Confluence Effect of Debris-Filled Damage and Temperature Variations on Guided-Wave Ultrasonic Testing (GWUT)
Abstract
1. Introduction
2. Theory
2.1. Structural Health Monitoring (SHM)
2.2. Wave Motion in Thin Plate
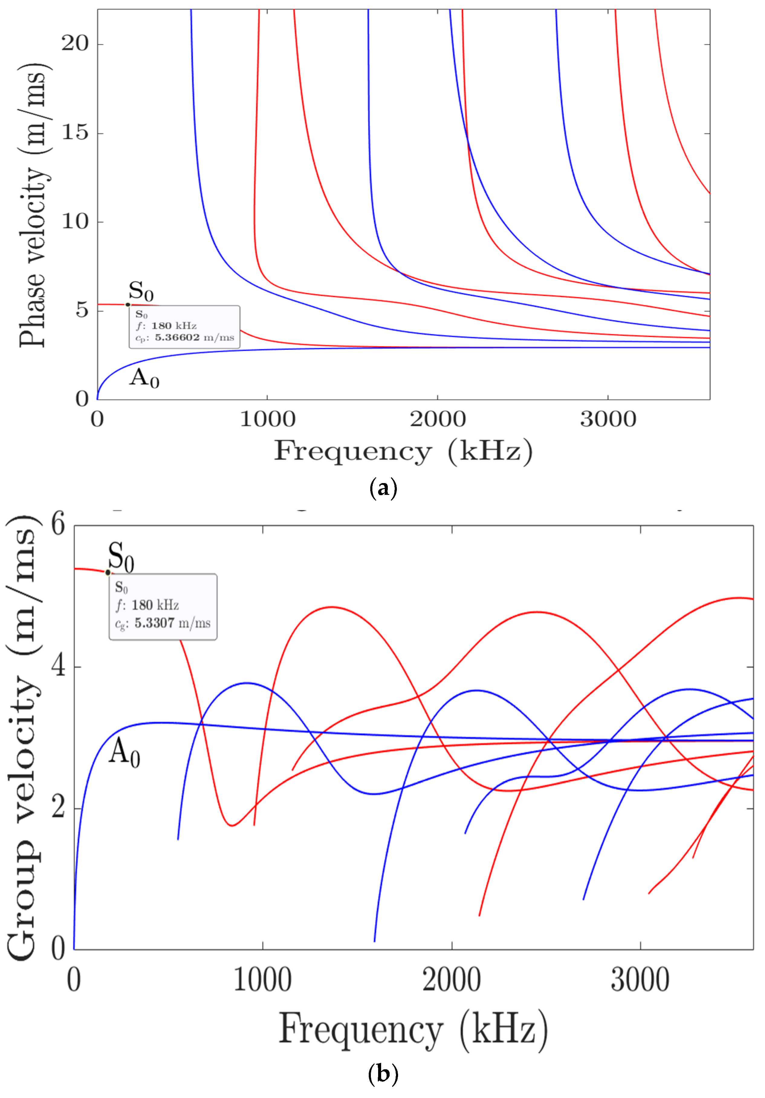
2.3. Wave Dispersion Curve
2.4. Wave–Damage Interaction Effects and Inspection-Transducer Configuration
2.5. Temperature Effect on Guided Wave
- = any characteristics parameter of the wave.
- = the value of the wave feature at a reference temperature.
- = current-state temperature of the structure.
- = reference temperature of the structure.
2.6. Signature/Wave Feature Extraction and Processing
- = the RMS of the excitation signal.
- and are the captured response signals from PZT2 and PZT4, respectively.
3. Materials and Methods
3.1. Material Preparation
3.2. Experimental Setup
3.3. Study Phases
| S/N | Damage Depth (mm) | Damage Length (mm) | Damage Width (mm) |
|---|---|---|---|
| 1 | 1.00 | 40.00 | 5.00 |
| 2 | 1.50 | 40.00 | 5.00 |
| 3 | 2.00 | 40.00 | 5.00 |
| 4 | 2.50 | 40.00 | 5.00 |
4. Results
4.1. Excitation Frequency Selection
- = excitation signal of the -sensor.
- = response signal of the -sensor.
- = mean of the excitation signal.
- = mean of the captured response signal.

- = matching index value of the maximum peak of the correlated signals.
- = total matching index value of the correlated signal.
