Abstract
Cocoa bean shell (CBS), a by-product from the chocolate industry, is an interesting source of bioactive compounds. In this work, the effects of time and pH on the hydrothermal hydrolysis of CBS were evaluated with the aim of maximizing the extraction of antioxidant and functional compounds from this biomass. In general, all treatments tested led to improvements in the extraction of bioactive compounds compared to untreated samples. The maximum values for antioxidant activity (187 µmol TE/g CBS dw) and phenolic compounds (14.5 mg GAE/g CBS dw) were obtained when CBS was treated at pH 4 for 10 min. In addition, maximum amounts of flavonoids (10.1 mg CE/g CBS dw), tannins (6.5 mg CE/g CBS dw) and methylxanthines (9 mg/g CBS dw) were obtained under mild pH conditions (4–5). It is noteworthy that these values are higher than those reported in the literature for other vegetable substrates, highlighting the potential of CBS to be valorized as a source of different value-adding products.
1. Introduction
Environmental and economic issues relating to the generation of food wastes from the agri-food industry have led to a pressing need to find alternatives that allow the transformation of these residues into high-value bio-based products [1]. In this context, modern food industries are adopting the concept of the circular economy (CE) based on waste minimization, recovery and recycling, leading to more sustainable and environmentally friendly processes [2].
Generally, shells, peels and husks are the main residues from the agri-food industry, and these wastes can serve as potential substrates for obtaining high-quality products, such as antioxidants and phenolic compounds. The cocoa industry generates substantial amounts of residues and by-products every year (approximately 20 tons per ton of dry cocoa beans), including cocoa pod husk (CPH), cocoa bean shell (CBS) and mucilage [3]. CBS is the external shell that covers the cocoa bean, and it contributes to almost 20% of the total cocoa bean weight. Despite the fact that this by-product is usually discarded as waste, CBS is gaining increasing interest as a source of bioactive compounds since it contains diverse antioxidants, dietary fiber, carbohydrates, and proteins [4]. In particular, polyphenols such as flavonoids and tannins, along with methylxanthines (mainly theobromine and caffeine), contribute to health benefits derived from the consumption of cocoa products, due to their antioxidant, anti-tumor and anti-inflammatory properties [5]. Methylxanthines are commonly known for their physiological effects on the renal, respiratory, cardiovascular and central nervous system, as well as their anticarcinogenic properties. The main phenolic compounds present in CBS are flavanols, specifically catechin, epicatechin and procyanidins, while theobromine and caffeine are the major alkaloids found in this by-product [6]. Additionally, saponins are other secondary metabolites present in cocoa residues, exhibiting antibacterial, anti-inflammatory, antiviral, antiparasitic and hemolytic properties.
Conventional extraction methods using organic solvents (i.e., acetone, methanol, ethanol) have been widely employed to recover phenolic compounds and value-added products from plant-based materials. However, these technologies frequently require high energy and solvent consumptions and often entail the oxidation and denaturation of the extracted polyphenols [7]. An environmentally friendly alternative to organic solvents is the use of water as a solvent, which is particularly advantageous for extracting phenolic compounds from food-processing by-products, due to its non-flammable, non-corrosive and non-toxic properties. In particular, hydrothermal hydrolysis is commonly employed with lignocellulose raw materials because of its ability to increase the porosity of the material, facilitating the extraction of compounds of interest. In addition, this extraction method is cost-effective, simple to operate and avoids problems derived from the use of organic solvents [8]. Many processes used to extract functional compounds from vegetable matter are based on hydrothermal, acid or alkali pretreatments, due to their good results and feasibility for scaling up [9]. In fact, it has been reported that hydrothermal hydrolysis can break chemical bonds between phenolic compounds and cell wall components (i.e., proteins, cellulose and hemicellulose), allowing their extraction. Conversely, when organic solvents are employed, these bonds cannot be broken [10].
Some authors have reported the extraction of bioactive compounds from CBS using different techniques, including microwave-assisted extraction (MAE), ohmic heating, deep eutectic solvents, and organic solvents [11,12,13]. However, the use of hydrothermal hydrolysis for this purpose has been scarcely investigated. Therefore, the aim of the present work is to evaluate the effect of different hydrothermal hydrolyses performed under different operating conditions (time and pH) to maximize the sustainable recovery of a wide range of bioactive compounds from CBS.
2. Materials and Methods
2.1. Raw Material
CBS was supplied by a local chocolate factory located in Asturias (Spain) and was obtained after the roasting process of the Forastero variety of cocoa beans (Ivory Coast). The material was stored at room temperature (20 °C) until use.
2.2. Hydrothermal Hydrolysis
In order to maximize the extraction of bioactive compounds, different hydrolyses were carried out. A total of 15 g of CBS was mixed with 100 mL of distilled water (13% w/w) in a 250 mL Pyrex bottle, and the mixture was placed in an autoclave (AES 110 Raypa, Raypa, Spain). All hydrolyses were performed at 135 °C and 2 bar for different durations (3, 5, 7, 10 and 13 min) and at different pH levels (2, 3, 4, 5, 8 and 10). These conditions were selected based on previous assays [9]. The pH was adjusted by adding 1 M HCl (Merck, Rahway, NJ, USA) or 5 M NaOH (Merck, Rahway, NJ, USA) prior to the hydrolysis process. The temperature was selected by considering previous assays carried out with fruit and vegetable waste [8]. After hydrolysis, the mixture was centrifuged at 10,000 rpm for 15 min (Heraeus Multifuge X1 Centrifuge Series, Thermo Fisher Scientific, Waltham, MA, USA), and the recovered supernatant was filtered through a 20 µm cellulose filter. Finally, the pH was adjusted to between 6 and 7 using 5 M NaOH, and the samples were frozen until analysis.
