The Stopping Performance of a Centrifugal Pump with Splitter Blades at Small Discharge Valve Openings
Abstract
1. Introduction
2. Test Pump and Test Rig
2.1. Test Pump
2.2. Test Rig
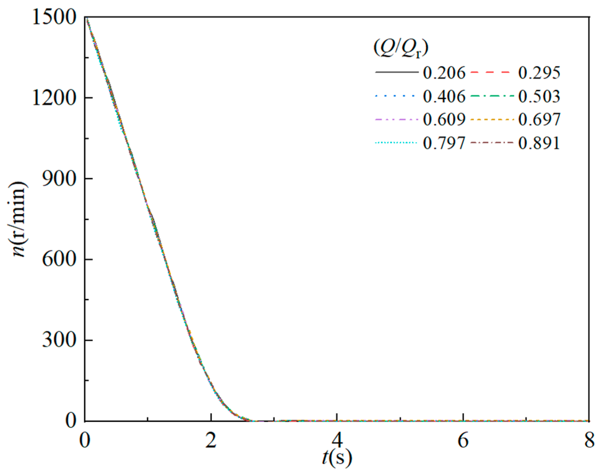
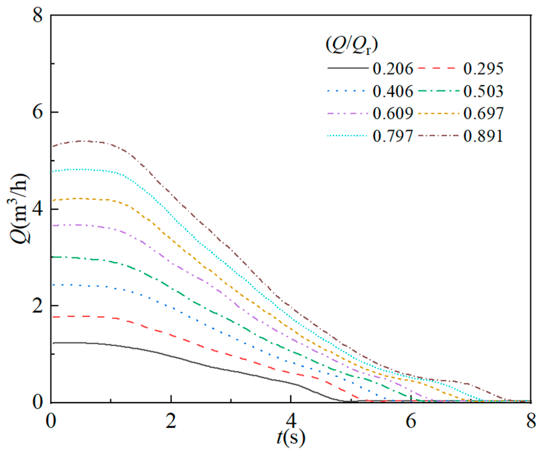
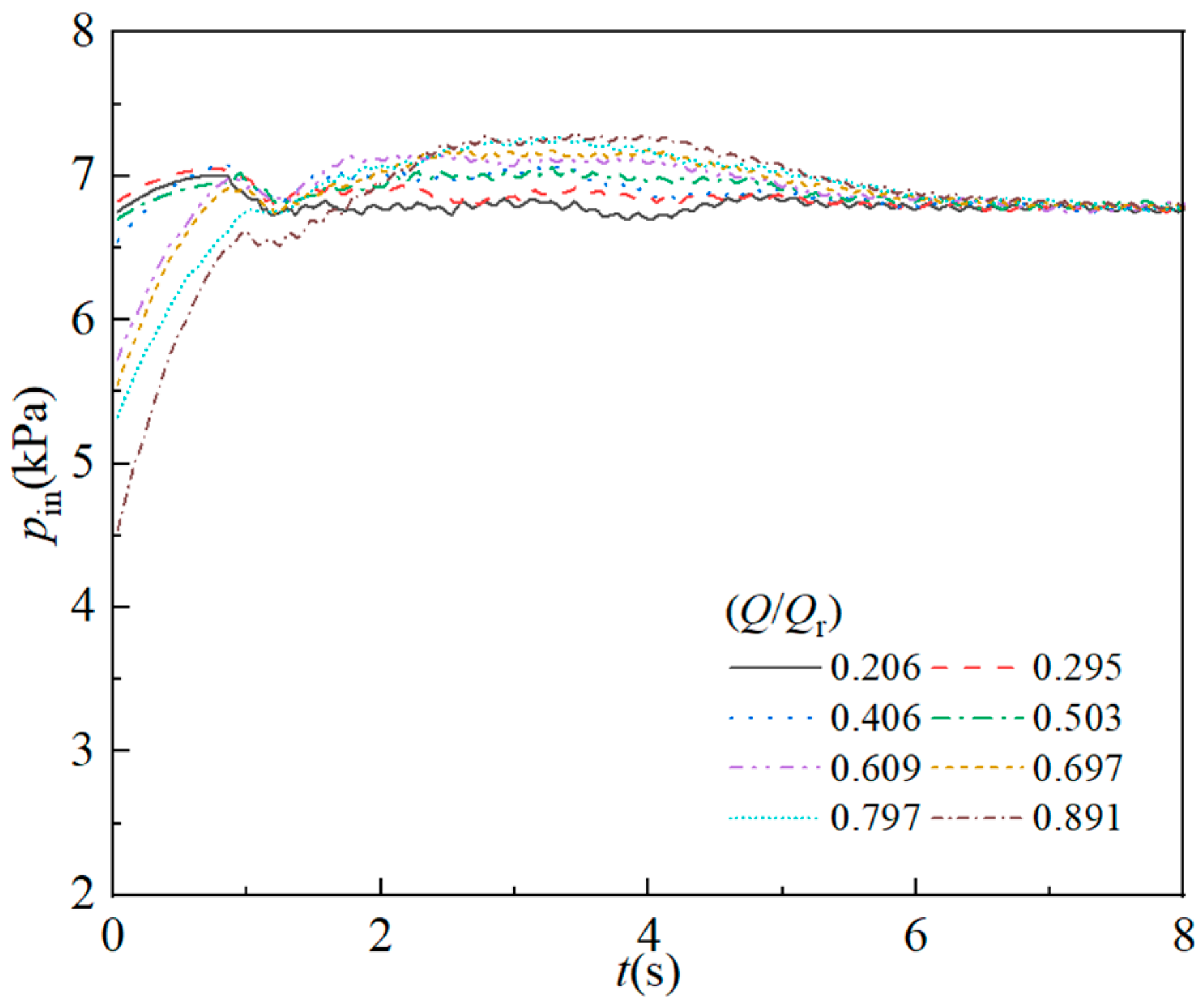
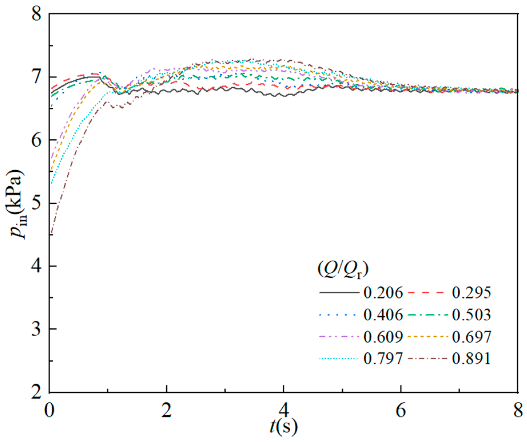
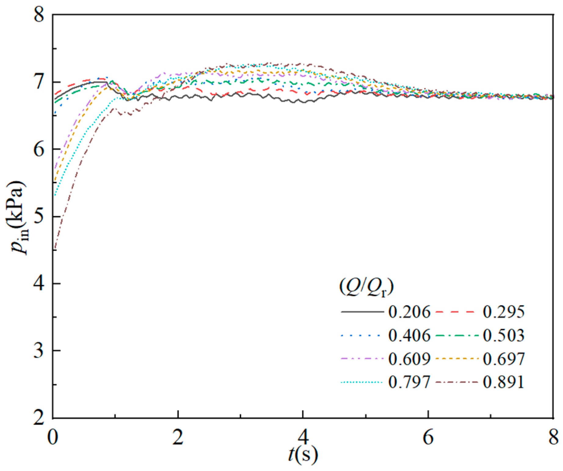
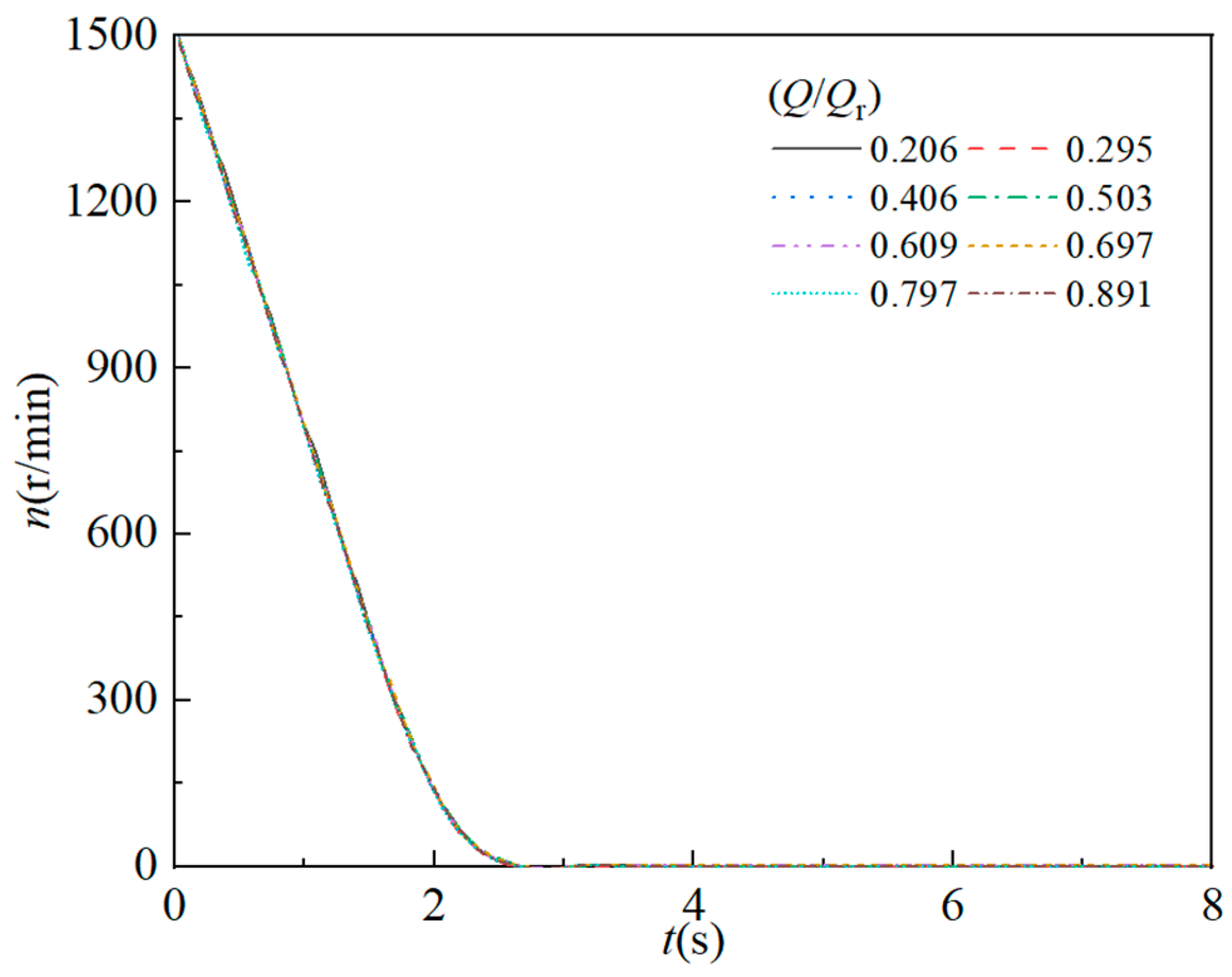
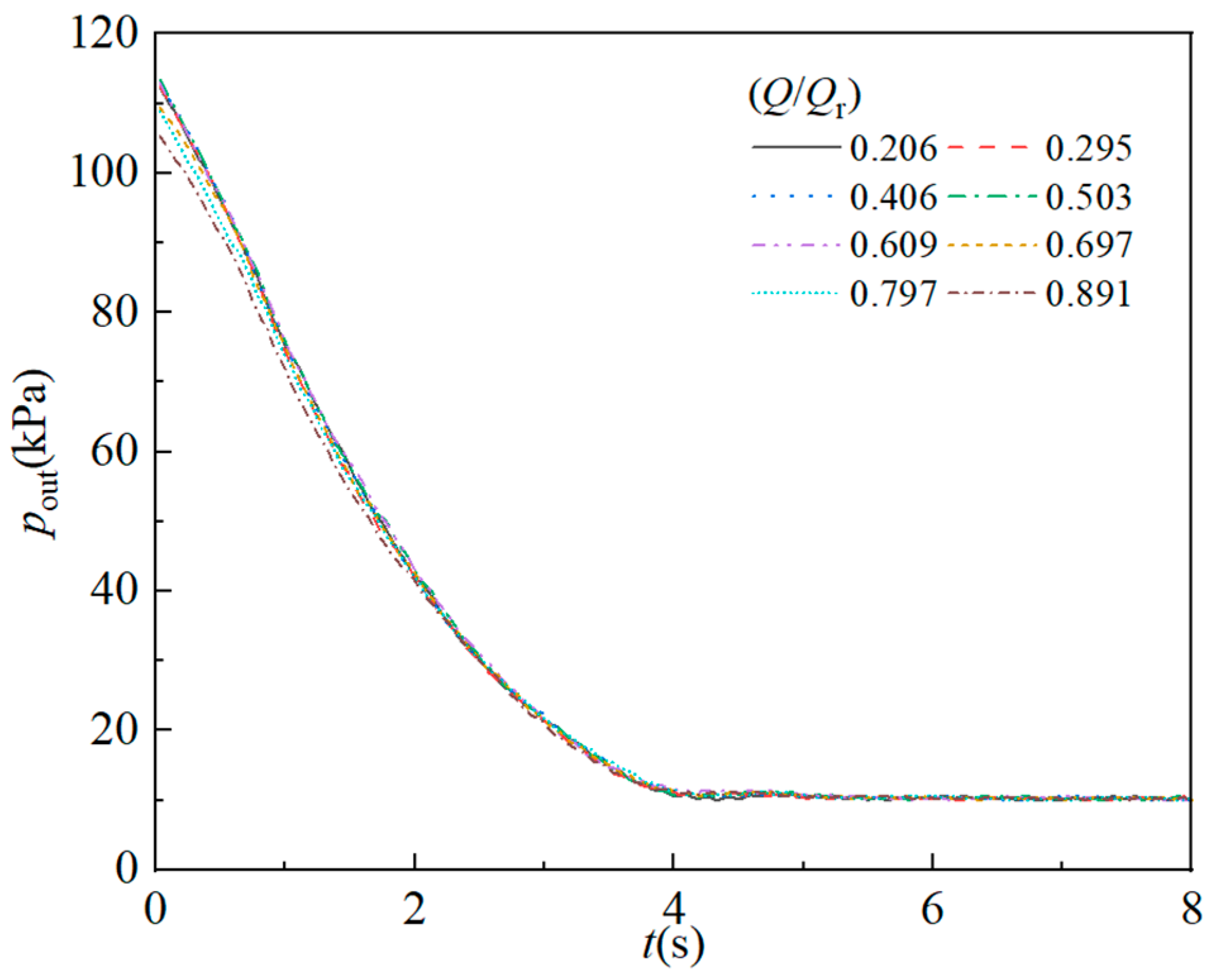
3. Experimental Results
4. Performance Prediction
4.1. Prediction Models
