Abstract
Deep-fat frying remains the predominant method of food preparation; however, increasing concerns regarding health and sustainability have prompted the search for safer alternatives. Palm olein is widely used as a frying medium but its consumption has been questioned due to the presence of contaminants (e.g., 3-monochloropropane-1,2-diol, 3-MCPD) and the challenges associated with its transportation from producing countries, creating a need for healthier and more sustainable alternatives. The present study aimed to assess the oxidative stability, physicochemical properties, and sensory characteristics of various oils used for deep-fat frying, with particular emphasis on identifying suitable replacements for palm olein. Five oils were evaluated: refined sunflower oil (RSO), RSO supplemented with tert-butylhydroquinone (RSO+TBHQ), RSO supplemented with rosemary extract (RSO+RE), high-oleic sunflower oil (HOSO), and palm olein (PO). Samples were evaluated before and after deep-frying of French fries, at 175 °C for 2.5 min, over a total of 12 consecutive frying cycles. The results demonstrated that palm olein and HOSO exhibited the highest oxidative stability (induction period determined by Rancimat method at 100 °C was 27 h and 26.2 h, respectively), whereas the addition of TBHQ (induction period 23.4 h) and rosemary extract (induction period 11.5 h) provided only a modest enhancement of RSO stability (induction period 9.6 h). Hierarchical cluster analysis grouped palm olein and HOSO together, confirming their similar stability, while RSOs formed a distinct cluster. These findings suggest that high-oleic sunflower oil represents the most promising, stable, and nutritionally advantageous alternative to palm olein, simultaneously supporting local production and improved dietary quality.
1. Introduction
Deep-fat frying is one of the most commonly used methods of food preparation worldwide [1,2], as it produces specific sensory characteristics like texture, color, and flavor [3], that are highly appreciated by consumers. However, during the frying process, oils are exposed to intense thermo-oxidative changes that lead to the degradation of triglycerides, formation of polar compounds, polymers, free fatty acids, and secondary oxidation products, all of which can negatively affect the nutritional quality and safety of food [4,5,6,7,8]. Therefore, the choice of appropriate frying oil is considered one of the key factors for preserving the quality and safety of fried foods [9,10].
Palm olein is often used as a frying oil due to its good thermal stability and relatively low cost [11]. However, its use raises certain controversies related to the presence of contaminants such as 3-monochloropropane-1,2-diol (3-MCPD) [12,13], as well as the fact that it is not locally produced in Serbia but imported from Southeast Asian countries. 3-MCPD is a refining-induced contaminant typically found at higher levels in palm-based oils than in sunflower oil, and, due to its nephrotoxic and potentially carcinogenic effects, it is classified by the European Food Safety Authority (EFSA) as a compound of toxicological concern [13]. These reasons drive research toward alternative vegetable oils that could provide similar or better technological properties, along with higher nutritional value and sustainability. Sunflower oil is one of the most widely used vegetable oils in Europe and the predominant oil in Serbia [14,15,16]. However, due to its high content of polyunsaturated fatty acids, it is prone to oxidation at high temperatures, which limits its use in longer frying cycles [3,17]. Frying stability can be improved by adding antioxidants. Synthetic antioxidants, such as butylated hydroxyanisole (BHA), butylated hydroxytoluene (BHT), tert-butylhydroquinone (TBHQ), and propyl gallate (PG), have traditionally been used to inhibit oxidation, but their effectiveness at high temperatures is limited, while concerns have also been raised regarding potential health risks, including blood coagulation disorders, mutations, tumors, liver enlargement, and increased activity of microsomal enzymes [18,19,20]. As an alternative, increasing attention has been given to natural extracts rich in phenolic compounds [21], among which rosemary extract stands out, having been shown in several studies to significantly enhance oil stability and reduce the formation of harmful compounds during frying [22,23,24]. Numerous studies have addressed the role of synthetic and natural antioxidants in improving oil stability; however, comparative data under standardized frying conditions, especially involving locally produced sunflower oil, remain scarce. In addition, high-oleic sunflower hybrids (HOSOs) have emerged as a potential solution, as their higher oleic acid content contributes to improved oxidative stability and extended frying life [25,26]. Studies have demonstrated that HOSO exhibits significantly lower degradation parameters, such as peroxide and anisidine values, compared to conventional sunflower oil [3,27].
The aim of this study was to investigate the oxidative stability, as well as physicochemical and sensory properties of different sunflower oil variants, in comparison with palm olein in order to identify potential substitutes that could ensure frying stability, preserve the sensory and nutritional quality of food, and contribute to sustainable, local production. Special attention was given to assessing the effects of adding synthetic (TBHQ) and natural (rosemary extract) antioxidants to refined sunflower oil, as well as to evaluating high-oleic sunflower oil (HOSO) as a nutritionally advantageous alternative. In this way, the study seeks to provide scientifically grounded evidence on the possibilities of replacing palm olein with oils that are both locally available and sustainable.
2. Materials and Methods
2.1. Oil Samples
For the purposes of this study, standard (linoleic) refined sunflower oil (RSO), high-oleic sunflower oil (HOSO), and palm olein (PO) were obtained from the edible oil factory Dijamant Ltd. in Zrenjanin, Serbia. The synthetic antioxidant tert-butylhydroquinone (TBHQ) and the natural antioxidant rosemary extract (RE), purchased from Kefo JSC (Zemun, Belgrade, Serbia), originally sourced from Sigma-Aldrich (St. Louis, MO, USA), were added to refined linoleic sunflower oil at a concentration of 0.02% w/w, i.e., 200 ppm (samples labeled as RSO+TBHQ and RSO+RE), at the maximum levels permitted by the Regulation on Food Additives (Official Gazette RS, 53/2018). Mixing of oils with antioxidants was carried out using a magnetic stirrer at 50 Hz for 2 min, after which the samples were immediately transferred into 2 L PET bottles, filled to the top without headspace, sealed with original caps, and stored in a refrigerator at 0–4 °C. A total of 5 oil samples were used for deep-frying tests. The frying protocol was designed to reflect repeated use in food service settings (small restaurants and fast-food outlets), based on the operators’ practical experience and routine handling of frying oils. French fries (600 g) served as the model matrix and were fried in a FF230831 deep fryer (Tefal, Slough, UK) filled with 1.2 L of oil. Frying was conducted at a controlled temperature of 175 °C, for 2.5 min per cycle. After 12 frying cycles, with 24 h cooling intervals between them, oil samples were collected after frying. These samples were labeled with the suffix prime (‘).
