Abstract
The sedimentation process of coal slurry water is influenced by numerous factors and has complex mechanisms. Its nonlinear and large hysteresis characteristics pose great challenges to process optimization control, making it a current research hotspot. This paper takes the typical slime water treatment process of a coal preparation plant as the object, and, on the basis of selecting raw coal quantity, flocculation dosage, coagulation dosage, overflow turbidity, raw coal ash content, underflow concentration, and slime quantity as the key variables, establishes a quality control method for process detection data consisting of data acquisition → data anomaly detection → data filling and noise reduction; subsequently, different machine-learning algorithms are used to predict the performance of coal-slurry-settling agents. It was found that Long Short-Term Memory shows the highest prediction accuracy for coagulants, with corresponding root mean square errors of 2.72% and 6.23%. Finally, using iFix software (version 5.5), an intelligent control system for the settling process of coal slurry water was constructed, which reduced the usage of coagulants by 31.56% and 37.21%.
1. Introduction
As the main energy source and an important industrial raw material, coal is the guarantee of energy security in the world [1,2]. Wet coal preparation is widely used as a source technology for the clean utilization of coal. Although this process can significantly improve the level of clean coal utilization, at the same time, it also produces a lot of coal sludge water, and nearly 10 billion cubic meters of coal slurry water is produced by wet coal beneficiation in China every year [3,4,5]. Therefore, the efficient treatment of coal slurry water is a current research hotspot in the field of coal clean utilization, and it is becoming progressively more important against the background of China’s “dual carbon” strategy.
The coal slurry water treatment process is a complex process involving physical and chemical action [6]. Its settlement process is influenced by many factors, mainly including natural precipitation, pharmaceutical sedimentation, and gravitational concentration [7].
Karmakar [8] et al. analyzed the density sorting characteristics of non-coking coals to determine the range of densities suitable for blending with coking coal for coke production. Li [9] et al. investigated the agitation dissolution pattern of APAM with different molecular weights, optimized the dissolution conditions, and proposed a method to infer the dissolution and agitation time of industrial flocculants. Wang [10] et al. proposed the use of fuzzy algorithms to optimize the flocculation and settling process in coal slurry water treatment in coal preparation plants. Their method overcame the steady-state error and parameter-setting difficulties of traditional fuzzy control and improved the control effect.
At present, most coal preparation plants often use dosing to strengthen the method of coal slurry water treatment; that is, they add flocculants and coagulants to accelerate the settlement of solid particles in the coal slurry [11]. This method has achieved good results and achieved the closed-loop cycle of washing water [12]. In the early stages, artificial dosing methods were mainly adopted for coal slurry water treatment, which means that a certain concentration of chemicals was added to the thickener by artificial means. However, the effect of the process relied entirely on manual experience, with large production fluctuations. In recent years, with the rapid advancement in intelligent coal beneficiation, many coal beneficiation plants have gradually implemented automated dosing for coal processing [13]. One typical approach is adjusting the dosing amount based on the turbidity of the overflow [14]. However, due to the typical large hysteresis, nonlinearity, and other phenomena in the thickener, the effectiveness of the existing automatic dosing control needs to be improved.
The analysis of sedimentation parameters in multifactorial environments has become an important research direction in water treatment, the chemical industry, and other industrial fields. Traditional methods mostly rely on empirical models based on experimental data, but these methods are often difficult to adapt to complex and variable environmental conditions, and their prediction accuracy and applicability are limited. In recent years, alternative prediction methods, such as the Support Vector Machine (SVM) [15,16,17] and the Graph Neural Network (GNN) [18], have been gradually applied to the modeling and optimization of the settling process. These methods can effectively handle high-dimensional nonlinear data and significantly improve the prediction performance. Meanwhile, automated technology for the control of the settling process has also made significant progress in industrial applications in other industries. For example, in the chemical industry, the optimization of solid–liquid separation parameters in the reaction kettle has achieved an improvement in process efficiency and product quality [19]; in the field of water treatment, real-time monitoring and regulation systems based on sensors and intelligent algorithms have greatly improved the stability of the operation of sedimentation tanks and the efficiency of water quality treatment [20]. These successful practices provide valuable experience for the intelligence and automation of sedimentation parameter analysis and also lay the foundation for further cross-field research.
The above discussion of previous investigations shows some general understanding of the coal slurry settling that is available; however, to the best of the authors’ knowledge, a practical data-driven approach to intelligently control the process of coal slime settling has not yet been reported. In the view of the aforesaid knowledge gap, the objectives of the current work were as follows:
① To propose data preprocessing and cleaning methods based on a comprehensive collection of production process data, including online and offline data;
② To establish a predictive model for flocculant and coagulant dosing in coal preparation plants based on machine-learning algorithms;
③ To objectively evaluate the effect of the model’s application in the industrial production process of coal slurry water.
2. Methodology
2.1. Coal Slurry Settling Process
Figure 1 shows the typical process of coal slurry settlement in Ningxia Coal Industry plant. The following can be seen:
Figure 1.
The process flow diagram of coal slurry treatment process.
① The magnetic separation tailings of the fine coal slurry are firstly sent to a classifying cyclone, and its overflow goes into the primary coal slurry concentration pool; the classification product first passes through the arc sieve for screening and the water under the screen is directed into the primary coal slurry thickener for further concentration, while the material on the screen is sent to a centrifuge for dewatering.
