Abstract
Water scarcity in arid regions has prompted the exploration of alternative irrigation sources, including treated wastewater, to support sustainable rangeland management. This study evaluated the effects of treated wastewater irrigation on the growth performance of native pastoral plants and soil chemical properties in the Al-Tamriat area, Al-Jouf, Saudi Arabia. Four native species—Traganum nudatum (Aldamran), Atriplex leucoclada (Alrughal), Salsola villosa (Al-Rutha), and Ziziphus nummularia (Sidir)—were cultivated under two irrigation regimes: normal water and treated wastewater. In a 12-month period, plant morphological traits (plant height, stem diameter, and canopy width) were monitored monthly, alongside soil chemical properties (pH, electrical conductivity, total organic carbon, organic matter, available phosphorus, exchangeable potassium, and available nitrogen) assessed at two soil depths (0–20 cm and 20–40 cm). Results showed species-specific responses to irrigation water quality where Atriplex leucoclada and Ziziphus nummularia exhibited superior growth performance (average heights of 54.78 cm and 53.09 cm, respectively), compared to the Traganum nudatum and Salsola villosa. Overall, normal water irrigation promoted greater plant growth (mean height: 36.61 cm) compared to treated wastewater (29.60 cm), likely due to salinity stress. In contrast, soil fertility improved under both treatments, with total organic carbon increasing from 0.08 to 0.43% in the top layer (0–20 cm) and from 0.05 to 0.40% in the bottom layer (20–40 cm) after 12 months of experimentation. Statistical analysis (ANOVA, p < 0.05) revealed significant interactive effects between water type, species, and time on plant and soil variables. These findings illustrate the potential of using TW for rangeland irrigation, while also illustrating its potential to limit growth in sensitive species. The results emphasize the importance of choosing the right species and managing water quality when developing TW irrigation plans for arid rangelands.
1. Introduction
Water scarcity driven by climate change has emerged as a major challenge for global agriculture and rangelands, adversely affecting food security and ecological sustainability worldwide [1]. Arid and semi-arid regions, where water resources are already limited, are particularly vulnerable to this scarcity due to shifts in precipitation patterns, prolonged droughts, and rising temperatures [2]. It is estimated that over 1.2 billion people face significant water scarcity globally, specifically in arid and semi-arid regions, and this figure is expected to rise substantially by 2050 due to population growth and climate variability [3,4]. Agriculture, which accounts for roughly 70% of global freshwater withdrawals, faces serious constraints from limited water availability, leading to reduced crop yields, degradation of rangelands, and disruption of ecological balance [5,6]. Beyond its environmental impacts, water scarcity also has considerable economic consequences; for example, the 2015 drought in California caused agricultural losses totaling USD 1.84 billion, highlighting the critical dependence of crop production on water resources [7]. These challenges underscore the urgent need to explore alternative water sources, such as wastewater reuse, desalination, and rainwater harvesting, to support sustainable and efficient crop production in water-limited areas.
Treated wastewater (TW) has gained attention as a promising solution to address water scarcity in arid and semi-arid regions, including Saudi Arabia. Using TW in agriculture offers several benefits, including the conservation of freshwater resources, reduction in environmental pollution through lower wastewater discharge, and the supply of essential nutrients to crops, potentially decreasing reliance on synthetic fertilizers [8,9]. Its nutrient-rich composition can enhance crop yields and overall productivity, particularly in regions where water shortages severely limit agricultural output. Globally, approximately 400 km3 of wastewater is generated annually, yet only 20% undergoes treatment, with merely 2–15% of treated water used for irrigation [10]. Regions such as Jordan, Spain, California (USA), Australia, and China are increasingly utilizing TW for irrigation. For instance, in Jordan, more than 75% of agricultural land is irrigated with recycled wastewater, boosting productivity and alleviating pressure on scarce freshwater resources [11]. Spain produces over 540 million cubic meters of recycled water annually from 100 treatment facilities, with 73% allocated to agricultural irrigation [12]. In the United States, California applies around 250,000 acre-feet of recycled water yearly for agricultural irrigation, reducing dependence on groundwater [13]. In Australia, approximately 10% of TW is used for irrigation [14], whereas only 7% is used in Japan [15]. In China, the practice has grown since the 1950s, with roughly 22% of treated wastewater applied to crop irrigation [16]. In Saudi Arabia, where arid conditions and reliance on desalinated water are prevalent, there is growing interest in TW irrigation to maximize crop production while minimizing environmental impact [17].
Agriculture in Saudi Arabia consumes around 80–85% of the nation’s freshwater resources, with 67% drawn from non-renewable groundwater sources [17]. Domestic water use per capita is over 250 L in Saudi Arabia, meanwhile globally this consumption remains around 100 to 150 L per capita [18]. To address these challenges, Saudi Arabia launched Vision 2030 in 2016, aiming to reduce groundwater reliance from 90% to 10% by 2030 [17] and to implement water-efficient irrigation technologies to cut water consumption from non-renewable sources by up to 50% [17]. Therefore, in 2022 Saudi Arabia generated 1.93 billion m3 TW, of which 422 million m3 used for agricultural practices, which is 22% higher than 2017 TW production. Besides this, restoring degraded rangelands is another key aspect of this vision, especially in regions like Al-Jouf, where land degradation threatens both ecological balance and pastoral livelihoods [19,20]. Additional challenges, such as soil salinization and wind erosion, contribute significantly to the reduction in vegetation, which further encourages drought severity and extreme weather conditions [21,22,23].
Despite growing interest in TW as an alternative water resource, research on its effects in Arabian rangelands remains limited, particularly for xerophytic vegetation such as Haloxylon salicornicum and Acacia-Lycium shawii, which may respond differently to TW compared to conventional agricultural crops. While TW has been widely applied in agricultural irrigation, its potential for rehabilitating degraded rangelands is yet to be fully explored. Additionally, native pastoral species in Al-Tamriat present an opportunity to address this knowledge gap by testing plant responses under TW conditions. Therefore, this study primarily aims to (1) evaluate the effects of TW irrigation on growth and aboveground biomass of selected pastoral plants in the arid rangelands of Al-Tamriat, and (2) assess the impact of TW on soil chemical properties, including pH, EC, organic matter content, and nutrient availability (N, P, K) throughout the experimental period. Through this comprehensive evaluation, the study seeks to provide valuable insights into the feasibility of using TW for sustainable rangeland rehabilitation in Saudi Arabia and other arid regions worldwide.
2. Materials and Methods
2.1. Study Area
The study was conducted in the Al-Tamriat Protected Area, within the Sakaka district of the Al-Jouf region, Saudi Arabia, at an elevation of 726 m above mean sea level, situated between 30°29′04″ N latitude and 40°26′14″ E longitude. The region experiences long, hot, dry summers and short, cool, moist winters (Figure 1). Because of low annual rainfall (58 mm) and high evapotranspiration (high aridity in the region), plant production is low, and water shortages are frequent. Plants in the area struggle to grow because there is a lack of rain each year, while the amount of water that could evaporate is much higher, leading to a water shortage and making the area very dry with high aridity.