2.2. Oil Identification
The fatty acid composition of the oils was determined using gas chromatography–mass spectrometry (GC-MS) [28] on a GC7890B gas chromatograph (Agilent Technologies, Santa Clara, CA, USA) equipped with a single-quadrupole mass spectrometer MSD5977A (Agilent Technologies). Prepared fatty acid methyl esters (FAMEs) were separated using an SP–2560 capillary column (Supelco, Merck KGaA, Darmstadt, Germany), L × I.D. 100 m × 0.25 mm × df 0.20, purchased from Altium International Ltd., Belgrade, Serbia) according to ISO 12966-2, 2017 [29]. Detection and quantification conditions were described by Romanić et al. (2024) [30].
The iodine value was determined according to ISO 3961:2024 [31].
The refractive index was measured using ISO 6320:2017 [32].
2.3. Analysis of Oil Quality and Stability
Oil quality analyses were carried out in accordance with relevant ISO standards. Acid value (AV) was determined according to ISO 660:2020 [33], while peroxide value (PV) was analyzed according to ISO 3960:2017 [34]. The anisidine value (p-AnV) was measured according to ISO 6885:2016 [35]. Based on PV and p-AnV values, the total oxidation index (TOTOX) was calculated using Equation (1) [17,36]:
TOTOX = 2 × PV + p-AnV
In addition, the contents of conjugated dienes (CDs) and conjugated trienes (CTs) were determined according to ISO 3656:2013/Amd 1:2017 [37].
Rancimat Test
The induction period (IP) was determined in compliance with ISO 6886:2016 [38]. Measurements were performed on a Rancimat instrument, model 743 (Metrohm, Herisau, Switzerland), at 100 °C and 120 °C, with a constant airflow of 20 L/h. These temperatures were selected as they allow for a clear differentiation in oxidative stability among the samples, facilitating the comparative assessment of their induction periods. The induction period was defined as the time elapsed from the start of measurement to the appearance of oxidation products, resulting in increased conductivity. For each measurement, 2–2.5 g oil portions were placed in reaction vessels and analyzed in parallel. IP values were automatically recorded by the instrument and expressed in hours.
2.4. Sensory Evaluation
Sensory evaluation was performed by a panel of 20 trained assessors from the Department of Food Engineering, Faculty of Technology, University of Novi Sad. The age of the panelists ranged from 25 to 65 years. Evaluation of sensory quality was carried out using a ranking method according to ISO 8589:2007 [39]. Analytical–descriptive tests were applied, with scores ranging from 0 (unacceptable quality) to 5 (optimal quality), following the methodology of Romanić et al. (2024) [30]. The sensory attributes evaluated were color, odor, and taste. A total of 10 samples were tested. Samples were heated to 35–40 °C to enhance odor and flavor and served in 20–25 mL portions in 50 mL laboratory glasses. The overall score represented the sum of color, appearance, odor, and taste scores.
2.5. Oil Transparency
In addition to sensory scoring, oil color was determined instrumentally, spectrophotometrically, using a UV/VIS spectrophotometer, model T80+ (PG Instruments Limited, London, UK). Transparency (%T) of pure oil was measured in glass cuvettes with a 10 mm path length at 455 nm, against an empty cuvette as a reference, as described by Lužaić et al. (2025) [25].
2.6. Statistics
All results are presented as mean ± standard deviation (n = 3). One-way analysis of variance (ANOVA) with post hoc Tukey’s HSD test was used to determine significant differences among data at the significance level of p < 0.05.
Hierarchical cluster analysis (HCA) was applied as a multivariate statistical technique commonly used for grouping samples or variables based on similarity. This analysis enables visualization of data structure through a dendrogram, illustrating how samples are linked at different levels of similarity. HCA provides insight into the existence of natural clusters in large datasets, identifying patterns and relationships among samples exhibiting similar behavior. Samples were grouped based on oil identification results (iodine value, refractive index), oil quality parameters (acid, peroxide, and anisidine values, TOTOX, conjugated dienes and trienes), as well as sensory characteristics and transparency. Prior to clustering, values were normalized using z-score transformation, while Ward’s method was used for cluster formation, with Euclidean distance applied to display dissimilarities among samples.
Statistical analysis was conducted using Microsoft Excel 2016, ver. 16.0 (Redmond, Washington, DC, USA), Statistica, ver. 14.0.0.15 (StatSoft, Tulsa, OK, USA), and NCSS 2024 (Kaysville, UT, USA).
3. Results and Discussion
3.1. Sample Identification
The fatty acid profile of all analyzed samples was consistent with the expected values for the respective oil types and within the limits prescribed by the Codex Alimentarius standards for edible vegetable oils [40]. Refined sunflower oil (RSO) was characterized by a high content of linoleic acid (C18:2 cis), which amounted to 52.72 ± 0.79% before frying, while oleic acid (C18:1 cis) was present at approximately 36%, as shown in Table 1. This ratio is typical for standard (linoleic) sunflower hybrids [41,42]. After frying, a decrease in linoleic acid content in RSO to 50.15 ± 0.75% was observed, accompanied by a slight increase in oleic acid, indicating oxidative degradation of polyunsaturated fatty acids due to thermal treatment. Patil et al. (2023) [7] reported a reduction in linoleic acid content after 5 min of frying at 160 ± 5 °C in sunflower oil from 60.88 ± 0.01% to 45.39 ± 0.12%. A decrease in linoleic acid content after 30 min of frying in corn and extra virgin olive oil—from 1232.3 ± 398.5 mM and 240.2 ± 41.5 mM to 1127.7 ± 164.5 mM and 200.4 ± 30.3 mM, respectively, was reported by Kusumoto et al. (2024) [43]. A similar trend was observed in variants with added TBHQ and rosemary extract (RSO+TBHQ and RSO+RE), confirming that some PUFA loss occurs during frying despite the presence of antioxidants [4,44].
Table 1.
Fatty acid composition, iodine value, and refractive index of the tested oil samples before and after frying (‘ indicates values after frying).
High-oleic sunflower oil (HOSO) showed a markedly different fatty acid composition, with dominant oleic acid (81.59 ± 1.22%) and very low linoleic acid content (8.11 ± 0.32%). This composition classifies HOSO as a highly stable oil, which was confirmed by minimal changes in fatty acid composition after frying. No statistically significant differences in fatty acid composition were observed before and after frying. The oxidative stability of HOSO is also supported by Romano et al. (2021) [1], who reported negligible changes in fatty acid composition after 48 h of frying: SFA increased from 7.77 ± 0.08% to 9.79 ± 0.01%, MUFA remained 84.11 ± 0.39% and 85.10 ± 0.01% before and after frying, and PUFA content decreased from 8.35 ± 0.05% to 5.09 ± 0.01%.
