You are currently viewing a new version of our website. To view the old version click .
Processes
  • Article
  • Open Access

27 May 2022

Evaluation of Weighted Mean of Vectors Algorithm for Identification of Solar Cell Parameters

,
,
,
,
and
1
Department of Power Electronic and Energy Conversion, Electronics Research Institute, Giza 12311, Egypt
2
Faculty of Computer Studies (FCS), Arab Open University (AOU), Madinat Sultan Qaboos P.O. Box 1596, Oman
3
Faculty of Science, Minia University, Minia 61519, Egypt
4
Electrical Engineering Department, Faculty of Engineering, Fayoum University, Fayoum 43518, Egypt

Abstract

The environmental and technical benefits of renewable energy sources make expanding their use essential in our lives. The main source of renewable energy used in this work is photovoltaic energy. Photovoltaic cells are a clean energy source dependent on solar irradiance to generate electricity from sunlight. The identification of solar cell variables is one of the main items in the simulation and modeling of photovoltaic models. The models used in this work are triple-diode, double-diode, and single-diode solar cells. A novel optimization method called weighted mean of vectors (INFO) is applied for estimating the solar cell variables in the three models. The fitness function of identification is to minimize the root-mean-square error (RMSE) between the measured data of current and the data of simulated current based on the parameters identified from the algorithms. The INFO technique is compared with another seven methods: Harris hawk optimization (HHO), tunicate swarm algorithm (TSA), sine—cosine algorithm (SCA), moth–flame optimizer (MFO), grey wolf optimization (GWO), chimp optimization algorithm (ChOA), and Runge–Kutta optimization (RUN).

1. Introduction

Sources of renewable energy (RE) have appeared as a possible alternative due to the unstable nature of the fossil fuels’ prices, solid wastes, and pollution [1,2,3]. One of the main types of RE is solar energy (SE), due to its low maintenance, near-conventional production processes, global distribution and noise-free operation [4,5]. Photovoltaic (PV) systems are systems that use solar radiation to generate electricity [6]. Satellites [7], water desalination [8,9], and heating and cooling [10] are the main applications of PV systems.
The solar cells have several models according to the number of diodes connected in the model, e.g., single-diode (SD), double-diode (DD), and three-diode (TD) models, and their modifications [11,12]. The identification of parasitic variables from the solar cell is also important to obtain the best performance [13]. The number of variables is dependent on the model: the single-diode model and its modification have 5 and 6 parameters, respectively; the double-diode model and its modification have 7 and 8 parameters, respectively; the triple-diode model and its modification have 9 and 10 parameters, respectively [14,15].
The estimation of theses parameters can be solved via two categories: metaheuristic techniques, and iterative methods. In [16], a mathematical model for the SD model is discussed. Improvement of power generated from solar cells is included in [17]. The I–V characteristics are determined as nonlinear characteristics based on three points [18]. Iterative solutions have been applied to identify the PV variables in [19,20,21,22], such as the Lambert W function [19], maximum-likelihood-based Newton–Raphson [20], linear least squares [21], and Gauss–Seidel methods [22]. Furthermore, several works neglect some variables, or make assumptions to decrease the number of parameters required to be estimated [23,24,25].
The merits of metaheuristic methods provide confirmation of the validity of alternative methods for solving complex optimization problems [26,27,28,29,30]. The main problem in this work is the identification of solar cell variables using a novel algorithm. This work was discussed previously using several techniques, such as differential evolution [31], bacterial foraging algorithm [32], artificial bee swarm [33], generalized oppositional teaching–learning-based optimization [34], slap swarm algorithm [35], particle swarm optimization [36], Nelder–Mead modified particle swarm optimization [37], chaos particle swarm optimization [38], cat swarm optimization [39], harmony search [40], genetic algorithms [41], cuckoo search algorithm [42], improved adaptive differential evolution [43], simulated annealing [44], and pattern search [45].
This work contributes to the literature in the following ways:
  • A novel optimization method (INFO) is applied to estimate the variables of three models of solar cell: the three-diode model of solar cell (TDMSC), double-diode model of solar cell (DDMSC), and single-diode model of solar cell (SDMSC).
  • The fitness function of the identification work is to minimize the RSME between the measured data of current and the data of simulated current based on the parameters identified from the algorithms.
  • The INFO technique is compared with another seven methods: Harris hawk optimization, tunicate swarm algorithm, sine–cosine algorithm, moth–flame optimizer, grey wolf optimization, chimp optimization algorithm, and Runge–Kutta Optimization.
  • The statistical analysis is applied to measure and assess the performance of the proposed RUN algorithm along with all competing algorithms. The analysis contains several points, such as the mean, minimum, maximum, and standard deviation for the objective function over 30 independent runs.
  • The fastest and most reliable algorithm is determined according to the convergence and robustness curves for all algorithms.
  • The efficiency of the INFO method is also determined based on the absolute error values of current and power among both measured and simulated data.
The rest of this work is arranged as follows: The mathematical models of the three solar cell models are analyzed in Section 2, whereas Section 3 discuss the fitness function of identifying the solar cell parameters. The mathematical definition of weighted mean is analyzed in Section 4. Section 5 explains the INFO algorithm. The results of the estimated parameters for TDMSC, DDMSC, and SDMSC are discussed in Section 6. Finally, the conclusion of this paper is presented in Section 7.

2. Problem Formulation of Solar Cell Models

There are three solar cell models used in this work: the three-diode model of solar cell (TDMSC), double-diode model of solar cell (DDMSC), and single-diode model of solar cell (SDMSC).

2.1. Analysis of SDMCS

The SDMSC equivalent circuit is explained in Figure 1. The SDMSC mathematical equations are described as follows:
I = I p v I D 1 I s h                                                                    
I = I p v I h 1 e q V + I R s n 1 K T c 1 V + I R s R s h                  
where the SDMSC current output is I,  I p v represents the generated light current, I s h indicates the shunt resistor current, I D 1 is the current in diode, R s is the series resistance, R s h is the parallel resistance, n 1 is the diode emission factor, the charge of the electron is q, the Boltzmann constant is K, and the temperature of the cell is T c .
Figure 1. SDMSC circuit.