Figure 1.
Average monthly precipitation in mm at Al-Tamriat experimental site from 1990 to 2024. Source of the data collection was at the Al-Jouf Airport climate station.
2.2. Experiment and Treatment Setup
A field experiment was conducted from June 2024 to 2025 at the Al-Tamriat site (30°29′28.5″ N; 40°25′32.7″ E) in northern Saudi Arabia, on a flat, degraded area of 13,834 m2. The experimental layout followed a restricted split-plot design arranged in three replicates using a randomized complete block design (RCBD). Plant species were assigned as main plots and irrigation type as sub-plots. Each block (45 × 95 m) contained eight plots (20 × 20 m). Four native perennial rangeland species including Traganum nudatum, Atriplex leucoclada, Salsola villosa, and Ziziphus nummularia were planted at a spacing of 5 m in each direction, with 25 seedlings transplanted per plot. Seedlings of each species were grown under controlled conditions in a nursery for two months and then transplanted at experimental sites. Two irrigation treatments were used: treated wastewater (TW) and normal water (NW). The treated water used in this study was obtained from a municipal wastewater treatment plant (MWWTP) located in Al-Jouf, Saudi Arabia. The MWWTP primarily underwent secondary and tertiary treatments, including biological treatment, sand filtration, and chlorination. These approaches minimized the physical and microbial contamination in the effluent and produced safe water for environmental and agricultural irrigation, as per the guidelines of national reuse standards in Saudi Arabia.
A drip irrigation system was installed to ensure uniform water application at a rate of 4 L per plant per day. Prior to the establishment of the experiment, the site consisted of open rangelands dominated by Lasiurus scindicus, Rhanterium epapposum, Ziziphus nummularia, Salsola villosa, Atriplex leucoclada, and Traganum nudatum, with scattered annual herbs and grasses in lower abundance.
2.3. Soil and Water Analysis
Initial soil samples were collected at the time of planting, whilst the second sampling took place after a 12-month period to determine soil physicochemical characteristics. Soil samples were collected through core sampling method from two depths: 0–20 cm and 20–40 cm. Moreover, three random sampling sites were chosen in each plot, and subsequently these samples were mixed together to make a composite sample of each replicated treatment.
The samples were air-dried and sieved to <2 mm size for some chemical analyses. Soil pH was determined in a 1:5 soil/Milli-Q water suspension. Soil texture was determined using the hydrometer procedure [24]. Available nitrogen (AN) was obtained by mixing the soil with a 1 M KCl solution, and the extractable potassium (Ex. K) was found by using a 1 M ammonium acetate solution. Available phosphorus (AP) was determined by Olsen and Summers [25]. We measured organic matter (O.M.) following Walkley and Black method [26]. The study included QA/QC samples such as blanks and duplicates.
Treated wastewater samples were collected before each irrigation practice in three replications and stored in polyethylene bottles. Prior to sampling, these bottles were washed with weak hydrochloric acid and rinsed multiple times with the effluent sample before being filled to the desired volume. Before laboratory analysis, these samples were kept at temperatures below 4 °C. Analytical procedures adhered to conventional methodologies for the analysis of water and wastewater. Irrigation water for the seedlings was sourced from wells in the village of Zalum, situated roughly 28 km from the Al-Tamriat site. A substantial truck equipped with a sizable tank delivered the water to the experimental site. An elevated-capacity tank was installed at the experimental site for the storage of transported water. Samples were collected from the tank on three occasions, placed in sealed polyethylene containers, and transported to the Soil Department laboratories at King Saud University’s College of Food and Agricultural Sciences. The samples were stored under refrigeration prior to analysis. The physicochemical properties of TW and NW were analyzed following the standard method outlined by Jahany et al. [27,28].
2.4. Plant Sampling
Plant measurements were carried out on a monthly basis from June 2024 to June 2025. Within each plot, three plants were randomly selected and measured for plant height, stem diameter, and canopy cover. Plant height was measured using a measuring tape from 25 cm above the soil surface to the highest leaf or shoot. Stem diameter was measured at the stem base using a digital caliper. Canopy cover was assessed using the Canopeo mobile application, by capturing images of the plant canopy at a fixed distance of approximately 60 cm above the plant to avoid overestimation of the green fractional cover. The Canopeo application (Oklahoma State University) is based on automated RGB image analysis to calculate the fractional green canopy cover (FGCC), which ranges from 0 (no green cover) to 1 (100% green cover).
After 12 months of monitoring, one plant per plot was harvested to represent the three monitored plants. Each harvested plant was separated into above-ground (leaves and stems) and below-ground (root) portions, using a root excavation area of 40 × 40 cm. Both portions were air-dried and weighed to determine dry biomass for subsequent analyses.
2.5. Statistical Analysis
Statistical analyses of soil and biomass data were conducted using the PROC MIXED procedure in SAS version 9.4 (SAS Institute Inc., Cary, NC, USA). Analysis of variance (ANOVA) was applied to evaluate differences among treatments for each plant species and among species within each treatment. Tukey’s honestly significant difference (HSD) test was used for mean separation at an alpha level of 0.05.
3. Results and Discussion
3.1. Soil Characterization
The soil at the Al-Tamriat site was classified as sandy loam in both layers: surface (77.5% sand, 6.7% silt, and 15.8% clay) and subsurface (73.5% sand, 8.7% silt, and 17.8% clay), as mentioned in Table 1. Sand fractions of both depths varied from 74% to 78%, indicating the soil’s sand texture. The soil pH was alkaline in both layers (7.6 and 7.8), and the electrical conductivity (EC) values were 0.1 dS m−1 in the surface and subsurface layers. Meanwhile, soil organic matter content was relatively low, reflecting the soil’s limited organic carbon ratio. Moreover, the available phosphorus level at the site was also below the recommended rate in both surface and subsurface soils.
Table 1.
Physicochemical characteristics of the surface (0–20 cm) and subsurface (20–40 cm) soils at the Al-Tamriat area experimental site.
Furthermore, the concentration of AP ranged from 0.7 to 0.9 mg kg−1 in both depths. This low value is due to the limited solubility of P in the soil solution, which may be linked to the high soil pH (Table 1). The exchangeable potassium content was slightly higher than other essential nutrients like P and N, and this rise in K may be influenced by low rainfall, which leads to K accumulation. Presence of clay minerals (mica and feldspar) also increases soil K content. Soil AN accumulation decreased up to 33% in subsurface area, as presented in Table 1.
Moreover, the time of plantation also substantially affected soil nutrients and carbon content. For instance, after June 2025 (end of the field experiment), soil pH showed a slight decline, meanwhile soil EC decreased up to 67.54% in D1 from time of plantation (June 2024) to after 12 months of crop growth (June 2025). Soil total organic carbon (TOC) and organic matter (OM) showed a remarkable rise of 438% and 421%, respectively, after one year of plantation (Table 2). Conversely, soil available phosphorus (AP) showed a negative growth, with soil AP decreasing marginally after one year of plantation. Meanwhile, soil extractable K (Ex. K) and available nitrogen (AN) increased approximately 27.62% and 48.60%, respectively, in D1 by June 2025, as mentioned in Table 2.