Palm olein (PO) differed as expected from sunflower oils, with high palmitic acid (38.90 ± 0.58%) and oleic acid (43.15 ± 0.65%) contents, while linoleic acid content was 10.90 ± 0.16%. No statistically significant changes were observed in the dominant fatty acids after frying, indicating good stability of palm olein at high temperatures. The presence of trans isomers in all samples was due to the refining process. Saturated fatty acids (SFAs) were highest in palm olein (approximately 45%), followed by RSO (approximately 10%) and lowest in HOSO (approximately 9%), while polyunsaturated fatty acids were most abundant in RSO (52%), followed by PO (11%), and least in HOSO (8%). Increased SFA content contributes to thermal stability but negatively affects the nutritional profile of the oils [17,45]. In this context, HOSO represents an optimal compromise between high stability and a favorable fatty acid composition.
The iodine value was consistent with the fatty acid profile: highest in RSO (119–123 g I2/100 g), intermediate in HOSO (85 g I2/100 g), and lowest in PO (56–57 g I2/100 g). After frying, a slight decrease in iodine value was observed in all oils, confirming oxidative and polymerization processes of unsaturated fatty acids during thermal treatment [4]. The refractive index () also reflected the fatty acid composition. The highest values were recorded for RSO (1.4659 ± 0.0001), followed by HOSO (1.4615 ± 0.0002), and lowest for PO (1.4582 ± 0.0002). A slight decrease in refractive index was observed after frying in all oils, which may be associated with a reduction in polyunsaturated fatty acids [3,46]). Iodine values and refractive indices were within the limits prescribed by the Codex Alimentarius standard [40].
3.2. Oil Quality and Oxidative Stability
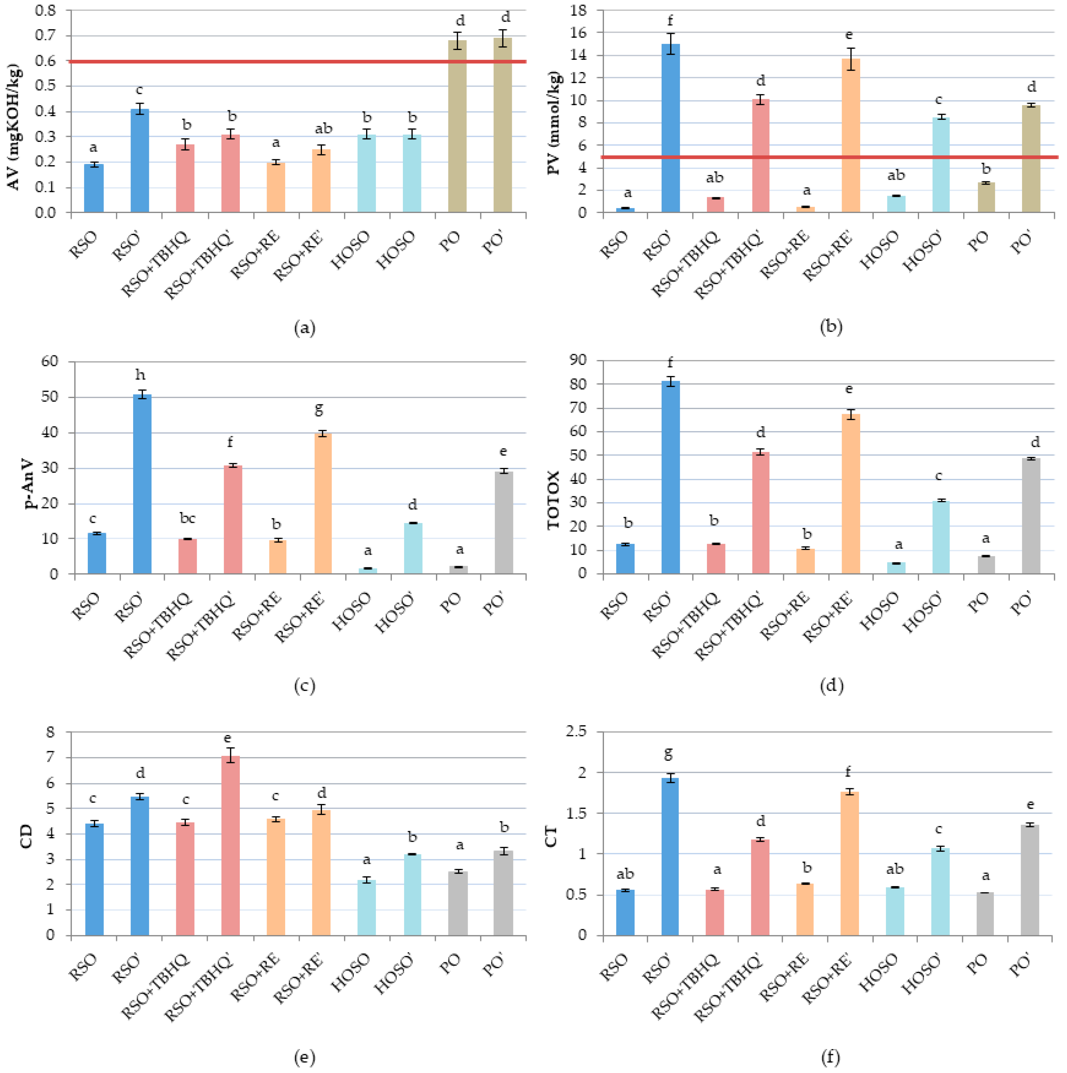
The results of quality parameters before and after frying of the tested oils are presented in Figure 1. The lowest acid value (AV) was recorded in RSO and RSO+RE (0.19–0.20 mg KOH/g) (Figure 1a), indicating the efficiency of the refining process. During frying, AV gradually increased due to triglyceride hydrolysis and thermo-oxidative processes [47], with the most pronounced increase observed in RSO (0.41 ± 0.02 mg KOH/g), confirming its lower oxidative stability. The addition of RE provided better protection (0.25 ± 0.02 mg KOH/g) compared to TBHQ (0.31 ± 0.02 mg KOH/g), as previously reported by Urbančič et al. (2014) [48]. The highest AVs were recorded in PO (0.68–0.69 mg KOH/g), with no significant difference before and after frying. These values are slightly above the maximum limit set by the Codex Alimentarius standard [40] (0.6 mg KOH/g), which may be attributed to long transport from the country of origin to the end consumer, handling, and storage during transport [49]. Patil et al. (2023) [7] reported slightly lower values for PO (0.24 and 0.38 mg KOH/g before and after frying). In HOSO and antioxidant-enriched RSO variants (TBHQ and RE), AV increase was moderate, indicating the protective effect of antioxidants and the higher oxidative stability of high-oleic oils [3,48].
Figure 1.
Oxidative stability parameters of oils before and after frying: (a) acid value (AV), (b) peroxide value (PV), (c) anisidine value (p-AnV), (d) TOTOX value, (e) conjugated dienes (CDs), and (f) conjugated trienes (CTs) content. Different lower-case letters indicate significantly different values (p < 0.05), while (a,b) include Codex Alimentarius threshold markers (red lines).
