 |
| Permeability/10−3 μm2 | 16.70 | 101.20 |
| Initial permeability/10−3 μm2 | 4.51 | 43.80 |
| Pore volume/cm3 | 4.00 | 4.45 |
| Porosity/% | 14.10 | 16.70 |
| Length of rock sample/cm | 5.69 | 5.28 |
| Diameter of rock sample/cm | 2.52 | 2.33 |
| Petrographic description | Oil-saturated sandstone | |
| Pump Diameter (mm) | Plunger Area Ap (10−3m2) | Pump Constant K (m2) |
|---|---|---|
| 70 | 3.848 | 5.542 |
| 83 | 5.410 | 7.790 |
| 95 | 7.088 | 10.202 |
| 105 | 8.659 | 12.462 |
| 120 | 11.310 | 16.278 |
| Dimension Symbol | Pump Diameter/mm | Pumping Rod Specification |
|---|---|---|
| 30–275 | 69.85 | GYG16(5/8) |
| 30–325 | 82.55 | GYG19(3/4) |
| 35–375 | 95.25 | GYG22(7/8) |
| 40–425 | 107.95 | GYG22(7/8) |
| 45–475 | 120.65 | GYG25(1) |
| Gauge Size (in) | Diameter D/mm | Wall Thickness S/mm | Inner Diameter d/mm |
|---|---|---|---|
| 2–7/8 | 73.0 | 6.0 | 62.0 |
| 3–1/2 | 88.9 | 6.5 | 75.9 |
| 4 | 101.6 | 6.5 | 88.6 |
| 4–1/2 | 114.3 | 7.0 | 100.3 |
| Model | Adaptive Casing /mm | Total Length /mm | External Diameter /mm | Inner Diameter /mm | Working Pressure /MPa | Working Temperature /°C |
|---|---|---|---|---|---|---|
| Y211-102 | 112 | 2095 | 102 | 36 | 50 | 130 |
| Y211-110 | 118–121 | 2080 | 110 | 48 | 50 | 130 |
| Y211-112 | 121–124 | 2115 | 112 | 48 | 50 | 130 |
| Y211-114 | 121–124 | 2080 | 114 | 48 | 50 | 130 |
| Y211-136 | 143–150 | 2080 | 136 | 60 | 50 | 130 |
| Y211-148 | 154–164 | 2080 | 148 | 60 | 50 | 130 |
| Y211-150 | 154–164 | 2080 | 149 | 60 | 50 | 130 |
| RTTSY221-148 | 157–161 | 1545 | 150 | 50 | 35–50 | 130 |
| RTTSY221-146 | 154–157 | 1545 | 146 | 50 | 35–50 | 130 |
| RTTSY221-114 | 121–124 | 1370 | 114 | 48 | 35–50 | 130 |
| RTTSY221-110 | 118–121 | 1370 | 110 | 48 | 35–50 | 130 |
| Nominal Diameter/in | Steel Grade | Unit Weight/(N·m−1) | Wall Thickness/mm | Yield Strength/MPa | Thread Tensile Strength Limit/kN | Resistance to Internal Pressure/MPa |
|---|---|---|---|---|---|---|
| N80 | 92.2 | 5.51 | 552 | 657.4 | 72 | |
| 125 | 7.82 | 552 | 901.1 | 102 | ||
| P105 | 92.2 | 5.51 | 724 | 863.0 | 95 | |
| 125 | 7.82 | 724 | 1113 | 135 | ||
| N80 | 132 | 6.45 | 552 | 939.9 | 70 | |
| 186 | 9.52 | 552 | 1336 | 102 | ||
| P105 | 132 | 6.45 | 724 | 1233.4 | 92 | |
| 186 | 9.52 | 724 | 1753.4 | 136 |
| Operating Condition | Axial Force/kN | Internal Pressure/MPa | External Pressure/MPa | Maximum Stress/MPa | Error/% | |
|---|---|---|---|---|---|---|
| Numerical Analysis | Theoretical Calculation | |||||
| Normal well setting | 170 | 70 | 80 | 521.18 | 446.25 | 14.3 |
| Acidic conditions | 190 | 70 | 100 | 575.37 | 495.26 | 13.9 |
| Reverse operation condition | 230 | 110 | 80 | 687.08 | 589.64 | 14.2 |
| Pump Type/mm | Outer Diameter/mm | Pump Constant/(m3·d−1) | Stroke/m | Stroke Rate/min−1 | Theoretical Displacement/(m3·d−1) | Work Pressure/MPa |
|---|---|---|---|---|---|---|
| 95 | 108 | 10.202 | 3 | 2 | 61.212 | 15 |
| 3 | 3 | 91.818 | ||||
| 105 | 120 | 12.462 | 3 | 2 | 74.772 | |
| 3 | 3 | 112.158 | ||||
| 120 | 136 | 16.278 | 3 | 2 | 97.668 | |
| 3 | 3 | 146.502 | ||||
| 130 | 148 | 19.104 | 3 | 2 | 114.624 | |
| 3 | 3 | 171.936 |
| Depth Measurement/m | Segment Length/m | Well Deflection/° | Orientation/° | Vertical Depth/m |