Table 2.
Physicochemical characteristics of soil samples from 2024 to 2025 taken from two depths (D1, 0–20 cm; D2, 20–40 cm).
Previous findings suggest that irrigation with treated wastewater has substantial potential in improving soil nutrient content [29]. For instance, Du et al. revealed that treated wastewater irrigation significantly improved soil P, total N, and K up to 17%, 22%, and 15%, respectively, compared to the control group where tap water irrigation was applied [30]. These findings align with the results of current study and with the study of Ranadev et al., who demonstrated that the application of treated wastewater remarkably reduced the need for chemical fertilizers by up to 13% [31]. Furthermore, long-term studies have revealed even more pronounced effects on nutrient accumulation. For instance, a 40-year field trial showed a notable enhancement in soil N, P, and K contents compared to tap water irrigation [32].
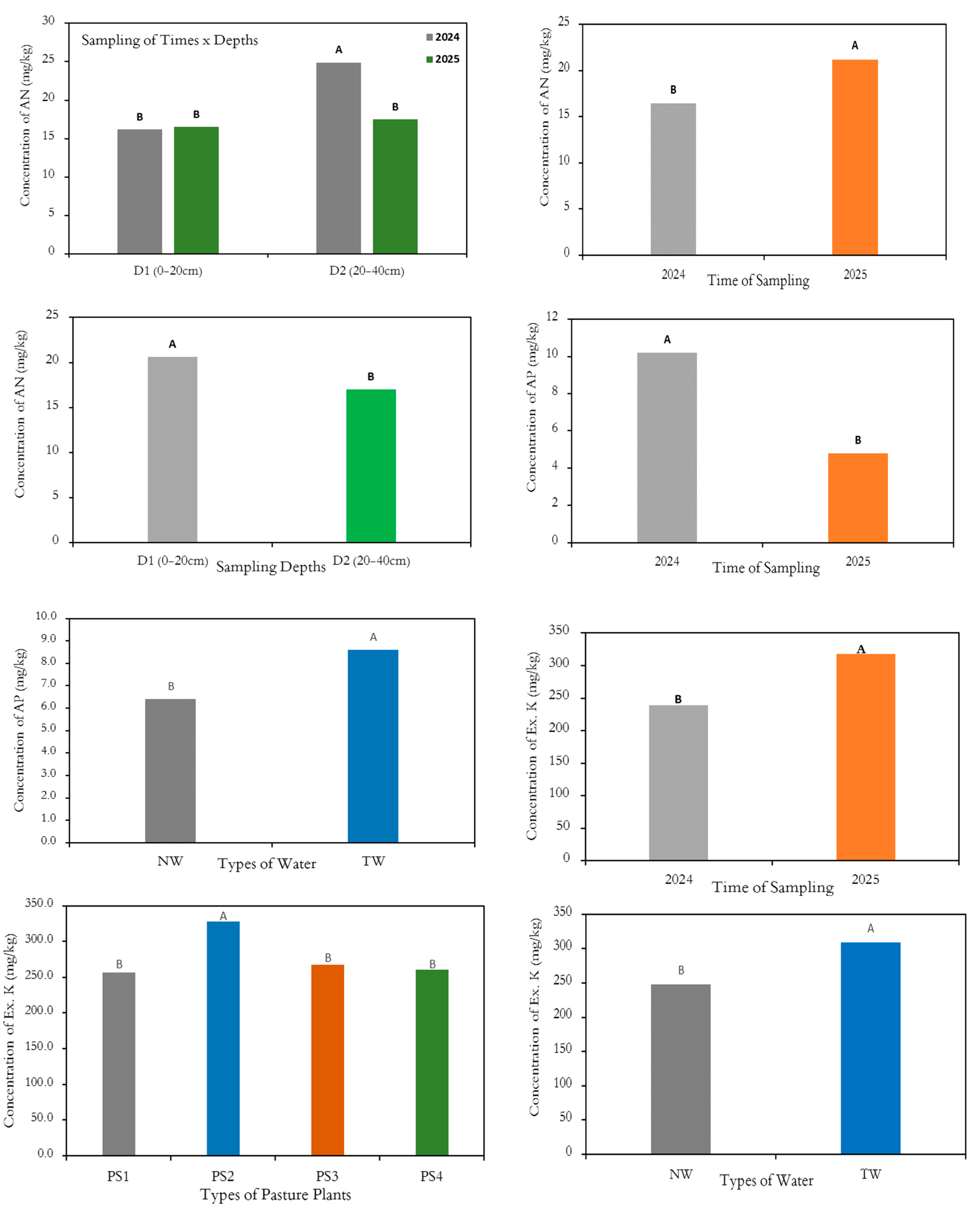
Additionally, soil EC showed variable results across plant species. For instance, under PS4, soil EC reached the maximum level, followed by PS3 and PS1, whereas under PS2 there was only a negligible rise. This rise in soil EC may be attributed to the higher soil ion-exchange capacity, which stimulates soil nutrient availability and microbial growth [30]. In the context of soil pH, there was no significant difference in the pH of TW and NW. Additionally, soil TOC also showed maximum values of 0.4% and 0.2% under T2 and D1, respectively, compared to T1 and D2. This higher rate of soil TOC may be linked to better carbon sequestration rate, besides this, the balance between organic amendments and their decomposition rates also plays a key role in the improvement of soil TOC [33]. Soil organic matter (OM) accumulation increased substantially to around 0.6% in 2025, whilst in 2024 this OM content was only 0.1%, as shown in Figure 2.
Figure 2.
The effect of plant type, water type, sampling type, and time on soil carbon, pH, and EC contents. Values denote the mean of three replications. Uppercase letters on bars indicate significant differences among treatments at the 5% probability level.
Soil nutrients, including AN, showed a positive boost to 20 mg kg−1 in 2025, whilst in 2024 this content was only 15 mg kg−1. Similarly, in the top layer (0–20 cm), AN content was substantially higher than in the lower layer (20–40 cm). This increment in soil N may be attributed to better N fixation rate or higher soil OM decomposition, as stated by Li et al. [33]. Moreover, Yan et al. [34] also found that surface soil layers typically accumulate higher nutrient levels due to organic matter deposition, root activity, and fertilization, while deeper layers often exhibit lower concentrations due to limited microbial activity and nutrient translocation. Conversely, soil AP level was the highest in 2024 compared to AN, as in 2024, AP was 10 mg kg−1, which declined to 4 mg kg−1 in 2025. TW showed the highest accumulation of AP (8 mg kg−1) compared to NW, which only remained at 6 mg kg−1. The depletion of soil AP in deeper layers may be linked to the limited microbial activity and nutrient translocation in the lower soil layers [35]. Moreover, seasonal variation and precipitation reactions also play a key role in the immobilization and fixation of soil P, ultimately limiting its availability to plants over time [35,36]. Moreover, TW and PS2 increased soil extractable K to 300 mg kg−1 and 329 mg kg−1, respectively. Overall, the lowest soil K content was noticed under PS1, followed by PS4 and PS3, as mentioned in Figure 3.