Initial PVs (Figure 1b) were low (0.40 ± 0.02–2.67 ± 0.09 mmol/kg), as expected for refined oils. After frying, PV increased significantly, particularly in RSO (15.01 ± 0.97 mmol/kg) and RSO+RE (13.66 ± 1.03 mmol/kg), while values in HOSO and PO were considerably lower (8.51 ± 0.22 and 9.59 ± 0.13 mmol/kg). TBHQ effectively reduced the accumulation of primary oxidation products (10.08 ± 0.41 mmol/kg), whereas RE showed a weaker effect (13.66 ± 1.03 mmol/kg). Since the Codex Alimentarius standard [40] recommends a maximum PV of 5 mmol/kg for fresh oils, it is evident that RSO exceeds this limit after frying, indicating its pronounced susceptibility to oxidation.
Obtained p-AnV values (Figure 1c) before frying ranged from 1.75 ± 0.03 (HOSO) and 2.26 ± 0.06 (PO) to 11.61 ± 0.33 in RSO. After frying, p-AnV increased significantly in all samples, most notably in RSO (50.78 ± 1.29), while in PO, it increased thirteenfold compared to initial values. Patil et al. (2023) [7] reported slightly lower values in RSO and PO for both PV and p-AnV, but trends were consistent with our findings. The lowest p-AnV after frying was recorded in HOSO (14.46 ± 0.11), confirming its superior resistance to the formation of secondary oxidation products.
The TOTOX index, as a cumulative indicator of oxidation (Figure 1d), was lowest in HOSO and PO before frying (4.77 ± 0.12 and 7.55 ± 0.13), while RSO had a significantly higher value (12.48 ± 0.29). After frying, RSO exhibited extremely high TOTOX (81.27 ± 1.97), confirming its lowest stability. These results were further supported by high CD and CT values (Figure 1e,f) in RSO before and after frying (4.40 ± 0.13 and 5.47 ± 0.13; 0.56 ± 0.02 and 1.93 ± 0.06). In contrast, HOSO showed much more favorable results after frying (TOTOX = 30.99 ± 0.34; CD = 3.21 ± 0.03; CT = 1.07 ± 0.04), while PO was intermediate (TOTOX = 48.75 ± 0.47; CD = 3.33 ± 0.14; CT = 1.36 ± 0.03). The presence of TBHQ significantly mitigated degradation (TOTOX = 51.25 ± 1.29), whereas the effect of RE was weaker (TOTOX = 67.44 ± 2.09). These results are in line with previous studies by Urbančič et al. (2014) [48] and Patil et al. (2023) [7].
The Rancimat test results presented in Table 2 clearly show that the oxidative stability of oils varies significantly depending on fatty acid composition and the presence of antioxidants. Standard refined sunflower oil (RSO) had the shortest induction period (9.6 h at 100 °C and 2.3 h at 120 °C), confirming its susceptibility to oxidation due to the high linoleic acid content. The addition of the synthetic antioxidant TBHQ significantly extended the stability of RSO (23.4 h at 100 °C and 5.9 h at 120 °C) in agreement with the literature data, indicating that TBHQ is among the most effective permitted synthetic antioxidants for oils rich in polyunsaturated fatty acids [48,50]. Although the natural rosemary extract (RE) did not reach the efficacy of TBHQ, it still significantly increased the induction period compared to the control (11.5 h and 2.9 h), confirming the potential of natural antioxidants as a functional alternative, especially considering the growing demand for clean-label products.
Table 2.
Induction period of oils before frying obtained by the Rancimat method and oil transparency before and after frying.
High-oleic sunflower oil (HOSO) and palm olein (PO) exhibited the longest induction periods (26.2 h and 27.0 h at 100 °C, and 6.6 h and 6.8 h at 120 °C, respectively). These values are comparable to previous studies [3,51]. These results reflect the inherent stability of oils rich in monounsaturated fatty acids, making them suitable for thermal processing and extended storage. Interestingly, HOSO achieved values nearly identical to palm olein, confirming its potential as a locally available and nutritionally preferable alternative to palm olein.
3.3. Sensory Characteristics
Sensory analysis results (Figure 2) revealed a clear distinction between fresh and used oils, with fresh samples (RSO, HOSO, PO) generally receiving the highest scores for all attributes—color, appearance, odor, and taste. RSO and HOSO in their fresh state were rated with the maximum total score (20 points), while palm olein scored slightly lower (17.5 points), primarily due to taste, influenced by the slightly elevated AV. The most pronounced degradation of sensory properties was observed in the samples after frying, particularly RSO′ and PO′, whose total scores dropped to 12 and 14.5 points, respectively. These differences clearly indicate that thermal processing led to a loss of pleasant aroma and the emergence of off-flavors, consistent with the oxidative processes confirmed by chemical analyses.
Figure 2.
Sensory attributes of the blended vegetable oils (a) and total sensory score (b).
The addition of antioxidants had a positive effect on preserving sensory quality. Both TBHQ and rosemary extract contributed to maintaining more favorable odor and taste properties in fresh oils (RSO+TBHQ and RSO+RE—18.5 points), while their used variants, although degraded, still scored higher compared to used RSO. These results confirm that the application of antioxidants not only delays chemical oxidation but also helps preserve sensory acceptability.
The transparency parameter proved to be a good indicator of changes in the visual quality of the oils. Fresh sunflower oils exhibited high transparency (90–93%), characteristic of refined oils, whereas a significant decrease was observed in the used samples (Table 2). This result aligns with lower sensory scores for odor and taste, suggesting that reduced transparency may be associated with the formation of oxidative and polymeric products, which simultaneously impair organoleptic properties.
