Abstract
Single-type viscosity reducers often fail to meet the application requirements of specific oilfields for high-viscosity heavy oils. This study focused on Henan heavy oil, systematically investigating the viscosity reduction performances of oil-soluble viscosity reducers, emulsifiers, and their composite systems. Experimental results indicated that the oil-soluble ethylene-vinyl acetate copolymer (EVA) achieved optimal efficiency at a concentration of 500 ppm, with a viscosity reduction rate of 44.2%. Among the screened emulsifiers, acrylonitrile-ethylene-styrene (AES) exhibited the highest viscosity reduction rate (99.9%), which basically complied with relevant industrial application standards. When EVA and AES were compounded, the resulting composite reducer showed a significantly higher viscosity reduction rate than single EVA, and the stability of the formed oil-in-water (O/W) emulsion was further enhanced. The synergistic mechanism was clarified as follows: EVA first disrupts the aggregation of heavy components (resins and asphaltenes) and modifies wax crystal morphology, creating a favorable microfoundation for subsequent emulsification; AES then promotes the formation of stable O/W emulsions, ultimately achieving a “1 + 1 > 2” synergistic viscosity reduction effect. Furthermore, the potential action mechanism of the EVA-AES composite system was verified using multiple characterization techniques. This study provides a valuable reference for the selection and practical application of heavy oil viscosity reducers in oilfield operations.
1. Introduction
With the growing global demand for petroleum resources, heavy oil has emerged as a crucial alternative energy source [1,2]. However, heavy oil is inherently characterized by high viscosity, high pour point, and poor fluidity—properties that lead to more challenging and costly extraction, gathering, and processing operations, thereby limiting its utilization to a certain extent [3,4]. Currently, enhancing the fluidity of heavy oil is the primary focus for addressing these issues and advancing heavy oil utilization technologies. To improve the fluidity of high-viscosity heavy oil, common techniques include heating, dilution, modification, and chemical viscosity reduction [5,6,7]. Among these methods, chemical viscosity reduction offers distinct advantages such as simplicity, remarkable efficacy, and low cost. It primarily encompasses two approaches: emulsification viscosity reduction and oil-soluble viscosity reducer-based viscosity reduction [8,9]. Additionally, this method contributes to energy conservation, consumption reduction, and improved economic benefits. Nevertheless, emulsification viscosity reduction has notable limitations: it has a narrow application range, is unsuitable for high-viscosity extra-heavy oil, and poses challenges in maintaining the stability of the emulsified system post-emulsification [10,11]. Similarly, oil-soluble viscosity reducers are restricted in their application due to drawbacks like difficult development, relatively stringent application conditions, and a limited viscosity reduction range [12].
In the context of specific oilfield operations, it is essential to adopt composite viscosity reducers or corresponding technical solutions to resolve practical engineering challenges [13,14]. For instance, in the extraction of high-viscosity, high-pour-point extra-heavy oil, a single oil-soluble viscosity reducer only achieves limited viscosity reduction, while standalone emulsifiers also encounter difficulties in effective emulsification and viscosity reduction. Notably, after heavy oil is emulsified and its viscosity is reduced, the resulting fluid exhibits better fluidity owing to the high temperature of the reservoir. However, during storage in surface temporary tanks, the fluid is easily affected by low temperatures, leading to gradual demulsification over time and increased difficulty in gathering and transportation. Thus, composite viscosity reduction technology has specific application requirements. In this study, the viscosity reduction effect of a composite viscosity reducer—composed of an oil-soluble viscosity reducer and a water-soluble emulsifier—on heavy oil was investigated.
The EVA-AES composite system proposed in this study innovatively integrates the molecular dispersion capability of oil-soluble polymers with the phase-regulating function of water-soluble emulsifiers. This “microscopic preconditioning followed by macroscopic emulsification” strategy overcomes the inherent limitations of single-agent approaches, providing a novel solution for the efficient viscosity reduction of high-challenge heavy oils (e.g., high-viscosity, high-wax varieties). Furthermore, the action mechanism of this composite viscosity reducer was elucidated based on characterizations including Fourier transform infrared (FT-IR) spectroscopy, differential scanning calorimetry (DSC), wax crystal morphology observation, and oil-in-water (O/W) emulsion microstructure analysis.
