Experimental Study of a Gas-Liquid-Solid Three-Phase Flow in an Aeration Tank Driven by an Inverted Umbrella Aerator
Abstract
:1. Introduction
2. Text Model and Devices
3. Aeration Performance Test
3.1. Test Steps
- With a calibration instrument, add water to the aeration tank to a liquid height level of , then adjust the height of the impeller to the specified immersion depth.
- When the impeller is functioning, the dissolved oxygen content in the tank is uniform. One measuring point is set up. The setting position is shown in Figure 5.
- Calculate the sludge powder mass required for the different sludge concentrations, put the sludge into a drying box, and dry it at 105 °C for 60 min. Weigh the sludge using an electronic balance, configure the sludge mixture, and activate the inverted umbrella aerator to keep the mixture evenly concentrated.
- Add NaSO4 as a deoxidizer; the required mass is:where is the deoxidation safety factor, taken as 1.5. is the concentration of dissolved oxygen, in . is the volume of water, in . CoCl2·6H2O is used as the experimental catalyst at a concentration of 0.10 .
- Sprinkle the chemical into the aeration tank and observe the readings from the dissolved oxygen-measuring instrument. When the dissolved oxygen concentration in the liquid has been stabilized for 3 min, begin recording the results.
- The dissolved oxygen concentration data are recorded every 30s for 30 min.
- Repeat steps 3–5 until the recording of the dissolved oxygen concentration is completed.
- After the dissolved oxygen concentration measurements are complete, data processing is performed. (a) The dissolved oxygen concentrations are classified by the different times; arrange them over time and draw a graph. (b) Taking the time point as the abscissa and the logarithmic oxygen deficit value as the ordinate, draw a scatter diagram and fit a straight line.
3.2. Discussion
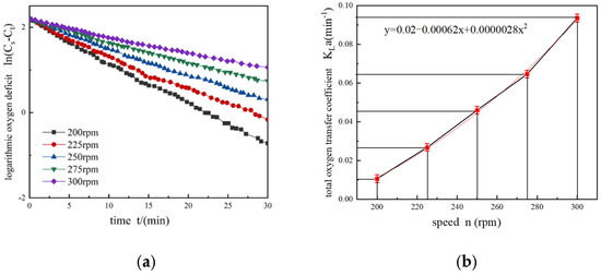
3.2.1. Standard Oxygen Total Transfer Coefficient
3.2.2. Standard Power Efficiency
4. Internal Flow Test
4.1. Test Steps
- Fix the probe in the sludge, making it parallel to the direction of the water flow. Start the measurement after the inverted umbrella aerator is working stably.
- Use a syringe to sample 200 mL of the sewage at the measuring point.
- Dry the sample at 105° C for 60 min, then weigh it with an electronic balance, record the weight, and calculate the sludge concentration at the measuring point.
4.2. Discussion
5. Conclusions
Author Contributions
Funding
Institutional Review Board Statement
Informed Consent Statement
Data Availability Statement
Conflicts of Interest
References
- Anastasios, I.S. Modelling of oxidation ditches using an open channel flow 1-D advection-dispersion equation and ASM1 process description. Water Sci. Technol. 1997, 36, 269–276. [Google Scholar] [CrossRef]
- Lesage, N.; Sperandio, M.; Lafforgue, C.; Cockx, A. Calibration and application of a 1-d model for oxidation ditches. Chem. Eng. Res. Des. 2003, 81, 1259–1264. [Google Scholar] [CrossRef]
- Simon, S.; Roustan, M.; Audic, J.M.; Chatellier, P. Prediction of mean circulation velocity in oxidation ditch. Environ. Technol. 2001, 22, 195–204. [Google Scholar] [CrossRef] [PubMed]
- Moullec, Y.; Potier, O.; Gentric, C.; Leclerc, P. Flow field and residence time distribution simulation of a cross-ow gas-liquid wastewater treatment reactor using cfd. Chem. Eng. Sci. 2008, 63, 2436–2449. [Google Scholar] [CrossRef]
- Zhang, D.; Guo, L.; Xu, D.; Chen, Y. Simulation of component distributions in a full-scale carrousel oxidation ditch: A model coupling sludge-wastewater two-phase turbulent hydrodynamics with bioreaction kinetics. Environ. Eng. Sci. 2009, 27, 154. [Google Scholar] [CrossRef]
- Xing, P.; Qiu, B. The oxidation ditch ow field analysis pushed by the new type surface inverted umbrella aerator. In Proceedings of the 2013 Third International Conference on Intelligent System Design and Engineering Applications, Hong Kong, China, 16–18 January 2013; pp. 53–55. [Google Scholar] [CrossRef]