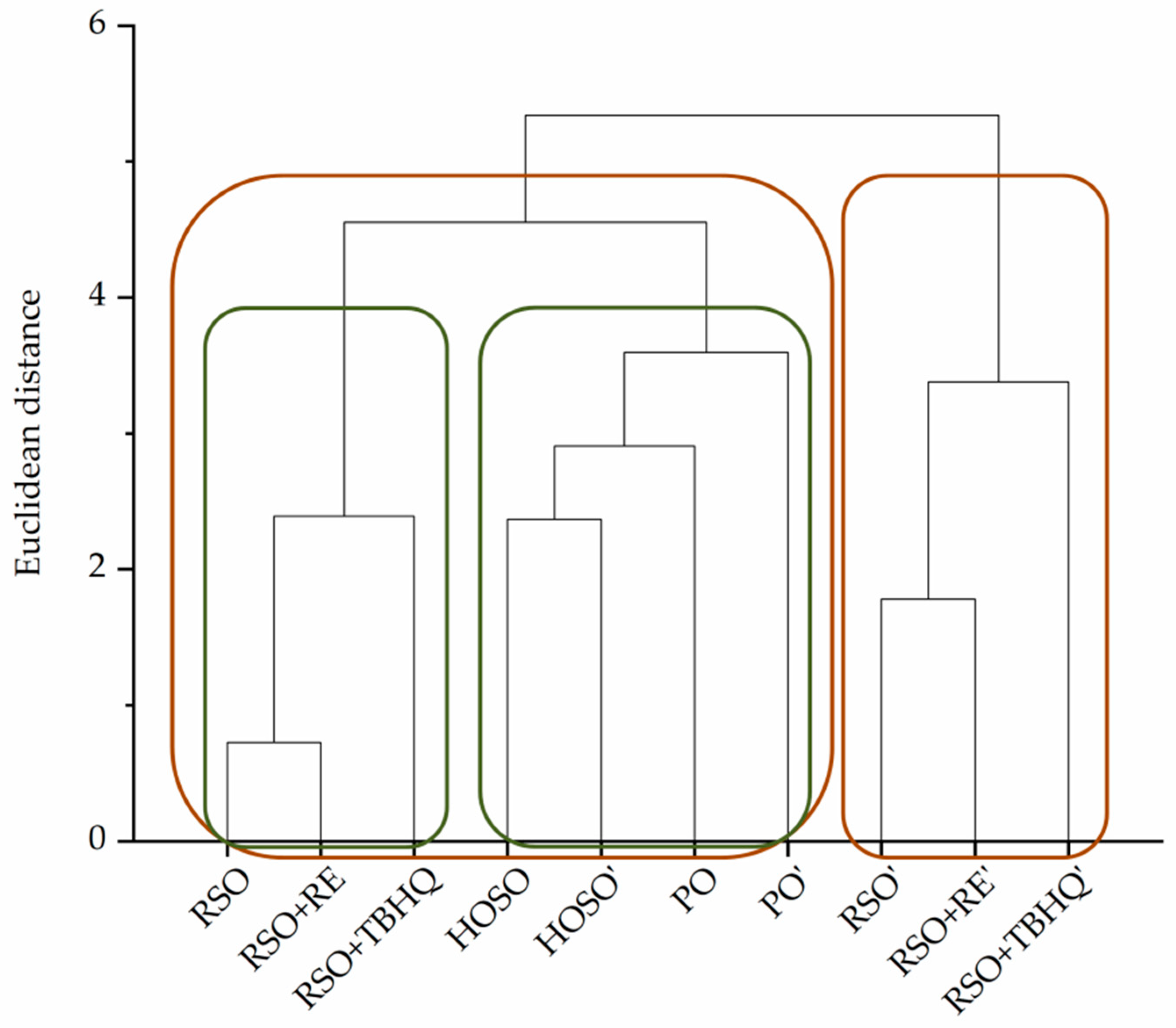
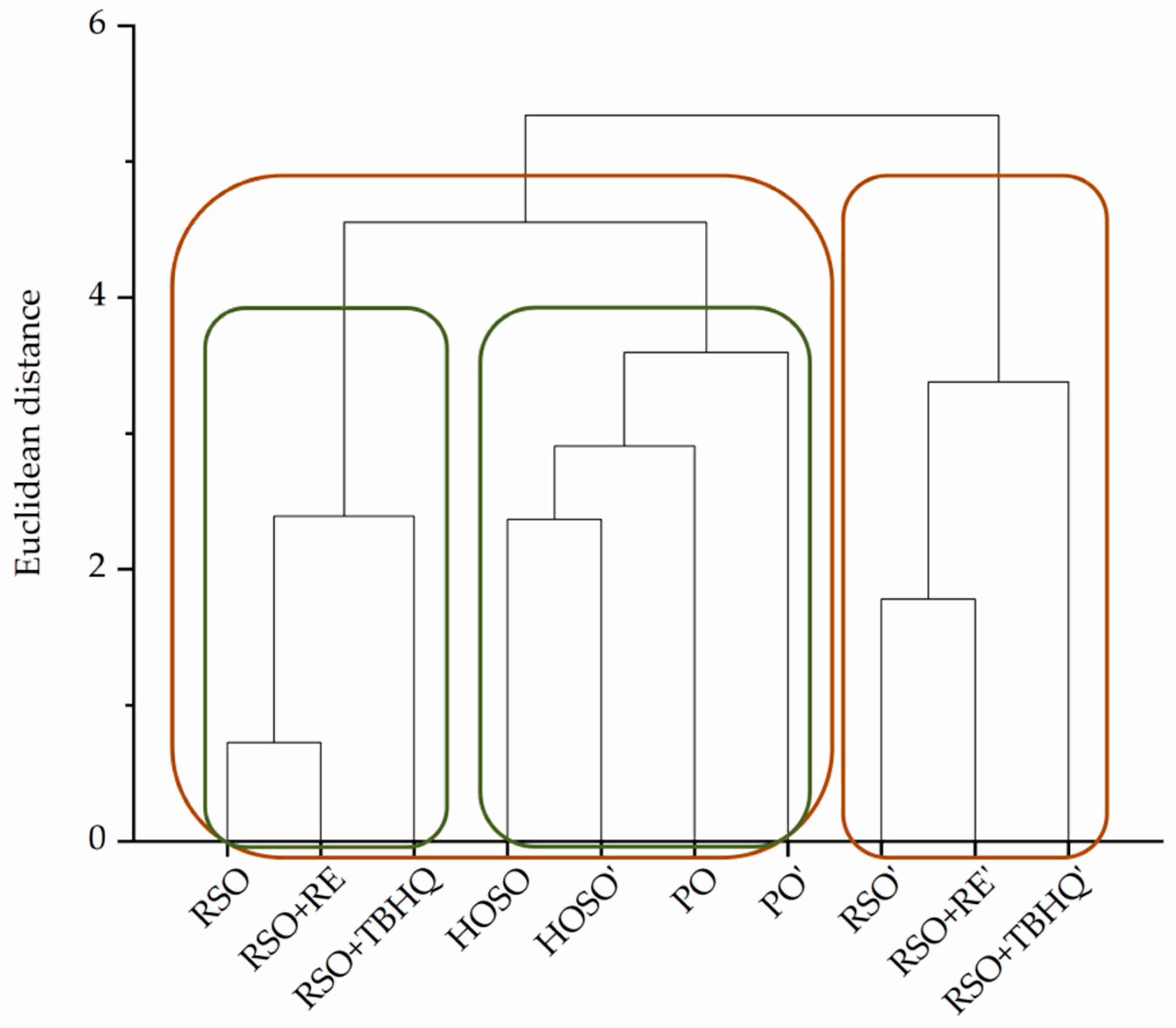
3.4. Hierarchical Cluster Analysis (HCA)
Hierarchical cluster analysis (HCA), shown in Figure 3, clearly confirmed the results of chemical, oxidative, and sensory analyses, highlighting the superiority of HOSO and PO compared to the other oils. These samples clustered together, with no significant changes observed after frying, confirming their high resistance to thermal degradation. Their stability primarily results from a favorable fatty acid composition, HOSO is dominated by oleic acid (over 80%), while PO naturally contains moderate amounts of saturated and monounsaturated fatty acids, contributing to its oxidative resistance. The obtained induction periods further support this resistance, with HOSO showing 26.2 h (100 °C) and 6.6 h (120 °C), and PO showing 27.0 h (100 °C) and 6.8 h (120 °C), the highest values among all analyzed samples.
