Next Article in Journal
Numerical Study for Determining the Strength Limits of a Powered Longwall Support
Previous Article in Journal
Effects of Methanol Application on Carbon Emissions and Pollutant Emissions Using a Passenger Vehicle
 
 
Font Type:
Arial Georgia Verdana
Font Size:
Aa Aa Aa
Line Spacing:
Column Width:
Background:
Article

Experimental Investigation of Vitrification Process for the Disposal of Hazardous Solid Waste Containing Chlorides

1
Department of Energy and Resources Engineering, College of Engineering, Peking University, Beijing 100871, China
2
School of Materials Science and Engineering, Peking University, Beijing 100871, China
*
Author to whom correspondence should be addressed.
Processes 2022, 10(3), 526; https://doi.org/10.3390/pr10030526
Submission received: 1 February 2022 / Revised: 8 February 2022 / Accepted: 23 February 2022 / Published: 7 March 2022

Abstract

:
Vitrification has attracted much attention as an efficient method for solidifying heavy metals in hazardous solid wastes, but its effect is limited when hazardous solid wastes contain chlorides. Aiming at fly ash, a normal chlorine-containing solid waste, a novel process of chlorination melting and glass curing was developed to completely realize the harmlessness of heavy metals. Melting temperature, time, and auxiliary agent were adequate to realize the harmlessness, and their influence on the migration and transformation of Cl, Na, Pb, and Zn and the leaching of slag were studied. The results showed that the majority of Cl, Na, Pb, and Zn in the fly ash had been transferred to the soot, and the residual part in the slag had been solidified in glass by controlling the process conditions. Under the optimized conditions (12 wt.% CaO and 5 wt.% SiO2 was added, the N2 flow ratio was at 1 L/min, and the melting temperature was 1300 °C for 2 h), the leaching index was determined, including the acid dissolution ratio, the Pb and Zn content of the water leaching solution, and the acid leaching solution, which all met the requirements of the relevant standards. Furthermore, the novel process provided a simple and efficient approach for the disposal of other similar solid wastes containing chlorides and heavy metals.

1. Introduction

A large amount of solid waste produced in industrial production and urban life has caused severe environmental and geological hazards and waste of land resources. The treatment, disposal, and utilization of solid waste, especially hazardous solid waste, has always been the key to restricting the construction of environmental protection and ecological civilizations in various countries [1,2]. Chlorine-containing solid waste has received particular attention because of its high toxicity and disposal difficulty. Chlorine in nature mainly comes from seawater and brine, and a small part of chlorine comes from natural ores. Seawater and brine are usually used as raw materials to produce raw salt, mainly used to prepare edible salt and Chlor-alkali. In this way, chlorine enters the fields of the organic chemical, medicine, and pesticide industry industries.
Many solid wastes containing chlorine are produced from chlorine-containing industries and discarded chlorine-containing products. Ordinary solid wastes containing chlorine include domestic waste, medical waste, and incineration fly ash. Their main chlorine-related components include chloroalkanes, chlorinated olefins, chlorobenzene series, PbCl2, and ZnCl2. Solid waste containing chlorine, such as domestic waste or medical waste, is usually disposed of by incineration, and chlorine will be enriched in the flue gas collection device, resulting in chlorine-containing fly ash [3,4,5]. Fly ash is classified as a hazardous substance for its high content of harmful heavy metals, such as Pb and Zn, which should be placed safely after special treatment [6]. Besides Pb and Zn and other heavy metals, fly ash also contains many halogens (Cl, Br, etc.) and alkali metals (Na, K, etc.) [7,8,9]. These elements have a negative effect on the harmless disposal and material preparation of fly ash. The incineration method cannot solve the harmless problem entirely, which only transfers the harm of raw materials to soot [10]. Therefore, the disposal of chlorine-containing fly ash has become a critical factor in the harmless disposal of chlorine-containing solid waste.
At present, vitrification technology is a harmless disposal method for solid waste, which is considered the most promising technology. The primary process of vitrification follows: solid waste mixed with fluxes and auxiliaries that are easy to form glass phase in a high-temperature environment, where the organic materials are burned, vaporized, or pyrolyzed, and inorganic materials form glassy substances with an amorphous structure after melting and cooling [11,12]. To standardize the determination of vitrification products of solid waste and to improve the environmental safety and quality management of vitrification products, China has formulated the national standard “Technical requirements for vitrification products of solid waste” (GB/T41015-2021) based on lessons from domestic and foreign solid waste vitrification policies and standards, which is referred to as the ‘vitrification standard’ in the following article. Vitrification technology has the characteristics of high disposal capacity and high incineration efficiency for fly ash, and high physical and chemical stability for the resulting glass slag, which is especially suitable for hazardous solid wastes containing heavy metals.
Heavy metals can be vitrified directly because fly ash contains many chlorides and alkali metals. Chlorides readily react with heavy metals in fly ash to form highly volatile metal chlorides during high-temperature disposal, which makes heavy metals migrate to soot, making vitrification difficult. To realize the solidification of heavy metals in slag, some researchers tried to suppress the chlorination and volatilization of heavy metals utilizing water leaching [13] and raw material granulation [14]. The above research results are not ideal because heavy metals are rarely solidified into glass slag due to their volatility. Few studies have considered that chlorination and volatilization are helpful in achieving the harmlessness of heavy metals in chlorine-containing solid waste. In addition, a large number of alkali metals in fly ash provide free oxygen to increase the O/Si ratio in the glass structure, thus reducing the degree of polymerization of the glass structure [15,16]. The high content of alkali metals in fly ash is not conducive to forming a vitreous body, whose vitrification disposal has been a lack of related research.
Unlike some studies aimed at inhibiting the chlorination reaction during the vitrification process, the novel process proposed in this research, as shown in Figure 1, utilized the chlorine contained by fly ash itself and controlled technical conditions to promote the chlorination reaction. In this way, most heavy metals enter the soot to achieve enrichment, which allowed the comprehensive utilization of resources such as some industrialized projects [16,17]. The molten slag could be converted to general solid waste by glass solidification or was used to prepare high added value materials by technological control. Following route 1, the molten slag was completely harmless through glass solidification of residual heavy metals, transformed into general solid waste. Most of the heavy metals migrated into the soot due to the chlorination volatilization reaction, so glass curing was very feasible because of the small number of heavy metals in slag that needed to be vitrificated. Following route 2, the slag could prepare high added value materials, such as slag fiber or microcrystalline glass through technical control, which was not taken as research in this paper [18,19,20]. The process can realize the harmless resource of fly ash efficiently and provide ideas for the disposal of other similar solid wastes. To investigate the feasibility of the new process, fly ash chlorination volatilization tests and slag toxicity leaching tests were conducted under different conditions to investigate the migration, material phase conversion, and leaching behavior characteristics of Cl, Na, Pb, and Zn in fly ash. These works all revolve around the realization of environmental harmlessness of solid waste after chlorination and vitrification.