Figure 3.
The effect of soil depth and water type on soil N, P, and extractable K under open-field conditions. Values denote the mean of three replications. Uppercase letters on bars indicate significant differences among treatments at the 5% probability level.
3.2. Water Chemical Characteristics
The findings of this experiment highlight the potential of both freshwater (NW) and treated wastewater (TW) as sustainable irrigation sources under the harsh climatic conditions of the Kingdom of Saudi Arabia. The chemical characteristics of both water types remained within the acceptable limits defined by the Food and Agriculture Organization (FAO), with no statistically significant differences observed between them. This resemblance between TW and NW not only validates the efficiency of TW but also supports its use as a valuable source of irrigation without limiting crop health and productivity.
The pH of both irrigation water types remained within the acceptable limits defined by the FAO, with values of 7.6 and 7.2 for NW and TW, respectively (Table 3). Both values are mildly alkaline, which is favorable for the uptake of essential nutrients such as N, P, Zn, Cu, Fe, and Mn. These results are consistent with Elfeky et al. [37], who reported pH values ranging from 6.61 to 7.59 in treated wastewater, also falling within the FAO recommended range (6.0–8.5). The electrical conductivity (EC) of both water types was 1.4 dS m−1, indicating a very low salinity hazard and no expected detrimental impact on crop growth, according to FAO guidelines (≤3.0 dS m−1). The total dissolved solids (TDS) concentrations were 871.1 mg L−1 for NW and 902.4 mg L−1 for TW, which is mild and much below the FAO limits of 2000 mg L−1 that might cause osmotic stress in crops. In contrast, studies in Al-Ahsa Oasis found that irrigation waters that included treated wastewater had an average TDS level of 2275 mg L−1, which was often higher than FAO guidelines and required restrictions to salt-tolerant crops [38]. This shows that the quality of the wastewater in the current experiment was relatively better than other studies. Besides this, cation and anion exchange rate further validated the effectiveness of the wastewater for irrigation, as K content remained up to 24.7 mg L−1 in NW and 29.1 mg L−1 in TW, providing a favorable nutritional content for potassium-requiring crops without causing toxicity. Similar water characteristics was observed by Benaafi et al. [39] and Badr et al. [38] in the Al-Ahsa Oasis region of Saudi Arabia, where treated wastewater contained lower concentration of ions compared to groundwater, which indicates the appropriateness of TW for irrigation. Finally, the percentage of dissolved sodium remained at a safe and acceptable level for irrigation purposes, with values below 60% considered safe and not negatively affecting soil or plant health.
Table 3.
Physicochemical properties of treated wastewater (TW) and freshwater (NW).
3.3. The Impact of Mean Water Irrigation, Plant Species, and Time Period on Plant Height
Plant height showed variable results according to the application of water type, sampling type, and plant species, with the maximum plant height reported in the Alrughal plant type under NW. Meanwhile, TW and Aldamran showed the lowest plant heights at the experiment site in the Al-Tamriat area, Al-Jouf (Table 4). Furthermore, the analysis of variance (ANOVA) for the two irrigation water types (treated and normal water) and their interaction with the four plant species (SP1, SP2, SP3, and SP4) across 12 time periods (P1–P12) is presented in Table S1. The results of the ANOVA revealed that irrigation treatment had a highly significant effect on plant height (p < 0.0001). In addition, the type of plant, type of water, and time period each had a significant (p < 0.0001) effect on mean plant height. Significant differences were also observed among different measurement periods, indicating that stem length changed significantly over time. These findings are in line with the results of Tarek et al. [40], who reported that plant height reached its maximum value after 24 months when seedlings were irrigated with 100% TW.
Table 4.
Effect of plant species type, water type, and time of measurement on plant height.
A significant interaction between water type and plant species (TW × T) was also detected, showing that the effect of water type on stem length differed by species. Significant differences were also recorded in the water × time interaction, indicating that the increase in plant height varied among species over time. This is supported by Wafae et al. [41], who showed that TWW resulted in better development of agronomic parameters such as height, number of branches, leaves, and flowers. Moreover, several studies have indicated that matching irrigation rates to crop evapotranspiration (100%, etc.) can markedly increase plant height under optimal conditions [39,41]. For instance, in winter wheat, applying the full irrigation requirement resulted in a significant increase in plant height compared to the control treatment (25% less irrigation) [42]. Similarly, Memon et al. [43] reported that plant height was reduced by approximately 23% and 29% under moderate and severe water deficit, respectively, compared with full irrigation. Overall, it is recognized that each crop has different irrigation requirements, and the irrigation method also plays a key role in improving plant height. For example, maize irrigated via furrow irrigation produced 7.13% greater height compared with border irrigation when the same amount of water was applied, demonstrating the importance of irrigation method on plant physiology [40,44]. In the present study, irrigation methods had variable impacts on each rangeland species: while some species exhibited positive or neutral responses to TW, others showed a degree of sensitivity. For instance, Ziziphus nummularia and Atriplex leucoclada showed slightly greater growth and better responses under TW irrigation compared with Traganum nudatum and Salsola villosa. This highlights the importance of selecting appropriate plant species that are tolerant to the specific characteristics of the TWW. These results also agree with Khaled et al. [45], who emphasized the need for species-specific assessment when implementing TW irrigation projects and indicated that wastewater tends to increase soil salinity, thereby promoting the growth of salt-tolerant species while limiting the performance of more sensitive ones.
3.4. The Impact of Mean Water Irrigation, Plant Species, and Time Period on Plant Stem Diameter Growth
The ANOVA results revealed a highly significant effect of irrigation treatment (p < 0.0001) and plant stem diameter (p < 0.0001) (Table S1). The type of water used for irrigation had a significant effect on stem diameter, indicating that treated water and normal water induced different responses. Similarly, plant species had a significant effect, showing that differences in species led to significant difference in stem diameter. In addition, stem diameter increased significantly over time which confirms the positive relationship between growth period and plant diameter. Interactions between water type and plant type (TW × PT) and plant type and time (PT × T) remained significant at the 5% level, as shown in Table S1. Similar to plant height, stem diameter also remarkably increased under NW, particularly in Atriplex leucoclada shrubs, where NW irrigation produced 23% more stem diameter compared with TW, as mentioned in Table 5. The observed responses are consistent with the findings of Hassan et al. [46], who reported that trees irrigated with primary treated wastewater (Taxodium distichum, Albizzia lebbek, and Tipuana speciosa) produced higher biomass compared with those irrigated with ordinary water. Similar results were reported by several authors [28,45], who found that different ratios of treated wastewater stimulated vegetative growth in a range of tree species. Based on the present results, it can be concluded that water type and plant species are the two most influential factors affecting stem diameter, while time also plays a significant but comparatively less pronounced role.