2.2. Analysis of DDMSC

The DDMSC equivalent circuit is explained in Figure 2. The DDMSC mathematical equations are described as follows:
I = I p v I D 1 I D 2 I s h              
I = I p v I h 1 e q V + I R s n 1 K T c 1 I h 2 e q V + I R s n 2 K T c 1 V + I R s R s h
where I D 2 denotes the current in the second diode, and n 2 is the emission factor for the second diode.
Figure 2. DDMSC circuit.

2.3. Analysis of TDMSC

The TDMSC equivalent circuit is explained in Figure 3. The TDMSC mathematical equations are described as follows:
I = I p v I D 1 I D 2 I D 3 I s h        
I = I p v I h 1 e q V + I R s n 1 K T c 1 I h 2 e q V + I R s n 2 K T c 1 I h 3 e q V + I R s n 3 K T c 1 V + I R s R s h
where I D 3 denotes the current flow from the third diode, and n 3 represents the ideality factor in the third diode.
Figure 3. TDMSC circuit.

3. Fitness Function for Identifying the Parameters of the Solar Cell

The boundaries of the parameters and the fitness function are the two main items in any problem solved using optimization algorithms. The fitness function of the solar cell problem used in this work is to minimize the RMSE. The RMSE mathematical equation is as follows:
J V .   I .   X = I s i m I e x p        
R M S E = 1 N i = 1 N J V .   I .   X 2    
where I e x p denotes the measured recorded current data, whereas N represents the number of samples, and X represents the estimated variables.
The estimated parameters for the SDSCM are X = R s .   I h 1 .   n 1 .   R s h   a n d   I p v   . The estimated variables for the DDSCM are X = R s .   I h 1 .   n 1   .   R s h   .   I p v   .   I h 2   a n d   n 2   . The estimated variables for the TDSCM are X = R s .   I h 1 .   n 1 .   R s h   .   I p v   .   I h 2   .   n 2   .   I h 3   a n d   n 3 . (Table 1).
Table 1. The lower and upper bounds of the variables.

4. Weighted Mean Definition

The optimization algorithmic method used in this paper is based upon a weighted mean that shows a unique location within the object or system [46]. The detailed definition of that concept is given in this section.

Weighted Mean Definition from a Mathematical Point of View

For any set of vectors, the mean represents the average of their positions x i , and is weighted by the vector’s fitness ( w i ) . The weighted mean for a set of solutions is depicted in Figure 4, where the solutions (vectors) of bigger weights show better efficiency in computing the solutions’ weighted mean. Equation (9) is implemented to compute the weighted mean ( W M ):
W M = i = 1 N x i × w i i = 1 N w i
where N represents the number of vectors. To give an optimal explanation, W M can be treated as two vectors by using Equation (10):
W M = x 1 × w 1 + x 2 × w 2 w 1 + w 2
Figure 4. Weighted mean for a set of solutions/vectors.
In this regard, the weight of every vector in this work was computed by employing wavelet function (WF) [46]. Generally speaking, the wavelet is utilized as a useful tool to model seismic signals through compounding translations as well as dilations for oscillatory function (e.g., mother wavelet) over a finite period. This function is utilized to ensure efficient fluctuations throughout the optimization operation. The mother wavelet employed in this work is depicted in Figure 5, and is defined by the following equation:
w = c o s x × e x p x 2 ω
where ω represents a constant number, namely, the dilation parameter.
Figure 5. Mother wavelet.
Figure 6a and depicts three vectors, whereas Figure 6c depicts the differences between them. Equations (12)–(15) are implemented to determine the weighted mean of the vectors:
W M = w 1 × x 1 x 2 + w 2 × x 1 x 3 + w 3 × x 2 x 3 w 1 + w 2 + w 3
in which:
w 1 = c o s f x 1 f x 2 + π × e x p f x 1 f x 2 ω
w 2 = c o s f x 1 f x 3 + π × e x p f x 1 f x 3 ω
w 3 = c o s f x 2 f x 3 + π × e x p f x 2 f x 3 ω
where f x the indicates fitness function of the vector x .
Figure 6. The weighted mean of three vectors. (a) three vectors (b) differences between them (c) weighted mean of them.

5. The Weighted Mean from Vectors Algorithm

The algorithm of weighted mean from vectors (INFO) is a population-based algorithm for optimization purposes that computes the weighted mean of a set of vectors within the search space. In this context, the population encompasses a group of vectors that show potential solutions. This algorithm reaches the optimal solution across many successive generations.
The vectors’ positions are updated by three operators in each generation:
  • Phase 1: Updating rules;
  • Phase 2: Vector combination;
  • Phase 3: Local search.
Herein, an objective function minimization issue is considered as an example.

5.1. The Initialization Phase

The INFO algorithm encompasses a population of N P vectors in a D -dimensional search space ( X i , g g = x l , 1 g , x l , 2 g , , x l , D g , l = 1 , 2 , , N P ). Some of the control parameters are given and defined with the INFO algorithm in this step, including two principle parameters: the weighted mean factor δ and scaling factor σ .
In general, the scaling rate amplifies the obtained vector through the operator of updating rules, which depends on the search domain size.
Furthermore, the σ factor scales the vectors’ weighted mean. Its value is set according to the problems’ feasible search domain, and reduced depending on an exponential formula. There is no need for the user to adjust these two parameters, as they dynamically change based upon generation. The INFO algorithm utilizes a simple method to produce the initial vectors, namely, random generation.