- (1)
- For each node R, minimize the squared error of its internal samples:
- (2)
- For feature j and split point s, calculate the error reduction after splitting, and choose the split with the largest
- (3)
- The predicted value of the leaf node is the sample mean for the region:
4.2. Prediction Results
4.3. Discussion
- (1)
- After the shutdown, the head curve is still greater than 0; the reason for this phenomenon is the inlet and outlet pressure sensor installation location. In this test, the inlet pressure sensor was mounted vertically upwards on the branch pipe of the pump inlet pipeline, and the outlet pressure sensor was mounted vertically downwards on the branch pipe of the pump outlet pipeline, thus making the two up and down positions different, and the free liquid level in the tank is higher than the two pressure sensors. The adjustment and optimization of installation locations of pressure sensors are the next step in the working direction.
- (2)
- For the current test devices, the ranges of the various types of sensors used in the test are generally large, resulting in a decline in the accuracy and precision of the measured values, and a large error in parameter fluctuations. The maximum range of the electromagnetic flowmeter is 30 m3/h, while the designed flow rate of the model pump is only 6 m3/h. The ranges of the inlet and outlet pressure sensors are −0.1~0.1 MPa and 0.0~1.6 MPa, respectively, which are much larger than the actual pressure. Therefore, the ranges of the current test instruments need to be further optimized in order to obtain more accurate and reliable measurement results.