2. Materials and Methods
2.1. Materials
The oil-soluble viscosity reducers used in this study included AN-15 (It is composed of carboxylate copolymer and alkylaromatic hydrocarbon, and has selective anti-wax effect on waxy crude oil with different molecular weight distribution), ADBS (Aluminum dodecyl benzene sulfonate), EVA (Ethylene-vinyl acetate copolymer, which contains 33 wt % vinyl acetate), P20 (Polyacrylic polymer, which can effectively reduce the surface tension), and PP-2 (The modified polypropylene prepared by our research group). AN-15 (industrial grade) and ADBS (industrial grade) were supplied from Anqiu plasticizer factory (Anqiu, Shandong, China). EVA (industrial grade) was purchased from Shenhua Yulin Energy & Chemical Co., Ltd. (Yulin, Shaanxi, China). P20 (industrial grade) was purchased from Sasol Chemical Co., Ltd. (Guangzhou, Guangdong, China). PP-2 was a chemical viscosity reducer based on the waste of a mask meltblown fabric and produced by our research group [15]. The water-soluble viscosity reducers used in this study included CTAB (cetyltrimethylammonium bromide), Span-60 (Sorbitan Monostearate), AES (Acrylonitrile ethylene styrene), SDBS (sodium dodecylbenzene sulfonate), and AEO (Primary Alcobol Ethoxylate). CTAB (analytical grade) was purchased from Tianjin Comio Chemical Reagent Co. (Tianjin, China). SDBS (industrial grade) was provided by Tianjin Jindong Tianzheng Fine Chemical Reagent Factory (Tianjin, China). AES (industrial grade) was purchased from Shenzhen Xin Yasheng Environmental Protection Material Co. (Shenzhen, Guangdong, China). AEO (industrial grade) was purchased from Shandong Urso Chemical Technology Co. (Linyi, Shandong, China). The surfactants with industrial grade and other chemicals used in the study were purchased from Changqing Chemical Group Co., Ltd. (Xi’an, Shaanxi, China).
2.2. Properties of the Heavy Oil Sample
The crude oil used in this study was obtained from Henan Oilfield and was free of suspended sand particles. Table 1 summarizes the physical properties of the crude oil sample. The pour point was measured following the Chinese Petroleum Industrial Standard SY/T 0541-2009 [16]. The viscosity of the heavy oil was determined at 50 °C using an NDJ-8S rotational viscometer in accordance with the Chinese Petroleum Industrial Standard SY/T 0520-2008 [17].
Table 1.
Properties of heavy crude oil.
Heavy oil is a complex mixture broadly classified into four components: saturates, aromatics, resins, and asphaltenes. The saturated and aromatic fractions of the heavy oil sample were analyzed by column chromatography based on the Chinese Petroleum Industrial Standard SY/T 5119-2008 [18]. Asphaltenes were separated by n-heptane precipitation. The resin content was calculated as the remaining percentage after quantifying the other three components. Wax, generally consisting of alkanes with carbon numbers between 16 and 30 within the saturated hydrocarbons, was analyzed by GC-MS. The carbon number distribution of the saturated hydrocarbons was used to determine the wax proportion. The sample oil is a typical heavy oil, with high density, high viscosity and high pour point, making production and transportation difficult.
2.3. Reduction of the Heavy Oil Viscosity Using Oil-Soluble Viscosity Reducers
Several oil-soluble viscosity reducers were formulated at a concentration of 500 ppm and added to crude oil to evaluate their viscosity-reducing performance. The crude oil was sealed and heated to 45 °C using a constant-temperature bath (Changzhou Tianrui Instrument Co., Changzhou, Jiangsu, China). A 25 g aliquot was weighed, transferred into a measuring cylinder, and maintained at 45 °C for 10 min. The viscosity reducer solution was then injected into the crude oil. After thorough mixing, the cylinder was placed in a thermostat and held at 45 °C for 1.5 h. A control experiment was performed in parallel, in which no viscosity reducer was added. The viscosity of each sample was measured at various temperatures.
2.4. Differential Scanning Calorimetry Analysis (DSC)
Differential scanning calorimetry (DSC) analysis was conducted on crude oil samples with and without 500 ppm oil-soluble viscosity reducer using a Mettler DSC-822e calorimeter (METTLER TOLEDO, Shanghai, China). The test protocol included two stages: first, heating each sample from room temperature to 50 °C at a rate of 11 °C/min; second, cooling it from 50 °C to 25 °C at a rate of 8 °C/min.
2.5. Wax Crystal Morphology Analysis
In accordance with the SY/T 5119-2008 standard, crude oil samples were separated via column chromatography to extract their saturated hydrocarbon fractions. The morphology of wax crystals in these saturated hydrocarbons was observed using an OPTPro-3000 polarizing microscope (Chongqing Aote Optical Instrument Co., Ltd., Chongqing, China).
2.6. Heavy Oil Emulsion Preparation Using a Water-Soluble Emulsifier
Preliminary experiments indicated that a relatively uniform emulsion could be formed when the oil-water ratio reached 30 wt %. This ratio not only achieves the goal of reducing heavy oil viscosity but also ensures relatively low dehydration difficulty. O/W emulsions with 30 wt % water content were prepared by mixing crude oil with an emulsifier solution. The specific procedure was as follows: 21 g of crude oil was placed in a measuring cylinder, heated to 50 °C, and held at constant temperature for 10 min. Subsequently, the crude oil was mixed with 9 g of a 0.3% aqueous solution of water-soluble emulsifier, and the mixture was stirred at 1200 rpm for 10 min at 50 °C using a digital high-speed mixer (Model GJ-3S, Qingdao Haitongda Special Purpose Instrument Co., Ltd. Qingdao, Shandong, China) to obtain the target emulsion.