- t = sampling time in seconds.

4.2. Baseline Signal Acquisition
4.3. Depth Variation Response
4.4. Temperature Influence on Empty Damage Response of Guided Wave
4.5. Effect of Debris-Filled Damage on the Response Signal
4.6. Influence of Temperature and Debris-Filled Damage on Guided-Wave Response
5. Conclusions
Author Contributions
Funding
Data Availability Statement
Conflicts of Interest
References
- Qi, C.; Weixi, Y.; Jun, L.; Heming, G.; Yao, M. A research on fatigue crack growth monitoring based on multi-sensor and data fusion. Struct. Health Monit. 2021, 20, 848–860. [Google Scholar] [CrossRef]
- De La Ree, J.; Liu, Y.; Mili, L.; Phadke, A.G.; Dasilva, L. Catastrophic failures in power systems: Causes, analyses, and countermeasures. Proc. IEEE 2005, 93, 956–964. [Google Scholar] [CrossRef]
- Marcantonio, V.; Monarca, D.; Colantoni, A.; Cecchini, M. Ultrasonic waves for materials evaluation in fatigue, thermal and corrosion damage: A review. Mech. Syst. Signal Process. 2019, 120, 32–42. [Google Scholar] [CrossRef]
- Kralovec, C.; Schagerl, M. Review of Structural Health Monitoring Methods Regarding a Multi-Sensor Approach for Damage Assessment of Metal and Composite Structures. Sensors 2020, 20, 826. [Google Scholar] [CrossRef] [PubMed]
- Olisa, S.C.; Starr, A.; Khan, M.A. Monitoring evolution of debris-filled damage using pre-modulated wave and guided wave ultrasonic testing (GWUT). Measurement 2022, 199, 111558. [Google Scholar] [CrossRef]
- Khan, M.A.; Cooper, D.; Starr, A. BS-ISO helical gear fatigue life estimation and wear quantitative feature analysis. Strain 2009, 45, 358–363. [Google Scholar] [CrossRef]
- Liu, Y.; Feng, X. Monitoring corrosion-induced thickness loss of stainless steel plates using the electromechanical impedance technique. Meas. Sci. Technol. 2020, 32, 025104. [Google Scholar] [CrossRef]
- Guan, R.; Lu, Y.; Wang, K.; Su, Z. Fatigue crack detection in pipes with multiple mode nonlinear guided waves. Struct. Health Monit. 2019, 18, 180–192. [Google Scholar] [CrossRef]
- Giurgiutiu, V.; Zagrai, A.; Bao, J. Damage identification in aging aircraft structures with piezoelectric wafer active sensors. J. Intell. Mater. Syst. Struct. 2004, 15, 673–687. [Google Scholar] [CrossRef]
- Lambinet, F.; Khodaei, Z.S. Damage detection & localisation on composite patch repair under different environmental effects. Eng. Res. Express 2020, 2, 045032. [Google Scholar] [CrossRef]
- Fleet, T.; Kamei, K.; He, F.; Khan, M.A.; Khan, K.A.; Starr, A. A machine learning approach to model interdependencies between dynamic response and crack propagation. Sensors 2020, 20, 6847. [Google Scholar] [CrossRef] [PubMed]
- Kannusamy, M.; Kapuria, S.; Sasmal, S. Accurate baseline-free damage localisation in plates using refined Lamb wave time-reversal method. Smart Mater. Struct. 2020, 29, 055044. [Google Scholar] [CrossRef]
- Azuara, G.; Barrera, E. Influence and compensation of temperature effects for damage detection and localisation in aerospace composites. Sensors 2020, 20, 4153. [Google Scholar] [CrossRef] [PubMed]
- Wei, D.; Liu, X.; Wang, B.; Tang, Z.; Bo, L. Damage quantification of aluminum plates using SC-DTW method based on Lamb waves. Meas. Sci. Technol. 2022, 33, 045001. [Google Scholar] [CrossRef]
- Olisa, S.C.; Khan, M.A.; Starr, A. Review of current guided wave ultrasonic testing (GWUT) limitations and future directions. Sensors 2021, 21, 811. [Google Scholar] [CrossRef]
- Huang, X.; Wang, P.; Zhang, S.; Zhao, X.; Zhang, Y. Structural health monitoring and material safety with multispectral technique: A review. J. Saf. Sci. Resil. 2022, 3, 48–60. [Google Scholar] [CrossRef]
- Kudela, P.; Radzienski, M.; Ostachowicz, W.; Yang, Z. Structural Health Monitoring system based on a concept of Lamb wave focusing by the piezoelectric array. Mech. Syst. Signal Process. 2018, 108, 21–32. [Google Scholar] [CrossRef]
- Samaitis, V.; Jasiūnienė, E.; Packo, P.; Smagulova, D. Ultrasonic Methods. In Springer Aerospace Technology; Springer Science and Business Media Deutschland GmbH: Berlin/Heidelberg, Germany, 2021; pp. 87–131. Available online: https://link.springer.com/chapter/10.1007/978-3-030-72192-3_5#citeas (accessed on 4 January 2023).