5.2. The Rule-Updating Phase

Chameleons possess the capacity to identify the position of their prey by rotating their eyes. This rotational feature assists them in spotting their prey over 360 degrees [46]. The accompanying steps take place in such a manner.
The operator of updating rules in the INFO algorithm increases the population’s diversity through the search procedure. This operator utilizes the weighted mean of vectors in creating new vectors. Moreover, this operator discriminates the INFO algorithm from the other algorithms, and comprises two principle parts: In the first part, the mean-based rule is extracted from the weighted mean of a group of random vectors. The mean-based approach starts from initial random solution, and then moves to the subsequent solution by utilizing the information of weighted mean from set of randomly chosen vectors. The convergence acceleration is represented in the second part, which improves convergence speed and boosts the algorithm’s performance in finding optimal solutions.
Generally, INFO first utilizes a set of randomly chosen differential vectors in order to derive the weighted mean from vectors, rather than changing the position of the current vector toward an optimal solution. In this study, the mean rule considers raising the population’s diversity depending on the best, worst, and better solutions. It should be noted that determining the best solution is randomly implemented from the top five solutions (with regard to objective function value). Thus, the mean-based rule, as defined in Equation (16), is conducted to a M e a n R u l e :
M e a n R u l e = r × W M 1 l g + 1 r × W M 2 l g , l = 1 , 2 , , N p
W M 1 l g = δ × w 1 x a 1 x a 2 + w 2 x a 1 x a 3 + w 3 x a 2 x a 3 w 1 + w 2 + w 3 + ε + ε × r a n d   , l = 1 , 2 , , N p
where:
w 1 = c o s f x a 1 f x a 2 + π × e x p f x a 1 f x a 2 ω
w 2 = c o s f x a 1 f x a 3 + π × e x p f x a 1 f x a 3 ω
w 3 = c o s f x a 2 f x a 3 + π × e x p f x a 2 f x a 3 ω
ω = m a x f x a 1 , f x a 2 , f x a 3
W M 2 l g = δ × w 1 × x b s x b t + w 2 x b s x w s + w 3 x b t x w s w 1 + w 2 + w 3 + ε + ε × r a n d ,                   l = 1 , 2 , , N P
where:
w 1 = c o s f x b s f x b t + π × e x p f x b s f x b t ω
w 2 = c o s f x b s f x w s + π × e x p f x b s f x w s ω
w 3 = c o s f x b t f x w s + π × e x p f x b t f x w s ω
ω = f x w s
where f x refers to the objective function value; a 1 a 2 a 3 l represent different integers chosen randomly from the 1 , N P range; ε denotes a constant number with a very small value; r a n d n represents a random value distributed normally; and x b s , x w s , and x b t denote the best, worst, and better solutions over all vectors within the population in each g t h generation, respectively. These solutions are decided after arranging the solutions in each iteration. r denotes a random number from the 0 , 0.5 range, whereas w 1 , w 2 , and w 3 denote three WFs utilized to compute the weighted mean of vectors that promote the algorithm of INFO to globally search within the solution space.
In fact, the WFs are utilized to change the M e a n R u l e space depending on the wavelet theory, for two purposes: (1) to help the algorithm to efficiently explore the search domain in order to achieve better solutions by creating effective oscillation throughout the optimization operation; and (2) to produce fine-tuning by controlling the dilation-related parameters given in the WFs, so as to adjust the WFs’ amplitude. The dilation parameter’s value in this work was varied based on Equation (9) throughout the optimization operation. In Equation (27), δ represents the scale factor, whereas β can be varied according to an exponential function given in Equation (28):
δ = 2 β × r a n d β
β = 2 exp 4 × g M a x g
where M a x g represents the maximum number of generations.
The part specified to convergence acceleration ( C A ) is also added to the operator of updating rules to promote the global search capability, by using the optimal vector to change the position of the current vector within the search space. Accordingly, the INFO algorithm supposes that the nearest solution for global optima is the optimal solution. In fact, C A assists the movement of vectors in better directions. The C A given in Equation (29) is multiplied by a number that is random and lies in the 0 , 1   r a n d range, to confirm that every vector has a different step size at every generation in INFO:
C A = r a n d n × x b s x a 1 f x b s f x a 1 + ε
where r a n d n represents a random number that has normal distribution. Equation (30) is implemented to compute the new vector as follows:
z l g = x l g + σ × M e a n R u l e + C A
In general, an optimization algorithm has to conduct a global search so as to discover the promising spaces within the search domain (namely, the exploration phase). In this regard, the following scheme is implemented for updating rules by using x b s , x b t , x l g , and x a 1 g :
i f   r a n d < 0.5 z l g = x l g + σ × M e a n R u l e + r a n d n × x b s x a 1 g f x b s f x a 1 g + 1 z 2 l g = x b s + σ × M e a n R u l e + r a n d n × x a 1 g x b g f x a 1 g f x a 2 g + 1 e l s e                       z 1 l g = x a g + σ × M e a n R u l e + r a n d n × x a 2 g x a 3 g f x a 2 g f x a 3 g + 1 z 2 i g = x b s + σ × M e a n R u l e + r a n d n × x a 1 g x a 2 g f x a 1 g f x a 2 g + 1 e n d
where z 1 l g and z 2 l g represent the new vectors for the g t h generation, and σ denotes the scaling rate for a vector, as formulated in Equation (32). In Equation (33), α is changed according to the exponential function formulated in Equation (33):
σ = 2 α × r a n d α
α = c e x p d × g M a x g
where c and d represent constant numbers— c = 2 and d = 4 . It should be noted that using large values for the parameter σ makes the current position tend to diverge from the vectors’ weighted mean (i.e., exploration search), whereas small values for that parameter force the current position to move toward the vectors’ weighted mean (i.e., exploitation search).

5.3. The Vector-Combining Phase

For improving the population’s diversity in the INFO algorithm, according to Equations (34)–(36), the two vectors previously computed ( z 1 l g and z 2 l g ) are integrated with vector x l g with regard to the r a n d > 0.5 condition, to produce the new vector u l g . This operator is employed to boost the capability of the search to obtain a promising new vector:
i f   r a n d < 0.5
            i f   r a n d < 0.5
            u l g = z l l g + μ . z l l g z 2 l g
  e l s e
                      u l g = z 2 l g + μ . z l l g z 2 l g
  e n d
e l s e
            u l g = x l g
e n d
where u l g denotes the resulting vector employing vector combination at the g t h generation, whereas μ is equivalent to 0.05 × r a n d n .