2.3. Analytical Methods
2.3.1. Dry Extract
To express the results on a dry weight basis (dw) (w/w), the moisture content of CBS was determined by gravimetry. Briefly, 3 g of the sample was weighed with sea sand (Panreac, Monza, Italy) dried in a stainless-steel capsule. The mixture was then dried in an oven for 24 h at 105 °C and, after cooling, was weighed again. The dried extract and moisture content were calculated based on the difference between the initial and final weight, according to the following Equation (1):
where M0 is the weight of the capsule, M1 represents the weight of the capsule and sample before drying, and M2 is the weight of the capsule and sample after drying. Once the moisture content was determined, the percentage of dry extract was calculated as follows:
Dry extract (%) = 100 − moisture content (%)
2.3.2. Antioxidant Activity
The antioxidant activity of the samples was determined using the ABTS (2′2-azino-bis-(3-ethylbenzothiazoline-6-sulfonic-acid)) method as described by Botella-Martinez et al. (2021) [14] with some modifications. In brief, 3.9 mL of ABTS radical solution was added to 100 µL of sample and the mixture was incubated for 30 min at room temperature. Finally, the absorbance was measured at 734 nm using a spectrophotometer (AnalytikJena Spekol 1300/1500, Jena, Germany). Trolox (6-hydroxy-2,5,7,8-tetramethylchroman-2-carboxylic acid) (Sigma Aldrich, St. Louis, MO, USA) was employed as a standard, and the results were expressed as µmol of Trolox equivalents (TE) per gram of dried CBS.
2.3.3. Total Phenolics
The total phenolic content (TPC) in the samples was determined using Folin–Ciocalteu’s method, according to the procedure described by Sánchez et al. (2022) [8]. In brief, 400 µL of the sample was mixed with 3 mL of Folin–Ciocalteu reagent 1:10 (VWR, France), and the mixture was incubated at 22 °C for 5 min. Subsequently, 3 mL of sodium bicarbonate (6% w/w) was added to the sample, and it was further incubated at 22 °C for 90 min. Finally, the absorbance was measured at 725 nm using a spectrophotometer (AnalytikJena Spekol 1300/1500, Jena, Germany). Gallic acid (Sigma-Aldrich, St. Louis, MO, USA) was employed as a standard, and the results were expressed as mg of gallic acid equivalents (GAE) per gram of dried CBS.
2.3.4. Total Flavonoids
The total flavonoid content (TFC) was determined using the aluminum chloride method. Briefly, 0.3 mL of 5% NaNO2 was added to 100 µL of the sample, as well as 4 mL of distilled water. The mixture was incubated for 5 min at room temperature. Then, 0.3 mL of 10% AlCl3 was added to the sample, and the incubation continued for an additional 6 min at room temperature. Finally, 2 mL of 1 M NaOH and 3.3 mL of distilled water were added to the sample, and after homogenizing, the absorbance was measured at 510 nm using a spectrophotometer (Thermo Scientific™UV-Vis GENESYS™ 150, Madison, WI, USA). Catechin (Sigma-Aldrich, St. Louis, MO, USA) was used as a standard, and the results were expressed as catechin equivalents (CE) per gram of dried CBS.
2.3.5. Condensed Tannins
The condensed tannin content was obtained using the vanillin method. An aliquot of 0.25 mL of sample was mixed with 1.5 mL of 4% vanillin solution in methanol and 0.75 mL of 37% HCl. The mixture was incubated at 30 °C for 15 min and the absorbance was measured at 500 nm using a spectrophotometer (Thermo Scientific™UV-Vis GENESYS™ 150, Madison, WI, USA). Catechin (Sigma-Aldrich, St. Louis, MO, USA) was used as a standard, and the results were expressed as catechin equivalents (CE) per gram of dried CBS.
2.3.6. Total Saponins
The total saponin content (TSC) of the extracts was determined using the vainillin–sulfuric acid method. Assays were conducted by mixing 0.25 mL of the sample with 0.25 mL of 8% vanillin solution and 2.5 mL of 72% H2SO4, and the mixture was homogenized and incubated at 70 °C for 15 min. Afterwards, the samples were cooled on ice and the absorbance was measured at 560 nm using a spectrophotometer (Thermo Scientific™UV-Vis GENESYS™ 150, Madison, WI, USA). Escin (Sigma-Aldrich, St. Louis, MO, USA) was employed as a standard, and the results were expressed as escin equivalents (EE) per gram of dried CBS.
2.3.7. Catechin, Epicatechin and Methylxanthines
The amounts of specific flavonols (catechin and epicatechin) and methylxanthines (theobromine and caffeine) were analyzed by HPLC using a 1200 Series model (Agilent Technologies, Santa Clara, CA, USA) with a ZORBAX Extend-C18-5 µm column (Agilent Technologies, Santa Clara, CA, USA). The mobile phase consisted of 0.1% (v/v) phosphoric acid/acetonitrile, with a flow rate of 1 mL/min and a column temperature of 40 °C. The gradient elution was as follows: 0 min 10% acetonitrile; 7.5 min 15% acetonitrile; and 15 min 27% acetonitrile.
2.4. Statistical Analysis
All analyses were performed, at least, in triplicate. GraphPad Prism software (version 9.0; GraphPad Software Inc., San Diego, CA, USA) was used for the statistical analysis. Results were expressed as the mean ± standard deviation (SD). The analysis of variance (ANOVA) and Tukey’s multiple comparison test were used for the statistical analysis with a 95% confident interval (p < 0.05).
3. Results and Discussion
The statistical analyses of the results are presented in Tables S1–S6 of the Supplementary Materials.
3.1. Antioxidant Capacity and TPC
CBS is recognized as one of the plant-based residues with the highest antioxidant activity. It has been demonstrated that, due to their antioxidant properties, phenolic compounds from cocoa by-products, particularly flavanols, can act against oxidative stress related to harmful pathogenesis in humans, such as cancer and degenerative diseases. Alkaline and acid hydrolysis are two of the most common methods employed to extract phenolic compounds and antioxidants from different vegetable wastes [15]. For this reason, the antioxidant capacity and TPC of the samples obtained from different hydrothermal hydrolysis processes were evaluated at different pH levels. Figure 1 illustrates the evolution of the antioxidant capacity (a) and total phenolic content (b) over the duration of the treatment at the different pH values tested.
Figure 1.