Table 5.
Effect of plant species, water type, and time of measurement on plant stem diameter.
Meanwhile, time showed less variation in the growth of stem, as relative stability was observed in the growth of stem throughout the experimental time. These results are in line with Solomon et al. [47], who stated that the growth pattern changed after irrigation by sewage water treatment began to show higher growth rates than tap water. This growth improvement could be attributed to the fertilizing effect of treated wastewater and plant adaptation to the quality characteristics of the water [30]. Meanwhile, various field and greenhouse pot experiments revealed that treated irrigation water had a positive impact on plant stem diameter compared with conventional water sources [41,48]. In a field experiment, woody plants including Myrtus communis, Eucalyptus camaldulensis, and Cupressus sempervirens showed a notable improvement of 28.42% to 72.73% in plant stem diameter when irrigated with treated wastewater, compared to tap water [49]. Moreover, this improvement of stem diameter is attributed to the presence of nutrients in treated wastewater. It has been reported that treated wastewater contains a substantial abundance of N, P, and K compared with conventional tap water [42]. Research on olive trees irrigated with secondary sewage effluent produced significantly higher leaf N (92%), P (450%), Mg (88%), Ca (20.4%), K (35%), and Na (105%) compared with tap water irrigation [43]. Additionally, this abundance of essential nutrients also boosted plant photosynthetic rate up to 20%, which is directly linked to improved stem growth and expansion [32,50].
3.5. The Impact of Mean Water Irrigation, Plant Species, and Time Period on Plant Crown Size Ratio
There were significant differences (p < 0.0001) in mean canopy volume ratio according to plant type, indicating that plant type had a clear effect on canopy volume ratio. There were also significant differences in the mean canopy volume ratio according to time, indicating that different time periods affected canopy volume ratio. The interaction between plant type and time (PT × T) was significant at the 5% level, indicating that the effect of time on canopy volume ratio varied among plant types (Table S1). These results are aligned with Nehaya et al., who stated that the effects of the water type on the plant growth parameters are shown as early as the first year, with plants irrigated with TW showed a significantly higher height than those irrigated with normal water [51,52]. There were no significant differences in mean canopy volume ratio according to water type, indicating that water type did not have a significant effect on canopy volume ratio as presented in Table 6.
Table 6.
Effect of plant species, water type, and time of measurement on plant crown size ratio.
3.6. Aboveground and Underground Biomass
Figure 4A,B illustrates species-specific responses in aboveground and underground dry biomass, respectively, to irrigation with treated wastewater compared to conventional water, emphasizing the intricate relationship among water quality, nutrient availability, and plant physiological adaptations. Atriplex leucoclada demonstrated the maximum aboveground dry mass under NW irrigation, indicating that this halophytic plant can grow in lower-salinity environments, where osmotic stress from TW may restrict biomass growth. Conversely, Traganum nudatum exhibited the lowest aboveground dry mass across treatments, suggesting intrinsic constraints on its development capacity or susceptibility to environmental variables, irrespective of water supply [53,54]. The findings are consistent with the existing literature on wastewater irrigation in arid regions, indicating that TW can promote plant growth through increased nutrient availability, particularly N and P; however, TW can also cause salinity issues for salt-sensitive plant species [55]. Research on halophytes such as Atriplex nummularia, which is closely related to A. leucoclada, indicates that irrigation with treated wastewater enhances biomass accumulation. This improvement is attributed to increased soil fertility and the provision of additional macronutrients, resulting in higher organic carbon levels and overall productivity [56,57]. However, the result of the current study contradicts these findings, and this inconsistency may be attributed to the elevated osmotic stress.
Figure 4.
Effect of TW and NW on (A) aboveground and (B) belowground biomass of plant. Values denote the mean of three replications. Uppercase letters indicate significant differences among treatments at the 5% probability level. PS1: Aldamran (Traganum nudatum), PS2: Alrughal (Atriplex leucoclada), PS3: Al-Rutha (Salsola villosa), and PS4: Sidir (Ziziphus nummularia).
Moreover, the root dry mass of A. leucoclada also increased under NW, whereas Ziziphus nummularia recorded the maximum biomass under treated wastewater. These findings indicate that TWW, presumably containing organic matter and micronutrients from the field experiment, facilitates root development in specific species such as Z. nummularia, which may improve water and nutrient uptake efficiency in nutrient-deficient arid soils. The minimal root biomass in T. nudatum observed in both treatments may indicate its adaptation to extreme aridity, prioritizing resource allocation for survival rather than extensive root development. These findings align with prior studies indicating that wastewater irrigation enhances root biomass in woody and shrub species through improved soil structure and fertility, which promotes deeper root penetration and increased nutrient absorption [53,54]. Investigations in arid ecosystems indicate that halophytic shrubs irrigated with treated wastewater demonstrate increased root dry mass attributable to recycled nutrients, paralleling the benefits observed in Z. nummularia in this context. However, the reduced root biomass observed in A. leucoclada under treated water in this study contrasts with findings which indicated that wastewater improved on accumulation and growth under abiotic stress. This difference may be attributed to site-specific factors, including soil pH or microbial interactions that influenced the response [53,58]. Comparative analyses reveal mixed effects, as some studies reported decreased microbial diversity and potential long-term soil sodification from wastewater use, which may indirectly impede root growth [59,60]. Conversely, other research highlights its significance in sustainable biomass production for forage or bioenergy in water-scarce areas [61,62].
4. Conclusions
This study highlights the potential of treated wastewater (TW) as an alternative irrigation source for arid rangelands, particularly in water-scarce regions such as Al-Tamriat in northern Saudi Arabia. Despite the relatively short duration of the study (12 months), the use of TW irrigation led to noticeable improvements in soil chemical properties, including the enhancement of soil organic matter, available nitrogen, phosphorus, and exchangeable potassium contents. These changes indicate a positive trend toward enhancing soil fertility through sustainable practices. While normal water irrigation generally supported superior plant growth, especially in Atriplex leucoclada and Ziziphus nummularia, TW irrigation still proved effective in sustaining native species and enhancing soil quality. The study further evaluated that water type, plant species, and time, along with their interactions, significantly influenced morphological traits such as stem length, diameter, canopy width, and volume ratio. These findings provide valuable insights into the dynamics of irrigation practices in arid environments and support the development of integrated rangeland management strategies that balance plant productivity with soil health. The study concludes that TW irrigation can be used safely and effectively to irrigate rangeland vegetation through proper management practices and regular monitoring of soil and vegetation parameters. To ensure the broader applicability and sustainability of these practices, it is strongly recommended to undertake long-term studies across multiple ecological zones in Saudi Arabia. These studies should examine region-specific native species, considering variations in climate, soil type, and salinity tolerance. Such research will contribute to the development of localized, evidence-based guidelines for the sustainable use of TW in rangeland rehabilitation and management across the Kingdom.