- (3)
- There is a lack of synchronization in the sampling time of the main parameters. This is mainly due to the different sampling frequencies of individual sensors and signal transmission differences, which is the focus of the next work.
- (4)
- This study has certain experimental limitations. Firstly, the current work primarily focuses on capturing the macroscopic evolution patterns of the external characteristic parameters of the centrifugal pump during transient processes, while the underlying transient flow mechanisms have not been revealed through internal flow field measurements. Secondly, as multiple repeated experiments were not conducted, error analysis of the measurement results could not be performed. In future studies, flow diagnostic techniques such as Particle Image Velocimetry (PIV) or high-speed photography could be employed to further investigate the evolution of internal flow structures. Additionally, multiple repeated experiments should be conducted to enhance data reliability.
- (5)
- The conclusions drawn in this study regarding the transient evolution characteristics and the predictive performance of the machine learning models are strictly derived from the specific low specific speed closed impeller centrifugal pump employed in the current experiments, along with the transient dataset acquired under the defined eight shutdown non-rated operating conditions. It must be emphasized that these findings may not be directly generalizable to impellers with significantly different geometries, those subject to geometric alterations due to long-term operation involving cavitation, wear, or corrosion, or to different operational media and environments. And this limitation concurrently reveals opportunities for subsequent research: future work could focus on incorporating time-varying geometric evolution factors of the impeller and expanding the operational range to validate and enhance the universality and robustness of such machine learning models in practical engineering applications.
5. Conclusions
- (1)
- Compared with the random forest regression and decision tree regression models, the integrated neural network model is the most accurate for predicting the two key performance parameters during pump shutdown, and the prediction curves are highly consistent with the experimental curves. During the pre-mid period of the shutdown, the maximum prediction error of the integrated neural network model for the instantaneous flow rate and instantaneous head is about 3.58%.
- (2)
- After the accuracy validation, it is found that the shutdown condition fitting models based on decision tree regression, random forest regression and integrated neural network can predict the hydraulic performance under shutdown, and the trend of the overall hydraulic performance curves under the predicted scenarios is generally consistent with the experimental curves, which can reflect a more realistic shutdown characteristics of the centrifugal pump with splitter blades.
- (3)
- With increasing valve opening, the overall time taken to complete shutdown shows a tendency to lengthen. The speed and head decrease rapidly at the beginning of shutdown.
Author Contributions
Funding
Data Availability Statement
Conflicts of Interest
References
- Zhang, L.; Wang, X.; Wu, P.; Huang, B.; Wu, D. Optimization of a centrifugal pump to improve hydraulic efficiency and reduce hydro-induced vibration. Energy 2023, 268, 126677. [Google Scholar] [CrossRef]
- Nossir, E.F.E.; Elkelawy, M.; Bastawissi, H.A.E.; Elsamadony, M.O. A comprehensive review and background on centrifugal pump performance under multiphase flow and varying operating conditions. Pharos Eng. Sci. J. 2025, 2, 117–128. [Google Scholar] [CrossRef]