② After being concentrated in the primary coal slurry thickener, the underflow is fed into the flotation machine by the slurry preparer and the overflow and flotation tailings are directed into the tailing coal slurry thickener.
③ The magnetic separation tailings of middle coal and gangue are firstly put through the classifying cyclone, and its overflow liquid directly enters into the tailing coal thickener; the classified products undergo screening with an arc screen, and the material on the screen is sent to a centrifuge for dewatering, while the water under the screen enters the tailings coal slurry thickener.
④ The overflow liquid of the tailings coal slurry thickener turns into circulating water, which forms a closed-circuit cycle of washing water and provides supplementary water for other washing processes; The underflow enters the filter press to obtain coal sludge.
Moreover, in the present work Polyacrylamide (PAM with the molecular mass of 5 million) and Poly Aluminum Chloride (PAC, with the molecular mass of ~0.2 million) were selected as flocculant and coagulant, respectively. The preparation process for the solution is described as follows:
① PAM. Weigh 5 kg of polyacrylamide (molecular mass of 5 million), and fill in a 5 cubic meter container with diluted production water. Then, start the magnetic stirrer, set the speed of the magnetic stirrer to 300~400 r/min, stirring for 0.5 h, and then configure it into the flocculant solution with the concentration of 0.1%.
② PAC. Weigh 100 kg of polymerized aluminum chloride, and fill in a 5 cubic meter container with diluted production water. Then, start the magnetic stirrer, stirring at 500~700 r/min until the coagulant is completely dissolved, and configured into a coagulant solution with a 2% concentration.
2.2. Flexibility Detection Analysis of Key Variables
Previous research has shown that the effect of coal slurry concentration and settling is influenced by various factors, which can be primarily categorized as follows [21,22,23]:
① Feed characteristics of the coal slurry, such as feed flow rate and feed concentration, etc.;
② Properties of the added chemicals, including the type, ratio, and dosage of the chemicals, etc.;
③ Physical properties of the particles in the coal slurry, such as particle size, sludge ability, etc.;
④ Microscopic properties of the particles, such as Zeta potential, inter-particle potential on the particle surface, etc.;
⑤ Settling environment of the solution, such as water hardness, viscosity, pH value, etc.
Based on the influencing factors mentioned above, this paper proposes a combination of real-time and offline flexible detection topology, as shown in Figure 2, based on the existing level of instrumentation technology in the coal preparation plant and industrial Internet networks. Specifically, on one hand, the feed flow rate and feed concentration of the coal slurry have a significant impact on the settling effect. However, since the feed to the thickener is mostly self-gravity, it is difficult to accurately measure the feed flow and its concentration by conventional detection methods. To address this, the paper suggests using flexible substitutes for the feed flow rate and concentration with the raw coal quantity and raw coal ash content, where the raw coal quantity is obtained in real time through the belt scale, while the raw coal ash content is considered offline data from periodic ash analysis. On the other hand, the concentration of added chemicals is fixed at 1‰, and the flow rate of the chemical addition is monitored in real time by electromagnetic flowmeter; simultaneously, the overflow turbidity is monitored in real time using a turbidity meter, while parameters such as the amount of coal slurry in the thickener and underflow concentration are obtained from daily manual offline assays. The aforementioned online data are collected separately by Programmable Logic Controller (PLC) [24] from various sensors, then transmitted and stored in an industrial database. The offline data are obtained through manual assays and input into the management information system of the coal processing plant Object Linking and Embedding for Process Control (OPC) [25].
Figure 2.
Topology of key variable flexible detection.
2.3. Data Preprocessing Algorithms
(1) Data anomaly cleaning—box plot method:
A box plot is a graphical method to visualize the data distribution for the dispersion of a set of data, so named because of its box-like shape. The actual data for the box plot method do not have to satisfy a normal distribution. The box plot consists of five numerical points—minimum (min), lower quartile (Q1), median (Q2), upper quartile (Q3), and maximum (max)—and the number of points in the box(n).
The five values are obtained by using depth to determine their position in the data batch. The median is a counting method to give the center of the sample, and its depth is (n + 1)/2
Depth of the quartile is calculated as [(depth of the median) + 1]/2. In the context of real-world data, there are “outliers” that can significantly affect the overall distribution. These outliers, also referred to as extreme values, can cause shifts in the overall characteristics of the data. To minimize the influence of these outliers on the data distribution, they are typically identified and plotted separately.
In a box plot, the two poles of the whiskers (the lines extending from the box) are modified to represent the minimum and maximum observed values.
In this paper, based on the comparison of box plot method, we provide a criterion to identify the outliers; i.e., the data values falling outside the intervals of max = Q3 + n×IRQ and min = Q1 − n×IRQ are considered outliers; here, Q1 and Q3 represent the lower and upper quartiles, respectively, and IRQ is the interquartile range. The interval multiplier, (n), is empirically set to 1.5 in this study. The screened outliers are compared with the control criteria, and then the data are finally determined to figure out whether the data are abnormal or not. Since the box plot method is based on empirical judgment, the value of (n = 1.5) is commonly used in practice to determine the range for identifying outliers. The IQR is calculated according to Equation (1):
where IRQ is the interquartile range, Q1 is the lower quartile, and Q3 is the upper quartile.
(2) Cubic spline interpolation for missing value imputation:
Cubic spline interpolation is a mathematical method used for estimating missing data points within a given interval. The cubic spline interpolation function, (s(x)), is defined as follows: Given n + 1 interpolation points (x0, x1, …, xn) within the interval Δ = [a, b], if the interpolation function s(x) satisfies the following two conditions (i.e., smoothness and continuity of derivatives), then s(x) is called the cubic spline interpolation function corresponding to the interval Δ.
