Abstract
A major priority for practicing engineers in an electric power system is preserving the stability of frequency and voltage levels. Any change in these two factors will impact the efficiency and lifespan of the machines connected to the power supply. Therefore, this paper provides a control approach utilizing the Interval Type-2 Fuzzy Sets- Proportional Integral Derivative (IT2FSs-PID) controller and Advanced Thyristor Controlled Series Capacitor (ATCSC) with a combined Load Frequency Control-Automatic Voltage Regulator (LFC-AVR). Several inspections were implemented to demonstrate the controller’s strength, including various disturbances in the power system. The LFC-AVR was studied using two different dynamic models, referred to as open and closed loops on the Generation Rate Constraint (GRC) forms. A comparison was made using different techniques from the literature using the same model. Before using the approach, the frequency deviation of area-1 had a very large settling time value, which was caused by system instability. However, after implementing the approach, this value decreased to 4.9236 s. Finally, an additional ATCSC was added to the proposed model to observe its effect on the power system. The simulation was implemented using MATLAB/SIMULINK tools.
1. Introduction
A major obstacle for electrical power system engineers is the parallel regulation of voltage and frequency levels. Any change in these parameters significantly reduces the productivity and efficiency of devices connected to a power supply. The objective of regulating devices used in large and intricate power systems is to regulate small load disruptions and sustain the system’s frequency and terminal voltage within acceptable thresholds. The generating units contain a loop to control the load frequency and reduce the gap between the load and the generated power. The automatic voltage regulator (AVR) system located in the generating units controls the reactive power, thereby regulating the voltage in the power system [1]. Nearly all industrial processes continue to use traditional PID controllers because of their easy control design, cost-effectiveness, and efficacy when used in linear systems [2]. It is essential to tune the PID controller gains with special care to enhance performance. Therefore, choosing the incorrect gains leads to system instability [3]. Computational intelligence is now being extensively used in the field of optimization issues [4,5,6]. Type-2 Fuzzy Set (T2FS) from computational intelligence is a wider and more comprehensive version of Type-1 Fuzzy Set (T1FS), proposed via Zadeh in [7]. Compared to the mathematics of T1F logic control, the computation of T2F logic control presents a significant challenge. The work in [8] introduced a distinct variant of T2FS known as Interval Type-2 Fuzzy Sets (IT2FSs). IT2FSs outputs are characterized by uncertainty within a time period. The IT2F logic controller has been effectively used for the building of controllers [9,10,11,12,13,14,15]. Moreover, implementing a Flexible Alternating Current Transmission System (FACTS) for coupled power systems is a very efficient method of enhancing the system’s stability [16]. FACTS controllers, such as the Interline Power Flow Controller (IPFC), Thyristor Controlled Phase Shifter (TCPS), Static Synchronous Series (SSSC), and Thyristor Controlled Series Capacitor (TCSC), are operated in the tie line of coupled power systems to minimize frequency and power deviations because of their rapid dynamic responses [17,18,19]. The TCSC is a type of FACTS controller that provides strong, effective performance at a reasonable cost and a robust and practical foundation. A novel approach to dynamic modeling and employing the TCSC for Automatic Generation Control (AGC) has been recently introduced [18]. Previous studies have suggested traditional controllers such as PID cascaded and PID controllers, as well as PI controllers. However, other work has suggested new controllers that utilize computational intelligence methods, such as Fuzzy Logic Systems (FLSs), as well as neural systems that fully substitute for traditional controller methods. Additionally, some studies have suggested hybrid controllers that combine traditional controllers with new controller methods, such as Fuzzy PID (FPID) and Fuzzy PI (FPI) controllers, as well as a Gain Scheduled controller [20]. In [21,22], a Fuzzy-Integral (I) controller is used to improve the stability of LFC for dual-area power systems. The works [2,23] focused on using IT2FL. Reference [23] presents a novel approach called IT2FL-based Dual Mode Gain Scheduling (DMGS) for the PI controller. This proposed method involves scheduling the PI controller using a variable selector. Reference [2] presents the development and implementation of an IT2FPID controller, the IT2FPID comprising FSPI with FSPD controllers. The work in [24] also provided research on a Load Frequency Control (LFC) technique that utilizes the T2FLPID controller on dual isolated power systems. The study in [25] focuses on hybrid power systems, specifically optimizing the gains of PI-PD controller parameters using the Particle Swarm Optimization-Gravitational Search Algorithm (PSO-GSA) approach. An Ant Colony Optimization (ACO)-based classical PID controller is developed in [26], and it uses various objective functions to evaluate the performance of a standalone nuclear station. References [27,28] applied a Fractional Order (FO) PID controller to the power system to achieve high performance. In [27], Gases Brownian motion optimization is used, whereas the work in [28] used Big Bang Big Crunch optimization to tune the controller parameters. The studies in [29,30,31] concentrate on the conventional T1FS self-adapting method for PID control. Numerous flexible AC transmission systems are utilized in conjunction with a tie line to regulate power flow and mitigate inter-area oscillations by implementing a supplementary controller [19]. The study in [32] compares the dynamic performance of TCPS and the Capacitive Energy Storage (CES) of AGC for hydrothermal generating connected with hydro diesel generating. The comparison is done using modern techniques in [32]. The study in [33] examines the coordinated design of TCPS and Superconducting Magnetic Energy Storage (SMES) for an uncontrolled thermal power plant. The study considers the Generation Rate Constraint (GRC) in hydro and non-reheat thermal units [33]. The work in [34] involves installing the TCSC in series with the tie line for a dual-area thermal plant, using a GRC and time delay factors, ideally positioned in both areas, where SMES units collaborate with the TCSC to optimize the areas’ overall dynamic efficiency. The work in [35] employs FACTS devices, including SSSC, TCSC, TCPS, and IPFC, and is compared in the existence of the Two Degree of Freedom Integral plus Double Derivative (2DOF-IDD) controller for the AGC of a multi-area thermal system.