- Lu, Y.; Tan, L. Design method based on a new slip-diffusion parameter of centrifugal pump for multiple conditions in wide operation region. Energy 2024, 294, 130796. [Google Scholar] [CrossRef]
- Lu, J.; Liu, J.; Qian, L.; Liu, X.; Yuan, S.; Zhu, B.; Dai, Y. Investigation of pressure pulsation induced by quasi-steady cavitation in a centrifugal pump. Phys. Fluids 2023, 35, 025119. [Google Scholar] [CrossRef]
- Liu, Y.; Tan, L. Spatial–temporal evolution of tip leakage vortex in a mixed-flow pump with tip clearance. J. Fluids Eng. 2019, 141, 081302. [Google Scholar] [CrossRef]
- Meakhail, T.A.; Salem, M.; Shafie, I. Steady and unsteady flow inside a centrifugal pump for two different impellers. Int. J. Energy Power Eng. 2014, 3, 65–76. [Google Scholar] [CrossRef]
- Jia, X.Q.; Shen, S.J.; Zhang, S.K.; Lv, H.; Lin, Z.; Zhu, Z. Influence of tip clearance on internal energy loss characteristics of axial flow pumps under different operating conditions. Phys. Fluids 2024, 36, 015102. [Google Scholar] [CrossRef]
- Kan, K.; Yang, Z.; Lyu, P.; Zheng, Y.; Shen, L. Numerical study of turbulent flow past a rotating axial-flow pump based on a level-set immersed boundary method. Renew. Energy 2021, 168, 960–971. [Google Scholar] [CrossRef]
- Liu, M.Q.; Liang, X.; Liu, Z.Y.; Lin, Q. Field measurement of water hammer and signal analysis at pump-stop due to power failure in long water-supply pipeline. J. Drain. Irrig. Mach. Eng. 2012, 30, 249–253. [Google Scholar] [CrossRef]
- Huang, Y.Y.; Li, J.G.; Fu, X.Q.; Jiang, J.; Lan, G.; Fan, Z. Research on the comparison of air vessel and air valve on pump stopping water hammer protection of long-distance pipeline. China Rural. Water Hydropower 2014, 8, 186–188, 192. [Google Scholar]
- Tsukamoto, H.; Ohashi, H. Transient characteristics of a centrifugal pump during starting period. J. Fluids Eng. 1982, 104, 6–13. [Google Scholar] [CrossRef]
- Wang, L.Q.; Li, Z.F.; Dai, W.P.; Wu, D.Z. 2-D numerical simulation on transient flow in centrifugal pump during starting period. J. Eng. Thermophys. 2008, 29, 1319–1322. [Google Scholar]
- Tanaka, T.; Tsukamoto, H. Transient behavior of a cavitating centrifugal pump at rapid change in operating conditions—Part 1: Transient phenomena at opening/closure of discharge valve. J. Fluids Eng. 1999, 121, 841–849. [Google Scholar] [CrossRef]
- Tanaka, T.; Tsukamoto, H. Transient behavior of a cavitating centrifugal pump at rapid change in operating conditions—Part 2: Transient phenomena at pump startup/shutdown. J. Fluids Eng. 1999, 121, 850–856. [Google Scholar] [CrossRef]
- Tanaka, T.; Tsukamoto, H. Transient behavior of a cavitating centrifugal pump at rapid change in operating conditions—Part 3: Classifications of transient phenomena. J. Fluids Eng. 1999, 121, 857–865. [Google Scholar] [CrossRef]
- Lefebvre, P.J.; Barker, W.P. Centrifugal pump performance during transient operation. J. Fluids Eng. 1995, 117, 123–128. [Google Scholar] [CrossRef]
- Wu, D.Z.; Wang, L.Q.; Hu, Z.Y. Experimental study on explicit performance of centrifugal pump during rapid starting period. J. Eng. Thermophys. 2006, 1, 68–70. [Google Scholar]
- Xu, E.; Sun, J.; Chen, X.; Zhao, R. Analysis of internal flow characteristics of the bearingless direct-drive centrifugal pump system during transient start-up. Processes 2023, 11, 2996. [Google Scholar] [CrossRef]
- Dazin, A.; Caignaert, G.; Bois, G. Transient behavior of turbomachineries: Applications to radial flow pump startups. J. Fluids Eng. 2007, 129, 1436–1444. [Google Scholar] [CrossRef]