(a) Antioxidant capacity and (b) TPC obtained from CBS subjected to hydrothermal treatments at 135 °C and 2 bar, expressed in µmol TE/g CBS (dry weight) and mg GAE/g CBS (dry weight), respectively, at different initial pH values: 2 (•), 3 (■), 4 (□), 5 (▲), 8 (x) and 10 (○).
As shown in Figure 1a, the thermal treatment significantly increased (p < 0.05) the antioxidant capacity of the extracts in all the experiments. The maximum antioxidant capacity (187.3 µmol TE/g CBS (dw)) was achieved in samples treated at 135 °C for 10 min under slightly acidic conditions (pH 4), whereas the lowest antioxidant activities were obtained when the initial pH of the medium was adjusted to 2. Notably, except for pH 4, no significant differences (p > 0.05) were observed in the antioxidant capacity of the samples from 7 min onward. Overall, hydrothermal treatment resulted in a substantial increase (80–200%) in the extraction of antioxidant activity compared to the untreated samples.
These results are consistent with the findings reported by Grillo et al. (2019) [16] for cocoa wastes using ethanol/water mixtures as solvents. These authors evaluated the effectiveness of ultrasound-assisted extraction on the recovery of bioactive compounds from CBS at 40 °C using a hydroalcoholic solution (70:30 ethanol/water) and obtained a maximum antioxidant activity of 204 µmol TE/g CBS, a value of the same order of magnitude as those obtained here at pH 4. Additionally, Martínez et al. (2012) [17] studied the antioxidant properties of hydroalcoholic extracts from CBS, employing a methanol/water mixture (50:50 v/v) at room temperature for 60 min and pH 2. In this case, the maximum antioxidant capacity achieved was 43 µmol TE/g CBS, similar to that obtained in this work with the untreated samples using only water. It has been reported that acid and alkali hydrolysis can liberate bioactive compounds from the food matrix into the liquid fraction. This is associated with the type and the proportion of covalent bonds present in the food matrix. Bioactive compounds are often present as insoluble-bound complexes coupled with cell wall polymers of the food matrix, which are not extractable by organic solvents and can only be liberated using acid or basic hydrolysis [18].
Consistent with the results obtained for the antioxidant activity, the maximum TPC (14.5 mg GAE/g CBS dry weight (dw)) was detected in samples treated at 135 °C with the pH of the medium adjusted to 4 and 8. As the antioxidant capacity showed a maximum value at pH 4 after 10 min of treatment, and the TPC values were similar after 7 and 10 min, it can be inferred that this maximum value was due to the extraction of non-phenolic antioxidant compounds, such as ascorbic acid, vitamins, carotenoids, unsaturated fatty acids, and dietary fibers commonly present in food residues [19,20]. Hydrolysis with pH ≤ 3 resulted in the lowest TPC, and in all cases, there were significant differences (p < 0.05) between the samples before and after the thermal treatment. These findings align with those obtained by Hernandez-Hernandez et al. (2018) [21], where different methodologies were evaluated for obtaining TPC from CBS. The maximum TPC obtained by these authors was 14.6 mg GAE/g CBS when using methanol (80% v/v) as a solvent for one hour at 70 °C. An almost identical value was obtained here after only 7 min using water as a solvent. Additionally, they observed lower TPC values at pH 3 (around 9.4 mg GAE/g CBS). Furthermore, Mellinas et al. (2020) [4] studied the effect of pH on the extraction of different bioactive compounds from CBS employing microwave-assisted extraction using water as a solvent (4% w/v). Their results showed that at pH 2, the TPC obtained was lower than that obtained at pH 7.
It is noteworthy that during the initial minutes of the treatment, the best results were obtained at the most basic pH. Under alkaline conditions, the cell wall was degraded, and the hydroxyl groups present in phenolic compounds were deprotonated, increasing their affinity for the liquid phase, which usually leads to higher extraction yields [10]. However, after this initial period, the TPC decreased at pH 10. Some studies have reported that prolonged extraction times can lead to a reduction in the phenolic content due to polyphenol oxidation [22]. Additionally, it has been reported that acid hydrolysis carried out at elevated temperatures can involve a loss of phenolic content due to their instability at low pH, leading to degradation during the extraction. This may explain the low values obtained at pH 2 and 3.
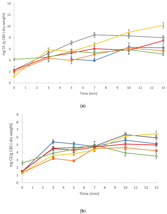
3.2. Flavonoids, Flavanols and Tannins
Flavonoids are one of the main groups of phenolic compounds that have been extensively investigated due to their anti-oxidative, anti-inflammatory, and cardio-protective functionalities.
Figure 2a illustrates the TFC obtained in the resulting samples from hydrolysis at different times and pH levels. The TFC varied considerably among the treated samples, with values that ranged from around 4 mg CE/g CBS (dw) for samples treated at basic or very acid pH values (2, 3, 8 and 10) during 5 min to 10.1 mg CE/g CBS (dw) for extracts obtained at pH 5 after 13 min of treatment. As shown in Figure 2a, the use of severe acidic (pH 2 and 3) or basic (pH 10) conditions resulted in a lower extraction of these compounds compared to slightly acid or alkaline pH values (4, 5 and 8). Hydrothermal treatment significantly enhanced (p < 0.05) the extraction of flavonoids for all conditions tested, achieving a higher amount of flavonoids for all conditions tested, except at pH 10, where no significant differences were observed (p > 0.05) between untreated and treated samples. Additionally, it is noteworthy that flavonoids were important contributors to the TPC, as made evident from the comparison between Figure 1b and Figure 2a.
Figure 2.
(a) TFC and (b) TTC obtained from CBS subjected to hydrothermal treatments at 135 °C and 2 bar, expressed in mg CE/g CBS (dry weight) at different initial pH values: 2 (•), 3 (■), 4 (□), 5 (▲), 8 (x) and 10 (○).