2.7. Emulsifier Performance Evaluation
Under real oilfield conditions, an emulsifying viscosity reducer should not only achieve significant viscosity reduction but also maintain a certain degree of stability during the viscosity reduction stage without interfering with subsequent demulsification [19]. Accordingly, the performance of emulsifiers was evaluated in line with the Q/SY 118-2013 standard, using three key indicators: viscosity reduction rate (measured at 30 °C), emulsion stability (evaluated at 3 min), and demulsification efficiency (assessed at 60 min) [20]. This evaluation enabled the identification of emulsifiers suitable for heavy oil viscosity reduction and their corresponding optimal concentrations.
2.8. Analysis of the Combined Effect of the Oil-Soluble Viscosity Reducer and Water-Soluble Emulsifier
All experiments were performed in accordance with the Sinopec Enterprise Standard Q/SHCG 65-2013 (“Technical Requirements for Heavy Oil Viscosity Reducers”) [20]. For sample preparation: AN-15, ADBS, and P20 viscosity reducers were dissolved in high-carbon alcohol; PP-2 was dissolved in toluene; and EVA was dissolved in diesel. These solutions were then added to 280 g of crude oil at specified dosages, resulting in a concentration gradient of 100–500 ppm in the heavy oil. The mixture was placed in a 50 ± 1 °C water bath for 1 h of constant-temperature incubation. A stirring paddle was positioned at the center of the beaker (2–3 mm above the bottom), and the mixture was stirred at 250 rpm for 2 min under constant temperature. The viscosity of the heavy oil sample was measured at 50 ± 1 °C.
After the oil-soluble viscosity reducer treatment, 280 g of the treated heavy oil was mixed with 120 g of water-soluble emulsifier solutions (at concentrations of 0.1%, 0.3%, 0.5%, 0.7%, and 1.0%, respectively) in a beaker. The mixture was incubated in a 50 ± 1 °C constant-temperature water bath for 1 h, then stirred with a paddle (2–3 mm above the beaker bottom) at 250 rpm for 2 min under constant temperature. Immediately after stirring, the sample viscosity at 50 ± 1 °C was measured using a rotational viscometer; viscosities at other temperatures were determined following the same protocol. Each experiment was replicated three times [21].
2.9. Analysis of the Microstructure of O/W Emulsions
The micromorphology of emulsions formed by mixing crude oil with either emulsifier solutions or viscosity reducers was observed using an OPTPro-3000 microscope with polarized light as the light source.
3. Results and Discussion
3.1. Effect of the Oil-Soluble Viscosity Reducers on the Heavy Oil Viscosity
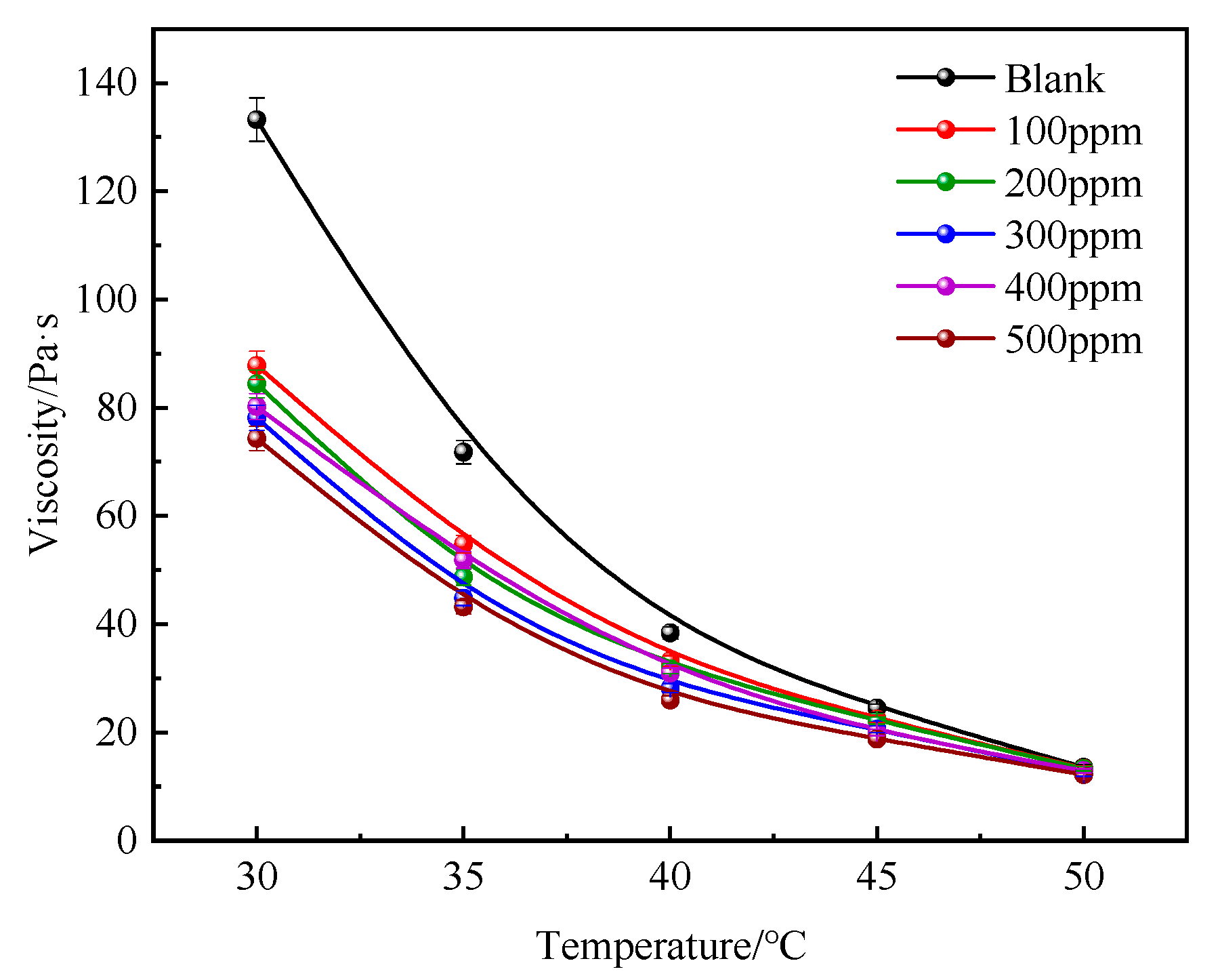
Oil-soluble viscosity reducers are mainly composed of two categories of components: small-molecule compounds (e.g., alkyl benzenesulfonates) and macromolecular structures, with the latter including polymers synthesized from acid-based and ester-based monomers. [21,22]. The viscosity reduction effects of various oil-soluble viscosity reducers on heavy oil are presented in Figure 1. The experimental results indicated varying levels of viscosity reduction among the different oil-soluble viscosity reducers, with EVA demonstrating the best performance. A follow-up experiment was conducted to investigate the relationship between EVA concentration and its viscosity-reducing effect. As illustrated in Figure 2, a positive correlation was observed between EVA concentration and the extent of viscosity reduction. The rate of viscosity reduction increased with higher EVA concentrations, while the influence of concentration diminished gradually as temperature rose.