- Dong, W.; Fan, X.; Dong, Y.; He, F. Transient internal flow characteristics of centrifugal pump during rapid start-up. Iran. J. Sci. Technol. Trans. Mech. Eng. 2024, 48, 821–831. [Google Scholar] [CrossRef]
- Chen, S.Y.; Li, C.F.; Qu, Y.P.; Sui, R.J. Transient hydraulic performance of a centrifugal pump during rapid starting period. J. Eng. Thermophys. 2006, 5, 781–783. [Google Scholar]
- Yun, L.; Bin, L.; Jie, F.; Rongsheng, Z.; Qiang, F. Research on the transient hydraulic characteristics of multistage centrifugal pump during start-up process. Front. Energy Res. 2020, 8, 76. [Google Scholar] [CrossRef]
- Hu, Z.Y.; Wu, D.Z.; Wang, L.Q. Transient hydrodynamic performance of centrifugal pump during rapid starting period: Study of explicit characteristics. J. Zhejiang Univ. (Eng. Sci.) 2005, 39, 605–608, 622. [Google Scholar] [CrossRef]
- Zhang, Y.L.; Ji, Y.Y.; Zhao, Y.J. Deep analysis of the transient behavior of centrifugal pumps during startup and shutdown. Meas. Control 2022, 55, 155–163. [Google Scholar] [CrossRef]
- Shourkaei, H.A. Transient performance during stopping the research reactor primary loop pump. Kerntechnik 2015, 80, 40–44. [Google Scholar] [CrossRef]
- Ma, X.; Liu, J.; Wang, L. Numerical simulation of the transient process of power failure in a mixed pump. Adv. Mech. Eng. 2013, 5, 743201. [Google Scholar] [CrossRef]
- Liu, J.; Li, Z.; Wang, L.; Jiao, L. Numerical simulation of the transient flow in a radial flow pump during stopping period. J. Fluids Eng. 2011, 133, 111101. [Google Scholar] [CrossRef]
- Feng, J.; Ge, Z.; Zhang, Y.; Zhu, G.; Wu, G.; Lu, J.; Luo, X. Numerical investigation on characteristics of transient process in centrifugal pumps during power failure. Renew. Energy 2021, 170, 267–276. [Google Scholar] [CrossRef]
- Liu, Y.; Zhou, J.; Zhou, D. Transient flow analysis in axial-flow pump system during stoppage. Adv. Mech. Eng. 2017, 9, 1–8. [Google Scholar] [CrossRef]
- Zhang, Y.L.; Zhu, Z.C.; Li, W.G.; Xiao, J.J. Effects of viscosity on transient behavior of a low specific speed centrifugal pump in starting and stopping periods. Int. J. Fluid Mech. Res. 2018, 45, 1–20. [Google Scholar] [CrossRef]
- Wu, D.; Wu, P.; Yang, S.; Wang, L. Transient characteristics of a closed-loop pipe system during pump stopping periods. J. Press. Vessel Technol. 2014, 136, 021301. [Google Scholar] [CrossRef]
- Zhang, Y.L.; Zhu, Z.C.; Sheng, Y.N.; Cui, B.L.; Li, Y. Experimental study on a prototype centrifugal pump with open impeller during stopping period. Int. J. Fluid Mech. Res. 2016, 43, 18–27. [Google Scholar] [CrossRef]
- Zhang, Y.L.; Zhu, Z.C.; Li, W.G.; Jia, X.Q. Non-inertial stopping characteristics of a prototype pump. Adv. Mech. Eng. 2019, 11, 1–15. [Google Scholar] [CrossRef]
- Kan, K.; Zheng, Y.; Chen, H.; Zhou, D.; Dai, J.; Binama, M.; Yu, A. Numerical simulation of transient flow in a shaft extension tubular pump unit during runaway process caused by power failure. Renew. Energy 2020, 154, 1153–1164. [Google Scholar] [CrossRef]
- Hou, G.X.; Liu, M.Q.; Liang, X.; Wu, Y. Research on the curve fit of axial flow pump based on neural network. China Rural. Water Hydropower 2020, 8, 102–104. [Google Scholar]
- Huang, R.; Zhang, Z.; Zhang, W.; Mou, J.; Zhou, P.; Wang, Y. Energy performance prediction of the centrifugal pumps by using a hybrid neural network. Energy 2020, 213, 119005. [Google Scholar] [CrossRef]
- Tang, Y.; Xiao, M.; Tang, L.D. Piecewise least squares polynomial curve fitting algorithm for tested pump performance data. J. Drain. Irrig. Mach. Eng. 2017, 35, 744–748. [Google Scholar] [CrossRef]