① The function s(x) is a cubic polynomial on any subinterval [xi, xi+1], where i ∈ [0, 1, 2, …, n], and the specific cubic polynomial is given by the following:
② The function s(x) and its derivative s’(x) are continuous on the interval Δ = [a, b]. Here, (x0, x1, …, xn) are the interpolation points, and (a0, a1, …, an), (b0, b1, …, bn), (c0, c1, …, cn), and (d0, d1, …, dn) are the polynomial coefficients of the piecewise cubic spline interpolation function.
(3) Extended Kalman Filtering for noise reduction:
Selecting an appropriate Kalman filter (a generic algorithm used to estimate system parameters) for data processing can reduce noise and anomalous fluctuations in the original time-series data, thereby improving prediction accuracy. In this study, the Extended Kalman Filter (EKF) was used to perform smoothing and noise reduction on the interpolated data. The EKF addresses the nonlinearity by applying local linearization. The nonlinear prediction and observation equations are differentiated and linearized by replacing them with tangents.
For a nonlinear system, we have the following:
where xk is the state vector, xk-l shows the previous state vector, Wk-l represents the process noise, uk is the input vector of the system, and vk gives the measurement noise.
The posterior estimation equation of the Extended Kalman Filter is defined as follows:
where denotes the a posteriori state estimate at a moment; Kk is the Kalman gain; zk stands for the measurement vector; and indicates the priori state estimate at moment k and the prediction of the state at moment k based on the optimal estimate at moment k − 1.
The formula for calculating the Kalman gain is as follows:
The definition of Vk is as follows:
is the a priori estimated covariance at moment k, H is the transition matrix from the state vector to the measurement vector, HT is the transpose matrix of H, is the transpose of Vk, and R is the covariance matrix of the measurement noise.
The updated formula for the posterior estimation covariance matrix is as follows:
where Pkis the a posteriori estimated covariance at moment k, and I is the unit matrix.
3. Results
3.1. Methods for Quality Control of Settlement Process Inspection Data
In data-driven control models, the quality of the data has a significant impact on the accuracy of the models. However, in the process of actual data acquisition, transmission, and storage in coal preparation plants, various factors such as sensor malfunctions and network interruptions can lead to a certain proportion of missing and abnormal data. Therefore, the study proposes a data quality control method suitable for the coal slurry settling process.
3.1.1. Overview of Primary Data Collection
The data used in this study were collected from the coal slurry thickener operation in Ningxia Coal preparation plant between 24 September 2023 and 31 December 2023. The data consist of four sets of online data, raw coal quantity, overflow turbidity, flocculant dosage, and coagulant dosage, recorded as hourly average values. Additionally, there are three sets of offline data, noted as raw coal ash content, underflow concentration, and coal slurry quantity, which were manually analyzed and recorded daily. Table 1 shows the statistics of missing data, from which it can be seen that, except for the overflow turbidity data, the raw coal quantity, flocculant dosage, and coagulant dosage all have varying degrees of missing data, with missing rates of 7.39%, 5.50%, and 2.75%, respectively. The three sets of offline data (raw coal ash content, underflow concentration, and coal slurry quantity) consist of 58 data points each and have no missing values; hence, they are not displayed in the table.
Table 1.
Missing situation of raw online data.
3.1.2. Data Anomaly Detection
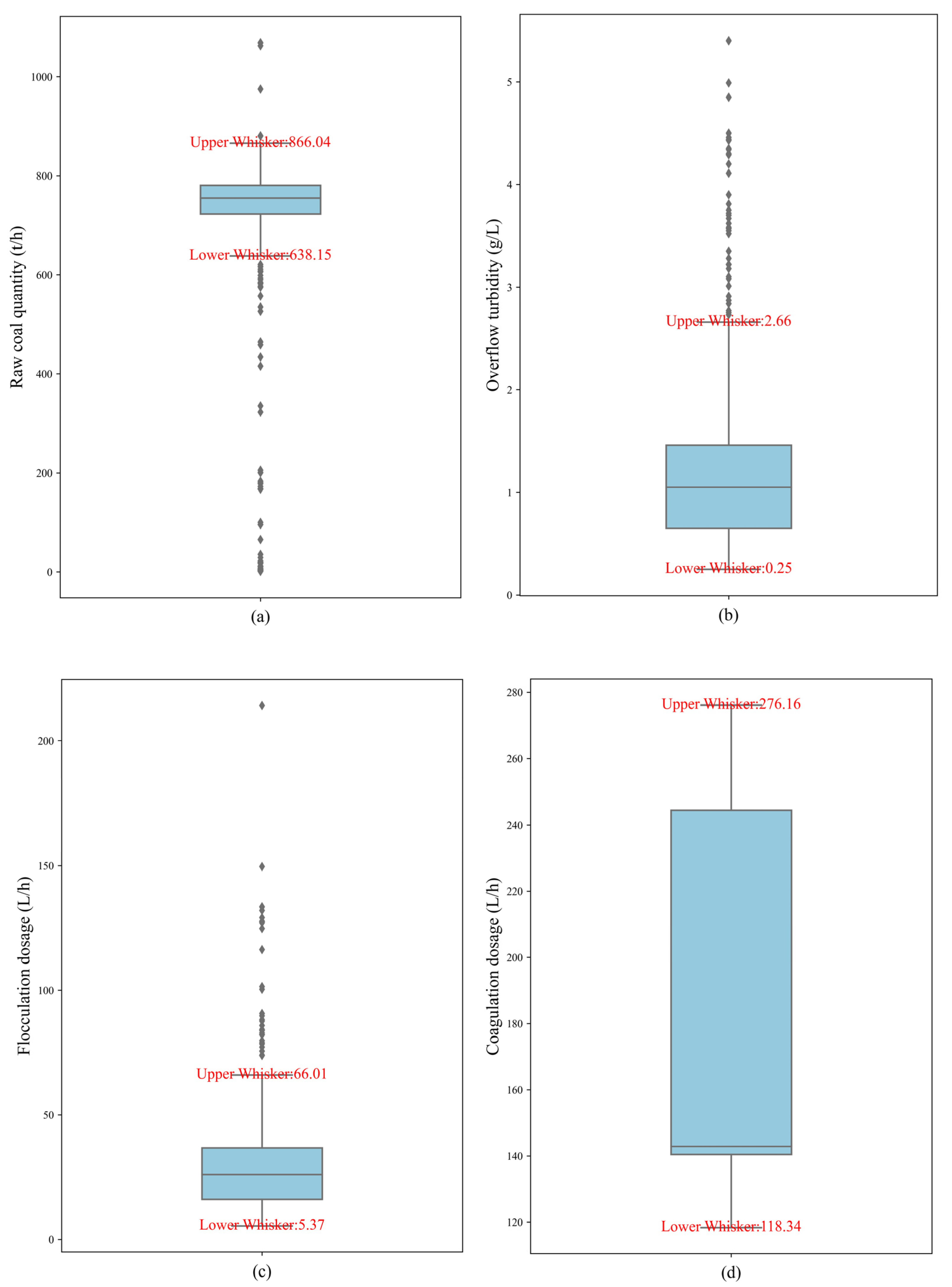