5.4. The Local Search Phase

Efficient local search capability helps to prevent the INFO algorithm from deception and becoming trapped in locally optimal solutions. Accordingly, the local operator has to be taken into consideration using the ( x b e s t g ) global position as well as the mean-based rule formulated in Equation (39), so as to further boost the search, exploitation process, and convergence to the global optima. Depending on this operator, a new vector is generated around x b e s t g ; if r a n d < 0.5 , r a n d represents a random value from the 0 ,   1 range:
i f   r a n d < 0.5
            i f   r a n d < 0.5
                      u l g = x b s + r a n d n × M e a n R u l e + r a n d n × x b s g x a l g
e l s e
                      u l g = x r n d + r a n d n × M e a n R u l e + r a n d n × v 1 × x b s v 2 × x r n d
  e n d
  e n d
in which
x r n d = × x a v g + 1 × × x b t + 1 × x b s
x a v g = x a + x b + x 3 3
where indicates a random number from the 0 , 1 range, and x r n d denotes a new solution that integrates the solutions’ components x b t , x b s , and x a v g randomly. This increases the random nature of the algorithm to facilitate optimal searching the solution domain. v 1 and v 2 represent two random numbers, which are defined as follows:
v 1 = 2 × r a n d     i f   p > 0.5 1                                   o t h e r w i s e
v 2 = r a n d                   i f   p < 0.5 1                                   o t h e r w i s e
where p indicates a random number from the 0 , 1 range. These random numbers ( v 1 and v 2 ) can raise the quality of the optimal position of the vector. Eventually, Algorithm 1 illustrates the INFO algorithm. The calculation of complexity for the optimization algorithm is utilized to evaluate the runtime, which can be determined according to an algorithm’s structure. INFO’s computational complexity relies on the number of vectors, in addition to the total number of iterations and the number of objects, which is computed as follows:
O C M V = O T × N × d = O T N d
where N indicates the number of vectors (population size), T denotes the maximum number of generations, and d represents the number of objects.
Algorithm 1: The pseudocode for the INFO algorithm
Set the parameters of N P and M a x g
Produce the initial population P o p 0 = X k 0 , , X N P 0
Compute an objective function value from each vector: f X k 0 ,   k = 1 , , N P .
Determine the optimal vector x b e s t .
Do
{
    F o r   k = 1   t o   N P
      Choose randomly a b c k in the range 1 , N P .
      Compute w by using Equations (10)–(12) and (15)–(17).
      Update δ by using Equation (19) and σ with Equation (24).
      Compute the solutions   z 1 and z 2 using Equation (23).
       I f   r a n d < p C r   &   r a n d < 0.5
      Compute u i by using Equation (26).
       E l s e   I f   r a n d p C r   &   r a n d 0.5
      Compute u i by using Equation (27).
                   E n d   I f
       E l s e
      Compute u i by using Equation (27).
       E n d   I f
       I f   r a n d < 0.5
       I f   r a n d < 0.5
      Compute u i by using Equation (29).
       e l s e
      Compute u i by using Equation (30).
       E n d   I f
       E n d   I f
      Compute the value of objective function, f u k , j g .
       I f   f u k , j g < f x k , j g
         x k , j g + 1 = u k , j g
       E l s e
         x k , j g + 1 = x k , j g
       E n d   I f
    E n d   F o r
   Update the optimal vector x b e s t .
}
w h i l e   g M a x g
Return the vector x b e s t , j g as a final solution.

6. Numerical Analysis of Results

This section demonstrates the extracted parameters for the TDMSC, DDMSC, and SDMSC using the INFO algorithm. The proposed INFO method is compared with other methods, such as Harris hawk optimization (HHO) [47], tunicate swarm algorithm (TSA) [48], sine–cosine algorithm (SCA) [49], moth–flame optimizer (MFO) [50], grey wolf optimization (GWO) algorithm [51], chimp optimization algorithm (ChOA) [52], and Runge–Kutta optimization [53]. The R.T.C France module is used as case study for comparison between all methods. The variable settings for all techniques are given in Table 2.
Table 2. The algorithm parameter setting.

6.1. SDMSC Extracted Results

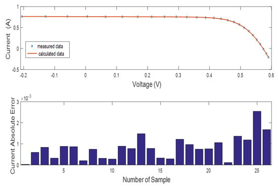
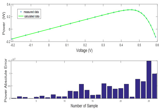
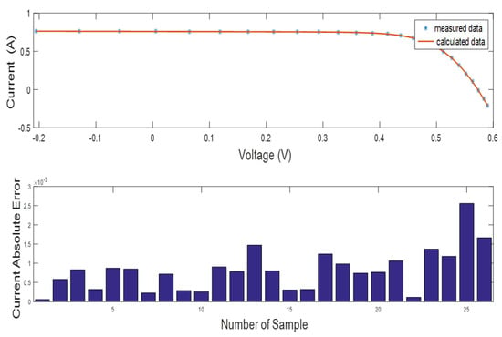
The results of the decision variables for the SDMSC assessed by the proposed INFO method and the other relative methods at the best RMSE are delineated in Table 3. The best technique, achieving the optimal RMSE value of 0.000986021877891538, is the INFO technique. The order of techniques based on the best value for RMSE is as follows: (1) INFO; (2) RUN; (3) MFO; (4) GWO; (5) HHO; (6) TSA; (7) SCA; (8) ChOA. The characteristics of the SDMSC based on the optimal decision variable estimated from the INFO algorithm are used to simulate the P–V and I–V curves, as shown in Figure 7 and Figure 8, respectively. Moreover, these figures describe the absolute error for power and current. According to the results in these figures, the power achieves absolute error equal to 1.97225076923463E-06 and the current achieves absolute error equal to 0.0000877042896620939. Furthermore, high similarity between the calculated and measured data is achieved by the INFO algorithm, meaning that the INFO algorithm achieves high performance and is accurate in identifying the decision parameters of the SDMSC.
Table 3. The SDMSC’s identified parameters at the best RMSE.
Figure 7. The SDMSC’s I–V curve based on the best solution from the INFO algorithm.
Figure 8. The SDMSC’s P–V curve based on the best solution from the INFO algorithm.