- Zhang, Y.L.; Zhu, Z.C.; Li, W.G. Experiments on transient performance of a low specific speed centrifugal pump with open impeller. Proc. Inst. Mech. Eng. Part A J. Power Energy 2016, 230, 648–659. [Google Scholar] [CrossRef]
- Zhang, Y.L.; Zhu, Z.C.; Li, W.G.; Zhou, Z.Z.; Xiao, J.J. Hydraulic performance of low specific-speed centrifugal pump with compound impeller during stopping period. Trans. Chin. Soc. Agric. Eng. 2018, 34, 95–103. [Google Scholar] [CrossRef]
- Yang, L.; Liu, S.; Tsoka, S.; Papageorgiou, L.G. A regression tree approach using mathematical programming. Expert Syst. Appl. 2017, 78, 347–357. [Google Scholar] [CrossRef]
- Zhang, C.; Liao, T.T.; Sun, Y.; Meng, X.L.; Zhang, C.Y. Research on refined flow field simulation based on machine learning methods. Huanjing Kexue Xuebao. 2022, 42, 318–331. [Google Scholar] [CrossRef]
- Breiman, L. Random forests. Mach. Learn. 2001, 45, 5–32. [Google Scholar] [CrossRef]
- Liu, B.; Gao, R.; Du, X.; Wang, Y.; Shang, Y.; Zhang, Y.; Zhao, K.; Li, A. Study on a check valve for airducts with a nonmobile guide vane based on a random forest model. Build. Environ. 2022, 219, 109243. [Google Scholar] [CrossRef]
- Liu, Y.Q.; Xiao, F.G.; Chen, C.H. Study on rapid determination method of ash content in wheat flour based on stochastic forest regression model. Food Mach. 2024, 40, 79–83. [Google Scholar] [CrossRef]
- Luo, J.; Fang, Z.D.; Yuan, Q. Research on channel estimation method based on integrated neural network. J. Chongqing Univ. Posts Telecommun. (Nat. Sci. Ed.) 2020, 32, 969–975. [Google Scholar] [CrossRef]
- Zhang, Y.F.; Lu, Z.Q. Remaining useful life prediction based on an integrated neural network. Chin. J. Eng. 2020, 42, 1372–1380. [Google Scholar] [CrossRef]









| Test Pump | |
|---|---|
| Diameter of suction Di/mm | 50 |
| Diameter of discharge Do/mm | 40 |
| Blade number Z | 12 |
| Blade inlet angle β1/° | 25 |
| Blade outlet angle β1/° | 25 |
| Diameter of impeller inlet D1/mm | 48 |
| Diameter of impeller outlet D2/mm | 160 |
| Width of blade inlet b1/mm | 20 |
| Width of blade outlet b2/mm | 10 |
| Basic diameter of volute D3/mm | 165 |
| Width of volute inlet b3/mm | 15 |
| Diameter of volute throat Dth/mm | 15 |
| Thickness of blade δ/mm | 3 |
Disclaimer/Publisher’s Note: The statements, opinions and data contained in all publications are solely those of the individual author(s) and contributor(s) and not of MDPI and/or the editor(s). MDPI and/or the editor(s) disclaim responsibility for any injury to people or property resulting from any ideas, methods, instructions or products referred to in the content. |
© 2025 by the authors. Licensee MDPI, Basel, Switzerland. This article is an open access article distributed under the terms and conditions of the Creative Commons Attribution (CC BY) license (https://creativecommons.org/licenses/by/4.0/).
Share and Cite
Li, X.; Tong, J.-B.; Xu, X.-W.; Zhang, Y.-L. The Stopping Performance of a Centrifugal Pump with Splitter Blades at Small Discharge Valve Openings. Processes 2025, 13, 3243. https://doi.org/10.3390/pr13103243
Li X, Tong J-B, Xu X-W, Zhang Y-L. The Stopping Performance of a Centrifugal Pump with Splitter Blades at Small Discharge Valve Openings. Processes. 2025; 13(10):3243. https://doi.org/10.3390/pr13103243
Chicago/Turabian StyleLi, Xin, Jiang-Bo Tong, Xiao-Wei Xu, and Yu-Liang Zhang. 2025. "The Stopping Performance of a Centrifugal Pump with Splitter Blades at Small Discharge Valve Openings" Processes 13, no. 10: 3243. https://doi.org/10.3390/pr13103243
APA StyleLi, X., Tong, J.-B., Xu, X.-W., & Zhang, Y.-L. (2025). The Stopping Performance of a Centrifugal Pump with Splitter Blades at Small Discharge Valve Openings. Processes, 13(10), 3243. https://doi.org/10.3390/pr13103243