Based on the above literature review and Table 1, this paper presents the importance of using an appropriate control system for a power system; an appropriate control system helps stabilize the power system when undesirable situations occur, such as a sudden increase in the demand for electrical energy. An IT2FSs-PID non-traditional controller and Advanced Thyristor Controlled Series Capacitor (ATCSC) are used, and simulations will show the positive effect of these controllers on the power system. The major contributions of this work are:
Table 1.
Literature review.
- Developing mathematical frameworks that combine AVR and LFC for power systems.
- Analyzing the impact of Interval Type-2 Fuzzy Sets (IT2FSs)-PID, Simulated Annealing (SA)-ATCSC, and SA-PID to improve frequency and power tie line deviations, as well as their effects on the power system’s terminal voltage.
- Performing a comparative analysis of several strategies described in the literature, using the same model to demonstrate the superiority of the strategy used in this study.
- Demonstrating the effect of ATCSC on the connected area via reducing the stilling time of the frequency deviation of the area.
Section 2 describes the methodologies used and the modeling of an LFC coupling AVR which contains the power system’s controllers, Interval Type-2 Fuzzy Sets (IT2FSs), an IT2FSs-PID Controller, an Advanced Thyristor Controlled Series Capacitor (ATCSC) and the Optimization Algorithm and Objective Function. Section 3 provides the results and discussion, including the influence of the controllers on a two-area interconnected thermal power system, simulations of case studies, a sensitivity analysis, and improvements made to the two-area power system by adding a reheat unit. Also discussed are the Generation Rate Constraint (GRC), Governing Dead Band (GDB) nonlinearity, a comparison of IT2FSs-PID+SA (ATCSC+PID) with other strategies, and the comparison effect of adding another ATCSC to the power system. Finally, Section 4 concludes this study and puts forward future research directions.
2. Materials and Methods
2.1. Modeling of LFC Coupling AVR
The combined LFC-AVR system allows for simultaneous system frequency and voltage management. The AVR is connected to the LFC using cross-coupling factors K1, K2, K3, and K4 [36]. Any additions or changes in the demand load of area 1, area 2, or both, result in a difference between the power produced by the power system, and the demand load affects the frequency of the entire power system, not just the frequency of the specific area experiencing the change in demand load (∆PL), due to the tie line that connects the power system generating areas [20]. The frequency may be managed by adjusting the actual power production, but the terminal voltage is maintained by adjusting the excitation system of the generator field [1]. The mathematical equations for the link between LFC and AVR are as follows:
Equation (1) shows that the inertia constant’s (H) value affects the generator deviation speed value. To reduce the value of the generator deviation speed, Equation (1) states that the appropriate value of the change in mechanical power (∆Pm) must match the appropriate value of the change in the real power (∆Pe) and ∆PL.The percent change in load divided by the percent change in frequency is expressed as (D).
It is clear from Equation (2) the effect of changes in the power angle (∆δ), synchronizing power coefficient (Ps), and stator emf (E′) on ∆Pe with the coefficient K1 is related to the stator emf.
The impact of variations in the power angle (∆δ) and stator emf (E′) on terminal voltage may be deduced from Equation (3), where the coefficients K2 and K3 are related to the change in the power angle and stator emf, respectively. Also, Equation (4) states the effect of a change in the power angle (∆δ) on the stator emf (E′), with a coefficient multiplied by the power angle (∆δ), which is K4. Figure 1 shows the components of an LFC-AVR system.
Figure 1.
Components of LFC coupling with AVR of a single area.
2.2. Power System’s Controllers
IT2FSs were utilized to adjust the parameters of the PID controller, and this complex controller was installed in the LFC system in the two areas. The PID of the AVR system was also used in the two areas, and the ATCSC was used to improve control of the power system. The parameters of the previous two controllers were tuned using simulated annealing optimization. Appendix A/Table A1 and Figure 2 illustrate the values of dual-area power system equipped with the controllers.
Figure 2.
Block diagram of the LFC-AVR scheme of the dual area system.
2.2.1. Interval Type-2 Fuzzy Sets (IT2FSs)
Type-2 Fuzzy Sets (T2FSs) are beneficial when it is hard to calculate an accurate membership function for a fuzzy set, hence facilitating the incorporation of uncertainty [37]. There are two types of Type-2 Fuzzy Set (T2FS): General (G)T2FS and IT2FS. Also, IT2FS calculations are less complex than GT2FS calculations [38], so IT2FSs are used in this paper. In Figure 3, IT2F membership functions are characterized by a pair of Type-1 membership functions, namely the upper membership function and the lower membership function.
Figure 3.
IT2F Membership Function [39].
The region enclosed by these membership functions is referred to as the footprint of uncertainty [39]. Also, as shown in Figure 4, an IT2F Logic System comprises five constituents: a fuzzifier, a rule base, a fuzzy inference engine, a type-reducer, and a defuzzifier. The fuzzifier utilizes an attribution mechanism to transform direct external input data into linguistically fuzzy information. The rule base defines the connection between the system’s input and output using If-Then type fuzzy rules, constituting a rule base consisting of control rules. The fuzzy inference engine uses a rule base to perform approximations or fuzzy inferences, resulting in the analysis and acquisition of a fuzzy output [40]. Finally, an output can be obtained by type-reducing the T1FS and defuzzing the crisp value output [39].
Figure 4.
Structure of the IT2F logic system.
IT2F logic sets in this paper consist of two inputs, namely the Area Control Error (ACE) and ACE derivative (de_ACE), and three outputs, namely Kp, Ki, and Kd. The number of membership functions for each of the inputs and outputs is seven, shown via linguistic variables: High Negative (HN), Medium Negative (MN), Small Negative (SN), Zero (Z), Small Positive (SP), Medium Positive (MP), and High Positive (HP). They are shown in Figure 5 and Figure 6. The type of membership function used is Gaussian for inputs and outputs, and the type reduction method used is the Karnik–Mendel (KM) method because it is an extensive, widely utilized approach for T2F logic uses [41]. The type of fuzzy inference system used is Mamdani type-2, and the centroid method is employed for defuzzification. Table 2 illustrates details about the T2F logic system.
Figure 5.
Membership function of ACE and de_ACE.
Figure 6.
Membership function of Kp, Ki, and Kd.
Table 2.