Figure 3.
Hierarchical cluster analysis of tested oils based on fatty acid profile, quality parameters, and sensory characteristics.
From a sensory perspective, these samples retained a mild, pleasant aroma and minimal changes in color, while transparency remained stable even after thermal treatment, making them particularly suitable for multiple uses. In comparison, RSO, as a typical linoleic oil, exhibited the expected lower resistance. Although fresh samples of RSO, RSO+RE, and RSO+TBHQ clustered closer to HOSO and PO, their overall stability was considerably lower. The induction period of fresh RSO was only 9.6 h (100 °C) and 2.3 h (120 °C), while the addition of antioxidants slightly improved these values (RE 11.5 h and 2.9 h; TBHQ 23.4 h and 5.9 h), but without a long-lasting effect.
After frying, all linoleic sunflower oil samples (RSO′, RSO+RE′, RSO+TBHQ′) showed a pronounced deterioration of properties and formed a separate cluster, confirming that degradation during thermal treatment plays a decisive role in determining their characteristics. This is reflected not only in reduced induction periods and increased oxidative degradation but also in sensory scores, post-frying oils exhibited stronger off-odors, darker color, and reduced transparency, clearly differentiating them from high-oleic sunflower oil and palm olein.
4. Conclusions
The results of this study highlighted distinct differences in the frying performance of the tested oils. Refined sunflower oil (RSO) was the most prone to oxidation, with sharp increases in PV (15.01 mmol/kg), anisidine value (50.78), and TOTOX index (81.27) after frying. Antioxidant supplementation improved its stability to some extent: TBHQ extended the induction period from 9.6 h to 23.4 h (100 °C) and reduced the accumulation of oxidation products (TOTOX 51.25), while rosemary extract had a weaker but still significant effect (IP 11.5 h; TOTOX 67.44). Additionally, antioxidant-enriched oils maintained better sensory quality (18.5 points) compared to used RSO (12 points), confirming the contribution of antioxidants to preserving acceptability. Nevertheless, high-oleic sunflower oil (HOSO) exhibited the greatest resistance, with PV (8.51 mmol/kg), p-AnV (14.46), and TOTOX (30.99) values remaining markedly lower than those of all RSO variants, including those with antioxidants. Its induction period (26.2 h) was nearly identical to that of palm olein (27.0 h), confirming comparable oxidative stability. Furthermore, HOSO preserved high sensory scores and transparency, whereas palm olein, despite its oxidative stability, showed lower sensory acceptance (14.5 points) and a marked decrease in transparency (from 58.7% to 50.3%). Hierarchical cluster analysis supported these findings, grouping HOSO and PO together as the most stable oils, while all RSO variants—even those with antioxidants—clustered separately due to their higher susceptibility to degradation. Taken together, these results demonstrate that HOSO, owing to its high oleic acid content, is the most promising substitute for palm olein, combining oxidative stability, nutritional advantages, and the benefit of local production.
Author Contributions
Conceptualization, T.L., J.Š. and R.R.; methodology, T.L., J.Š. and R.R.; software, T.L.; validation, T.L. and R.R.; formal analysis, T.L. and J.Š.; investigation, T.L. and J.P.; resources, J.Š. and R.R.; data curation, T.L. and J.P.; writing—original draft preparation, T.L.; writing—review and editing, T.L. and R.R.; visualization, T.L. and G.N.; supervision, G.N. and R.R.; funding acquisition, J.Š. and R.R. All authors have read and agreed to the published version of the manuscript.
Funding
This research was supported by the Ministry of Science, Technological Development, and Innovation of the Republic of Serbia, under contract numbers 451-03-136/2025-03/200134 and 451-03-137/2025-03/200134.
Data Availability Statement
The original contributions presented in this study are included in the article. Further inquiries can be directed to the corresponding author.
Acknowledgments
The authors acknowledge that this work was created as a collaboration under COST (European Cooperation in Science and Technology) COST Action 20133: Cross Border Transfer and Development of Sustainable Resource Recovery Strategies Towards Zero Waste (FULLRECO4US), https://fullreco4us.eu/.
Conflicts of Interest
Author Jelena Škrbić was employed by Dijamant Ltd., Zrenjanin, Serbia. The remaining authors declare that the research was conducted in the absence of any commercial or financial relationships that could be construed as a potential conflict of interest.