In this paper, the box plot method was chosen to detect anomalies in four sets of online data of the coal slurry water settlement process, which is a statistical chart [26] that is used to depict the central tendency and spread of data. For the raw coal quantity, the normal data fell within the range of 638.15–866.04 t/h, with values outside this range classified as outliers. For the overflow turbidity, measurements exceeding 2.66 g/L were identified as abnormal, while flocculation dosage readings above 66.01 L/h were similarly flagged as outliers. Notably, all measurements of coagulation dosage fell within the expected normal range. The detected anomalies were first removed and then treated as missing values for the subsequent data imputation process (shown in Figure 3).
Figure 3.
Boxplot outlier: (a) raw coal quantity; (b) overflow turbidity; (c) flocculation dosage; and (d) coagulation dosage.
3.1.3. Data Filling and Noise Reduction
(1) Data filling
After removing the outliers from the online data, the next step was to fill in all the missing values in the dataset. In this study, the cubic spline interpolation method [27] was selected for data imputation. This method is a global piecewise interpolation algorithm that overcomes the issue of large fluctuations associated with high-order interpolation methods while maintaining the continuity and smoothness of the interpolated data. Cubic spline interpolation was adopted to fill in the missing values for raw coal quantity, flocculant dosage, coagulant dosage, and overflow turbidity, among the four sets of online data. As an example, Figure 4 shows a comparison of the interpolated data for the flocculant dosage (partial data) before and after the imputation. As depicted in the figure, the interpolated data appears continuous and smooth, indicating the continuity of the cubic spline interpolation in handling the missing values.
Figure 4.
Results of cubic spline interpolation of flocculation dosage.
In addition, although there are no missing values in the three sets of offline data (raw coal ash content, underflow concentration, and coal slurry quantity), they have a different time scale compared to the four sets of online data. Therefore, it is necessary to perform data imputation for these offline data to align them with the online dataset. In this paper, the offline data are filled with daily constant values. As an illustration, Figure 5 provides a comparison of the underflow concentration data before and after the constant value imputation. From the figure, it can be observed that the imputed data show a consistent and constant pattern, effectively aligning the offline data with the online dataset.
Figure 5.
Results of constant value filling of underflow density.
(2) Data noise reduction
Data smoothing is an essential component of data processing, where the original data are processed using a noise filter. Its purpose is to reduce the noise and abnormal fluctuations in the original time-series data, thereby improving prediction accuracy. In this study, the Extended Kalman Filter (EKF) algorithm [28] is utilized to smooth and denoise the interpolated data mentioned earlier. As an example, Figure 6 illustrates a comparison of the overflow turbidity data before and after the smoothing using the EKF algorithm. It is evident from the figure that the filtered data appear much smoother, effectively removing the noise and irregularities present in the original data.
Figure 6.
Results of Extended Kalman Filter of overflow turbidity.
After performing the series of operations including data anomaly detection, missing value imputation, and data denoising, the data for subsequent modelling are finally obtained. Here, we present the processed online data and offline data for flocculant dosage and raw coal quantity as examples in Figure 7, illustrating the results of the data processing in a visually comprehensible manner. Clearly, the data after processing are now complete and smooth, which is beneficial for the subsequent modeling process.

Figure 7.
Preprocessing results: (a) raw coal quantity; and (b) flocculation dosage.