Figure 1.
Effect of the tested oil-soluble viscosity reducers on the viscosity of heavy oil samples.
Figure 2.
Oil viscosity reduction effect of different EVA concentrations.
As shown in Figure 2, the optimal EVA concentration was 500 ppm, which reduced the oil viscosity from 133,200 Pa·s to 74,300 Pa·s at 30 °C—a decrease of 44.2%.
The viscosity reduction achieved by oil-soluble viscosity reducers alone remains relatively limited. Therefore, further viscosity control may require the application of additional or combined viscosity-reduction methods.
3.2. Differential Scanning Calorimetry (DSC)
The viscosity reduction effect provided by EVA was further investigated by a DSC analysis in Figure 3. An oil sample was successively heated and cooled to room temperature. The temperature at which the wax precipitation began (wax precipitation point), and the temperature corresponding to the maximum wax precipitation (wax precipitation peak) can be determined by heat changes. According to Figure 3, addition of the EVA viscosity reducer resulted in a decrease of the wax precipitation point from ~36 to 34 °C and the wax precipitation peak from 34 to 32 °C thus proving the left shift of both wax precipitation point and wax precipitation peak. This result shows that application of a viscosity reducer may delay the process of wax precipitation, decrease the temperature of precipitation of paraffin components in heavy oil, lower the pour point of heavy oil, and improve the fluidity of crude oil at low temperatures.
Figure 3.
DSC analysis of a crude oil sample in the presence or absence of EVA.
3.3. Morphological Analysis of Wax Crystals
Morphological analysis of wax crystals in the saturated hydrocarbon components of heavy oil revealed a feather-like structure (Figure 4a). The crystals exhibited a compact and regular arrangement with low dispersion, forming a relatively dense lattice framework. Upon addition of the EVA viscosity reducer, noticeable changes occurred in the morphology of the wax crystals and the structure of the saturated hydrocarbons. The network structure of the wax crystals became more open, with the crystal morphology shifting to a needle-like shape and the degree of dispersion increasing significantly (Figure 4b). These structural alterations indicate that the growth and aggregation of wax crystals were effectively inhibited [23].
Figure 4.
Wax crystals in a saturated hydrocarbon sample in the absence (a) or presence (b) of EVA.
3.4. Effect of a Water-Soluble Emulsifier Addition on the Viscosity of Heavy Oil
Based on the results, single oil-soluble viscosity reducers exhibit relatively limited viscosity reduction efficacy for heavy oil, only achieving an initial improvement in fluidity. Given the ongoing need for further viscosity reduction, subsequent investigations focused on the effects of emulsification-based viscosity reduction and composite viscosity reduction. The performance evaluation results of the tested emulsifiers are summarized in Table 2.
Table 2.
Screening of emulsifiers.