Abbreviations
The following abbreviations are used in this manuscript:
| 3-MCPD | 3-monochloropropane-1,2-diol |
| RSO | refined sunflower oil |
| TBHQ | tert-butylhydroquinone |
| RE | rosemary extract |
| HOSO | high-oleic sunflower oil |
| PO | palm olein |
| AV | acid value |
| PV | peroxide value |
| p-AnV | anisidine value |
| TOTOX | total oxidation index |
| CD | conjugated dienes |
| CT | conjugated trienes |
| IP | induction period |
| IV | iodine value |
| RI | refractive index |
| HCA | hierarchical cluster analysis |
References
- Romano, R.; Filosa, G.; Pizzolongo, F.; Durazzo, A.; Lucarini, M.; Severino, P.; Souto, E.B.; Santini, A. Oxidative stability of high oleic sunflower oil during deep-frying process of purple potato Purple Majesty. Heliyon 2021, 7, e06294. [Google Scholar] [CrossRef]
- Luo, X.; Hu, B.; Jia, C.; Liu, R.; Rong, J.; Zhao, S.; Niu, M.; Xu, Y.; Yin, T.; You, J. Study by means of 1H nuclear magnetic resonance of the oxidation process in high oleic sunflower oil and palm oil during deep-frying of fish cakes. Food Res. Int. 2024, 179, 113942. [Google Scholar] [CrossRef] [PubMed]
- Álvarez Graña, S.; Abarquero, D.; Claro, J.; Combarros-Fuertes, P.; Fresno, J.M.; Tornadijo, M.E. Behaviour of sunflower (Helianthus annuus L.) oil and high oleic sunflower oil during the frying of churros. Food Chem. Adv. 2025, 6, 100899. [Google Scholar] [CrossRef]
- Choe, E.; Min, D.B. Chemistry of deep-fat frying oils. J. Food Sci. 2007, 72, R77–R86. [Google Scholar] [CrossRef]
- Manzo, N.; Santini, A.; Pizzolongo, F.; Aiello, A.; Romano, R. Effects of α-tocopherol and oleic acid content in sunflower oil subjected to discontinuous and prolonged frying process. Prog. Nutr. 2019, 21, 686–692. [Google Scholar]
- Gertz, C.; Aladedunye, F.; Matthäus, B. A new analytical and statistical approach to predict the sensory properties of deep frying fats and oils to determine the point of discard during processing. Eur. J. Lipid Sci. Technol. 2017, 119, 1600393. [Google Scholar] [CrossRef]
- Patil, R.S.; Waghmare, J.; Annapure, U. Comparative assessment of the frying performance of palm olein and sunflower oil during deep-fat frying of Indian battered food products. J. Agric. Food Res. 2023, 14, 100778. [Google Scholar] [CrossRef]
- Poudel, B.; Kusma, R. Study on the frying practices, conditions and the quality of frying oils used by eateries in Tokha municipality. Appl. Food Res. 2025, 5, 101312. [Google Scholar] [CrossRef]
- Nieto, G.; Lorenzo, J.M. Plant source: Vegetable oils. In Food Lipids; Elsevier: Amsterdam, The Netherlands, 2022; pp. 69–85. [Google Scholar]
- Mazumdar, S.; Zohra, F.T.; Shimul, I.M.; Lima, R.A.; Khan, T.N.; Hasan, M.R.; Khuku, T.K.; Hasan, M.S.; Hasan, A.J.; Biswas, A.; et al. Effects of frying practice patterns on quality and safety of vegetable oils: A survey and laboratory analysis-based study in Bangladesh. Int. J. Gastron. Food Sci. 2025, 41, 101270. [Google Scholar] [CrossRef]
- GadAllah, A.M.; Mohamed, M.A.; Azab, M.N. Deep-frying palm olein oil-fried street falafel induces testicular toxicity in rats. Toxicol. Rep. 2023, 11, 233–240. [Google Scholar] [CrossRef]
- EFSA. Risks for human health related to the presence of 3- and 2-monochloropropanediol (MCPD), and their fatty acid esters, and glycidyl fatty acid esters in food. EFSA J. 2016, 14, 4426. [Google Scholar]
- Wong, Y.H.; Goh, K.M.; Nyam, K.L.; Nehdi, I.A.; Sbihi, H.M.; Tan, C.P. Effects of natural and synthetic antioxidants on changes in 3-MCPD esters and glycidyl ester in palm olein during deep-fat frying. Food Control 2019, 96, 488–493. [Google Scholar] [CrossRef]
- Lužaić, T.; Romanić, R.; Grahovac, N.; Jocić, S.; Cvejić, S.; Hladni, N.; Pezo, L. Prediction of mechanical extraction oil yield of new sunflower hybrids—Artificial neural network model. J. Sci. Food Agric. 2021, 101, 5827–5833. [Google Scholar] [CrossRef]
- Romanić, R.; Lužaić, T. Dehulling effectiveness of high-oleic and linoleic sunflower oilseeds using air-jet impact dehuller: A comparative study. Food Sci. Technol. 2022, 42, e58620. [Google Scholar] [CrossRef]
- Grahovac, N.; Lužaić, T.; Živančev, D.; Stojanović, Z.; Đurović, A.; Romanić, R.; Kravić, S.; Miklič, V. Assessing nutritional characteristics and bioactive compound distribution in seeds, oil, and cake from confectionary sunflowers cultivated in Serbia. Foods 2024, 13, 1882. [Google Scholar] [CrossRef] [PubMed]
- Lužaić, T.; Kravić, S.; Stojanović, Z.; Grahovac, N.; Jocić, S.; Cvejić, S.; Pezo, L.; Romanić, R. Investigation of oxidative characteristics, fatty acid composition and bioactive compounds content in cold pressed oils of sunflower grown in Serbia and Argentina. Heliyon 2023, 9, e18201. [Google Scholar] [CrossRef] [PubMed]
- Özcan, M. Antioxidant activity of seafennel (Crithmum maritimum L.) essential oil and rose (Rosa canina) extract on natural olive oil. Acta Aliment. 2000, 29, 377–384. [Google Scholar] [CrossRef]
- Sharma, S.; Cheng, S.F.; Bhattacharya, B.; Chakkaravarthi, S. Efficacy of free and encapsulated natural antioxidants in oxidative stability of edible oil: Special emphasis on nanoemulsion-based encapsulation. Trends Food Sci. Technol. 2019, 91, 305–318. [Google Scholar] [CrossRef]
- Arabsorkhi, B.; Pourabdollah, E.; Mashadi, M. Investigating the effect of replacing the antioxidants ascorbyl palmitate and tocopherol instead of TBHQ on the shelf life of sunflower oil using temperature accelerated method. Food Chem. Adv. 2023, 2, 100246. [Google Scholar] [CrossRef]
- Ahmed, M.N.; Abourat, K.; Gagour, J.; Sakar, E.H.; Majourhat, K.; Gharby, S. Saffron (Crocus sativus L.) stigmas as a potential natural additive to improve oxidative stability attributes of sunflower (Helianthus annuus L.) oil stored under different conditions. Grain Oil Sci. Technol. 2024, 7, 133–149. [Google Scholar] [CrossRef]
- Moczkowska, M.; Karp, S.; Horbanczuk, O.K.; Hanula, M.; Wyrwisz, J.; Kurek, M.A. Effect of rosemary extract addition on oxidative stability and quality of hemp seed oil. Food Bioprod. Process. 2020, 124, 33–47. [Google Scholar] [CrossRef]
- Yeşilsua, A.F.; Özyurt, G. Oxidative stability of microencapsulated fish oil with rosemary, thyme and laurel extracts: A kinetic assessment. J. Food Eng. 2019, 240, 171–182. [Google Scholar] [CrossRef]
- Ruiz-Aracama, A.; Alberdi-Cedeno, J.; Nieva-Echevarria, B.; Martinez-Yusta, A.; Goicoechea-Oses, E. Effect of rosemary extract on sunflower oil degradation studied by 1H NMR: Differences under frying conditions and accelerated storage. Food Chem. 2025, 474, 143146. [Google Scholar] [CrossRef]
- Lužaić, T.; Nakov, G.; Kravić, S.; Jocić, S.; Romanić, R. Influence of hull and impurity content in high-oleic sunflower seeds on pressing efficiency and cold-pressed oil yield. Appl. Sci. 2025, 15, 3012. [Google Scholar] [CrossRef]
- Romano, R.; Giordano, A.; Le Grottaglie, L.; Manzo, N.; Paduano, A.; Sacchi, R. Volatile compounds in intermittent frying by gas chromatography and nuclear magnetic resonance. J. Agric. Food Chem. 2021, 69, 14447–14456. [Google Scholar] [CrossRef]
- Lužaić, T.; Grahovac, N.; Hladni, N.; Romanić, R. Evaluation of oxidative stability of new cold-pressed sunflower oils during accelerated thermal stability tests. Food Sci. Technol. 2022, 42, e67320. [Google Scholar] [CrossRef]
- ISO 12966-4:2015; Animal and Vegetable Fats and Oils—Gas Chromatography of Fatty Acid Methyl Esters—Part 4: Determination by Capillary Gas Chromatography. International Organization for Standardization: Geneva, Switzerland, 2015.