Variables of T2F logic system.
IF-THEN is the rule-based structure utilized by the fuzzy rule base, provided via the IF antecedent, THEN result [42]. This paper’s rule base consists of 49 rules, as illustrated in Table 3, Table 4 and Table 5. Additionally, the Kp, Ki, and Kd control surfaces are shown in Figure 7, Figure 8 and Figure 9.
Table 3.
Rule Table for Kp.
Table 4.
Rule Table for Ki.
Table 5.
Rule Table for Kd.
Figure 7.
Control surface of Kp.
Figure 8.
Control surface of Ki.
Figure 9.
Control surface of Kd.
According to the rules in the tables, 49 laws can be created to determine the linguistic value of the outputs, which are Kp, Ki, and Kd. For example:
Rule: IF ACE is HN and de_ACE is HN, then Kp is HN, ki is HN, and Kd is SP.
2.2.2. IT2FSs-PID Controller
Through the previous part, a design was made to tune the PID parameters via IT2FSs, as shown in Figure 10.
Figure 10.
IT2FSs-PID structure.
The following equations represent the signal exiting the controller in the two areas of the LFC system [21]:
where u(t) denotes the signal coming out of the controller and the value of Kp, Ki, and Kd are set via IT2FSs. Also, the following two Equations (7) and (8) provide the ACE value of the two areas power system:
Several methods are proposed in the literature to improve power system control by tuning the frequency bias (B) using one of the optimization methods discussed in [21,22]. In this paper, the value of the frequency base is fixed in both areas, and another strategy is used to enhance the stability of the power system. The strategy uses ATCSC to affect power deviations of the tie line positively to reduce the ACE to zero, as will be discussed in the next section.
2.2.3. Advanced Thyristor Controlled Series Capacitor (ATCSC)
FACTS devices offer enhanced controllability when compared to conventional devices, and they do not contain any dynamic control-providing movable parts, such as mechanical switches [43]. FACTS devices can be configured in two distinct ways: as Series devices or as Shunt devices [43]. TCSC is affiliated with the FACTS group. The TCSC comprises a capacitive reactance in parallel with a Thyristor Controlled Reactor (TCR), as shown in Figure 11, and is mainly used to suppress oscillations, which reflect positively on the stability of the power system and also solve the problem of sub-synchronous oscillation (SSR) [44].
Figure 11.
Components of TCSC.
In this work, the ATCSC is installed in series with a tie line connecting the two areas, as shown in Figure 12.
Figure 12.
Two-area interconnected thermal power system with ATCSC in series with the tie line.
The following equations illustrate the ATCSC principle [18]:
Equation (9) expresses the value of tie line power flow between two areas, where the variables V1 and V2 illustrate the voltage magnitude of the two areas. Also, X12 represents the tie line reactance, XTCSC represents the TCSC reactance, and denotes the voltage angle. Equation (9) is expressed as Equation (10) if we consider Kc = XTCSC/X12, where Kc denotes the series compensation ratio.
One can rewrite Equation (11) as follows [18]:
The second part of Equation (11) shows the effect of TCSC due to the presence of Kc/(1 − Kc). When small disturbances occur in and Kc, the incremental tie line power flow can be expressed by the following equation [18]:
When a slight change in power occurs, the change in voltage angle is little. Therefore, it is acceptable to estimate (, so the equation may be expressed in the following format [44]:
where
When T12 denotes the synchronizing coefficient and K1 is a constant, the equation becomes as follows [18]:
When and
Take a LaPlace transform [18]:
The Taylor series was used to expand the second part of Equation (18), as shown in Equation (18) [18]
Based on Equations (18) and (19), we can rewrite Equation (17) as follows [18]:
We used the first six terms of Equation (18) to increase the ATCSC’s effectiveness for power system stability. Figure 13 shows the structure with utilized lead-lag blocks [18].
where .
Figure 13.
Structure for the ATCSC [18].
Depending on Equations (19) and (22), we can write the subsequent equation as follows [18]:
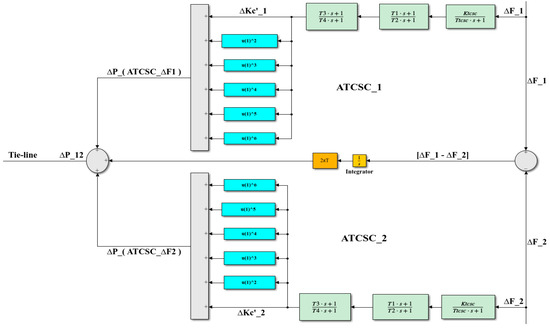
In this paper, when the ATCSC is connected between area-1 and the tie line, Equation (24) is used, but if it is connected to area-2, Equation (26) is used.
Figure 14 shows the structure to be used when there are two ATCSCs, one of which is connected to area-1 and the other is connected to area-2. For this case, we represent the ATCSCs with the following equation:
Figure 14.
A proposed structure for two ATCSCs connected to two areas with a tie line.
2.2.4. Optimization Algorithm and Objective Function
The process of the SA algorithm involves a series of steps that transition from the present answer to a superior one, following certain criteria. It periodically accepts suboptimal solutions to ensure a wide exploration of the problem space and avoid becoming stuck at local optimal solutions [45]. The SA algorithm is a randomized search method derived from statistical mechanics [46]. By using the Integral of Time multiplied by the Absolute Error (ITAE) as a cost function, the efficiency of the power system can be significantly improved [47]. In this paper, ITAE is used as a cost function to reduce the error signal, including frequency deviation , , and terminal voltage deviation . Equation (29) illustrates this.
Parameters for both PIDAVR and ATCSC are defined by establishing a specific scenario that generates a disturbance in both areas (area-1, area-2). represents the increase in load at time t = 0 s. The following range is defined to specify appropriate values for the controller parameters:
- ATCSC range: [0.5, 1 × 10−5]
- PIDAVR range: [2, 0.01]
3. Results and Discussion
This section delves into the simulations conducted on the power system, examining the effectiveness of the controllers in modifying the system’s dynamic response and presenting the findings from this simulation. An increase in load demand equal to is used in both areas of the power system model. Then, the IT2FSs-PID controller in LFC, the SA-PID controller in AVR, and SA-ATCSC are used to make the system more stable. Most of the simulations in this paper focus on this method. An additional ATCSC is added to a final case, and its impact on the power system is observed. The values of the power system modeling can be found in [48]. Table 6 shows the tuning parameter values for both ATCSC and PIDAVR.