3.2. Predictive Modelling of Agent for Coal Slurry Water Settling Process
3.2.1. Construction of the Model
In this study, on the basis of data collected from the coal slurry production process, machine-learning theories were combined, and three algorithms, namely, the Backpropagation Neural Network (BP) [29], the Recurrent Neural Network (RNN) [30], and Long Short-Term Memory (LSTM) [31,32], were used to construct predictive models. The models take the raw coal quantity, raw coal ash content, overflow turbidity, underflow concentration, and coal slurry quantity as input variables and predict the flocculant dosage and coagulant dosage as output variables. The dataset is split into 80% (465 samples) for training and 20% (117 samples) for testing the models. Table 2 provides the details of the parameters set for each of the three predictive models. Different network structures were to use the same activation functions, Rectified Linear Unit (ReLU), the optimizer adaptive moment estimation (Adam), and the loss function Mean Squared Error (MSE).
Table 2.
Model parameter setting.
3.2.2. Forecasts Comparative Analysis
(1) Prediction of flocculant amount
To provide a more intuitive comparison of the predictive results of the three models, the BP model, RNN model, and LSTM model are plotted in Figure 8, showing their predictions on the test dataset samples. From the graph, it is evident that, compared to the BP model, the RNN model and LSTM model exhibit better agreement with the actual values, and their predicted trends are also closer to the actual observations.
Figure 8.
Prediction results of flocculation dosage.
From Table 3, the maximum absolute error, maximum relative error, RMSE, and MAPE of different predictive models are calculated.
Table 3.
Evaluation criteria for flocculation dosage prediction results.
Root Mean Square Error (RMSE): The RMSE is a metric used to assess the magnitude of error in a predictive model, reflecting the deviation of the predicted value from the true value. The smaller the RMSE is, the closer the model predictions are to the true values. It is defined as follows:
denotes the th true value, denotes the th predicted value, and denotes the number of data samples.
Mean Absolute Percentage Error (MAPE): The MAPE is relative error measure that assesses the percentage deviation of a forecast value from the true value. The smaller the MAPE, the smaller the relative prediction error of the model. It is defined as follows:
, , and are defined as in the RMSE.
It can be observed that the LSTM model outperforms the other BP and RNN models in all indicators, showing that it is more suitable for predicting the flocculant dosage in the coal slurry settling process.
(2) Prediction of coagulation dose
Similarly, the prediction results of the BP model, RNN model, and LSTM model are plotted against the actual values, as shown in Figure 9. It can be observed from the graph that, compared to the BP model, the RNN model and LSTM model show better agreement with the actual values, which is similar to the prediction results for the flocculant dosage.
Figure 9.
Prediction results of polycoagulant dosage.
The predictive performance of the three models is statistically summarized in Table 4, including their maximum absolute error, maximum relative error, RMSE, and MAPE. It can be observed from the table that both the LSTM and RNN models demonstrate a superior predictive performance compared to the BP model. Taking into consideration the overall prediction results for the flocculant dosage, the LSTM algorithm is ultimately chosen as the algorithm with which to construct the predictive model for the coal slurry settling process.
Table 4.
Evaluation criteria for polycoagulant dosage prediction results.
3.3. Intelligent Control System for Coal Slurry Water Sedimentation Process
3.3.1. Data-Driven System Construction
In simple terms, a data-driven approach refers to making decisions and taking actions based on data. By collecting a massive amount of historical production process data and integrating and refining it, models are established to achieve control over the production process. The data-driven system established in this study consists of three main steps, data collection, data mining, and application integration, as shown in Figure 10. The specific steps are as follows:
Figure 10.
Design of data-driven systems.
Step 1: Data Collection. Data are collected from various data sources, with four sets of online data collected via PLC and three sets of offline data entered into the control network and database by manual assay.
Step 2: Data Mining. The collected data are mined to uncover valuable information, including data processing and modeling analysis.
Step 3: Application Integration. The iFix and PLC systems are used to build a control system that not only achieves control over the overflow turbidity but also visualizes the system for display and monitoring.
3.3.2. Design of the Controller
This study focuses on the characteristics of the coal slurry concentration and settling process, combined with the existing detection instrumentation in the coal preparation plant. A control strategy, as shown in Figure 11, is designed with the overflow turbidity of the thickener as the control target and the dosage of additives as the manipulated variable.
Figure 11.
Control strategy of coal slurry sedimentation process.
The feedforward input of the control system is based on the coal slurry settling process additive dosage prediction model established in the previous paper. The prediction model uses real-time data, such as raw coal quantity, raw coal ash content, overflow turbidity, underflow concentration, and coal slurry quantity, to forecast the required dosage of additives, denoted as Qp. Based on the predicted value, the control system adjusts the speed of the dosing pump to add flocculant and coagulant. Additionally, the overflow turbidity meter continuously monitors the turbidity of the coal slurry settling tank and generates feedback signals for comparison with the set value. A fuzzy control strategy is adopted to evaluate the difference and calculate the required compensatory dosage of additives (∆Q), which further adjusts the dosing pump. This achieves a feedforward–feedback control approach, where the dosing pump’s speed is regulated to control the dosage of additives, ensuring the precise tracking of the set value of overflow turbidity and improving the control system’s accuracy.
3.3.3. Development of Control System Software
In this study, the iFix software (version 5.5) is utilized to develop the upper computer monitoring interface, as shown in Figure 12. The main functionalities of the interface are as follows:
Figure 12.
Main interface of control system.
① Process parameter settings: This includes the dosage of the flocculant and coagulant, which can be adjusted and set through the interface.