Cetyltrimethylammonium bromide (CTAB) exhibited a high viscosity reduction rate and yielded extremely stable emulsions, but these characteristics could result in subsequent demulsification challenges. Conversely, the emulsion stabilized by the alcohol ethoxylate (AEO) emulsifier showed poor stability, which undermined its viscosity reduction performance in heavy oil. AES meets the requirements of Q/SY 118-2013 in key indicators (viscosity reduction rate, emulsion stability, and demulsibility), and its comprehensive performance is significantly superior to other candidate emulsifiers. Therefore, AES was selected as the optimal water-soluble emulsifier [24].
The viscosity and stability of emulsions formed by heavy oil and AES solutions of varying concentrations were further investigated. AES at concentrations ranging from 0.1% to 1.0% successfully formed emulsions with heavy oil, reducing the oil’s viscosity significantly to 40–80 Pa·s (Figure 5). The viscosity of all emulsions increased gradually over time, indicating that the stability of the emulsified system requires further improvement. Notably, while the 0.3% AES concentration achieved the optimal emulsion viscosity reduction effect, the viscosity of its corresponding emulsion also changed remarkably with time.
Figure 5.
Time dependence of the viscosity of emulsions prepared using different AES concentrations.
The stability of emulsions formed by heavy oil and AES solutions of different concentrations was evaluated by quantifying the volume of water separated over a specified period. As shown in Figure 6, the volume of separated water increased rapidly within the first 10 min, followed by a slow increase, and eventually stabilized after 30 min. Emulsions prepared with 1.0% AES exhibited the highest stability, whereas significant dehydration was observed in the emulsion with 0.1% AES. Overall, emulsion stability showed a positive correlation with AES concentration—higher emulsifier concentrations corresponded to greater emulsion stability. However, excessively stable emulsions, induced by high-concentration AES after emulsification and viscosity reduction, could hinder subsequent demulsification processes and lead to substantially increased costs in practical oilfield applications. When the AES concentration was 0.3%, the dehydration rates at 3 min and 60 min were 14.4% and 95.6%, respectively, which generally complies with the requirements specified in the Q/SY 118-2013 standard.
Figure 6.
Stability of emulsions formed by different AES concentrations.
3.5. Combined Effect of the Oil-Soluble Viscosity Reducer and Water-Soluble Emulsifier
Based on the aforementioned results, the oil-soluble viscosity reducer alone exhibited limited effectiveness in reducing the viscosity of the heavy oil, while the emulsifier alone resulted in an unstable viscosity level. To achieve further viscosity reduction and meet application requirements, a combined system of the oil-soluble viscosity reducer (EVA) and a water-soluble emulsifier (AES) was evaluated. The composite viscosity reducer demonstrated significantly improved performance, reducing the emulsion viscosity to a stable level of approximately 60 Pa·s—representing a 55.7% enhancement compared to using the oil-soluble reducer alone (Figure 7). Moreover, the viscosity of the emulsion remained nearly constant over time, indicating markedly improved stability in viscosity reduction. These findings suggest a synergistic effect between the AES emulsifier and EVA viscosity reducer, which enables highly efficient and stable viscosity reduction in heavy oil when applied in combination [25].
Figure 7.
Stability of emulsions formed by a composite viscosity reducer.
3.6. Microstructure of O/W Emulsions
The micromorphology of the emulsion formed by mixing AES emulsifier with heavy oil is presented in Figure 8. In the oil-in-water (O/W) emulsion, crude oil was uniformly dispersed in the aqueous phase as discrete oil droplets. Over time, however, the oil and water phases gradually underwent flocculation. In accordance with Gibbs’ adsorption law, surfactants adsorb at the oil-water interface and form an interfacial film [26], which endows the emulsion with a certain degree of stability. After 30 min of storage, the average particle size of the oil droplet dispersed phase increased gradually—this phenomenon indicates that the oil phase underwent gradual coalescence, and the emulsion tended toward demulsification [27].
Figure 8.
Microstructure of emulsion formed by the AES emulsifier and heavy oil. (a)—0 min, (b)—5 min, (c)—10 min, (d)—20 min, (e)—30 min, (f)—60 min.
The micromorphology of the emulsion formed by heavy oil and the EVA-AES composite viscosity reducer is presented in Figure 9. Application of the composite reducer significantly reduced the average size of oil droplets in the emulsion and enhanced their dispersion within the continuous phase. In the composite system, small oil droplets encapsulated by water films underwent Brownian motion and dispersed around the oil-in-water (O/W) structures of larger oil droplets, forming a “football-like” secondary structure. This structural arrangement converted the flow resistance of the emulsion into shear forces between adjacent water films, thereby substantially improving fluidity.
Figure 9.
Microstructure of the emulsion formed by a composite reducer and heavy oil. (a)—0 min, (b)—5 min, (c)—10 min, (d)—20 min, (e)—30 min, (f)—60 min.
The oil-soluble viscosity reducer (EVA) mitigated the tendency of emulsion properties to deteriorate over time, ensuring the stability of the heavy oil emulsion for an extended period and thus enhancing its overall stability. With prolonged storage, the aqueous phase gradually coalesced into larger-diameter spheres due to the combined effects of defoaming, liquid film rupture, water loss, and gravity [28,29,30]. This process reduced the space available for oil droplet movement, leading to oil phase coalescence and gradual demulsification of the sample.