Table 6.
ATCSC and PIDAVR parameter values.
3.1. Influence of Controllers on a Two-Area Interconnected Thermal Power System
Table 7 shows that the power system is unstable because the settling time values of , , , and are infinite. In this case, the LFC system did not use the IT2FSs-PID controller, and the tie line did not use TCSC or ATCSC. PID-SA exists in the AVR system, so according to Table 8, it is clear that frequency stability affects the terminal voltage stability.
Table 7.
Dynamic performance of a power system without employing IT2FSs-PID, ATCSC, or TCSC.
Table 8.
Sensitivity analysis of frequency deviation and power deviation.
Applying the IT2FSs-PID controller and adding TCSC resulted in an improvement in system stability. The settling time value for decreased to 4.9236 s after using the controller, along with and . Using ATCSC instead of TCSC increased the stability of the power system. The value decreased to 3.6633 s, or 25.597%, and the value of decreased to 8.4554 s, or 4.349%. These are acceptable results for using ATCSC. Figure 15 shows the influence of the controllers on the power system.


Figure 15.
Influence of control system on (a) ; (b) ; (c) ; (d) ; (e) .
3.2. Simulation of Case Studies
Three scenarios were used to verify the efficiency of the controllers. An increase in load demand equal to was used to cause a sudden disturbance in the power system. In the first scenario, the increases in two areas at time = 0 s. The second scenario is increase in area-1 only at time = 0 s. The final scenario involves an increase in in area-2 only at time = 0 s. According to Figure 16, the highest settling times for and in the second scenario were 4.8798 s and 8.8381 s, respectively, but the highest settling time for occurred in the third scenario, with a time of 9.4659 s. In the three cases, settling max and settling min are close in the values of and . However, as shown in Figure 16c, is affected in cases 2 and 3. The did not reach zero value because the value during the optimization of the ATCSC parameters is insufficient. The solution is to optimize the ATCSC parameters, creating one in one area to increase the value during the optimization. Moreover, applying the previous scenarios does not affect the terminal voltage.

Figure 16.
Influence of various scenarios on (a) ; (b) ; (c) .
3.3. Sensitivity Analysis
In this section, the controllers’ robustness was tested. The controllers were IT2FSs-PID for the LFC system, SA-PID for the AVR system, and ATCSC for the power in the tie line. The controllers’ robustness was tested by increasing the values of the following parameters: load disturbance , synchronizing power coefficient , governor time constant , and turbine time constant by 50% and reducing by the same amount of the nominal value. The first scenario involves step load increases in two areas equal to at time = 0 s. The optimal parameter values of ATCSC and PIDAVR remain unchanged. The results in Table 8 and Table 9.
Table 9.
Sensitivity analysis of terminal voltage.
3.4. Improve the Two-Area Power System by Adding a Reheat Unit, Generation Rate Constraint (GRC), and Governing Dead Band (GDB) Nonlinearity
The settling times for and in the open loop GRC case are superior to those in the closed loop GRC, being 4.8763 s and 5.2059 s, respectively, compared to 6.7316 s and 6.8915 s, respectively. However, ’s settling time in the closed loop condition is superior, with a time of 5.7252 s, compared to 6.4992 s for the open loop. The settling max for ,, and is higher in the closed loop GRC case than in the open loop GRC case. Similarly, the settling min for and is higher in the closed loop case, with values of −0.9277 p.u and −1.9534 p.u, respectively, except for , which has a larger value in the open loop case. The value of is equal to −0.2885 p.u., compared to −0.1424 p.u in the closed loop GRC, as shown in Figure 17. Appendix A/Table A2 shows the system values after optimization.

Figure 17.
Effect of nonlinearity components on (a) ; (b) ; (c) ; (d) ; (e) .
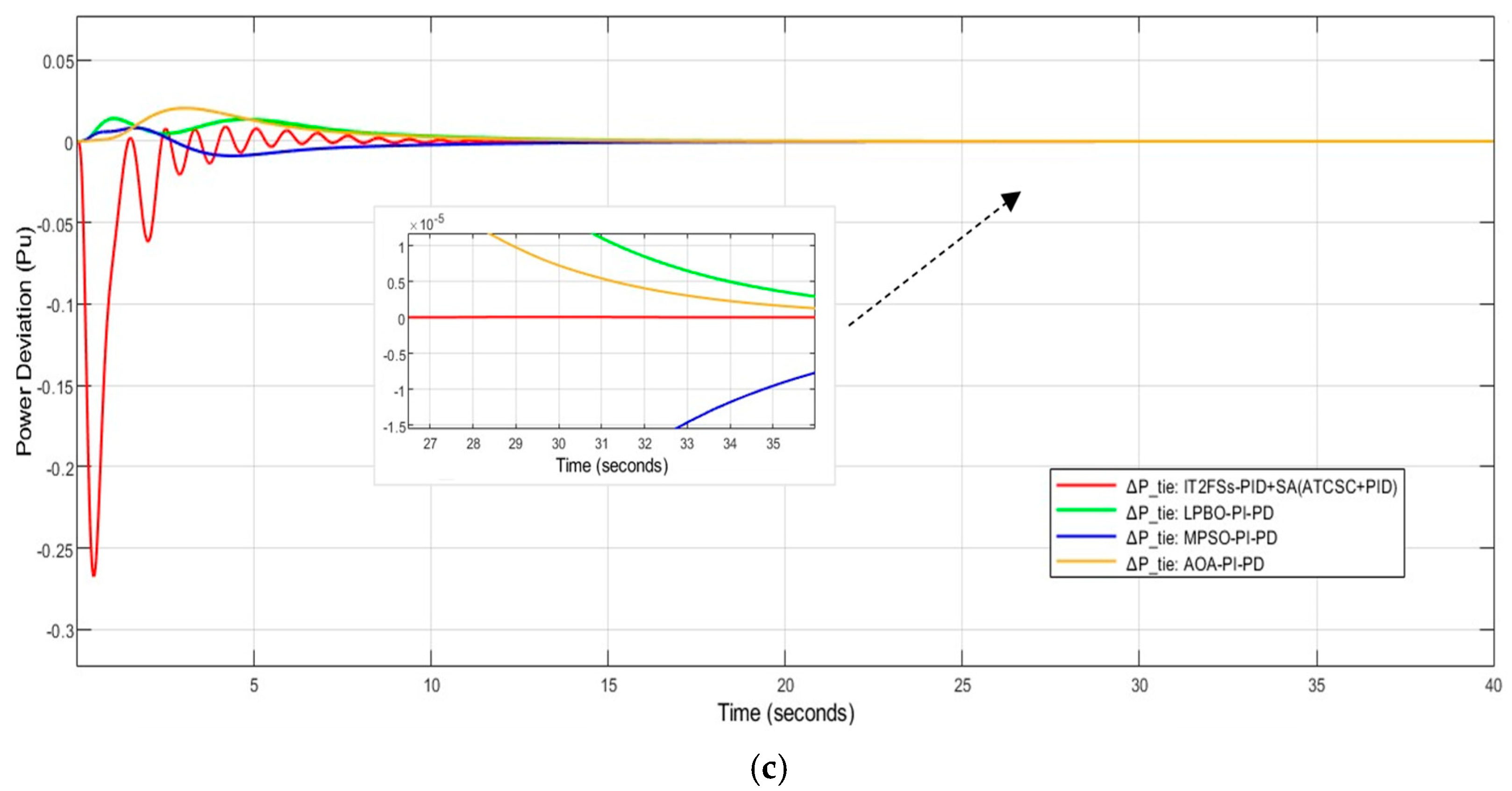
3.5. Comparison of IT2FSs-PID+SA (ATCSC+PID) with Other Strategies