Supplementary Materials
The following supporting information can be downloaded at: https://www.mdpi.com/article/10.3390/pr13103110/s1, Table S1. Analysis of variance for selected soil properties EC, pH, OM, TOC, AN, AP, and Ex. K as affected by water irrigation type (Normal Water-NW and treated water-TW), plant species (PS1, PS2, PS3, PS4), soil depth (0–20 and 20–40 cm), and time of sampling (time of plantation and after one year).
Author Contributions
Conceptualization, Z.A., M.A.M., H.M.I. and A.G.A.; project administration, A.G.A. and M.A.H.; supervision A.A.; manuscript review and editing, Z.A., M.A.M., H.M.I., S.E. and A.A.; methodology, Z.A., M.A.M., H.M.I. and A.G.A.; designing, Z.A., M.A.H., H.M.I. and A.A.; samples collection, Z.A. and M.A.M.; preparation and formal analyses, Z.A., M.A.M. and S.E.; data curation and analyses, Z.A., M.A.M. and A.G.A.; formal analyses, Z.A. and M.A.M.; statistical analyses, Z.A. and M.A.M.; writing of the manuscript, Z.A., M.A.M., H.M.I. and A.G.A.; Funding acquisition, M.A.H. and A.A. All authors have read and agreed to the published version of the manuscript.
Funding
The National Center for Vegetation Cover Development and Combating Desertification (NCVC) financially supported this work.
Data Availability Statement
The original contributions presented in this study are included in the article/Supplementary Materials. Further inquiries can be directed to the corresponding author.
Acknowledgments
This work was funded through the NCVC Center for Vegetation Cover Development and Combating Desertification. This experiment is one of several conducted at the same site by a research team from the Department of Soil Sciences at King Saud University.
Conflicts of Interest
The authors declare no conflicts of interest.
References
- Stringer, L.C.; Mirzabaev, A.; Benjaminsen, T.A.; Harris, R.M.; Jafari, M.; Lissner, T.K. Climate change impacts on water security in global drylands. One Earth 2021, 4, 851–864. [Google Scholar] [CrossRef]
- El Kenawy, A.M. Hydroclimatic Extremes in Arid and Semi-Arid Regions: Status, Challenges, and Future Outlook. In Hydroclimatic Extremes in the Middle East and North Africa; Elsevier: Amsterdam, The Netherlands, 2024; pp. 1–22. [Google Scholar]
- He, C.; Liu, Z.; Wu, J.; Pan, X.; Fang, Z.; Li, J.; Bryan, B.A. Future global urban water scarcity and potential solutions. Nat. Commun. 2021, 12, 4667. [Google Scholar] [CrossRef]
- Jones, E.R.; Bierkens, M.F.; van Vliet, M.T. Current and future global water scarcity intensifies when accounting for surface water quality. Nat. Clim. Chang. 2024, 14, 629–635. [Google Scholar] [CrossRef]
- Ingrao, C.; Strippoli, R.; Lagioia, G.; Huisingh, D. Water scarcity in agriculture: An overview of causes, impacts and approaches for reducing the risks. Heliyon 2023, 9, e18507. [Google Scholar] [CrossRef]
- Kumar, L.; Chhogyel, N.; Gopalakrishnan, T.; Hasan, M.K.; Jayasinghe, S.L.; Kariyawasam, C.S.; Kogo, B.K.; Ratnayake, S. Climate change and future of agri-food production. In Future Foods; Academic Press: Cambridge, MI, USA, 2022; pp. 49–79. [Google Scholar]
- Howitt, R.; Medellín-Azuara, J.; MacEwan, D.; Lund, J.R.; Sumner, D. Economic Analysis of the 2014 Drought for California Agriculture; University of California, Center for Watershed Sciences: Davis, CA, USA, 2015; p. 16. [Google Scholar]
- Mishra, S.; Kumar, R.; Kumar, M. Use of treated sewage or wastewater as an irrigation water for agricultural purposes-Environmental, health, and economic impacts. Total Environ. Res. Themes 2023, 6, 100051. [Google Scholar] [CrossRef]
- Verma, A.; Gupta, A.; Rajamani, P. Application of wastewater in agriculture: Benefits and detriments. In River Conservation and Water Resource Management; Springer Nature: Singapore, 2023; pp. 53–75. [Google Scholar]
- Christou, A.; Beretsou, V.G.; Iakovides, I.C.; Karaolia, P.; Michael, C.; Benmarhnia, T.; Chefetz, B.; Donner, E.; Gawlik, B.M.; Lee, Y. Sustainable wastewater reuse for agriculture. Nat. Rev. Earth Environ. 2024, 5, 504–521. [Google Scholar] [CrossRef]
- Al-Addous, M.; Bdour, M.; Alnaief, M.; Rabaiah, S.; Schweimanns, N. Water resources in Jordan: A review of current challenges and future opportunities. Water 2023, 15, 3729. [Google Scholar] [CrossRef]
- Jodar-Abellan, A.; López-Ortiz, M.I.; Melgarejo-Moreno, J. Wastewater treatment and water reuse in Spain. Current situation and perspectives. Water 2019, 11, 1551. [Google Scholar] [CrossRef]
- Escriva-Bou, A.; Gray, B.; Green, S.; Harter, T.; Howitt, R.; MacEwan, D.; Seavy, N. Water Stress and a Changing San Joaquin Valley. Public Policy Institute of California. 2017. Available online: https://www.ppic.org/content/pubs/report/R_0317EHR.pdf (accessed on 17 August 2025).