6.2. DDMSC Extracted Results

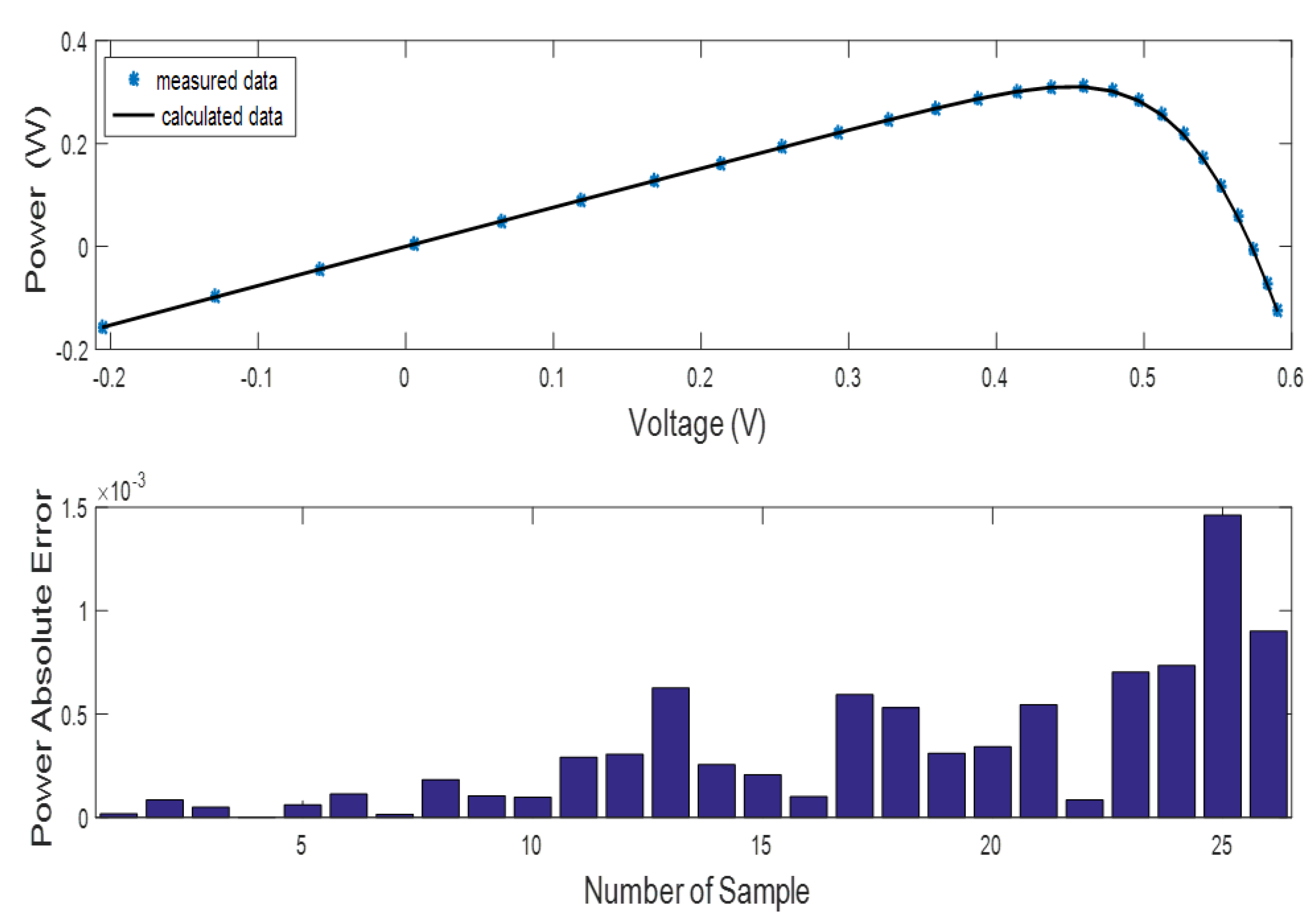
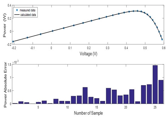
The results of the decision variables for the DDMSC assessed by the proposed INFO method and the other relative methods at the best RMSE are delineated in Table 4. The best technique, achieving the optimal RMSE value of 0.000982754918985878, is the INFO technique. The order of techniques based on the best value of RMSE is as follows: INFO, RUN, MFO, GWO, TSA, HHO, ChOA, and SCA. The characteristics of the DDMSC based on the optimal decision variable estimated by the INFO algorithm are used to simulate the P–V and I–V curves, as shown in Figure 9 and Figure 10, respectively. Moreover, these figures describe the absolute error for power and current. According to the results in these figures, the power achieves absolute error equal to 1.83252464984809E-06, and the current achieves absolute error equal to 0.0000282423991616598. Furthermore, high similarity between the calculated and measured data is achieved by the INFO algorithm, meaning that the INFO algorithm achieves high performance, and is more accurate in identifying the decision parameters of the DDMSC.
Table 4. The DDMSC’s identified parameters at the best RMSE.
Figure 9. The DDMSC’s I–V curve based on the best solution from the INFO algorithm.
Figure 10. The DDMSC’s P–V curve based on the best solution from the INFO algorithm.

6.3. TDMSC Extracted Results

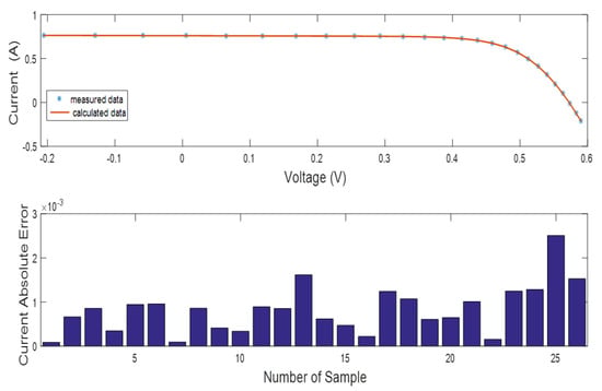
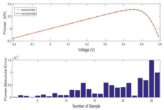
The results of the decision variables for the TDMSC assessed by the proposed INFO method and the other relative methods at the best RMSE are delineated in Table 5. The best technique, achieving the optimal RMSE value of 0.00098297033950337, is the INFO technique. The order of techniques based on the best value of RMSE is as follows: INFO, RUN, MFO, GWO, HHO, TSA, ChOA, and SCA. The characteristics of the SDMSC based on the optimal decision variable estimated from the INFO algorithm are used to simulate the P–V and I–V curves, as shown in Figure 11 and Figure 12 respectively. Moreover, these figures describe the absolute error for power and current. According to the results in these figures, the power achieves absolute error equal to 1.81921210537939E-06, and the current achieves absolute error equal to 0.0000556145101199279. Furthermore, high similarity between the calculated and measured data is achieved by the INFO algorithm, meaning that the INFO algorithm achieves high performance, and is more accurate in identifying the decision parameters of the TDMSC.
Table 5. The TDMSC’s identified parameters at the best RMSE.
Figure 11. The TDMSC’s I–V curve based on the best solution from the INFO algorithm.
Figure 12. The TDMSC’s P–V curve based on the best solution from the INFO algorithm.