This section compares IT2FSs-PID+SA (ATCSC+PID) with other techniques used in the paper [48], utilizing the same model, LFC-AVR, in two areas with the same conditions. The paper also used the PI-PD controller, tuning its parameters using three algorithms: Modified Particle Swarm Optimization (MPSO), Learn Performance Based Behavior Optimization (LPBO), and the Archimedes Optimization Algorithm (AOA). The comparisons between the methods show that IT2FSs-PID+SA(ATCSC+PID) is better than the others. This is because the steady-state errors for , , , , and go to zero faster. This is shown in Figure 18.

Figure 18.
Influence of various techniques on (a) ; (b) ; (c) .
3.6. Comparison Effect of Adding Another ATCSC to the Power System
Table 10 clearly illustrates the impact of the new ATCSC on area-2, demonstrating a decrease in the settling time for from 8.4554 s to 5.4895 s, and a similar decrease in the settling time for , from 6.0172 s to 3.9200 s. As a result, the impact of the new ATCSC on area-2 is greater than that of area-1 because of its connection to area-2. The results of settling max and min are close in the basic case, as well as when adding another ATCSC.
Table 10.
Dynamic performance characteristics of a power system with one ATCSC and two ATCSCs of frequency and power.
Figure 19 shows the influence of the new ATCSC on the power system, with no noticeable effect on the values of settling time, settling max and min, and rising time, and their results are similar for terminal voltage.

Figure 19.
Influence of using two ATCSCs on (a) ; (b) ; (c) .
4. Conclusions
This paper focused on the LFC-AVR model, utilizing the IT2FSs-PID controller for the LFC system and the PID controller for the AVR system. The ATCSC was added to the power system to enhance the dynamic efficiency of the system. Several experiments were conducted to prove the robustness of the controllers, including case study simulation, adding a reheat unit, GRC, and GDB to test the controllers in the power system. Also, after conducting the comparison, it became clear that IT2FSs-PID+SA (ATCSC+PID) is superior to other techniques in terms of the power system reaching a state of stability in the fastest time when disturbances occur. Finally, an ATCSC was added to validate its beneficial effects on the area it connects. The connection of an ATCSC to area-1 clearly demonstrated its effect, as the settling time for dropped to 3.6633 s, while experienced a decrease to 8.4554 s. Connecting the other ATCSC to the second region resulted in a decrease in the settling time value for , from 8.4554 s to 5.489 s, while decreased from 3.6633 s to 3.6159 s. In future work, we will utilize T1FSs to adjust the PID parameters for LFC using real time simulation, utilize an alternative controller, such as an Integral Double Derivative (IDD), and optimize the controller parameters for a system that generates a disturbance value of 0.02 p.u in both areas at time = 0 sec to improve the result in the simulation of case studies section.
Author Contributions
Conceptualization, S.A. (Saeed Alshehri), A.A.A. and S.A. (Sultan Alghamdi); methodology, S.A. (Saeed Alshehri), A.A.A. and S.A. (Sultan Alghamdi); software, S.A. (Saeed Alshehri) and A.B.W.; validation, S.A. (Saeed Alshehri) and A.B.W.; formal analysis, S.A. (Saeed Alshehri) and A.A.; investigation, S.A. (Saeed Alshehri) and A.A.A.; resources, S.A. (Sultan Alghamdi) and M.R.; data curation, M.R. and Y.A.A.; writing—original draft preparation, S.A. (Saeed Alshehri) and A.B.W.; writing—review and editing, A.A.A., S.A. (Sultan Alghamdi) and A.A.; visualization, M.R.; supervision, S.A. (Sultan Alghamdi) and M.R.; project administration, M.R. and Y.A.A.; funding acquisition, M.R. and Y.A.A. All authors have read and agreed to the published version of the manuscript.
Funding
This Project was funded by the Deanship of Scientific Research (DSR) at King Abdulaziz University, Jeddah, under grant no. (GPIP: 1851-135–2024).
Data Availability Statement
The article contains the data.
Acknowledgments
This Project was funded by the Deanship of Scientific Research (DSR) at King Abdulaziz University, Jeddah, under grant no. (GPIP: 1851-135–2024). The authors, therefore, acknowledge with thanks DSR for the technical and financial support.