- Xing, P.; Zhao, J.; Xiu, Y. The finite element analysis and optimal design to inverted umbrella aerator. Adv. Mater. Res. 2011, 199–200, 187–192. [Google Scholar] [CrossRef]
- Ming, J.; Dong, L.; Liu, H.; Zhao, Y.; Yao, H. Influence of blade shape on performance in inverse umbrella aerator. J. Drain. Irrig. Mach. Eng. 2018, 36, 104–110. [Google Scholar]
- Zhou, W.; Fan, K.; Guo, Q. Study on oxygen transfer characteristics of inverted-umbrella type surface aerator. Ind. Water Wastewater 2013, 44, 58–6080. [Google Scholar]
- Wang, Y.; Ming, J.; Dong, L.; Liu, H.; Liu, J.; Wang, W. Experiment on influence of operating parameters on aeration performance in inverse umbrella aerator. Trans. Chin. Soc. Agric. Eng. 2017, 33, 67–73. [Google Scholar]
- Xu, J.; Zhang, D. A fluid and solid two-phase ow model and modeling of a carrousel oxidation ditch. Acta Sci. Circumstantiate 2008, 12, 2622–2627. [Google Scholar] [CrossRef]
- Long, F.; Xu, N.; Wang, Z.; Shi, H. PDA experiments and cfd simulation of a lab-scale oxidation ditch with surface aerators. Chem. Eng. Res. Des. 2010, 88, 23–33. [Google Scholar] [CrossRef]
- Zhang, D.; Mei, J.; Zhao, R.; Huang, J.; Jin, Y. Response surface method-based optimization of impeller of fluoroplastic two-phase ow centrifugal pump. J. Drain. Irrig. Mach. Eng. 2020, 38, 898. [Google Scholar]
- Dong, L.; Guo, J.; Liu, J.; Liu, H.; Dai, C. Experimental study and numerical simulation of gas-liquid two-phase ow in aeration tank based on cfd-pbm coupled model. Water 2020, 12, 1569. [Google Scholar] [CrossRef]
- Dong, L.; Liu, J.; Liu, H.; Dai, C.; Gradov, D.V. Study on the internal two-phase ow of the inverted-umbrella aerator. Adv. Mech. Eng. 2019, 11, 1687814019871731. [Google Scholar] [CrossRef]
- Roppongi, T.; Mizuno, N.; Miyagawa, Y.; Kobayashi, T.; Nakagawa, K.; Adachi, S. Solubility and mass transfer coefficient of oxygen through gas–and water–lipid interfaces. J. Food Sci. 2021, 86, 867–873. [Google Scholar] [CrossRef] [PubMed]
- Funfschilling, D.; Huaizhong, L. Effects of the injection period on the rise velocity and shape of a bubble in a non-Newtonian fluid. Chem. Eng. Res. Des. 2006, 84, 875–883. [Google Scholar] [CrossRef]














| Type | Model | Range | Precision | Productor |
|---|---|---|---|---|
| Portable Flow Meter | SL-50B | 0.01–5 m/s | 0.001 | Sheng Rong |
| Dissolved Oxygen Meter | JPB-607A | 0~20 mg/L | ±0.3 mg/L | Hai Ci |
| Torque meter | CYT-302 | 0–20 N·m | 0.25 | Tian Yu |
| Liquid Level | 400 | ||||||||
|---|---|---|---|---|---|---|---|---|---|
| Rotating speed | 200 | 225 | 250 | 275 | 300 | ||||
| Immersion deth | +16 | +8 | 0 | −8 | −16 | −20 | −24 | −32 | −40 |
| Sludge concentration | 0 | 1 | 1.5 | 2 | 2.5 | 3 | 3.5 | 4 | 4.5 |
Publisher’s Note: MDPI stays neutral with regard to jurisdictional claims in published maps and institutional affiliations. |
© 2022 by the authors. Licensee MDPI, Basel, Switzerland. This article is an open access article distributed under the terms and conditions of the Creative Commons Attribution (CC BY) license (https://creativecommons.org/licenses/by/4.0/).
Share and Cite
Hu, S.; Dong, L.; Hua, R.; Guo, J.; Liu, H.; Dai, C. Experimental Study of a Gas-Liquid-Solid Three-Phase Flow in an Aeration Tank Driven by an Inverted Umbrella Aerator. Processes 2022, 10, 1278. https://doi.org/10.3390/pr10071278
Hu S, Dong L, Hua R, Guo J, Liu H, Dai C. Experimental Study of a Gas-Liquid-Solid Three-Phase Flow in an Aeration Tank Driven by an Inverted Umbrella Aerator. Processes. 2022; 10(7):1278. https://doi.org/10.3390/pr10071278
Chicago/Turabian StyleHu, Siyuan, Liang Dong, Runan Hua, Jinnan Guo, Houlin Liu, and Cui Dai. 2022. "Experimental Study of a Gas-Liquid-Solid Three-Phase Flow in an Aeration Tank Driven by an Inverted Umbrella Aerator" Processes 10, no. 7: 1278. https://doi.org/10.3390/pr10071278
APA StyleHu, S., Dong, L., Hua, R., Guo, J., Liu, H., & Dai, C. (2022). Experimental Study of a Gas-Liquid-Solid Three-Phase Flow in an Aeration Tank Driven by an Inverted Umbrella Aerator. Processes, 10(7), 1278. https://doi.org/10.3390/pr10071278