6.4. Statistical Analysis of the Three Solar Cell Models

Based on 30 independent runs, the statistical analysis of all techniques was executed to calculate the maximum, minimum, standard deviation, and mean of the fitness function. The accuracy and reliability of any algorithm are dependent on the minimum and standard deviation values of RMSE, respectively. The recorded statistical data are described in Table 6, Table 7 and Table 8 for the three solar cell models. The INFO algorithm achieves the optimal value of minimum RMSE for the TDMSC, DDMSC, and SDMSC. Moreover, the best standard deviation value for the three solar cell models is achieved by the INFO algorithm, meaning that the proposed INFO technique is the superior method among all of the considered techniques, due to its high accuracy and better reliability. The SDMSC, DDMSC, and TDMSC robustness curves are clarified in Figure 13, Figure 14 and Figure 15, respectively. The SDMSC, DDMSC, and TDMSC convergence curves are clarified in Figure 16, Figure 17 and Figure 18, respectively. From these figures, we can observe that the proposed INFO method achieves faster convergence to the global optimal solution than any of the other techniques. The proposed INFO method also achieves better robustness and reliability to the best solution than any of the other techniques.
Table 6. Statistical results for the SDMSC.
Table 7. Statistical results for the DDMSC.
Table 8. Statistical results for the TDMSC.
Figure 13. Robustness curve of the SDMSC.
Figure 14. Robustness curve of the DDMSC.
Figure 15. Robustness curve for the TDMSC.
Figure 16. SDMSC convergence curve.
Figure 17. DDMSC convergence curve.
Figure 18. TDMSC convergence curve.

7. Conclusions

The most abundant source of renewable energy is PV energy. An accurate PV model was established to emulate the behavior of systems under various environmental conditions. In this work, a new optimization technique called the INFO algorithm was applied for the estimation of the parameters of the three solar cell models. Accordingly, the real data used in this work were based on an R.T.C. France module. Comparison between the INFO technique and another seven methods—Harris hawk optimization (HHO), tunicate swarm algorithm (TSA), sine–cosine algorithm (SCA), moth–flame optimizer (MFO), grey wolf optimization (GWO), chimp optimization algorithm (ChOA), and Runge–Kutta optimization (RUN)—was performed for the same dataset. The INFO algorithm achieved high similarity in the I–V and P–V curves between the measured and estimated data. The best fitness function for the three cases was achieved by the INFO method, compared with all of the other techniques considered. Therefore, the effectiveness and performance flexibility of the INFO method are superior to those of all other methods used in this work.

Author Contributions

Conceptualization, methodology, software, validation, formal analysis, investigation, resources, data curation, writing—original draft preparation, writing—review and editing, visualization, supervision, project administration, funding acquisition: A.Y.H., A.A.K.I., M.S., R.M.G., S.D. and A.G.E. All authors have read and agreed to the published version of the manuscript.

Funding

This research was funded by Princess Nourah bint Abdulrahman University Researchers Supporting Project number (PNURSP2022R138), Princess Nourah bint Abdulrahman University, Riyadh, Saudi Arabia.

Institutional Review Board Statement

Not Applicable.

Data Availability Statement

Not Applicable.

Acknowledgments

The authors acknowledge Princess Nourah bint Abdulrahman University Researchers Supporting Project number (PNURSP2022R138), Princess Nourah bint Abdulrahman University, Riyadh, Saudi Arabia.

Conflicts of Interest

The authors declare no conflict of interest or non-financial competing interest.

Abbreviations

RERenewable energy
SESolar energy
PVPhotovoltaic
SDSingle-diode
DDDouble-diode
TDTriple-diode
INFOWeighted mean of vectors
HHOHarris hawk optimization
TSATunicate swarm algorithm
SCASine–cosine algorithm
MFOMoth–flame optimizer
GWOGrey wolf optimization
ChOAChimp optimization algorithm
RUNRunge–Kutta optimization
TDMSCThree-diode model of solar cell
DDMSCDouble-diode model of solar cell
SDMSCSingle-diode model of solar cell
RMSERoot-mean-square error