② Real-time data display: The interface allows for the display of both historical and real-time operational data, enabling users to monitor the current state of the system and track its performance over time.
③ Database functionality: The system’s operational data are stored and recorded in the database, ensuring comprehensive data storage and easy access to historical records.
④ Alarm function: The interface is equipped with an alarm feature that promptly alerts users in the event of equipment malfunctions or when critical indicators exceed predefined thresholds. This ensures the smooth and stable operation of the system by enabling a timely response to potential issues.
This system provides three control modes:
① Manual Control: Operators manually adjust parameters, such as the speed of the additive pump, based on real-time data and the specific production needs on-site.
② Automatic Control: Operators set the flow rate of the additive pump based on factors such as the characteristics of the coal slurry feed, properties of the raw coal, and settling performance. The system then automatically adjusts the pump’s speed accordingly.
③ Intelligent Control: In this mode, operators only need to input the desired set value for overflow turbidity. The control system, using the real-time value of overflow turbidity and considering the characteristics of the incoming coal slurry, automatically adjusts the speed of the additive pump to regulate the dosage of additives. This intelligent control approach ensures that the overflow turbidity precisely tracks the set value, achieving smart process control without requiring constant manual intervention.
The system has been applied in Ningxia Coal Industry Coal Preparation Plant since December 2023, and Table 5 compares the consumption of chemicals within one year before and after application. From this, it can be seen that the dosage of PAM and PAC has decreased from 16.92 g and 172 g per ton of raw coal to 11.58 g and 108 g, respectively, with corresponding reductions of 31.56% and 37.21%. Furthermore, the failure rate of the concentrator (such as excessive rake pressure or substandard overflow water quality) has decreased from five times in 2023 to zero times in 2024.
Table 5.
Evaluation of system application effectiveness.
4. Discussion
Using data preprocessing and cleaning, the prediction of the chemical dosage, and control system design, this work investigates intelligent control algorithms and industrial experiments for coal slurry settling processes. The strategy of data acquisition, data anomaly detection, data filling, and noise reduction can provide high-quality process data. Then, the LSTM algorithm shows the highest prediction accuracy for PAM and PAC, with a corresponding RMSE of 2.72% and 6.23%, respectively. Subsequently, the intelligent control system for coal slurry settling was designed using iFix, which results in a significant reduction in PAM and PAC.
The above discussions highlight the significant advantages of intelligent control systems, especially in industrial applications such as coal preparation. On one hand, these systems reduce labor costs by automating complex processes, thereby minimizing the need for human intervention and allowing human resources to focus on higher-value tasks. On the other hand, they enhance productivity by continuously optimizing operating parameters based on real-time data, ensuring optimal performance, reducing downtime, and minimizing errors. Additionally, the system contributes to energy usage efficiency and support environmental sustainability by dynamically adjusting operating parameters to optimize energy consumption and reduce waste. These advantages make intelligent control systems a cost-effective, efficient, and environmentally friendly solution for modern industrial processes.
However, it is noted that this work is based on a Ningxia Coal Industry plant reality with the data-driven intelligent control of the coal slurry water chemical addition. The parameters may need to be adjusted when the industrial application scenarios change, but this does not affect the demonstration of the feasibility of the approach.
5. Conclusions
This study focuses on the industrial process of coal slurry flocculation and sedimentation, driven by data analysis and combined with intelligent algorithms. These predictive models for chemicals were obtained and applied in the coal slurry settling industry. The observed conclusions are as follows:
(1) A method for establishing a production process dataset for coal slurry settling has been developed, including data collection, anomaly detection, data filling, and data denoising.
(2) Different machine-learning algorithms including BP, RNN, and LSTM were adopted to predict the dosage of Flocculant PAM and Coagulant PAC, where the LSTM model shows the highest prediction accuracy for PAM and PAC, with corresponding root mean square errors of 2.72% and 6.23%, respectively.
(3) The intelligent control system for the settling process of coal slurry in the Ningxia coal industry plant was constructed using iFix software, which reduced the usage of coagulants by 31.56% and 37.21%, respectively.
In future, based on this present work, both extensibility and more industrial trials will be carried out on the aforementioned data-driven intelligent control.
Author Contributions
Conceptualization, J.D.; data curation, J.D. and C.Z.; formal analysis, C.Z.; funding acquisition, C.Z.; investigation, W.L.; methodology, W.L.; project administration, J.D.; software, W.L.; supervision, W.L.; writing—original draft, Chuanzhen Wang and C.Z.; writing—review and editing, C.W. and C.Z. All authors have read and agreed to the published version of the manuscript.
Funding
This research was funded by the China Postdoctoral Science Foundation (2020M671837); Anhui Postdoctoral Foundation (2021A479); Anhui Province Coal Clean Processing and Carbon Reduction Engineering Research Center Foundation (CCCE-2023001); The University Synergy Innovation Program of Anhui Province (GXXT-2023-104), and National Key Research and Development Program of China (No2023YFC390400403).
Data Availability Statement
The data presented in this study are available upon request from the author Jianjun Deng (djjlc@cumt.edu.cn).
Acknowledgments
We acknowledge Ningxia Coal Industry Co., Ltd. of the National Energy Group for the testing site.
Conflicts of Interest
Author Wentong Liu was employed by the company Ningxia Coal Industry Co., Ltd. The remaining authors declare that the research was conducted in the absence of any commercial or financial relationships that could be construed as a potential conflict of interest.