Conflicts of Interest
The authors declare no conflicts of interest.
Acronym
| Acronym | Definition | Acronym | Definition |
| IT2FSs | Interval Type-2 Fuzzy Sets | D | Percent change in load divided by the percent change in frequency |
| ATCSC | Advanced Thyristor Controlled Series Capacitor | ∆δ | Change in the power angle |
| SA | Simulated Annealing | E′ | Stator emf |
| GA | Genetic Algorithm | Vf | Output of generator filed |
| PS | Pattern Search | ACE | Area Control Error |
| GBM | Gases Brownian Motion | de_ACE | Area Control Error derivative |
| BB-BC | Big Bang Big Crunch | B | Frequency bias |
| IPSO | Improved Particle Swarm Optimization | ∆Ptie, ∆P12 | Power deviation of tie line |
| T1FLC | Type-1 Fuzzy Logic Control | XTCSC | TCSC reactance |
| CRPSO | Craziness-based Particle Swarm Optimization | X12 | Tie line reactance |
| DE | Differential Evolution | V1, V2 | Voltage magnitude of two areas |
| CS | Cuckoo Search | Kc | Series compensation ratio |
| ∆PL | Change in demand load | δ12 | Voltage angle of two-area |
| H | Inertia constant | Voltage angle of two-area in steady state | |
| ∆Pm | Change in mechanical power | T12 | Synchronizing coefficient |
| ∆Pe | Change in the real power |
Appendix A
Table A1.
Interconnected thermal power system parameters [48].
Table A1.
Interconnected thermal power system parameters [48].
| Parameter | Symbol | Parameter Value |
|---|---|---|
| Frequency bias factor | B1, B2 | 1 |
| Speed regulation | R1, R2 | 2.4, 1.2 |
| Governor gain | Kg1, Kg2 | 1 |
| Governor time constant | Tg1, Tg2 | 0.08, 0.12 |
| Steam turbine gain | Kt1, Kt2 | 1 |
| Steam turbine time constant | Tt1, Tt2 | 0.3, 0.15 |
| Load disturbance | ∆PL1, ∆PL2 | 0.02 |
| Generator and load gain | Kp1, Kp2 | 120, 100 |
| Generator and load time constant | Tp1, Tp2 | 20, 10 |
| Amplifier gain | Ka1, Ka2 | 10 |
| Amplifier time constant | Ta1, Ta2 | 0.1 |
| Exciter gain | Ke1, Ke2 | 1, 1.5 |
| Exciter time constant | Te1, Te2 | 0.4, 0.6 |
| Generator filed gain | Kf1, Kf2 | 1, 1.5 |
| Generator filed time constant | Tf1, Tf2 | 1, 1.5 |
| Sensor gain | Ks1, Ks2 | 1 |
| Sensor time constant | Ts1, Ts2 | 0.01 |
| Synchronizing power coefficient | Ps1, Ps2 | 1.5 |
| Cross-coupling factors of LFC-AVR 1 | K1, K2, K3, K4 | 0.3, 0.1, 0.5, 1.4 |
| Synchronizing coefficient of tie line | T12 | 0.545 |
1 Cross-coupling factors for two areas.
Table A2.
The power system’s additional parameters.
Table A2.
The power system’s additional parameters.
| Parameter | Symbol | Parameter Value |
|---|---|---|
| Reheat unit gain | Kr1, Kr2 | 0.3 |
| Reheat unit time constant | Tr1, Tr2 | 10.2 |
| Positive and negative ramp rates of GRC | ±δ1, ±δ2 | 0.0005 |
| Fourier coefficients of GDB transfer function 1 | N1, N2 | 0.8, 0.6366 |
1 Fourier coefficients of GDB for two areas.
References
- Kalyan, C.N.S.; Goud, B.S.; Reddy, C.R.; Bajaj, M.; Sharma, N.K.; Alhelou, H.H.; Siano, P.; Kamel, S. Comparative Performance Assessment of Different Energy Storage Devices in Combined LFC and AVR Analysis of Multi-Area Power System. Energies 2022, 15, 629. [Google Scholar] [CrossRef]
- El-Nagar, A.M.; El-Bardini, M. Practical Implementation for the interval type-2 fuzzy PID controller using a low cost microcontroller. Ain Shams Eng. J. 2014, 5, 475–487. [Google Scholar] [CrossRef]
- Alghamdi, S.; Wazir, A.B.; Awaji, H.H.H.; Alhussainy, A.A.; Sindi, H.F.; Rawa, M. Tuning PID Controller Parameters of Automatic Voltage Regulator (AVR) Using Particle Swarm Optimization: A Comparative Study. In Proceedings of the IEEE PES Conference on Innovative Smart Grid Technologies, Bengaluru, India, 10–13 November 2023; pp. 1–6. [Google Scholar] [CrossRef]
- Jang, D.-W.; Lee, S.; Park, J.-W.; Baek, D.-C. Failure detection technique under random fatigue loading by machine learning and dual sensing on symmetric structure. Int. J. Fatigue 2018, 114, 57–64. [Google Scholar] [CrossRef]
- Chavero-Navarrete, E.; Trejo-Perea, M.; Jáuregui-Correa, J.C.; Carrillo-Serrano, R.V.; Ronquillo-Lomeli, G.; Ríos-Moreno, J.G. Hierarchical Pitch Control for Small Wind Turbines Based on Fuzzy Logic and Anticipated Wind Speed Measurement. Appl. Sci. 2020, 10, 4592. [Google Scholar] [CrossRef]
- Mashrur, F.R.; Islam, M.S.; Saha, D.K.; Islam, S.M.R.; Moni, M.A. SCNN: Scalogram-based convolutional neural network to detect obstructive sleep apnea using single-lead electrocardiogram signals. Comput. Biol. Med. 2021, 134, 104532. [Google Scholar] [CrossRef]
- Zadeh, L.A. The concept of a linguistic variable and its application to approximate reasoning—I. Inf. Sci. 1975, 8, 199–249. [Google Scholar] [CrossRef]
- Mendel, J.M. Uncertain Rule-Based Fuzzy Logic Systems: Introduction and New Directions; Prentice-Hall: Upper Saddle River, NJ, USA, 2001. [Google Scholar]