References

  1. Chenouard, R.; El-Sehiemy, R.A. An interval branch and bound global optimization algorithm for parameter estimation of three photovoltaic models. Energy Convers. Manag. 2020, 205, 112400. [Google Scholar] [CrossRef]
  2. Ghasemiasl, R.; Abhari, M.K.; Javadi, M.A.; Ghomashi, H. 4E investigating of a combined power plant and converting it to a multigeneration system to reduce environmental pollutant production and sustainable development. Energy Convers. Manag. 2021, 245, 114468. [Google Scholar] [CrossRef]
  3. Javadi, M.A.; Najafi, N.J.; Abhari, M.K.; Jabery, R.; Pourtaba, H. 4E analysis of three different configurations of a combined cycle power plant integrated with a solar power tower system. J. Sustain. Energy Technol. Assess. 2021, 48, 101599. [Google Scholar] [CrossRef]
  4. Ismaeel, A.A.; Houssein, E.H.; Oliva, D.; Said, M. Gradient-based optimizer for parameter extraction in photovoltaic models. IEEE Access 2021, 9, 13403–13416. [Google Scholar] [CrossRef]
  5. Yousri, D.; Abd Elaziz, M.; Oliva, D.; Abualigah, L.; Al-qaness, M.A.; Ewees, A.A. Reliable applied objective for identifying simple and detailed photovoltaic models using modern metaheuristics: Comparative study. Energy Convers. Manag. 2020, 223, 113279. [Google Scholar] [CrossRef]
  6. Jordehi, A.R. Enhanced leader particle swarm optimization (ELPSO): An ef_cient algorithm for parameter estimation of photovoltaic (PV) cells and modules. Sol. Energy 2018, 159, 78–87. [Google Scholar] [CrossRef]
  7. El-Negamy, M.; Eteiba, M.; El-Bayoumi, G. Modeling and simulation of Egyptsat-1 satellite system powered by photovoltaic module. J. Am. Sci. 2013, 9, 110–116. [Google Scholar]
  8. Mostafa, M.; Abdullah, H.M.; Mohamed, M.A. Modeling and experimental investigation of solar stills for enhancing water desalination process. IEEE Access 2020, 8, 219457–219472. [Google Scholar] [CrossRef]
  9. Javadia, M.A.; Khalajia, M.; Ghasemiasl, R. Exergoeconomic and environmental analysis of a combined power and water desalination plant with parabolic solar collector. Desalination Water Treat. 2020, 193, 212–223. [Google Scholar] [CrossRef]
  10. Mahdavi, S.; Sarhaddi, F.; Hedayatizadeh, M. Energy/exergy basedevaluation of heating/cooling potential of PV/T and earth-air heat exchanger integration into a solar greenhouse. Appl. Thermal Eng. 2019, 149, 996–1007. [Google Scholar] [CrossRef]
  11. Said, M.; Shaheen, A.M.; Ginidi, A.R.; El-Sehiemy, R.A.; Mahmoud, K.; Lehtonen, M.; Darwish, M.M. Estimating Parameters of Photovoltaic Models Using Accurate Turbulent Flow of Water Optimizer. Processes 2021, 9, 627. [Google Scholar] [CrossRef]
  12. Shaban, H.; Houssein, E.H.; Pérez-Cisneros, M.; Oliva, D.; Hassan, A.Y.; Ismaeel, A.A.; AbdElminaam, D.S.; Deb, S.; Said, M. Identification of Parameters in Photovoltaic Models through a Runge Kutta Optimizer. Mathematics 2021, 9, 2313. [Google Scholar] [CrossRef]
  13. Ahmad, W.; Liu, D.; Wu, J.; Ahmad, W.; Wang, Y.; Zhang, P.; Zhang, T.; Zheng, H.; Chen, L.; Chen, Z.D.; et al. Enhanced Electrons Extraction of Lithium-Doped SnO2_{2} Nanoparticles for Efficient Planar Perovskite Solar Cells. IEEE J. Photovolt. 2019, 9, 1273–1279. [Google Scholar] [CrossRef]
  14. Abdelminaam, D.S.; Said, M.; Houssein, E.H. Turbulent flow of water-based optimization using new objective function for parameter extraction of six photovoltaic models. IEEE Access 2021, 9, 35382–35398. [Google Scholar] [CrossRef]
  15. AbdElminaam, D.S.; Houssein, E.H.; Said, M.; Oliva, D.; Nabil, A. An Efficient Heap-Based Optimizer for Parameters Identification of Modified Photovoltaic Models. Ain Shams Eng. J. 2022, 13, 101728. [Google Scholar] [CrossRef]
  16. Villalva, M.G.; Gazoli, J.R.; Filho, E.R. Comprehensive Approach to Modeling and Simulation of Photovoltaic Arrays. IEEE Trans. Power Electron. 2009, 24, 1198–1208. [Google Scholar] [CrossRef]
  17. Arefifar, S.A.; Paz, F.; Ordonez, M. Improving Solar Power PV Plants Using Multivariate Design Optimization. IEEE J. Emerg. Sel. Top. Power Electron. 2017, 5, 638–650. [Google Scholar] [CrossRef]
  18. Kumar, N.; Saha, T.K.; Dey, J. Sliding-Mode Control of PWM Dual Inverter-Based Grid-Connected PV System: Modeling and Performance Analysis. IEEE J. Emerg. Sel. Top. Power Electron. 2016, 4, 435–444. [Google Scholar] [CrossRef]
  19. Lun, S.; Wang, S.; Yang, G.; Guo, T. A new explicit double-diode modeling method based on Lambert W-function for photovoltaic arrays. Sol. Energy 2015, 116, 69–82. [Google Scholar] [CrossRef]
  20. Ayang, A.; Wamkeue, R.; Ouhrouche, M.; Djongyang, N.; Salomé, N.E.; Pombe, J.K.; Ekemb, G. Maximum likelihood parameters estimation of single-diode model of photovoltaic generator. Renew. Energy 2019, 130, 111–121. [Google Scholar] [CrossRef]
  21. Toledo, F.J.; Blanes, J.M.; Galiano, V. Two-Step Linear Least-Squares Method for Photovoltaic Single-Diode Model Parameters Extraction. IEEE Trans. Ind. Electron. 2018, 65, 6301–6308. [Google Scholar] [CrossRef]
  22. Et-Torabi, K.; Nassar-eddine, I.; Obbadi, A.; Errami, Y.; Rmaily, R.; Sahnoun, S.; El Fajri, A.; Agunaou, M. Parameters estimation of the single and double diode photovoltaic models using a Gauss–Seidel algorithm and analytical method: A comparative study. Energy Convers. Manag. 2017, 148, 1041–1054. [Google Scholar] [CrossRef]
  23. Ma, X.; Huang, W.H.; Schnabel, E.; Köhl, M.; Brynjarsdóttir, J.; Braid, J.L.; French, R.H. Data-Driven II–VV Feature Extraction for Photovoltaic Modules. IEEE J. Photovolt. 2019, 9, 1405–1412. [Google Scholar] [CrossRef] [Green Version]
  24. Saleem, H.; Karmalkar, S. An Analytical Method to Extract the Physical Parameters of a Solar Cell From Four Points on the Illuminated I-V Curve. IEEE Electron Device Lett. 2009, 30, 349–352. [Google Scholar] [CrossRef]
  25. Soeriyadi, A.H.; Wang, L.; Conrad, B.; Li, D.; Lochtefeld, A.; Gerger, A.; Barnett, A.; Perez-Wurfl, I. Extraction of Essential Solar Cell Parameters of Subcells in a Tandem Structure With a Novel Three-Terminal Measurement Technique. IEEE J. Photovolt. 2018, 8, 327–332. [Google Scholar] [CrossRef]