- Radcliffe, J.C. Current status of recycled water for agricultural irrigation in Australia, potential opportunities and areas of emerging concern. Sci. Total Environ. 2022, 807, 151676. [Google Scholar] [CrossRef]
- Takeuchi, H.; Tanaka, H. Water reuse and recycling in Japan—History, current situation, and future perspectives. Water Cycle 2020, 1, 1–12. [Google Scholar] [CrossRef]
- Lyu, S.; Wu, L.; Wen, X.; Wang, J.; Chen, W. Effects of reclaimed wastewater irrigation on soil-crop systems in China: A review. Sci. Total Environ. 2022, 813, 152531. [Google Scholar] [CrossRef] [PubMed]
- Alotaibi, B.A.; Baig, M.B.; Najim, M.M.; Shah, A.A.; Alamri, Y.A. Water scarcity management to ensure food scarcity through sustainable water resources management in Saudi Arabia. Sustainability 2023, 15, 10648. [Google Scholar] [CrossRef]
- Abdella, F.I.; El-Sofany, W.I.; Mansour, D. Water scarcity in the Kingdom of Saudi Arabia. Environ. Sci. Pollut. Res. 2024, 31, 27554–27565. [Google Scholar] [CrossRef]
- Alodah, A. Towards sustainable water resources management considering climate change in the case of Saudi Arabia. Sustainability 2023, 15, 14674. [Google Scholar] [CrossRef]
- Belgacem, A.O.; Nejatian, A.; Salah, M.B.; Moustafa, A. Water and food security in the Arabian Peninsula: Struggling for more actions. J. Exp. Biol. Agric. Sci. 2017, 5, 550–561. [Google Scholar] [CrossRef]
- Sayed, O.H.; Masrahi, Y.S. Climatology and phytogeography of Saudi Arabia. A review. Arid Land Res. Manag. 2023, 37, 311–368. [Google Scholar] [CrossRef]
- Hasanean, H.; Almazroui, M. Rainfall: Features and variations over Saudi Arabia, a review. Climate 2015, 3, 578–626. [Google Scholar] [CrossRef]
- Al-Ghamdi, A.A.; Tadesse, Y.; Adgaba, N.; Alghamdi, A.G. Soil degradation and restoration in southwestern Saudi Arabia through investigation of soil physiochemical characteristics and nutrient status as indicators. Sustainability 2021, 13, 9169. [Google Scholar] [CrossRef]
- Bouyoucos, G.J. Hydrometer method improved for making particle size analyses of soils. Agron. J. 1962, 54, 464–465. [Google Scholar] [CrossRef]
- Olsen, S.R.; Sommers, L.E. Methods of Soil Analysis Part, 2; Page, A.L., Miller, R.H., Keeney, D.R., Eds.; American Society of Agronomy, Inc.: Madison, WI, USA, 1982. [Google Scholar]
- Walkley, A.; Black, I.A. An examination of the Degtjareff method for determining soil organic matter, and a proposed modification of the chromic acid titration method. Soil Sci. 1934, 37, 29–38. [Google Scholar] [CrossRef]
- Jahany, M.; Rezapour, S. Assessment of the quality indices of soils irrigated with treated wastewater in a calcareous semi-arid environment. Ecol. Indic. 2020, 109, 105800. [Google Scholar] [CrossRef]
- Afaf, L.S.; Mohamed, E.; Abd El-Ghany, M.; Hossam, H.H. Effect of using treated sewage water on the yield of some tree species compared with those irrigated by fresh water. J. Environ. Sci. 2021, 50, 89–106. [Google Scholar] [CrossRef]
- Felix, V.J.L.; de Sousa Medeiros, S.; Macedo, R.S.; Sousa, C.D.S.; da Silva Souza, R.F.; da Silva Fraga, V.; Campos, M.C.C. Treated Wastewater Affects the Fertility and Geochemistry of Degraded Soil in the Brazilian Semi-Arid Region. Agronomy 2025, 15, 721. [Google Scholar] [CrossRef]
- Du, Z.; Zhao, S.; She, Y.; Zhang, Y.; Yuan, J.; Rahman, S.U.; Qi, X.; Xu, Y.; Li, P. Effects of different wastewater irrigation on soil properties and vegetable productivity in the North China Plain. Agriculture 2022, 12, 1106. [Google Scholar] [CrossRef]
- Ranadev, P.; Revanna, A.; Bagyaraj, D.J.; Shinde, A.H. Sulfur oxidizing bacteria in agro ecosystem and its role in plant productivity—A review. J. Appl. Microbiol. 2023, 134, lxad161. [Google Scholar] [CrossRef] [PubMed]
- Gourkhede, P.H.; Yadav, K.; Abdulraheem, M.I.; Hazzan, O.O.; Zade, S.P.; Wankhade, B.D.; Dawood, M.F.A.; Seleiman, M.F. Effect of long-term application of sewer water on soil properties and plant nutrient contents in the drainage basin area across different crop seasons. Pol. J. Environ. Stud. 2025, 13, 27–36. [Google Scholar] [CrossRef]
- Li, X.G.; Jia, B.; Lv, J.; Ma, Q.; Kuzyakov, Y.; Li, F.M. Nitrogen fertilization decreases the decomposition of soil organic matter and plant residues in planted soils. Soil Biol. Biochem. 2017, 112, 47–55. [Google Scholar] [CrossRef]
- Yan, G.; Luo, X.; Liang, C.; Han, S.; Liu, G.; Yin, L.; Wang, Q. Nitrogen deposition enhances soil organic carbon sequestration through plant–soil–microbe synergies. J. Ecol. 2025; early view. [Google Scholar] [CrossRef]
- Celi, L.; Said-Pullicino, D.; Bol, R.; Lang, F.; Luster, J. Interconnecting Soil Organic Matter with Nitrogen and Phosphorus Cycling. In Multi-Scale Biogeochemical Processes in Soil Ecosystems: Critical Reactions and Resilience to Climate Changes; John Wiley & Sons: Hoboken, NJ, USA, 2022; pp. 51–77. [Google Scholar]
- Chen, X.; Shi, C.; Han, X.; Wang, X.; Guo, Z.; Lu, X.; Yan, J. Microbial responses of soil fertility to depth of tillage and incorporation of straw in a haplic chernozem in northeast China. Chin. Geogr. Sci. 2023, 33, 693–707. [Google Scholar] [CrossRef]
- Elfeky, A.M.; Alfaisal, M.; El-Shafei, A. Analyzing Riyadh Treated Wastewater Parameters for Irrigation Suitability Through Multivariate Statistical Analysis and Water Quality Indices. Water 2025, 17, 709. [Google Scholar] [CrossRef]
- Badr, E.S.A.; Tawfik, R.T.; Alomran, M.S. An assessment of irrigation water quality with respect to the reuse of treated wastewater in Al-Ahsa Oasis, Saudi Arabia. Water 2023, 15, 2488. [Google Scholar] [CrossRef]
- Benaafi, M.; Pradipta, A.; Tawabini, B.; Al-Areeq, A.M.; Bafaqeer, A.; Humphrey, J.D.; Aljundi, I.H. Suitability of treated wastewater for irrigation and its impact on groundwater resources in arid coastal regions: Insights for water resources sustainability. Heliyon 2024, 10, e29320. [Google Scholar] [CrossRef]
- Tarek, A.A.; Hassan, H.M.S.; El-Mekawy, M.A.; Ali, M.A.M. Impact of irrigation with treated wastewater on growth of (Casuarina equistefolia) seedlings under Sinai conditions. SINAI J. Appl. Sci. 2017, 6, 101–110. [Google Scholar]