- Jammeh, E.A.; Fleury, M.; Wagner, C.; Hagras, H.; Ghanbari, M. Interval Type-2 Fuzzy Logic Congestion Control for Video Streaming Across IP Networks. IEEE Trans. Fuzzy Syst. 2009, 17, 1123–1142. [Google Scholar] [CrossRef]
- Sepúlveda, R.; Montiel, O.; Castillo, O.; Melin, P. Embedding a high speed interval type-2 fuzzy controller for a real plant into an FPGA. Appl. Soft Comput. 2012, 12, 988–998. [Google Scholar] [CrossRef]
- Kumbasar, T.; Eksin, I.; Guzelkaya, M.; Yesil, E. Interval type-2 fuzzy inverse controller design in nonlinear IMC structure. Eng. Appl. Artif. Intell. 2011, 24, 996–1005. [Google Scholar] [CrossRef]
- Zarandi, M.F.; Torshizi, A.D.; Turksen, I.; Rezaee, B. A New Indirect Approach to the Type-2 Fuzzy Systems Modeling and Design. Inf. Sci. 2013, 232, 346–365. [Google Scholar] [CrossRef]
- Tao, C.W.; Taur, J.S.; Chang, C.-W.; Chang, Y.-H. Simplified type-2 fuzzy sliding controller for wing rock system. Fuzzy Sets Syst. 2012, 207, 111–129. [Google Scholar] [CrossRef]
- El-Bardini, M.; El-Nagar, A.M. Direct adaptive interval type-2 fuzzy logic controller for the multivariable anaesthesia system. Ain Shams Eng. J. 2011, 2, 149–160. [Google Scholar] [CrossRef][Green Version]
- Chen, S.-M.; Wang, C.-Y. Fuzzy decision making systems based on interval type-2 fuzzy sets. Inf. Sci. 2013, 242, 1–21. [Google Scholar] [CrossRef]
- Pradhan, P.C.; Sahu, R.K.; Panda, S. Firefly algorithm optimized fuzzy PID controller for AGC of multi-area multi-source power systems with UPFC and SMES. Eng. Sci. Technol. Int. J. 2015, 19, 338–354. [Google Scholar] [CrossRef]
- Gorripotu, T.S.; Sahu, R.K.; Panda, S. AGC of a multi-area power system under deregulated environment using redox flow batteries and interline power flow controller. Eng. Sci. Technol. Int. J. 2015, 18, 555–578. [Google Scholar] [CrossRef]
- Zare, K.; Hagh, M.T.; Morsali, J. Effective oscillation damping of an interconnected multi-source power system with automatic generation control and TCSC. Int. J. Electr. Power Energy Syst. 2015, 65, 220–230. [Google Scholar] [CrossRef]
- Morsali, J.; Zare, K.; Hagh, M.T. Performance comparison of TCSC with TCPS and SSSC controllers in AGC of realistic interconnected multi-source power system. Ain Shams Eng. J. 2016, 7, 143–158. [Google Scholar] [CrossRef]
- Soliman, A.M.A.; Bahaa, M.; Mehanna, M.A. PSO tuned interval type-2 fuzzy logic for load frequency control of two-area multi-source interconnected power system. Sci. Rep. 2023, 13, 8724. [Google Scholar] [CrossRef]
- Wazir, A.B.; Alhussainy, A.A.; Alghamdi, S.; Rawa, M.; Sindi, H.F. Robust Load Frequency Control of Two-Area Interconnected Power System Using Fuzzy-I Controller. In Proceedings of the IEEE IAS Global Conference on Emerging Technologies (GlobConET), Warsaw, Poland, 19–21 May 2023. [Google Scholar] [CrossRef]
- Wazir, A.B.; Alhussainy, A.A.; Alobaidi, A.H.; Altaf, A.; Kumar, A.; Kumar, M.; Alghamdi, S. Robust Frequency Regulation for Dual-Area Interconnected Grids Using Hybrid Controller: A Comparative Study. In Proceedings of the IEEE 3rd International Conference on Smart Technologies for Power, Energy and Control (STPEC), Bhubaneswar, India, 10 December 2023. [Google Scholar] [CrossRef]
- Rawat, S.; Jha, B.; Panda, M.K.; Kanti, J. Interval Type-2 Fuzzy Logic Control-Based Frequency Control of Hybrid Power System Using DMGS of PI Controller. Appl. Sci. 2021, 11, 10217. [Google Scholar] [CrossRef]
- Rawat, S.; Jha, B.; Panda, M.K. Operation and Control of a Hybrid Isolated Power System with Type-2 Fuzzy PID Controller. Iran. J. Sci. Technol. Trans. Electr. Eng. 2018, 42, 403–417. [Google Scholar] [CrossRef]
- Veerasamy, V.; Wahab, N.I.A.; Ramachandran, R.; Othman, M.L.; Hizam, H.; Irudayaraj, A.X.R.; Guerrero, J.M.; Kumar, J.S. A Hankel Matrix Based Reduced Order Model for Stability Analysis of Hybrid Power System Using PSO-GSA Optimized Cascade PI-PD Controller for Automatic Load Frequency Control. IEEE Access 2020, 8, 71422–71446. [Google Scholar] [CrossRef]
- Dhanasekaran, B.; Siddhan, S.; Kaliannan, J. Ant colony optimization technique tuned controller for frequency regulation of single area nuclear power generating system. Microprocess. Microsyst. 2019, 73, 102953. [Google Scholar] [CrossRef]
- Zamani, A.; Barakati, S.M.; Yousofi-Darmian, S. Design of a fractional order PID controller using GBMO algorithm for load–frequency control with governor saturation consideration. ISA Trans. 2016, 64, 56–66. [Google Scholar] [CrossRef]
- Jain, S.; Hote, Y.V. Design of fractional PID for Load frequency control via Internal model control and Big bang Big crunch optimization. IFAC-Pap. 2018, 51, 610–615. [Google Scholar] [CrossRef]
- RMKuraz, Y.; Algreer, M.M.F. Design Fuzzy Self Tuning of PID Controller for Chopper-Fed DC Motor Drive. Maǧallaẗ Al-Handasaẗ Al-Rāfidayn 2008, 16, 54–66. [Google Scholar] [CrossRef]
