Sign in to use this feature.

Years

Between: -

Subjects

remove_circle_outline
remove_circle_outline
remove_circle_outline
remove_circle_outline
remove_circle_outline

Journals

Article Types

Countries / Regions

Search Results (3)

Search Parameters:
Keywords = inverted umbrella aerator

Order results
Result details
Results per page
Select all
Export citation of selected articles as:
12 pages, 5048 KB  
Article
Experimental Study of a Gas-Liquid-Solid Three-Phase Flow in an Aeration Tank Driven by an Inverted Umbrella Aerator
by Siyuan Hu, Liang Dong, Runan Hua, Jinnan Guo, Houlin Liu and Cui Dai
Processes 2022, 10(7), 1278; https://doi.org/10.3390/pr10071278 - 29 Jun 2022
Cited by 3 | Viewed by 2114
Abstract
The three-phase flow in a aeration tank driven by an inverted umbrella aerator is relatively complex, including the processes of the hydraulic jump, air entrainment, and sludge particle sedimentation. A three-phase flow test bench for an inverted umbrella aerator is established for studying [...] Read more.
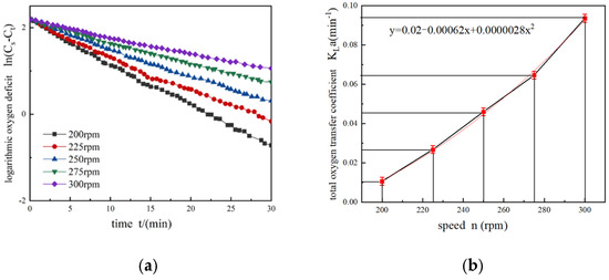
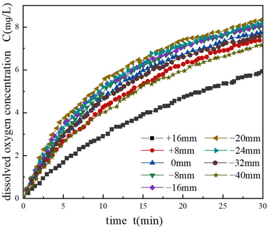
The three-phase flow in a aeration tank driven by an inverted umbrella aerator is relatively complex, including the processes of the hydraulic jump, air entrainment, and sludge particle sedimentation. A three-phase flow test bench for an inverted umbrella aerator is established for studying its influence on aeration performance. The experiment mainly studies the changed law of aeration performance under different immersion depths or sludge concentrations and measures the flow rate and sludge concentrations in the aeration tank in different working conditions. The results are as follows. (1) The total oxygen transfer coefficient, standard oxygenation capacity, and standard power efficiency increase with the increase in rotational speed. The total oxygen transfer coefficient and standard-charge oxygen capacity first increase and then decrease with the decrease in immersion depth, reaching a maximum at −20 mm immersion depth. The standard dynamic efficiency has a similar trend and reaches a maximum at −8 mm immersion depth. (2) In the aeration tank, the flow velocity near the impeller is faster and has greater turbulence. The shallow water is more profoundly affected by the impeller compared with the deeper water. (3) The shallow-water sludge varies greatly, and the deep-water sludge is distributed uniformly when the inverted umbrella aerator works stably. Full article
(This article belongs to the Section Environmental and Green Processes)
Show Figures

Figure 1

15 pages, 3051 KB  
Article
Experimental Study on Aeration Performance and Bubble Characteristics of Inverted Umbrella Aerator
by Cui Dai, Jinnan Guo, Jiawei Liu, Liang Dong and Houlin Liu
Water 2020, 12(10), 2809; https://doi.org/10.3390/w12102809 - 10 Oct 2020
Cited by 10 | Viewed by 3863
Abstract
In order to understand the aeration performance of inverted umbrella aerator and bubble characteristics in aeration tank under different conditions, and to reveal the internal relationship between bubble characteristics and aeration performance, an experimental bench of dissolved oxygen concentration and high-speed photography was [...] Read more.
In order to understand the aeration performance of inverted umbrella aerator and bubble characteristics in aeration tank under different conditions, and to reveal the internal relationship between bubble characteristics and aeration performance, an experimental bench of dissolved oxygen concentration and high-speed photography was built. Logarithmic oxygen deficit values were fitted under various conditions. The images captured by high-speed photography were processed, then the bubble characteristics were extracted accurately. It was found that the standard oxygen mass transfer coefficient increased linearly with an increase of rotational speed at a certain immersion depth, and increased firstly then decreased with a decrease of immersion depth when rotational speed was kept constant. The bubble size ranged from 0 mm to 1.59 mm under different working conditions, and the variation of the gas holdup was the same as the standard oxygen mass transfer coefficient when the rotational speed and immersion depth were changing. It was shown that bubbles play a leading role in the process of oxygen mass transfer and have a great influence on oxygen mass transfer rate. Full article
(This article belongs to the Section Hydraulics and Hydrodynamics)
Show Figures

Figure 1

20 pages, 11868 KB  
Article
Experimental Study and Numerical Simulation of Gas–Liquid Two-Phase Flow in Aeration Tank Based on CFD-PBM Coupled Model
by Liang Dong, Jinnan Guo, Jiawei Liu, Houlin Liu and Cui Dai
Water 2020, 12(6), 1569; https://doi.org/10.3390/w12061569 - 30 May 2020
Cited by 16 | Viewed by 4368
Abstract
Gas–liquid two-phase flow directly determines the efficiency and stability of the aeration tank. In this paper, a gas–liquid two-phase testbed is built to explore the aeration performance and internal flow in an aeration tank, including an inverted-umbrella impeller (immersion depth of 0 mm, [...] Read more.
Gas–liquid two-phase flow directly determines the efficiency and stability of the aeration tank. In this paper, a gas–liquid two-phase testbed is built to explore the aeration performance and internal flow in an aeration tank, including an inverted-umbrella impeller (immersion depth of 0 mm, rotational speed of 250 r/min). Also, the running process is simulated by computational fluid dynamics (CFD) with a population balance model (PBM), and mass transfer coefficient is compared to the experiment. The experimental results show that there is a big difference in bubble diameter, ranging from 0.4 to 1.6 mm. The simulation shows that the impeller intensely draws air above the free surface into the shallow liquid, and the circulation vortex entrains it to the bottom areas faster. Compared with the experiment, the simulated interfacial area and standard oxygen mass transfer coefficient is 12% more and 3% less, respectively. The results reveal that CFD-PBM coupled model can improve the accuracy of calculation, resulting in the simulation of gas–liquid two-phase flow. Full article
(This article belongs to the Section Wastewater Treatment and Reuse)
Show Figures

Figure 1

Back to TopTop