These results are consistent with findings reported in the literature for different plant-based matrices. For instance, Rebollo-Hernanz et al. (2021) [23] reported an amount of TFC of 6.2 mg CE/g CBS when CBS was subjected to heat-assisted extraction (65 °C, 5 min and 3.5% (w/v)) at pH 2, the same values as those obtained here at pH 2 after 13 min of treatment. Additionally, Devi et al. (2021) [24] studied the effect of different pH levels (4, 7 and 9) on the aqueous extraction of different phenolic compounds from Asparagus racemosus. Their results showed that the flavonoid content was higher at slightly acid or slightly alkali pH (1.7 mg CE/g and 2.8 mg CE/g at pH 4 and 9, respectively) compared to those at a neutral pH. This behavior is similar to what was observed here, although the TFC achieved in the present study was much higher after the thermal treatment.
Tannins are polyphenols composed of flavan-3-ol units widely present in plants and known for their interesting anti-inflammatory properties. Figure 2b illustrates the evolution of the total tannin content over time at different pH values. As can be observed, significantly different TTCs were obtained (p < 0.05) after treatment for all of the tested pH values. As was observed in the case of the TFC, the maximum amount of tannins was achieved in samples with an initial pH adjusted to 5 (6.5 mg CE/g CBS dw) after 13 min, while, once again, the use of very alkali conditions (pH 10) resulted in extracts with the lowest TTC (3.5 mg CE/g CBS dw) after 13 min of treatment. Generally, tannin extraction increased with treatment time, with significant differences observed in all cases (p < 0.05). However, prolonged exposure to high temperatures may lead to the degradation of some tannin dimers [25], as observed at pH 2. In samples with this initial pH, the TTC was highest after 3 min of treatment, whereas this value decreased with time, and after 10 min of treatment, it was lower than the TTCs obtained at pH 4–5. It has been reported that prolonged extraction times along with excessive acidification can deteriorate the TTC structure and impair its extraction, since their profile could be distorted due to the hydrolysis of other compounds such as glycosides [26]. TTC accounted for more than 60% of the TFC. These results are similar to those reported in the literature using other methodologies. For example, Rojo-Poveda et al. (2021) [27] reported TTCs ranging from 1.2 to 10 mg CE/g CBS employing ethanol (50:50 v/v) as a solvent (5% w/v) for 2 h at room temperature. Delgado-Ospina et al. (2021) [28] evaluated the potential of CBS as a source of bioactive compounds, and a maximum TTC of 1.3 mg CE/g was achieved when CBS was extracted with 80% (v/v) methanol for 30 min at a 10% solid/liquid ratio, similar to the values obtained here for the untreated samples.
Flavanols, particularly catechin and epicatechin, have been identified as a major class of flavonoids present in CBS, known for their potential beneficial and protective effects on human health [29]. For this reason, catechin and epicatechin were specifically identified and quantified in the CBS extracts. Figure 3 shows the amount of catechin (Figure 3a) and epicatechin (Figure 3b) extracted from the hydrolysates. In all the analyzed treated samples, the content of epicatechin was slightly higher (p < 0.05) than that of catechin. The maximum amounts of both catechin and epicatechin were achieved in extracts with an initial pH adjusted to 4 (0.2 and 0.3 mg/g CBS (dw), respectively). This finding aligns with the results obtained for the antioxidant activity, since it has been reported that these flavanols are responsible for the antioxidant activity of polyphenols present in CBS [30].

Figure 3.
(a) Catechin and (b) epicatechin obtained from CBS subjected to hydrothermal treatments at 135 °C and 2 bar, expressed in mg mg/g CBS (dry weight) at different initial pH values: 2 (•), 3 (■), 4 (□), 5 (▲), 8 (x) and 10 (○).
Thermal treatment significantly enhanced the extraction of catechin and epicatechin in all cases, leading to an increase of 70–85% compared to the untreated samples (p < 0.05). It is noteworthy that for catechin (Figure 3a), no significant differences were observed (p > 0.05) between 5 and 10 min of treatment in samples with initial pH values of 2, 5, 8 and 10. In contrast, under the optimal pH conditions (pH 4), it was observed that, generally, longer treatment times resulted in higher amounts of catechin. Regarding epicatechin (Figure 3b), it was observed that treatment times exceeding 10 min led to the degradation of this flavanol for most of the pH conditions tested. The extraction of these flavanols from CBS is influenced by two different processes: the solubilization of catechin and epicatechin and their degradation into other different products. This mechanism can be observed in Figure 3b at pH 4, where there was a clear maximum at 10 min of treatment. There are some studies in the literature that demonstrate that catechin degradation depends on the pH of the system. Vuong et al. (2013) [31] reported that individual catechins usually maintain their stability at a pH of 4 or slightly lower, with extraction efficiency decreasing at higher pH levels, probably due to their degradation, which is known to occur at a pH of 5 and above [32]. Additionally, Kurimilla et al. (2022) [33] reported that, although catechins are usually stable at acidic pH levels up to 4, extremely low pH conditions can enhance their degradation when employing high extraction temperatures. This aligns with the result obtained here, where higher amounts of catechin for treatment times exceeding 5 min were notably obtained for pH 4.
Comparing the results obtained with similar studies, Kovač et al. (2021) [34] obtained 0.28 mg of catechin and 0.27 mg of epicatechin per g of CBS using high-voltage electrical discharge (HVED) for 30 min with a solid/liquid ratio of 1:30, similar to the values obtained in this work. However, Barišić et al. (2021) [35], who evaluated the use of HVED on the extraction of CBS phenolic components in water (3% w/v), obtained extracts with maximum amounts of catechin and epicatechin of 0.07 and 0.08 mg/g, respectively, after 15 min of treatment, significantly lower values than those obtained in the present work when the pH was adjusted to 4.
3.3. Saponins
Saponins are secondary metabolites present in plant-based matrices that exhibit antioxidant properties. In particular, cocoa saponins have shown hepatoprotective effects in acute liver injuries due to their antioxidant properties [36]. Moreover, saponins are increasingly utilized as environmentally friendly substitutes for synthetic surfactants in many industries such as cosmetics, chemicals, pharmaceuticals and food. Hence, the amount of saponins extracted in the hydrolysates are quantified. As illustrated in Figure 4, the highest amount of saponins (52.6 mg EE/g CBS (dw)) was achieved in samples at pH 4. As had occurred with the phenolic compounds, severe acidic or basic conditions (pH ≤ 3 and pH ≥ 10) resulted in decreased saponin content compared to the extracts with a slightly acid or slightly alkali pH (4, 5 and 8). Notably, across all pH levels tested, no significant differences (p > 0.05) were observed for samples treated between 10 and 13 min. Additionally, for pH 5 and 8, very small significant differences between the samples treated for 10 min were observed, whereas for shorter times, the TSC was higher for pH 8.