- Yan, X.; Qiu, L.; Yuan, S. Experimental study of guided waves propagation characteristics under the changing temperatures. Vibroeng. Procedia 2018, 20, 208–212. [Google Scholar] [CrossRef]
- Zai, B.A.; Khan, M.A.; Khan, K.A.; Mansoor, A. A novel approach for damage quantification using the dynamic response of a metallic beam under thermo-mechanical loads. J. Sound Vib. 2020, 469, 115134. [Google Scholar] [CrossRef]
- Giurgiutiu, V. Structural Health Monitoring with Piezoelectric Wafer Active Sensors; Elsevier: Amsterdam, The Netherlands, 2006. [Google Scholar] [CrossRef]
- Šofer, M.; Ferfecki, P.; Šofer, P. Numerical solution of Rayleigh-Lamb frequency equation for real, imaginary and complex wavenumbers. MATEC Web Conf. 2018, 157, 08011. [Google Scholar] [CrossRef][Green Version]
- Center for Lightweight-Production-Technology. The Dispersion Calculator: An Open Source Software for Calculating Dispersion Curves and Mode Shapes of Guided Waves. Available online: https://www.dlr.de/zlp/en/desktopdefault.aspx/tabid-14332/24874_read-61142/ (accessed on 4 January 2023).
- Nondestructive Evaluation Physics: Waves. Available online: https://www.nde-ed.org/Physics/Waves/defectdetect.xhtml (accessed on 5 January 2023).
- Rojas, O.E.; Khan, M.A. A review on electrical and mechanical performance parameters in lithium-ion battery packs. J. Clean. Prod. 2022, 378, 134381. [Google Scholar] [CrossRef]
- Lu, Y.; Lu, M.; Ye, L.; Wang, D.; Zhou, L.; Su, Z. Lamb wave based monitoring of fatigue crack growth using principal component analysis. Key Eng. Mater. 2013, 558, 260–267. [Google Scholar] [CrossRef]
- Rizvi, S.; Khan, S.; Tariq, M.; Khan, M.A. Propagation of Gaussian-Modulated Lamb Wave in Healthy and Damaged Plate for Structural Health Monitoring. Am. Soc. Nondestruct. Test. 2017, 24–30. [Google Scholar]
- Yu, T.H. Plate waves scattering analysis and active damage detection. Sensors 2021, 21, 5458. [Google Scholar] [CrossRef] [PubMed]
- Gorgin, R.; Luo, Y.; Wu, Z. Environmental and operational conditions effects on Lamb wave based structural health monitoring systems: A review. Ultrasonics 2020, 105, 106114. [Google Scholar] [CrossRef] [PubMed]
- Salmanpour, M.; Khodaei, Z.S.; Aliabadi, M.H. Damage detection with ultrasonic guided wave under operational conditions. In Proceedings of the 9th European Workshop on Structural Health Monitoring, EWSHM 2018, Manchester, UK, 10–13 July 2018. [Google Scholar]
- IPfeiffer, F.; Wriggers, I.P. Identification of Damage Using Lamb Waves; Springer: Berlin/Heidelberg, Germany.
- Amazon UK. DAS Modelling Air Dry Clay White. Available online: https://www.amazon.co.uk/DAS-Modelling-Air-Clay-White/dp/B003P8RRU0/ref=sr_1_13?crid=3MN56983W60HG&keywords=paper+clay&qid=1643611314&sprefix=paper+clay%2Caps%2C63&sr=8-13 (accessed on 31 January 2023).