Abbreviations
| BP | Back Propagation |
| RNN | Recurrent Neural Network |
| LSTM | Long Short-Term Memory |
| SVM | Support Vector Machine |
| GNN | Graph Neural Network |
| PLC | Programmable Logic Controller |
| OPC | OLE for Process Control |
| ReLU | Rectified Linear Unit |
| Adam | adaptive moment estimation |
| MSE | Mean Squared Error |
| Symbols | |
| Q1 | lower quartile |
| Q2 | median |
| Q3 | upper quartile |
| Qp | the required dosage of additives |
| ∆Q | the required compensatory dosage of additives |
| n | the number of points in the box |
| s(x) | the cubic spline interpolation function |
| Δ | the interval |
| xk | the state vector |
| xk−1 | the previous state vector |
| Wk−1 | the process noise |
| uk | the input vector of the system |
| vk | the measurement noise |
| the a posteriori state estimate at moment | |
| Kk | the Kalman gain |
| zk | stands for the measurement vector |
| the a priori state estimate | |
| Pk | the a posterior estimated covariance |
| the a priori estimated covariance | |
| H | the transition matrix from the state vector to the measurement vector |
| the transpose matrix of H | |
| the transpose of VK | |
| R | the covariance matrix of the measurement noise |
| I | the unit matrix |
| RMSE | Root Mean Square Error |
| MAPE | Mean Absolute Percentage Error |
| IQR | interquartile range |
References
- Hao, B.; Fan, M. Molecular-level study of hydrophobic interactions during low-rank coal particle-bubble attachment. Miner. Eng. 2024, 206, 108502. [Google Scholar] [CrossRef]
- Shen, L.; Min, F.; Liu, L.; Xue, C.; Zhu, J. Improving Coal Flotation by Gaseous Collector Pretreatment Method and its Potential Application in Preparing Coal Water Slurry. Processes 2019, 7, 500. [Google Scholar] [CrossRef]
- Liao, Y.; Yang, A.; An, M.; Yang, Z.; Cao, Y.; Chen, L.; Ren, H. Effect of magnetization pretreatment of coal slime water flocculating sedimentation. Int. J. Coal Prep. Util. 2021, 42, 3655–3669. [Google Scholar] [CrossRef]
- Hu, P.; Liang, L.; Xie, G.; Zhou, S.; Peng, Y. Effect of slurry conditioning on flocculant-aided filtration of coal tailings studied by low-field nuclear magnetic resonance and X-ray micro-tomography. Int. J. Min. Sci. Technol. 2020, 30, 859–864. [Google Scholar] [CrossRef]
- Liu, R.; Yuan, J.; Huang, L.; Yu, S.; Zhao, Y.; Duan, C.; Jiang, H. Synergistic enhancement of coal slurry water sedimentation and dehydration process using PDMDAAC/PAM. J. Cleaner Prod. 2024, 434, 140160. [Google Scholar] [CrossRef]
- Islam, S.; Williams, D.J.; Llano-Serna, M.; Zhang, C. Settling, consolidation and shear strength behaviour of coal tailings slurry. Int. J. Min. Sci. Technol. 2020, 30, 849–857. [Google Scholar] [CrossRef]
- Sabah, E.; Erkan, Z.E. Interaction mechanism of flocculants with coal waste slurry. Fuel 2006, 85, 350–359. [Google Scholar] [CrossRef]
- Karmakar, A.; Gopinathan, P.; Kumar, O.P.; Sethi, M.K.; Subramani, T.; Santosh, M.; Banerjee, P.K. Transformation in energy content of non-coking coals during differential settling beneficiation process: Implications for energy impact. Fuel 2024, 377, 132662. [Google Scholar] [CrossRef]
- Li, J.; Zhou, W.; Cai, C.; Wang, S.; Zhu, J. Effect of Agitation on the Dissolution of APAM with Different Molecular Weights and the Equivalent Diameter of Coal Slime Settling Floc with Different Particle Sizes. Minerals 2023, 13, 204. [Google Scholar] [CrossRef]
- Wang, A. Research on Flocculation and Sedimentation Characteristics of Extremely Fine Coal Slime Based on Computer PID Algorithm. J. Phys. Conf. Ser. 2020, 1578, 132662. [Google Scholar] [CrossRef]
- Li, D.; Feng, B.; Liu, M.; Luo, Y.; Wu, Y.; Xu, J.; Zhao, J. Waste to energy-study on the optimal types and dosage of additives for coal wastewater slurry. J. Phys. Conf. Ser. 2024, 2838, 012004. [Google Scholar] [CrossRef]
- Khazaie, A.; Mazarji, M.; Samali, B.; Osborne, D.; Minkina, T.; Sushkova, S.; Mandzhieva, S.; Soldatov, A. A Review on Coagulation/Flocculation in Dewatering of Coal Slurry. Water 2022, 14, 918. [Google Scholar] [CrossRef]
- Zheng, C.; Deng, J.; Hong, Z.; Wang, G. Prediction Model of Suspension Density in the Dense Medium Separation System Based on LSTM. Processes 2020, 8, 976. [Google Scholar] [CrossRef]
- Liu, H.; Liu, J. Research on the Detection Principle of Coal Ash by X-Ray Transmission Based on FLUKA. Minerals 2024, 14, 1079. [Google Scholar] [CrossRef]