Figure 4.
TSC obtained from CBS subjected to hydrothermal treatments at 135 °C and 2 bar, expressed in mg mg escin/g CBS (dry weight) at different initial pH values: 2 (•), 3 (■), 4 (□), 5 (▲), 8 (x) and 10 (○).
The extraction of saponins from cocoa residues has scarcely been investigated. Nguyen et al. (2021) [37] studied the influence of different dehydration techniques, followed by water extraction (1% w/v) for one hour at 50 ºC, on the extraction of bioactive compounds from cocoa pod husk. These authors obtained a maximum saponin content of 31.5 mg EE/g, which was 40% lower than the TSC achieved in the present study at pH 4. However, the same authors optimized their extraction method and achieved an amount of saponins between 29.8 and 64.7 mg EE/g CPH using microwave-assisted extraction. On the contrary, Kayaputri et al. (2020) [38], who employed ethanol, did not detect saponins in the cocoa shell and husk extracts. Interestingly, the former authors affirmed that saponin, being a non-polar compound, cannot be dissolved in polar solvents. However, as demonstrated in Figure 4 and reported by Nguyen et al. (2021) [37], saponins can indeed be extracted employing just water, a polar solvent. Additionally, Abulude et al. (2022) [39] obtained saponins from the stem (bark) and leaves of cocoa trees (Theobroma cacao L.) using water in even higher amounts than when ethanol or chloroform were used as solvents. Saponins are high-molecular-weight glycosides that contain triterpene or spirostan aglycone and one or more sugar chains. These compounds exhibit an amphiphilic characteristic structure due to the different degrees of lipophilicity of aglycones and the strong hydrophilicity of the sugar chains.
With plant matrices, hot and cold extraction procedures which use different solvents such as water, methanol, ethanol and chloroform, sometimes combined with acid hydrolysis, have been used for the extraction of saponins. For example, Ajiboso et al. (2022) [40] found that petroleum ether was the most suitable solvent for maximum saponin extraction from cocoa trees. Saponins display high structural variability and exhibit a wide range of physical, chemical and biological properties based on the type of aglycone and type of monosaccharides. Therefore, the effectiveness of the extraction method depends on the specific matrix. However, it is important to note that the use of organic solvents can pose environmental problems in terms of waste management and even exhibit toxicity in the final extract. The results obtained in this work (Figure 4) prove that the effective extraction of saponins from the CBS can be achieved using water, simply by controlling the temperature and pH.
3.4. Methylxanthines
Methylxanthines are another secondary metabolite present in cocoa in significant amounts, particularly theobromine and caffeine, which are associated with various beneficial effects on the cardiovascular, respiratory, and gastrointestinal systems. Figure 5 shows the amounts of theobromine and caffeine obtained in the samples before and after treatment at 135 °C and 2 bar, at different pH levels and durations. Regarding theobromine (Figure 5a), the highest amount of this compound (9.4 mg/g CBS (dw)) was achieved in samples treated at pH 4 during 13 min. Regarding the acid treatments (pH 2, 3 and 4), as the pH of the samples increased, the extraction of theobromine also increased for the final time. In alkaline treatments (pH 8 and 10), as the pH of the samples increased, the amount of theobromine also increased, with values lower than those obtained in the pH range between 3 and 4. It has been reported that alkali hydrolysis can result in a reduction in the methylxanthine content, compared to acid or neutral treatments [41]. Regarding the caffeine content (Figure 5b), similar to theobromine, the maximum amount (3.5 mg/g CBS (dw)) was obtained in samples at pH 4. It can be observed that, as the treatment time increased, more caffeine was extracted, except for samples at pH 2 and 4. In the first case, after 7 min of treatment, the amount of caffeine decreased, and at pH 4, it remained almost constant. These results highlight that an initial slightly acidic pH improves the extraction of both methylxanthines.

Figure 5.
(a) Theobromine and caffeine (b) obtained from CBS subjected to hydrothermal treatments at 135 °C and 2 bar, expressed in mg/g CBS (dry weight) at different initial pH values: 2 (•), 3 (■), 4 (□), 5 (▲), 8 (x) and 10 (○).
In addition to pH, temperature has been reported to influence the decomposition of methylxanthines. For example, Barreto et al. (2024) [42] analyzed the thermal breakdown of different methylxanthines and found that temperatures above 140 °C led to the decomposition of some methylxanthines such as caffeine and aminophylline. The authors concluded that heating rates clearly influence the thermal degradation of these compounds. The temperature employed in this study was close to 140 °C, and the decrease in the amount extracted for longer treatment times at pH ≤ 3 and pH ≥ 8, observed in Figure 5a, proved that theobromine extraction occurs in parallel to its decomposition.
The yields obtained for methylxanthine extraction from CBS are consistent with those described in the literature. For instance, Botella-Martinez et al. (2021) [9] obtained theobromine in amounts between 7.1 and 12.7 mg/g CBS when using an acidified methanol/water mixture (80:20 v/v) as a solvent (10% w/v), which aligns with the values detected here under acid conditions (5.6 to 9.4 mg/g CBS (dw)). In addition, Okiyama et al. (2018) [25], employing pressurized liquid extraction (PLE) during 5 to 50 min and a solid/liquid ratio of 1:3 (w/v) with absolute ethanol, obtained a maximum amount of theobromine of 9.9 mg/g CBS, closely matching the highest value obtained here (9.4 mg/g CBS (dw)). Additionally, these authors reported a maximum caffeine amount of 0.8 mg/g CBS (dw), almost 5 times lower than the maximum amount obtained here.