- ISO 12966-2:2017; Animal and Vegetable Fats and Oils—Gas Chromatography of Fatty Acid Methyl Esters—Part 2: Preparation of Methyl Esters of Fatty Acids. International Organization for Standardization: Geneva, Switzerland, 2017.
- Romanić, R.; Lužaić, T.; Pezo, L.; Radić, B.; Kravić, S. Omega 3 Blends of Sunflower and Flaxseed Oil—Modeling Chemical Quality and Sensory Acceptability. Foods 2024, 13, 3722. [Google Scholar] [CrossRef]
- ISO 3961:2024; Animal and Vegetable Fats and Oils—Determination of Iodine Value. International Organization for Standardization: Geneva, Switzerland, 2024.
- ISO 6320:2017; Animal and Vegetable Fats and Oils—Determination of Refractive Index. International Organization for Standardization: Geneva, Switzerland, 2017.
- ISO 660:2020; Animal and Vegetable Fats and Oils—Determination of Acid Value and Acidity. International Organization for Standardization: Geneva, Switzerland, 2020.
- ISO 3960:2017; Animal and Vegetable Fats and Oils—Determination of Peroxide Value-Iodometric (Visual) Endpoint Determination. International Organization for Standardization: Geneva, Switzerland, 2017.
- ISO 6885:2016; Animal and Vegetable Fats and Oils—Determination of Anisidine Value. International Organization for Standardization: Geneva, Switzerland, 2016.
- Zhou, X.; Zhou, D.Y.; Liu, Z.Y.; Yin, F.W.; Liu, Z.Q.; Li, D.Y.; Shahidi, F. Hydrolysis and oxidation of lipids in mussel Mytilus edulis during cold storage. Food Chem. 2019, 272, 109–116. [Google Scholar] [CrossRef] [PubMed]
- ISO 3656/Amd 1:2013/2017; Animal and Vegetable Fats and Oils—Determination of Ultraviolet Absorbance Expressed as Specific UV Extinction-Amendment 1. International Organization for Standardization: Geneva, Switzerland, 2017.
- ISO 6886:2016; Animal and Vegetable Fats and Oils—Determination of Oxidative Stability (Accelerated Oxidation Test). International Organization for Standardization: Geneva, Switzerland, 2016.
- ISO 8589:2007; Sensory Analysis—General Guidance for the Design of Test Rooms. International Organization for Standardization: Geneva, Switzerland, 2007.
- Codex Alimentarius; Standard for Named Vegetable Oils Codex Stan 210-1999; Codex Alimentarius: Rome, Italy, 1999.
- Petraru, A.; Ursachi, F.; Amariei, S. Nutritional characteristics assessment of sunflower seeds, oil and cake: Perspective of using sunflower oilcakes as a functional ingredient. Plants 2021, 10, 2487. [Google Scholar] [CrossRef] [PubMed]
- Grompone, M.A. Sunflower and high-oleic sunflower oils. In Bailey’s Industrial Oil and Fat Products, 7th ed.; Wiley: Hoboken, NJ, USA, 2020; pp. 1–54. [Google Scholar]
- Kusumoto, I.; Hennebelle, M.; Crawford, L.M.; Wang, S.C.; Taha, A.Y. Oil polyunsaturated fatty acid composition but not tocopherol levels determine oxylipin formation in plant and algae oils during pan-frying. J. Food Compos. Anal. 2024, 136, 106739. [Google Scholar] [CrossRef]
- Zhang, R.Y.; Kong, W.Q.; Qin, Z.; Liu, H.M.; Wang, X.D. Modified Chinese quince oligomeric proanthocyanidin protects deep-frying oil quality by inhibiting oxidation. Food Chem. 2024, 444, 138642. [Google Scholar] [CrossRef] [PubMed]
- Akoh, C.C. Food Lipids: Chemistry, Nutrition, and Biotechnology, 4th ed.; CRC Press: Boca Raton, FL, USA, 2017; pp. 1–1029. [Google Scholar]
- Li, H.; van de Voort, F.R.; Sedman, J.; Ismail, A.A. Rapid Determination of cis and trans content, iodine value, and saponification number of edible oils by Fourier transform near-infrared spectroscopy. J. Am. Oil Chem. Soc. 1999, 76, 491–497. [Google Scholar]
- Emelike, N.J.T.; Ujong, A.E.; Achinewu, S.C. Physicochemical and antioxidant properties of oils used by local fried food vendors in D/Line-Port Harcourt, Rivers State. Agric. Food Sci. Res. 2020, 7, 89–96. [Google Scholar]
- Urbančič, S.; Kolar, M.H.; Dimitrijević, D.; Demšar, L.; Vidrih, R. Stabilisation of sunflower oil and reduction of acrylamide formation of potato with rosemary extract during deep-fat frying. LWT 2014, 57, 671–678. [Google Scholar] [CrossRef]
- Basiron, Y. Palm Oil. In Bailey’s Industrial Oil and Fat Products, 6th ed.; Shahidi, F., Ed.; John Wiley & Sons: Hoboken, NJ, USA, 2005; Volume 2, pp. 333–429. [Google Scholar]
- Xi, B.; Zhang, J.; Li, C.; Xu, X.; Zeng, Q.; Zhang, Y.; Chen, B.; Shen, Y. Effects of natural and synthetic antioxidants addition on the characteristic flavor and metabolites of walnut oil during oxidation. Food Biosci. 2024, 61, 104788. [Google Scholar] [CrossRef]
- Tarmizi, A.H.A.; Ahmad, K.; Sahri, M.M.; May, C.Y. Rancimat test for measuring the oxidative stability of cooking oils upon prolonged frying: Short communication. J. Oil Palm Res. 2016, 28, 531–535. [Google Scholar] [CrossRef]
Disclaimer/Publisher’s Note: The statements, opinions and data contained in all publications are solely those of the individual author(s) and contributor(s) and not of MDPI and/or the editor(s). MDPI and/or the editor(s) disclaim responsibility for any injury to people or property resulting from any ideas, methods, instructions or products referred to in the content. |
© 2025 by the authors. Licensee MDPI, Basel, Switzerland. This article is an open access article distributed under the terms and conditions of the Creative Commons Attribution (CC BY) license (https://creativecommons.org/licenses/by/4.0/).