- Xi, W.; Ping, Y.; Tao, J.; Ye, X.; Fu, M.; Zhang, Y.; Xie, M. Enhanced prediction of copper-polymetallic deposits in the Kalatag mining district using integrated SVM and GIS technology. Earth Sci. Inf. 2024, 18, 11. [Google Scholar] [CrossRef]
- Antosz, K.; Knapčíková, L.; Husár, J. Evaluation and Application of Machine Learning Techniques for Quality Improvement in Metal Product Manufacturing. Appl. Sci. 2024, 14, 10450. [Google Scholar] [CrossRef]
- Lima, B.C.d.; Demattê, J.A.M.; Santos, C.H.d.; Tiritan, C.S.; Poppiel, R.R.; Nanni, M.R.; Falcioni, R.; Oliveira, C.A.d.; Vedana, N.G.; Zimmermann, G.; et al. The Use of Vis-NIR-SWIR Spectroscopy and X-ray Fluorescence in the Development of Predictive Models: A Step forward in the Quantification of Nitrogen, Total Organic Carbon and Humic Fractions in Ferralsols. Remote Sens. 2024, 16, 3009. [Google Scholar] [CrossRef]
- Rasool, A.; Rahman, J.U.; Iqbal, Q. Optimizing GNN Architectures Through Nonlinear Activation Functions for Potent Molecular Property Prediction. Computation 2024, 12, 212. [Google Scholar] [CrossRef]
- Ostroukh, A.; Mavrin, A.; Surkova, N. Technological Processes Automation of Chemical Heat Treatment at Industrial Enterprises. Adv. Mater. Res. 2015, 1098, 120–125. [Google Scholar] [CrossRef]
- Qiao, Y.; Wu, M.; Song, N.; Ge, F.; Yang, T.; Wang, Y.; Chen, G. Automated pretreatment of environmental water samples and non-targeted intelligent screening of organic compounds based on machine experiments. Environ. Int. 2024, 193, 109072. [Google Scholar] [CrossRef] [PubMed]
- Lin, Z.; Wang, Q.; Wang, T.; Wang, Z.; Wang, G. Dynamic floc characteristics of flocculated coal slime water under different agent conditions using particle vision and measurement. Water Environ. Res. 2019, 92, 706–712. [Google Scholar] [CrossRef] [PubMed]
- Shi, C.; Guo, D.; Li, Y.; Zhang, Z.; Tang, L. Effect of the Polymerized Titanium Ferric Sulfate (PTFS) Coagulant on Sedimentation of Coal Slime Water. Minerals 2021, 12, 26. [Google Scholar] [CrossRef]
- Min, F.; Chen, J.; Peng, C.; Chen, C. Promotion of Coal Slime Water Sedimentation and Filtration via Hydrophobic Coagulation. Int. J. Coal Prep. Util. 2018, 41, 815–829. [Google Scholar] [CrossRef]
- Beňo, L.; Kučera, E.; Drahoš, P.; Pribiš, R. Transforming industrial automation: Voice recognition control via containerized PLC device. Sci. Rep. 2024, 14, 29387. [Google Scholar] [CrossRef]
- Wang, X.; Hu, H.; Wang, Y.; Wang, Z. IoT Real-Time Production Monitoring and Automated Process Transformation in Smart Manufacturing. J. Organ. End User Comput. 2024, 36, 1–25. [Google Scholar] [CrossRef]
- Lem, S.; Onghena, P.; Verschaffel, L.; Van Dooren, W. The heuristic interpretation of box plots. Learn. Instr. 2013, 26, 22–35. [Google Scholar] [CrossRef]
- Sun, M.; Lan, L.; Zhu, C.-G.; Lei, F. Cubic spline interpolation with optimal end conditions. J. Comput. Appl. Math. 2023, 425, 115039. [Google Scholar] [CrossRef]
- D’Amore, L.; Cacciapuoti, R.; Mele, V. A scalable Kalman filter algorithm: Trustworthy analysis on constrained least square model. Concurr. Comput. Pract. Exper. 2020, 33, e6022. [Google Scholar] [CrossRef]
- Jin, Y.; Guo, K.; Gao, X.; Li, Q. Tight Oil Well Productivity Prediction Model Based on Neural Network. Processes 2024, 12, 2088. [Google Scholar] [CrossRef]
- Yan, Y. Performance analysis with self-organizing map and recurrent neural network. Int. J. Model. Simul. Sci. Comput. 2022, 13, 2250059. [Google Scholar] [CrossRef]
- Ji, H.; Lou, Y.; Cheng, S.; Xie, Z.; Zhu, L. An Advanced Long Short-Term Memory (LSTM) Neural Network Method for Predicting Rate of Penetration (ROP). ACS Omega 2022, 8, 934–945. [Google Scholar] [CrossRef]
- Iordan, A.-E. An Optimized LSTM Neural Network for Accurate Estimation of Software Development Effort. Mathematics 2024, 12, 200. [Google Scholar] [CrossRef]
Disclaimer/Publisher’s Note: The statements, opinions and data contained in all publications are solely those of the individual author(s) and contributor(s) and not of MDPI and/or the editor(s). MDPI and/or the editor(s) disclaim responsibility for any injury to people or property resulting from any ideas, methods, instructions or products referred to in the content. |
© 2025 by the authors. Licensee MDPI, Basel, Switzerland. This article is an open access article distributed under the terms and conditions of the Creative Commons Attribution (CC BY) license (https://creativecommons.org/licenses/by/4.0/).