  26. Houssein, E.H.; Deb, S.; Oliva, D.; Rezk, H.; Alhumade, H.; Said, M. Performance of gradient-based optimizer on charging station placement problem. Mathematics 2021, 9, 2821. [Google Scholar] [CrossRef]
  27. Ismaeel, A.A.; Houssein, E.H.; Hassan, A.Y.; Said, M. Performance of gradient-based optimizer for optimumwind cube design. Comput., Mater. Contin. 2022, 71, 339–353. [Google Scholar]
  28. Houssein, E.H.; Helmy, B.E.D.; Rezk, H.; Nassef, A.M. An enhanced Archimedes optimization algorithm based on Local escaping operator and Orthogonal learning for PEM fuel cell parameter identification. Eng. Appl. Artif. Intell. 2021, 103, 104309. [Google Scholar] [CrossRef]
  29. Said, M.; Houssein, E.H.; Deb, S.; Alhussan, A.A.; Ghoniem, R.M. A Novel Gradient Based Optimizer for Solving Unit Commitment Problem. IEEE Access 2022, 10, 18081–18092. [Google Scholar] [CrossRef]
  30. Deb, S.; Abdelminaam, D.S.; Said, M.; Houssein, E.H. Recent methodology-based gradient-based optimizer for economic load dispatch problem. IEEE Access 2021, 9, 44322–44338. [Google Scholar] [CrossRef]
  31. Abido, M.A.; Sheraz, K.M. Seven-parameter PV model estimation using differential evolution. Electr. Eng. 2017, 100, 971–981. [Google Scholar] [CrossRef]
  32. Rajasekar, N.; Kumar, N.K.; Venugopalan, R. Bacterial foraging algorithm based solar PV parameter estimation. Sol. Energy 2013, 97, 255–265. [Google Scholar] [CrossRef]
  33. Askarzadeh, A.; Rezazadeh, A. Artificial bee swarm optimization algorithm for parameters identification of solar cell models. Appl. Energy 2013, 102, 943–949. [Google Scholar] [CrossRef]
  34. Chen, X.; Yu, K.; Du, W.; Zhao, W.; Liu, G. Parameters identification of solar cell models using generalized oppositional teaching learning based optimization. Energy 2016, 99, 170–180. [Google Scholar] [CrossRef]
  35. Mirjalili, S.; Gandomi, A.H.; Mirjalili, S.Z.; Saremi, S.; Faris, H.; Mirjalili, S.M. Salp swarm algorithm: A bio-inspired optimizer for engineering design problems. Adv. Eng. Softw. 2017, 114, 163–191. [Google Scholar] [CrossRef]
  36. Mughal, M.A.; Ma, Q.; Xiao, C. Photovoltaic cell parameter estimation using hybrid particle swarm optimization and simulated annealing. Energies 2017, 10, 1213. [Google Scholar] [CrossRef] [Green Version]
  37. Hamid, N.F.A.; Rahim, N.A.; Selvaraj, J. Solar cell parameters identification using hybrid Nelder-Mead and modified particle swarm optimization. J. Renew. Sustain. Energy 2016, 8, 015502. [Google Scholar] [CrossRef]
  38. Kiani, A.T.; Nadeem, M.F.; Ahmed, A.; Sajjad, I.A.; Raza, A.; Khan, I.A. Chaotic inertia weight particle swarm optimization (CIWPSO): An efficient technique for solar cell parameter estimation. In Proceedings of the 3rd International Conference on Computing, Mathematics and Engineering Technologies (iCoMET), Sindh, Pakistan, 29–30 January 2020; pp. 1–6. [Google Scholar]
  39. Guo, L.; Meng, Z.; Sun, Y.; Wang, L. Parameter identification and sensitivity analysis of solar cell models with cat swarm optimization algorithm. Energy Convers. Manag. 2016, 108, 520–528. [Google Scholar] [CrossRef]
  40. Derick, M.; Rani, C.; Rajesh, M.; Farrag, M.E.; Wang, Y.; Busawon, K. An improved optimization technique for estimation of solar photovoltaic parameters. Sol. Energy 2017, 157, 116–124. [Google Scholar] [CrossRef]
  41. Jervase, J.A.; Bourdoucen, H.; Al-Lawati, A. Solar cell parameter extraction using genetic algorithms. Meas. Sci. Technol. 2001, 12, 1922–1925. [Google Scholar] [CrossRef] [Green Version]
  42. Ma, J.; Ting, T.O.; Man, K.L.; Zhang, N.; Guan, S.-U.; Wong, P.W.H. Parameter estimation of photovoltaic models via cuckoo search. J. Appl. Math. 2013, 2013, 1–8. [Google Scholar] [CrossRef]
  43. Gong, W.; Cai, Z. Parameter extraction of solar cell models using repaired adaptive differential evolution. Sol. Energy 2013, 94, 209–220. [Google Scholar] [CrossRef]
  44. El-Naggar, K.M.; AlRashidi, M.R.; AlHajri, M.F.; Al-Othman, A.K. Simulated annealing algorithm for photovoltaic parameters identification. Sol. Energy 2012, 86, 266–274. [Google Scholar] [CrossRef]
  45. AlHajri, M.; El-Naggar, K.; AlRashidi, M.R.; Al-Othman, A.K. Optimal extraction of solar cell parameters using pattern search. Renew. Energy 2012, 44, 238–245. [Google Scholar] [CrossRef]
  46. Ahmadianfar, I.; Heidari, A.A.; Noshadian, S.; Chen, H.; Gandomi, A.H. INFO: An efficient optimization algorithm based on weighted mean of vectors. Expert Syst. Appl. 2022, 195, 116516. [Google Scholar] [CrossRef]
  47. Heidari, A.A.; Mirjalili, S.; Faris, H.; Aljarah, I.; Mafarja, M.; Chen, H. Harris hawks optimization: Algorithm and applications. Future Gener. Comput. Syst. 2019, 97, 849–872. [Google Scholar] [CrossRef]
  48. Mirjalili, S.; Mirjalili, S.M.; Lewis, A. Grey wolf optimizer. Adv. Eng. Softw. 2014, 69, 46–61. [Google Scholar] [CrossRef] [Green Version]
  49. Mirjalili, S. SCA: A sine cosine algorithm for solving optimization problems. Knowl. Based Syst. 2016, 96, 120–133. [Google Scholar] [CrossRef]
  50. Mirjalili, S. Moth-flame optimization algorithm: A novel nature-inspired heuristic paradigm. Knowl. Based Syst. 2015, 89, 228–249. [Google Scholar] [CrossRef]
  51. Kaur, S.; Awasthi, L.K.; Sangal, A.L.; Dhiman, G. Tunicate Swarm Algorithm: A new bio-inspired based metaheuristic paradigm for global optimization. Eng. Appl. Artif. Intell. 2020, 90, 103541. [Google Scholar] [CrossRef]
  52. Khishe, M.; Mosavi, M.R. Chimp optimization algorithm. Expert Syst. Appl. 2020, 149, 1–26. [Google Scholar] [CrossRef]
  53. Ahmadianfar, I.; Heidari, A.A.; Gandomi, A.H.; Chu, X.; Chen, H. RUN Beyond the Metaphor: An Efficient Optimization Algorithm Based on Runge–Kutta Method. Expert Syst. Appl. 2021, 181, 115079. [Google Scholar] [CrossRef]
Publisher’s Note: MDPI stays neutral with regard to jurisdictional claims in published maps and institutional affiliations.

Article Metrics

Citations

Article Access Statistics

Multiple requests from the same IP address are counted as one view.