3.7. Proposed Mechanism of the Observed Phenomenon
The potential mechanism of chemical composite viscosity reduction arises from the organic integration of the action mechanisms of the two individual viscosity reducers, with a schematic illustration of this process provided in Figure 10. Drawing on findings from previous studies and the results of this work, the proposed mechanism is as follows:
Figure 10.
Schematic diagram of the mechanism of viscosity reduction by a composite reducer.
On one hand, oil-soluble viscosity reducers can disrupt the polar hydrogen bonds between heavy components (resins and asphaltenes) and partially disassemble the aggregates formed by the stacking of their sheet-like monomer molecules [31,32,33,34]. On the other hand, these reducers interact with waxy components in heavy oil through adsorption-eutectic effects, altering the crystallographic orientation of wax crystals and inhibiting their further growth and aggregation into a three-dimensional network structure [35,36]. By dispersing colloids, asphaltenes, and wax, the oil-soluble viscosity reducer initially enhances the fluidity of heavy oil.
Furthermore, the emulsifier—endowed with both hydrophilic and lipophilic groups—facilitates the formation of an oil-in-water (O/W) emulsion (with water as the continuous phase), thereby reducing macroscopic flow resistance. Collectively, the oil-soluble viscosity reducer and emulsifier exert a synergistic effect to achieve efficient viscosity reduction of heavy oil.
4. Conclusions
This study evaluated the viscosity reduction performance of oil-soluble viscosity reducers and water-soluble emulsifiers applied to Henan heavy oil, identifying effective chemicals and their optimal dosages, along with assessing a composite system combining both types of agents. Using a composite of 500 ppm EVA and 0.3% AES, a 99.9% viscosity reduction was achieved at 30 °C, stabilizing emulsion viscosity at around 60 Pa·s—a 55.7% improvement over EVA alone—with fluctuations within 5 Pa·s over 10 min. Microscopically, the composite reduced the average oil droplet size by 40%, promoted the formation of a “football-like” secondary structure, and extended demulsification time from 30 to 60 min compared to AES alone. This improved stability was attributed to EVA’s dispersing action on heavy components (resins and asphaltenes). FT-IR, DSC, and microstructure analyses revealed a synergistic “molecular dispersion–macroscopic emulsification” mechanism: EVA disrupted hydrogen bonding among polar heavy components and modified wax crystal arrangement, while AES facilitated the formation of a stable O/W emulsion via its amphiphilic nature. In summary, the composite system significantly enhanced both viscosity reduction and emulsion stability, demonstrating a clear synergy between EVA and AES. The EVA-AES composite viscosity reducer features low cost and compatibility with existing equipment, along with low toxicity and easy degradability. It requires ratio adjustment for reservoir adaptation, leakage control, demulsification optimization to reduce efficient heavy oil viscosity.
Author Contributions
Conceptualization, G.C.; software, J.H. and J.Y.; validation, J.H. and J.Y.; formal analysis, J.Y.; investigation, X.G.; resources, G.C.; data curation, J.H. and P.W.; writing—reviewing and editing, X.G. and J.H.; visualization, J.Y. and X.G.; supervision, G.C.; project administration, G.C. All authors have read and agreed to the published version of the manuscript.
Funding
The work was supported financially by National Science Foundation of China (52474041), Shaanxi Provincial Natural Science Basic Research Program (Key Laboratory Project) (2025SYS-SYSZD-013), Postgraduate Innovation Fund Project of Xi’an Shiyou University (YCS23213107) and the Youth Innovation Team of Shaanxi Universities.
Data Availability Statement
The original contributions presented in this study are included in the article. Further inquiries can be directed to the corresponding author.
Acknowledgments
We thank the support of the Youth Innovation Team of Shaanxi University and Modern Analysis and Testing Center of Xi’an Shiyou University.
Conflicts of Interest
The authors declare no conflicts of interest.