|---|---|---|---|---|
| 0.00 | 0.00 | 0.00 | 0.00 | 0.00 |
| 288.00 | 28.63 | 3.20 | 320.00 | 287.78 |
| 604.09 | 28.73 | 0.20 | 38.04 | 603.43 |
| 900.65 | 28.83 | 1.20 | 137.73 | 899.97 |
| 1215.74 | 28.62 | 0.82 | 217.93 | 1215.02 |
| 1502.14 | 28.65 | 1.48 | 215.83 | 1501.37 |
| 1817.25 | 28.76 | 0.99 | 212.63 | 1816.40 |
| 2104.30 | 9.65 | 1.92 | 195.83 | 2103.42 |
| 2390.85 | 28.54 | 21.00 | 237.43 | 2382.14 |
| 2706.89 | 28.58 | 20.74 | 230.33 | 2677.11 |
| Packing Tube Name | Specification/mm | Pipe Steel Grade | Wall Thickness/mm | Deep Down/m | Well Cementing Quality |
|---|---|---|---|---|---|
| Separator pipe | 762 | D32 | 28.00 | 95.93 | High-quality well |
| Surface casing | 339.7 | J55 | 9.65 | 701.54 | |
| Technical casing | 177.8 | P110 | 9.19 | 3226.68 |
| Comparison | Oil Mouth/mm | Voltage/V | Current/A | Tubing Pressure/MPa | Back-Pressure/MPa | Daily Fluid Output/(t·d−1) | Daily Oil Output/(t·d−1) | Water Volume Fraction/% |
|---|---|---|---|---|---|---|---|---|
| Before the assignment | 5 | 1230 | 32 | 1.8 | 0.9 | 50.5 | 6.3 | 87.5 |
| After the assignment | 5 | 1251 | 33 | 6.3 | 0.9 | 150.9 | 15.7 | 89.6 |
| Platform Type | Construction Project and Cost/CNY Ten Thousand | ||
|---|---|---|---|
| The Backflow Pump Performs Negative Pressure Backflow | Nitrogen Foam Is Discharged Under Negative Pressure | Three-in-One Test for Liquid Discharge | |
| Mobile unit | 80 | 180 | 380 |
| Integrated platform for recovery and maintain | 30 | 80 | 280 |
Disclaimer/Publisher’s Note: The statements, opinions and data contained in all publications are solely those of the individual author(s) and contributor(s) and not of MDPI and/or the editor(s). MDPI and/or the editor(s) disclaim responsibility for any injury to people or property resulting from any ideas, methods, instructions or products referred to in the content. |
© 2025 by the authors. Licensee MDPI, Basel, Switzerland. This article is an open access article distributed under the terms and conditions of the Creative Commons Attribution (CC BY) license (https://creativecommons.org/licenses/by/4.0/).
Share and Cite
Wang, L.; Shi, M.; Chen, Y.; Wang, T.; Wang, J. An Integrated Tubing String for Synergistic Acidizing-Flowback: Simulation and Optimization Targeting Offshore Dongying Formation. Processes 2025, 13, 3582. https://doi.org/10.3390/pr13113582
Wang L, Shi M, Chen Y, Wang T, Wang J. An Integrated Tubing String for Synergistic Acidizing-Flowback: Simulation and Optimization Targeting Offshore Dongying Formation. Processes. 2025; 13(11):3582. https://doi.org/10.3390/pr13113582
Chicago/Turabian StyleWang, Liangliang, Minghua Shi, Yi Chen, Tengfei Wang, and Jiexiang Wang. 2025. "An Integrated Tubing String for Synergistic Acidizing-Flowback: Simulation and Optimization Targeting Offshore Dongying Formation" Processes 13, no. 11: 3582. https://doi.org/10.3390/pr13113582
APA StyleWang, L., Shi, M., Chen, Y., Wang, T., & Wang, J. (2025). An Integrated Tubing String for Synergistic Acidizing-Flowback: Simulation and Optimization Targeting Offshore Dongying Formation. Processes, 13(11), 3582. https://doi.org/10.3390/pr13113582