- Wafae, E.; Wiam, E.; Ikram, B.; Chérif, H.; Choukr, A.; Rqia, B. Effect of treated wastewater irrigation on ornamental plants: Case study of Lantana and Hibiscus, Morocco. World Water Policy 2024, 10, 280–296. [Google Scholar] [CrossRef]
- Ali, S.; Xu, Y.; Ma, X.; Ahmad, I.; Jia, Q.; Akmal, M.; Jia, Z. Deficit irrigation strategies to improve winter wheat productivity and regulating root growth under different planting patterns. Agric. Water Manag. 2019, 219, 1–11. [Google Scholar] [CrossRef]
- Memon, S.A.; Sheikh, I.A.; Talpur, M.A.; Mangrio, M.A. Impact of deficit irrigation strategies on winter wheat in semi-arid climate of sindh. Agric. Water Manag. 2021, 243, 106389. [Google Scholar] [CrossRef]
- Fang, J.; Su, Y. Effects of soils and irrigation volume on maize yield, irrigation water productivity, and nitrogen uptake. Sci. Rep. 2019, 9, 7740. [Google Scholar] [CrossRef]
- Al-Akeel, K.A.; Al-Fredan, M.A.; Desoky, E.-S.M. Impact of wastewater discharge on the plant diversity, community structure and heavy metal pollution of range plants in eastern Saudi Arabia. Saudi J. Biol. Sci. 2021, 28, 7367–7372. [Google Scholar] [CrossRef]
- Hassan, F.A.; Nasser, R.A.; Hegazy, S.S.; El-Sayed, N.A.A. Biomass performance, specific gravity, and fiber lengh for three tree species irrigated with sewage effluent and the persistence and distribution of pollution indicator bacteria in soil. In Proceedings of the First International Conference on Strategy of Botanic Gardens, Bulletin of CAIM-Herbarium, Giza, Egypt, 10–12 May 2006; Volume 7, pp. 39–52. [Google Scholar]
- Solomon, O.; David, K.A.; Aleš, K.; Daniel, P.; Ivana, T.; Iveta, R.; Jiří, W. Impact of treated wastewater on plant growth: Leaf fluorescence, reflectance, and biomass-based assessment. Water Sci. Technol. 2024, 89, 1647–1664. [Google Scholar] [CrossRef] [PubMed]
- Mahmoodi-Eshkaftaki, M.; Rafiee, M.R. Optimization of irrigation management: A multi-objective approach based on crop yield, growth, evapotranspiration, water use efficiency and soil salinity. J. Clean. Prod. 2020, 252, 119901. [Google Scholar] [CrossRef]
- Kheir, A.M.; Alrajhi, A.A.; Ghoneim, A.M.; Ali, E.F.; Magrashi, A.; Zoghdan, M.G.; Elnashar, A. Modeling deficit irrigation-based evapotranspiration optimizes wheat yield and water productivity in arid regions. Agric. Water Manag. 2021, 256, 107122. [Google Scholar] [CrossRef]
- Miralles, J.; Franco, J.A.; Sánchez-Blanco, M.J.; Bañón, S. Effects of pot-in-pot production system on water consumption, stem diameter variations and photochemical efficiency of spindle tree irrigated with saline water. Agric. Water Manag. 2016, 170, 167–175. [Google Scholar]
- Hoyos-Villegas, V.; Houx, J.; Singh, S.; Fritschi, F. Ground-based digital imaging as a tool to assess soybean growth and yield. Crop Sci. 2014, 54, 1756–1768. [Google Scholar] [CrossRef]
- Nehaya, A.; Lina, A.; Emad, A.; Mohammad, T.; Madi, A.; Ahmad, J.; Massimo, D.B. The Impact of Short-Term Treated Wastewater Irrigation on Olive Development and Microbial and Chemical Contamination. Water 2025, 17, 463. [Google Scholar] [CrossRef]
- de Meireles, D.A.; Souza, T.; de AACarneiro, K.; da SFraga, V.; de O. Dias, B.; da S. Batista, D.; Martins, E.L.; de Lima, A.F.; dos Santos Nascimento, G.; Campos, M.C. Treated Wastewater Irrigation Enhances Plant Biomass, Soil Fertility, and Rhizosphere Microbial Activity in C4 and CAM species Grown on a Degraded Planosol. Environ. Monit. Assess. 2025, 197, 804. [Google Scholar] [CrossRef]
- Hawamdeh, O.A.; Taha, A.A.; Mosa, A.; Al-Derini, M.R. A Review: Long-Term Impact of Recycled Wastewater Irrigation on Woody Forests. J. Soil Sci. Agric. Eng. 2023, 14, 41–56. [Google Scholar] [CrossRef]
- Libutti, A.; Gatta, G.; Gagliardi, A.; Vergine, P.; Pollice, A.; Beneduce, L.; Disciglio, G.; Tarantino, E. Agro-industrial wastewater reuse for irrigation of a vegetable crop succession under Mediterranean conditions. Agric. Water Manag. 2018, 196, 1–14. [Google Scholar] [CrossRef]
- Melo, H.F.D.; Souza, E.R.D.; Almeida, B.G.D.; Freire, M.B.D.S.; Maia, F.E. Growth, biomass production and ions accumulation in Atriplex nummularia Lindl grown under abiotic stress. Rev. Bras. Eng. Agrícola E Ambient. 2016, 20, 144–151. [Google Scholar] [CrossRef]
- Enebe, M.C.; Ray, R.L.; Griffin, R.W. Carbon sequestration and soil responses to soil amendments—A review. J. Hazard. Mater. Adv. 2025, 18, 100714. [Google Scholar] [CrossRef]
- Alsanad, M.A. The environmental assessment of soil chemical properties irrigated with treated wastewater under arid ecosystem of Al-Ahsa, Saudi Arabia. Arab Gulf J. Sci. Res. 2024, 42, 976–990. [Google Scholar] [CrossRef]
- Lu, Q.; Zhao, R.; Li, Q.; Ma, Y.; Chen, J.; Yu, Q.; Zhao, D.; An, S. Elemental composition and microbial community differences between wastewater treatment plant effluent and local natural surface water: A Zhengzhou city study. J. Environ. Manag. 2023, 325, 116398. [Google Scholar] [CrossRef] [PubMed]
- Okur, B.; Örçen, N. Soil Salinization and Climate Change. In Climate Change and Soil Interactions; Elsevier: Amsterdam, The Netherlands, 2020; pp. 331–350. [Google Scholar]
- Debez, A.; Belghith, I.; Friesen, J.; Montzka, C.; Elleuche, S. Facing the challenge of sustainable bioenergy production: Could halophytes be part of the solution? J. Biol. Eng. 2017, 11, 27. [Google Scholar] [CrossRef] [PubMed]
- Hoogendijk, K.; Myburgh, P.A.; Howell, C.L.; Hoffman, J.E. Irrigation of agricultural crops with municipal wastewater-a review. S. Afr. J. Enol. Vitic. 2023, 44, 31–54. [Google Scholar] [CrossRef]
Disclaimer/Publisher’s Note: The statements, opinions and data contained in all publications are solely those of the individual author(s) and contributor(s) and not of MDPI and/or the editor(s). MDPI and/or the editor(s) disclaim responsibility for any injury to people or property resulting from any ideas, methods, instructions or products referred to in the content. |
© 2025 by the authors. Licensee MDPI, Basel, Switzerland. This article is an open access article distributed under the terms and conditions of the Creative Commons Attribution (CC BY) license (https://creativecommons.org/licenses/by/4.0/).