- Ghany, M.A.; Bahgat, M.; Refaey, W.; Hassan, F. Design of Fuzzy Self Tuning PID Load Frequency Controller for the Egyptian Power System. J. Al-Azhar Univ. Eng. Sect. 2017, 12, 77–89. [Google Scholar] [CrossRef][Green Version]
- El Zoghbyand, H.M.; Abdel Ghany, A.M. Transient fault ride-through of a multi-generators wind farm using a self tuning fuzzy PID controller. In Proceedings of the International Middle-East Power Systems Conference-MEPCON’2014, Ain Shams University, Cairo, Egypt, 23–25 December 2014. [Google Scholar]
- Bhatt, P.; Roy, R.; Ghoshal, S.P. GA/particle swarm intelligence based optimization of two specific varieties of controller devices applied to two-area multi-units automatic generation control. Int. J. Electr. Power Energy Syst. 2009, 32, 299–310. [Google Scholar] [CrossRef]
- Bhatt, P.; Ghoshal, S.P.; Roy, R. Coordinated control of TCPS and SMES for frequency regulation of interconnected restructured power systems with dynamic participation from DFIG based wind farm. Renew. Energy 2011, 40, 40–50. [Google Scholar] [CrossRef]
- Padhan, S.; Sahu, R.K.; Panda, S. Automatic generation control with thyristor controlled series compensator including superconducting magnetic energy storage units. Ain Shams Eng. J. 2014, 5, 759–774. [Google Scholar] [CrossRef]
- Dash, P.; Saikia, L.C.; Sinha, N. Comparison of performances of several FACTS devices using Cuckoo search algorithm optimized 2DOF controllers in multi-area AGC. Int. J. Electr. Power Energy Syst. 2014, 65, 316–324. [Google Scholar] [CrossRef]
- Kalyan, C.H.N.S.; Rao, G.S. Impact of communication time delays on combined LFC and AVR of a multi-area hybrid system with IPFC-RFBs coordinated control strategy. Prot. Control. Mod. Power Syst. 2021, 6, 1–20. [Google Scholar] [CrossRef]
- Khadanga, R.K.; Kumar, A.; Panda, S. Frequency control in hybrid distributed power systems via type-2 fuzzy PID controller. IET Renew. Power Gener. 2021, 15, 1706–1723. [Google Scholar] [CrossRef]
- Liang, N.Q.; Mendel, J.M. Interval type-2 fuzzy logic systems: Theory and design. IEEE Trans. Fuzzy Syst. 2000, 8, 535–550. [Google Scholar] [CrossRef] [PubMed]
- Ontiveros-Robles, E.; Melin, P.; Castillo, O. New Methodology to Approximate Type-Reduction Based on a Continuous Root-Finding Karnik Mendel Algorithm. Algorithms 2017, 10, 77. [Google Scholar] [CrossRef]
- Lee, Y.-S.; Cheng, M.-W. Intelligent Control Battery Equalization for Series Connected Lithium-Ion Battery Strings. IEEE Trans. Ind. Electron. 2005, 52, 1297–1307. [Google Scholar] [CrossRef]
- Karnik, N.N.; Mendel, J.M. Centroid of a type-2 fuzzy set. Inf. Sci. 2001, 132, 195–220. [Google Scholar] [CrossRef]
- Sivanandam, S.N.; Sumathi, S.; Deepa, S.N. Introduction to Fuzzy Logic Using MATLAB; Springer: Berlin/Heidelberg, Germany, 2007. [Google Scholar] [CrossRef]
- Abraham, N.M.; Parameswaran, A.P.; Abraham, R.J. Effects of Thyristor Controlled Series Capacitor (TCSC) on oscillations in tie-line power and area frequencies in an interconnected non-reheat thermal power system. In Proceedings of the International Conference on Power and Energy Systems, Chennai, India, 22–24 December 2011; pp. 1–7. [Google Scholar]
- Zhang, X.-P.; Rehtanz, C.; Pal, B. Flexible AC Transmission Systems: Modelling and Control; Springer Science & Business Media: Berlin/Heidelberg, Germany, 2006. [Google Scholar] [CrossRef]
- Amine, K. Multiobjective Simulated Annealing: Principles and Algorithm Variants. Adv. Oper. Res. 2019, 2019, 8134674. [Google Scholar] [CrossRef]
- Wang, G.-G.; Guo, L.; Gandomi, A.H.; Alavi, A.H.; Duan, H. Simulated Annealing-Based Krill Herd Algorithm for Global Optimization. Abstr. Appl. Anal. 2013, 2013, 213853. [Google Scholar] [CrossRef]
- Sahu, R.K.; Panda, S.; Padhan, S. A hybrid firefly algorithm and pattern search technique for automatic generation control of multi area power systems. Int. J. Electr. Power Energy Syst. 2014, 64, 9–23. [Google Scholar] [CrossRef]
- Ali, T.; Malik, S.A.; Hameed, I.A.; Daraz, A.; Mujlid, H.; Azar, A.T. Load Frequency Control and Automatic Voltage Regulation in a Multi-Area Interconnected Power System Using Nature-Inspired Computation-Based Control Methodology. Sustainability 2022, 14, 12162. [Google Scholar] [CrossRef]
Disclaimer/Publisher’s Note: The statements, opinions and data contained in all publications are solely those of the individual author(s) and contributor(s) and not of MDPI and/or the editor(s). MDPI and/or the editor(s) disclaim responsibility for any injury to people or property resulting from any ideas, methods, instructions or products referred to in the content. |
© 2024 by the authors. Licensee MDPI, Basel, Switzerland. This article is an open access article distributed under the terms and conditions of the Creative Commons Attribution (CC BY) license (https://creativecommons.org/licenses/by/4.0/).
