References
- Okolie, J.A.; Patra, B.R.; Mukherjee, A.; Nanda, S.; Dalai, A.K.; Kozinski, J.A. Futuristic applications of hydrogen in energy, biorefining, aerospace, pharmaceuticals and metallurgy. Int. J. Hydrogen Energy 2021, 46, 8885–8905. [Google Scholar] [CrossRef]
- Qiang, H. Experimental Studies on Viscosity Reduction of Heavy Crude Oil by Ultrasonic Irradiation. Acoust. Phys. 2020, 66, 495–500. [Google Scholar] [CrossRef]
- Mao, J.C.; Kang, Z.; Yang, X.J.; Lin, C.; Zheng, L.; Zuo, M.; Mao, J.H.; Dai, S.K.; Xue, J.X.; Ouyang, D. Synthesis and Performance Evaluation of a Nanocomposite Pour-Point Depressant and Viscosity Reducer for High-Pour-Point Heavy Oil. Energy Fuels 2020, 34, 7965–7973. [Google Scholar] [CrossRef]
- Gu, X.F.; Gao, L.; Li, Y.F.; Dong, K.; Zhang, J.; Du, W.C.; Qu, C.T.; Chen, G. Performance and mechanism of span surfactants as clean flow improvers for crude oil. Pet. Chem. 2020, 60, 140–145. [Google Scholar] [CrossRef]
- Souas, F.; Safri, A.; Benmounah, A. A review on the rheology of heavy crude oil for pipeline transportation. Pet. Res. 2021, 6, 116–136. [Google Scholar] [CrossRef]
- Afra, S.; Nasr-El-Din, H.A.; Socci, D.; Cui, Z. Green phenolic amphiphile as a viscosity modifier and asphaltenes dispersant for heavy and extra-heavy oil. Fuel 2018, 220, 481–489. [Google Scholar] [CrossRef]
- Sherratt, J.; Sharifi Haddad, A.; Rafati, R. Hot Solvent-Assisted Gravity Drainage in Naturally Fractured Heavy Oil Reservoirs: A New Model and Approach to Determine Optimal Solvent Injection Temperature. Ind. Eng. Chem. Res. 2018, 57, 3043–3058. [Google Scholar] [CrossRef]
- Chen, G.; Bai, Y.; Zhang, J.; Yuan, W.H.; Song, H.; Jeje, A. Synthesis of new flow improvers from canola oil and application to waxy crude oil. Pet. Sci. Technol. 2016, 34, 1285–1290. [Google Scholar] [CrossRef]
- Chen, Q.; Zhu, Y.; Wang, M.; Ren, G.; Liu, Q.; Xu, Z.; Sun, D. Viscosity reduction of extra-heavy oil using toluene in water emulsions. Colloids Surf. A Physicochem. Eng. Asp. 2019, 560, 252–259. [Google Scholar] [CrossRef]
- Langevin, D.; Poteau, S.; Hénaut, I.; Argillier, J.F. Crude Oil Emulsion Properties and Their Application to Heavy Oil Transportation. Oil Gas Sci. Technol. 2004, 59, 511–521. [Google Scholar] [CrossRef]
- Lee, J.; Babadagli, T. Comprehensive review on heavy-oil emulsions: Colloid science and practical applications. Chem. Eng. Sci. 2020, 228, 115962. [Google Scholar] [CrossRef]
- Chen, X.; Wang, N.; Xia, S. Research progress and development trend of heavy oil emulsifying viscosity reducer: A review. Pet. Sci. Technol. 2021, 39, 550–563. [Google Scholar] [CrossRef]
- Yang, Y.; Guo, J.X.; Cheng, Z.F.; Wu, W.M.; Zhang, J.J.; Zhang, J.W.; Yang, Z.G.; Zhang, D.S. New Composite Viscosity Reducer with Both Asphaltene Dispersion and Emulsifying Capability for Heavy and Ultraheavy Crude Oils. Energy Fuels 2017, 31, 1159–1173. [Google Scholar] [CrossRef]
- Chen, H.; Shen, X.; Yu, J.; Yang, S. A New Composite Viscosity Reducer for Abnormal Low Temperature Extra-Heavy Oil Reservoir with High Acid Value. Pet. Chem. 2020, 60, 1003–1008. [Google Scholar] [CrossRef]
- Wang, P.; Gu, X.; Xue, M.; Li, Y.; Dong, S.; Chen, G.; Zhang, J. Resource utilization of medical waste under COVID-19: Waste mask used as crude oil fluidity improver. J. Clean. Prod. 2022, 358, 131903. [Google Scholar] [CrossRef]
- SY/T 0541-2009; Test Method for Gel Point of Crude Oils. National Petroleum Corporation: Beijing, China, 2009.
- SY/T 0520-2008; Viscosity Determination of Crude Petroleum-Equilibrium Method by a Rotational Viscometer. National Petroleum Corporation: Beijing, China, 2008.
- SY/T 5119-2008; Analysis Method for Fractions of Rock Extract and Crude Oil. National Petroleum Corporation: Beijing, China, 2008.
- Liu, J.; Li, L.; Xu, Z.; Chen, J.; Zhao, M.; Dai, C. CO2-responsive zwitterionic copolymer for effective emulsification and facile demulsification of crude heavy oil. J. Mol. Liq. 2021, 325, 115166. [Google Scholar] [CrossRef]
- Q/SHCG 65-2013; Technical Requirements of Viscosity Reducer for Heavy Oil. Sinopec: Beijing, China, 2013.