4. Conclusions
A screening of the effect of time and pH on the extraction of bioactive compounds from CBS using hydrothermal hydrolysis has been conducted. Most of the treatments employed increased the extraction of bioactive compounds compared to untreated samples. Overall, antioxidant activities, TPC, TFC, TTC, TSC and concentrations of individual flavanols (catechin and epicatechin) and methylxanthines (theobromine and caffeine) in the CBS extracts were higher when the pH of the samples was slightly acid (pH 4) before the thermal treatment, with optimal results observed at treatment times around 10 min. Conversely, the lowest antioxidant activity and TPC values were achieved at initial pH levels below or equal to 3. Generally, the amounts of bioactive compounds found in this work, particularly methylxanthines, TPC and TTC, exceeded those reported in the literature for extracts from other vegetable wastes.
These results highlight the potential of CBS as a source of bioactive compounds, which, in addition, can be easily extracted by a hydrothermal treatment in suitable optimal conditions. The use of this by-product may help to reduce the accumulation of agri-food wastes, as well as promote the advancement of circular economy principles. The CBS extracts obtained from hydrothermal hydrolysis exhibit a high content of bioactive compounds, making them ideal to be employed in nutraceutical applications and food formulations due to their antioxidant properties. Regarding future research, the investigation of the processes that enable the concentration and/or separation of these compounds of interest could be an interesting aspect to take into account in order to consider the possible optimization and scaling of the process.
Supplementary Materials
The following supporting information can be downloaded at: https://www.mdpi.com/article/10.3390/pr12050956/s1, Table S1: Values of different bioactive compounds analyzed in broths at pH 2; Table S2: Values of different bioactive compounds analyzed in broths at pH 3; Table S3: Values of different bioactive compounds analyzed in broths at pH 4; Table S4: Values of different bioactive compounds analyzed in broths at pH 5; Table S5: Values of different bioactive compounds analyzed in broths at pH 8; Table S6: Values of different bioactive compounds analyzed in broths at pH 10.
Author Contributions
All authors contributed to the study conception and design. The conceptualization, investigation, data curation and formal analysis were performed by M.S., T.B. and A.L. (Amanda Laca). The first draft of the manuscript was written by M.S. The revision and editing of the manuscript were performed by A.L. (Amanda Laca) and A.L. (Adriana Laca). Funding acquisition and supervision were performed by M.D. All authors have read and agreed to the published version of the manuscript.
Funding
This study was conducted thanks to funding from the Economy and Employment Office of the Principality of Asturias (Spain) through the project GRUPIN AYUD/2021/51041.
Institutional Review Board Statement
Not applicable.
Informed Consent Statement
Not applicable.
Data Availability Statement
The data that support the findings of this study are available from the corresponding author upon reasonable request.
Acknowledgments
Chocolates Lacasa is gratefully acknowledged for supplying the cocoa bean shell employed in this work.
Conflicts of Interest
The authors declare no conflicts of interest.
References
- Sánchez, M.; Laca, A.; Laca, A.; Díaz, M. Value-added Products from Fruit and Vegetable Wastes: A Review. CLEAN—Soil Air Water 2021, 49, 2000376. [Google Scholar] [CrossRef]
- Sánchez, M.; Laca, A.; Laca, A.; Díaz, M. Cocoa Bean Shell: A By-Product with High Potential for Nutritional and Biotechnological Applications. Antioxidants 2023, 12, 1028. [Google Scholar] [CrossRef] [PubMed]
- Sánchez, M.; Laca, A.; Laca, A.; Díaz, M. Cocoa Bean Shell as Promising Feedstock for the Production of Poly(3-Hydroxybutyrate) (PHB). Appl. Sci. 2023, 13, 975. [Google Scholar] [CrossRef]
- Mellinas, A.C.; Jiménez, A.; Garrigós, M.C. Optimization of Microwave-Assisted Extraction of Cocoa Bean Shell Waste and Evaluation of Its Antioxidant, Physicochemical and Functional Properties. LWT 2020, 127, 109361. [Google Scholar] [CrossRef]
- Barbosa-Pereira, L.; Guglielmetti, A.; Zeppa, G. Pulsed Electric Field Assisted Extraction of Bioactive Compounds from Cocoa Bean Shell and Coffee Silverskin. Food Bioprocess Technol. 2018, 11, 818–835. [Google Scholar] [CrossRef]
- Rojo-poveda, O.; Barbosa-pereira, L.; Zeppa, G.; St, C. Cocoa Bean Shell—A By-Product with Nutritional Properties and Biofunctional Potential. Nutrients 2020, 12, 1123. [Google Scholar] [CrossRef] [PubMed]
- Ferreira-Santos, P.; Genisheva, Z.; Pereira, R.N.; Teixeira, J.A.; Rocha, C. Moderate Electric Fields as a Potential Tool for Sustainable Recovery of Phenolic Compounds from Pinus Pinaster Bark. ACS Sustain. Chem. Eng. 2019, 7, 8816–8826. [Google Scholar] [CrossRef]