- RS. Loctite HYSOL 3421 Transparent Yellow 50 mL Epoxy Adhesive Dual Cartridge for Various Materials. Available online: https://uk.rs-online.com/web/p/resins/4589478 (accessed on 18 January 2023).
- Garnier, J.; Papanicolaou, G. Travel time estimation by cross correlation of noisy signals. Esaim Proc. 2009, 27, 122–137. [Google Scholar] [CrossRef]
- Gibbs, G.; Jia, H.; Madani, I. Obstacle Detection with Ultrasonic Sensors and Signal Analysis Metrics. Transp. Res. Procedia 2017, 28, 173–182. [Google Scholar] [CrossRef]
- Konstantinidis, G.; Drinkwater, B.W.; Wilcox, P.D. The temperature stability of guided wave structural health monitoring systems. Smart Mater. Struct. 2006, 15, 967–976. [Google Scholar] [CrossRef]
- Kim, B.G.; Rempe, J.L.; Knudson, D.L.; Condie, K.G.; Sencer, B.H. In-situ creep testing capability for the advanced test reactor. Nucl. Technol. 2012, 179, 417–428. [Google Scholar] [CrossRef]
















| Material | Young Modulus, E (N/m2) | (kg/m3) | Length, L (mm) | Width, W (mm) | Thickness, Th (mm) | |
|---|---|---|---|---|---|---|
| Mild Carbon steel | 0.289 | 7800 | 500 | 300 | 3 |
| Parameter | Unit | Min. Value | Typical Value | Max. Value |
|---|---|---|---|---|
| Diameter of ceramics | mm | 6.80 | 7.00 | 7.20 |
| Thickness of ceramics | μm | 175 | 195 | 215 |
| Curie temperature | Tc | 340 | ||
| Piezoelectric constant | pC/N | 420 | ||
| Elastic compliance | m2/N | |||
| Serial resonance frequency fs | kHz | −5% | 285 | +5% |
| Crack Depth (mm) | Empty Damage DI | Debris-Filled Damage DI | Debris Factor |
|---|---|---|---|
| 1.00 | 0.408000000 | 0.7058892961 | 1.730120824 |
| 1.50 | 0.367800000 | 0.6449988693 | 1.753667399 |
| 2.00 | 0.114700000 | 0.6519333363 | 5.683812871 |
| 2.50 | 0.085000000 | 0.5202911002 | 6.121071767 |
| Debris | Temp. | Predicted Response | Measured Response | Relative Percentage Error |
|---|---|---|---|---|
| 20 | 45 | 0.001400 | 0.001442 | 3.01 |
| 40 | 55 | 0.001507 | 0.001495 | 0.78 |
| 80 | 65 | 0.001709 | 0.001868 | 9.31 |
| 100 | 25 | 0.001758 | 0.001692 | 3.75 |
Disclaimer/Publisher’s Note: The statements, opinions and data contained in all publications are solely those of the individual author(s) and contributor(s) and not of MDPI and/or the editor(s). MDPI and/or the editor(s) disclaim responsibility for any injury to people or property resulting from any ideas, methods, instructions or products referred to in the content. |
© 2024 by the authors. Licensee MDPI, Basel, Switzerland. This article is an open access article distributed under the terms and conditions of the Creative Commons Attribution (CC BY) license (https://creativecommons.org/licenses/by/4.0/).
Share and Cite
Olisa, S.C.; Khan, M.A. Confluence Effect of Debris-Filled Damage and Temperature Variations on Guided-Wave Ultrasonic Testing (GWUT). Processes 2024, 12, 957. https://doi.org/10.3390/pr12050957
Olisa SC, Khan MA. Confluence Effect of Debris-Filled Damage and Temperature Variations on Guided-Wave Ultrasonic Testing (GWUT). Processes. 2024; 12(5):957. https://doi.org/10.3390/pr12050957
Chicago/Turabian StyleOlisa, Samuel C., and Muhammad A. Khan. 2024. "Confluence Effect of Debris-Filled Damage and Temperature Variations on Guided-Wave Ultrasonic Testing (GWUT)" Processes 12, no. 5: 957. https://doi.org/10.3390/pr12050957
APA StyleOlisa, S. C., & Khan, M. A. (2024). Confluence Effect of Debris-Filled Damage and Temperature Variations on Guided-Wave Ultrasonic Testing (GWUT). Processes, 12(5), 957. https://doi.org/10.3390/pr12050957