- Gu, X.; Li, Y.F.; Yan, J.; Zhang, J.; Wu, Y.; Wang, M.X.; Zhao, J.S.; Chen, G. Synthesis and Investigation of a Spiro Diborate as a Clean Viscosity-Reducer and Pour Point Depressor for Crude Oil. Pet. Chem. 2019, 59, 570–574. [Google Scholar] [CrossRef]
- Chen, G.; Zhou, Z.C.; Shi, X.D.; Zhang, X.L.; Dong, S.B.; Zhang, J. Synthesis of alkylbenzenesulfonate and its behavior as flow improver in crude oil. Fuel 2021, 288, 119644. [Google Scholar] [CrossRef]
- Malkin, A.Y. Oil as an Object of Rheology (Review). Pet. Chem. 2019, 59, 1092–1107. [Google Scholar] [CrossRef]
- Elganidi, I.; Elarbe, B.; Ridzuan, N.; Norhayati, A. Synthesis, characterisation and pre-evaluation of a novel terpolymer as pour point depressants to improve the Malaysian crude oil flowability. J. Pet. Explor. Prod. Technol. 2022, 12, 2067–2081. [Google Scholar] [CrossRef]
- Malkin, A.Y.; Zuev, K.V.; Arinina, M.P.; Kulichikhin, V.G. Modifying the Viscosity of Heavy Crude Oil Using Surfactants and Polymer Additives. Energy Fuels 2018, 32, 11991–11999. [Google Scholar] [CrossRef]
- Zhang, H.; Xu, G.; Wu, D.; Wang, S. Aggregation of cetyltrimethylammonium bromide with hydrolyzed polyacrylamide at the paraffin oil/water interface: Interfacial rheological behavior study. Colloids Surf. A Physicochem. Eng. Asp. 2008, 317, 289–296. [Google Scholar] [CrossRef]
- Nie, C.; Du, H.; Zhang, Y.; Han, G.; Wang, H.; Yuan, D.; Wang, B.; Wang, X. Towards efficient solar demulsification (I): A solar electrical role on interfacial film of emulsions. Sustain. Mater. Technol. 2021, 30, e00344. [Google Scholar] [CrossRef]
- Hunter, T.N.; Pugh, R.J.; Franks, G.V.; Jameson, G.J. The role of particles in stabilising foams and emulsions. Adv. Colloid Interface Sci. 2008, 137, 57–81. [Google Scholar] [CrossRef] [PubMed]
- Arinina, M.P.; Zuev, K.V.; Kulichikhin, V.G.; Malkin, A.Y. Effect of Composition and Interfacial Tension on the Rheology and Morphology of Heavy Oil-In-Water Emulsions. ACS Omega 2020, 5, 16460–16469. [Google Scholar] [CrossRef] [PubMed]
- Umar, A.A.; Saaid, I.B.M.; Sulaimon, A.A.; Pilus, R.B.M. A review of petroleum emulsions and recent progress on water-in-crude oil emulsions stabilized by natural surfactants and solids. J. Pet. Sci. Eng. 2018, 165, 673–690. [Google Scholar] [CrossRef]
- Zhou, Z.C.; Zhang, W.Y.; Zhang, F.T.; Zhang, X.; Dong, S.B.; Zhang, J.; Chen, G. Synthesis of barium alkylbenzene sulfonate and its behavior as a flow improver for crude oil. C. R. Chim. 2021, 24, 83–89. [Google Scholar] [CrossRef]
- Wang, C.H.; Gao, L.Y.; Liu, M.H.; Nian, Y.; Shu, Q.L.; Xia, S.Q.; Han, Y. Viscosity reduction mechanism of surface-functionalized Fe3O4 nanoparticles in different types of heavy oil. Fuel 2024, 360, 130535. [Google Scholar] [CrossRef]
- Li, Z.; Han, T.K.; Li, J.W.; Zhu, B.J.; Yan, Y.J.; Zhang, J.; Wang, X. Pathway of Oil-Soluble Additives to Reduce Heavy Crude Oil Viscosity Depends on the Molecular Characteristics of Asphaltene. Energy Fuel 2024, 38, 4990–4997. [Google Scholar] [CrossRef]
- Zhang, X.J.; Guo, J.X.; Fei, D.T.; Wang, L.; Peng, Z.Y.; Li, J.M.; Dong, J.F. Polymer surfactants as viscosity reducers for ultra-heavy oil: Synthesis and viscosity reduction mechanism. Fuel 2024, 357, 129871. [Google Scholar] [CrossRef]
- Jing, G.L.; Ye, P.; Zhang, Y.L. The action mechanism of wax inhibitors (WI) on pour point and viscosity of mixed waxy oil. Pet. Chem. 2017, 57, 293–298. [Google Scholar] [CrossRef]
- Lei, Y.; Yu, P.F.; Ni, W.Q.; Peng, H.P.; Liu, Y.; Lv, X.F.; Zhao, H.J. Study on the Kinetic Process of Asphaltene Precipitation during Crude Oil Mixing and Its Effect on the Wax Behavior of Crude Oil. ACS Omega 2021, 6, 1497–1504. [Google Scholar] [CrossRef] [PubMed]
Disclaimer/Publisher’s Note: The statements, opinions and data contained in all publications are solely those of the individual author(s) and contributor(s) and not of MDPI and/or the editor(s). MDPI and/or the editor(s) disclaim responsibility for any injury to people or property resulting from any ideas, methods, instructions or products referred to in the content. |
© 2025 by the authors. Licensee MDPI, Basel, Switzerland. This article is an open access article distributed under the terms and conditions of the Creative Commons Attribution (CC BY) license (https://creativecommons.org/licenses/by/4.0/).