- Lv, Y.; Zhang, Y.; Xu, Y. Understanding and Technological Approach of Acid Hydrolysis Processing for Lignocellulose Biorefinery: Panorama and Perspectives. Biomass Bioenergy 2024, 183, 107133. [Google Scholar] [CrossRef]
- Sánchez, M.; Laca, A.; Laca, A.; Díaz, M. Towards Food Circular Economy: Hydrothermal Treatment of Mixed Vegetable and Fruit Wastes to Obtain Fermentable Sugars and Bioactive Compounds. Environ. Sci. Pollut. Res. 2022, 30, 3901–3917. [Google Scholar] [CrossRef] [PubMed]
- Seke, F.; Manhivi, V.E.; Shoko, T.; Slabbert, R.M.; Sultanbawa, Y.; Sivakumar, D. Extraction Optimisation, Hydrolysis, Antioxidant Properties and Bioaccessibility of Phenolic Compounds in Natal Plum Fruit (Carissa macrocarpa). Food Biosci. 2021, 44, 101425. [Google Scholar] [CrossRef]
- Mashuni; Hamid, F.H.; Muzuni; Kadidae, L.O.; Jahiding, M.; Ahmad, L.O.; Saputra, D. The Determination of Total Phenolic Content of Cocoa Pod Husk Based on Microwave-Assisted Extraction Method. AIP Conf. Proc. 2020, 1, 2243. [Google Scholar] [CrossRef]
- Sanchez, M.; Ferreira-Santos, P.; Gomes-Dias, J.S.; Laca, A.; Rocha, C.M.R. Ohmic Heating-Based Extraction of Biocompounds from Cocoa Bean Shell. Food Biosci. 2023, 54, 102886. [Google Scholar] [CrossRef]
- Benítez-Correa, E.; Bastías-Montes, J.M.; Acuña-Nelson, S.; Muñoz-Fariña, O. Effect of Choline Chloride-Based Deep Eutectic Solvents on Polyphenols Extraction from Cocoa (Theobroma cacao L.) Bean Shells and Antioxidant Activity of Extracts. Curr. Res. Food Sci. 2023, 7, 100614. [Google Scholar] [CrossRef]
- Botella-Martínez, C.; Lucas-Gonzalez, R.; Ballester-Costa, C.; Pérez-álvarez, J.Á.; Fernández-López, J.; Delgado-Ospina, J.; Chaves-López, C.; Viuda-Martos, M. Ghanaian Cocoa (Theobroma cacao L.) Bean Shells Coproducts: Effect of Particle Size on Chemical Composition, Bioactive Compound Content and Antioxidant Activity. Agronomy 2021, 11, 401. [Google Scholar] [CrossRef]
- Đurović, S.; Nikolić, B.; Luković, N.; Jovanović, J.; Stefanović, A.; Šekuljica, N.; Mijin, D.; Knežević-Jugović, Z. The Impact of High-Power Ultrasound and Microwave on the Phenolic Acid Profile and Antioxidant Activity of the Extract from Yellow Soybean Seeds. Ind. Crops Prod. 2018, 122, 223–231. [Google Scholar] [CrossRef]
- Grillo, G.; Boffa, L.; Binello, A.; Mantegna, S.; Cravotto, G.; Chemat, F.; Dizhbite, T.; Lauberte, L.; Telysheva, G. Cocoa Bean Shell Waste Valorisation; Extraction from Lab to Pilot-Scale Cavitational Reactors. Food Res. Int. 2019, 115, 200–208. [Google Scholar] [CrossRef] [PubMed]
- Martínez, R.; Torres, P.; Meneses, M.A.; Figueroa, J.G.; Pérez-Álvarez, J.A.; Viuda-Martos, M. Chemical, Technological and in Vitro Antioxidant Properties of Cocoa (Theobroma cacao L.) Co-Products. Food Res. Int. 2012, 49, 39–45. [Google Scholar] [CrossRef]
- Li, W.; Yang, R.; Ying, D.; Yu, J.; Sanguansri, L.; Augustin, M.A. Analysis of Polyphenols in Apple Pomace: A Comparative Study of Different Extraction and Hydrolysis Procedures. Ind. Crops Prod. 2020, 147, 112250. [Google Scholar] [CrossRef]
- do Nascimento, R.D.P.; Moya, A.M.T.M.; da Fonseca Machado, A.P.; Geraldi, M.V.; Diez-Echave, P.; Vezza, T.; Galvez, J.; Cazarin, C.B.B.; Maróstica Junior, M.R. Review on the Potential Application of Non-Phenolic Compounds from Native Latin American Food Byproducts in Inflammatory Bowel Diseases. Food Res. Int. 2021, 139, 109796. [Google Scholar] [CrossRef] [PubMed]
- Zhang, A.; Zeng, L.; Bo, H.; Hardie, W.J. Sulphite-Corrected, Non-Phenolic and Phenolic Antioxidant Capacities of Fruit Wines Profiled by Differential Folin-Ciocalteu Assay. Int. J. Food Sci. Technol. 2022, 57, 1259–1272. [Google Scholar] [CrossRef]
- Hernández-Hernández, C.; Viera-Alcaide, I.; Morales-Sillero, A.M.; Fernández-Bolaños, J.; Rodríguez-Gutiérrez, G. Bioactive Compounds in Mexican Genotypes of Cocoa Cotyledon and Husk. Food Chem. 2018, 240, 831–839. [Google Scholar] [CrossRef] [PubMed]
- Mokrani, A.; Madani, K. Effect of Solvent, Time and Temperature on the Extraction of Phenolic Compounds and Antioxidant Capacity of Peach (Prunus persica L.) Fuit. Sep. Purif. Technol. 2016, 162, 68–76. [Google Scholar] [CrossRef]
- Rebollo-Hernanz, M.; Cañas, S.; Taladrid, D.; Segovia, Á.; Bartolomé, B.; Aguilera, Y.; Martín-Cabrejas, M.A. Extraction of Phenolic Compounds from Cocoa Shell: Modeling Using Response Surface Methodology and Artificial Neural Networks. Sep. Purif. Technol. 2021, 270, 118779. [Google Scholar] [CrossRef]
- Devi, P.; Singh, S.; Sangwan, S.; Moond, M. Effect of pH on Phytochemical and Antioxidant Potential of Satawar Tubers (Asparagus Racemosus Willd.). J. Antioxid. Act. 2021, 2, 42–50. [Google Scholar] [CrossRef]
- Okiyama, D.C.G.; Soares, I.D.; Cuevas, M.S.; Crevelin, E.J.; Moraes, L.A.B.; Melo, M.P.; Oliveira, A.L.; Rodrigues, C.E.C. Pressurized Liquid Extraction of Flavanols and Alkaloids from Cocoa Bean Shell Using Ethanol as Solvent. Food Res. Int. 2018, 114, 20–29. [Google Scholar] [CrossRef]
- Gil-Martín, E.; Forbes-Hernández, T.; Romero, A.; Cianciosi, D.; Giampieri, F.; Battino, M. Influence of the Extraction Method on the Recovery of Bioactive Phenolic Compounds from Food Industry By-Products. Food Chem. 2022, 378, 131918. [Google Scholar] [CrossRef] [PubMed]
- Rojo-Poveda, O.; Zeppa, G.; Ferrocino, I.; Stévigny, C.; Barbosa-Pereira, L. Chemometric Classification of Cocoa Bean Shells Based on Their Polyphenolic Profile Determined by Rp-Hplc-Pda Analysis and Spectrophotometric Assays. Antioxidants 2021, 10, 1533. [Google Scholar] [CrossRef] [PubMed]
- Delgado-Ospina, J.; Lucas-González, R.; Viuda-Martos, M.; Fernández-López, J.; Pérez-Álvarez, J.Á.; Martuscelli, M.; Chaves-López, C. Bioactive Compounds and Techno-Functional Properties of High-Fiber Co-Products of the Cacao Agro-Industrial Chain. Heliyon 2021, 7, e06799. [Google Scholar] [CrossRef] [PubMed]
- Cinar, Z.Ö.; Atanassova, M.; Tumer, T.B.; Caruso, G.; Antika, G.; Sharma, S.; Sharifi-Rad, J.; Pezzani, R. Cocoa and Cocoa Bean Shells Role in Human Health: An Updated Review. J. Food Compos. Anal. 2021, 103, 104115. [Google Scholar] [CrossRef]
- Dos Anjos, S.M.; Martins, M.V.; de Souza, V.B.; Tulini, F.L. Evaluation of the Nutritional Composition of Cocoa Bean Shell Waste (Theobroma cacao) and Application in the Production of a Phenolic-Rich Iced Tea. J. Culin. Sci. Technol. 2021, 21, 818–828. [Google Scholar] [CrossRef]
- Vuong, Q.V.; Golding, J.B.; Stathopoulos, C.E.; Roach, P.D. Effects of Aqueous Brewing Solution PH on the Extraction of the Major Green Tea Constituents. Food Res. Int. 2013, 53, 713–719. [Google Scholar] [CrossRef]
- Zeng, L.; Ma, M.; Li, C.; Luo, L. Stability of Tea Polyphenols Solution with Different PH at Different Temperatures. Int. J. Food Prop. 2017, 20, 983605. [Google Scholar] [CrossRef]
- Kurimilla, D.; Vangalapati, M.; Myneni, V.R. Extraction of Catechins from Aegle Marmelos Fruit Pulp: Statistical Optimization Using Response Surface Methodology and Artificial Neural Networks. Int. J. Chem. Eng. 2022, 2022, 4933015. [Google Scholar] [CrossRef]
- Kovač, M.; Šubarić, D.; Jozinović, A.; Babić, J.; Bekavac, J.; Jokić, S.; Barišić, V.; Ačkar, Đ.; Miličević, B. Application of Coca Bean Shell Extracts in the Production of Corn Snack Products. Food Health Dis. 2021, 10, 69–76. [Google Scholar]
- Barišić, V.; Petrović, J.; Lončarević, I.; Flanjak, I.; Šubarić, D.; Babić, J.; Miličević, B.; Doko, K.; Blažić, M.; Ačkar, Ð. Physical Properties of Chocolates Enriched with Untreated Cocoa Bean Shells and Cocoa Bean Shells Treated with High-Voltage Electrical Discharge. Sustainability 2021, 13, 2620. [Google Scholar] [CrossRef]
- Younes, A.; Li, M.; Karboune, S. Cocoa Bean Shells: A Review into the Chemical Profile, the Bioactivity and the Biotransformation to Enhance Their Potential Applications in Foods. Crit. Rev. Food Sci. Nutr. 2023, 63, 9111–9135. [Google Scholar] [CrossRef] [PubMed]
- Nguyen, V.T.; Tran, T.G.; Tran, N. Le Phytochemical Compound Yield and Antioxidant Activity of Cocoa Pod Husk (Theobroma cacao L.) as Influenced by Different Dehydration Conditions. Dry. Technol. 2022, 40, 2021–2033. [Google Scholar] [CrossRef]
- Kayaputri, I.L.; Djali, M.; Sukri, N.; Fazaryasti, R.H. The Antimicrobial Effectiveness of Cacao Shell and Cacao Husk Combination on Inhibition of Pathogenic Bacteria in Food Products. IOP Conf. Ser. Earth Environ. Sci. 2020, 443, 012077. [Google Scholar] [CrossRef]
- Abulude, F.O.; Ogunkoya, M.O.; Adenibuyan, G.B.; Mabinuola, K. Phytochemical Assessment of The Extracts of Stem (Bark) and Leaves of Theobroma cocoa Materials: Experimental Procedure and Its Comparison to Literature. J. Sci. Eng. Mater. 2022, 1, 85–92. [Google Scholar]
- Ajiboso, S. Detection and Distribution of Some Phytochemicals in Theobroma cacao Tree. Chem. Biol. Pharm. Chem. 2022, 5, 1–5. [Google Scholar] [CrossRef]
- Sioriki, E.; Lemarcq, V.; Alhakim, F.; Triharyogi, H.; Tuenter, E.; Cazin, C.S.J.; Nolan, S.P.; Pieters, L.; Van de Walle, D.; Dewettinck, K. Impact of Alkalization Conditions on the Phytochemical Content of Cocoa Powder and the Aroma of Cocoa Drinks. LWT 2021, 145, 111181. [Google Scholar] [CrossRef]
- Barreto, P.K.C.; da Silva, A.L.S.; de Jesus, R.M.; Coutinho, J.P.; Lôbo, I.P.; Santos, H.M.; de Jesus, R.M. Use of Design of Experiments to Optimize the Chromatographic Separation and Ultrasound-Assisted Extraction for Simultaneous Determination of Methylxanthines and Flavonoids in Guarana. Food Anal. Methods 2024, 1, 1490–1500. [Google Scholar] [CrossRef]
Disclaimer/Publisher’s Note: The statements, opinions and data contained in all publications are solely those of the individual author(s) and contributor(s) and not of MDPI and/or the editor(s). MDPI and/or the editor(s) disclaim responsibility for any injury to people or property resulting from any ideas, methods, instructions or products referred to in the content. |
© 2024 by the authors. Licensee MDPI, Basel, Switzerland. This article is an open access article distributed under the terms and conditions of the Creative Commons Attribution (CC BY) license (https://creativecommons.org/licenses/by/4.0/).