2. Experimental Procedure

2.1. Process Principle

The process of fly ash disposal mainly involves the melting chlorination process and vitrification process, and its principle is shown in Figure 2. Melt chlorination refers to the transformation of heavy metals in materials into gaseous chlorides with the help of chlorination agents, so that metals can be separated from raw materials and the residue melts at high temperatures. Chlorination is an enhanced chemical process, and many heavy metals, including Pb, Zn, Cu, Cd, and Ni, readily react with chlorides. Therefore, the separation and enrichment of heavy metals from solid waste are crucial to realizing solid waste’s harmlessness and resource recovery.
Because there is a large amount of NaCl in fly ash, the self-chlorination process can be realized without an additional chlorination agent. Pb and Zn in fly ash participate in the chlorination reaction in the form of oxides, and the chlorination reaction occurs as follows [21].
PbO + 2NaCl = PbCl2 + Na2O
ZnO + 2NaCl = ZnCl2 + Na2O
Some heavy metals are contained in the molten residue that are potentially hazardous to the environment after the chlorination volatilization process, which needs further stabilization to make it harmless. Many previous studies have shown that vitrification has a good effect on curing a specific concentration of heavy metals, which is the advantage of this method. Its disadvantage is that it consumes a large amount of energy because the material needs to be heated to a temperature above the melting point, and its treatment temperature is between 1200 °C and 1500 °C.

2.2. Starting Materials

Fly ash was used as a test raw material from an incineration plant for the treatment of hazardous wastes, which used a rotary furnace incineration process in the temperature range of 800 °C–950 °C.
The raw material was magnified 1500 times and 3000 times under a scanning electron microscope, as shown in Figure 3a. The raw material mainly showed an irregular angular junction morphology, its particle size distribution was uneven, and a large gap between particles. The average volume size of fly ash was 36.9 μm, and the particle size less than 90 μm accounted for more than 90%, as shown in Figure 3b. According to the XRD test results, as shown in Figure 3c, the main phases of the raw materials were sodium chloride and sodalite.
The characteristics of high Na and high Cl as raw materials can be seen in Table 1, and their contents were 19.40 wt.% and 19.47 wt.%, respectively. The primary heavy metals in fly ash are Pb and Zn, with contents of 0.74 wt.% and 0.76 wt.%, respectively, which has a recovery value. The content of Pb and Zn in fly ash is low, which may cause the diffraction peak in Figure 3c. The phase of Pb and Zn in fly ash was usually in the form of PbO and ZnO because they were obtained by high-temperature roasting.

2.3. Research Methods

2.3.1. Selection of Test Factors

The melting temperature, time, and additives were investigated because they are important factors affecting chlorination melting and slag leaching. Fly ash fusibility tests were carried out to initially determine the temperature required for chlorination smelting, as shown in Table 2. The results of the ash melting test showed that fly ash began to soften at 970 °C and had good fluidity at 1270 °C. Considering the requirement of overheating in the glass process, the temperature range of the study was selected from 1000 °C to 1450 °C.
The melting time significantly affects the chlorination and volatilization in the melting process. Before reaching chemical equilibrium, prolonging the melting time can increase the degree of chlorination and volatilization [22]. Moreover, it takes a specific time to form a homogeneous glass liquid after the fly ash is melted, so it is necessary to investigate the effect of melting time in the process. Based on previous exploratory experiments, it was determined that the melting time range had been 1.0 h~3.0 h. The additives of SiO2 and CaO were considered for forming the vitreous body and reducing the process temperature. SiO2 is a vital oxide formed by glass, but high SiO2 content increases the melting point of the raw material. Thus, CaO is added as a flux.

2.3.2. The Method of the Test

The sample was put into the electric furnace (equipment model: SX-10-12, made in China) after being heated to the target temperature and continuously pumped with nitrogen for ten minutes. After chlorinated and melted for a period of time, the sample was taken out of the furnace and cooled in the air to form a solid slag. The chlorination melting test device is shown in Figure 4. The slag was used for element analysis, phase analysis, and the toxicity leaching test for Cl, Na, Pb, and Zn.
To clearly express the volatilization and distribution characteristics of the main elements, such as Cl, Na, Pb, and Zn before and after chlorination melting, slag ratio η 1 , burning loss ratio η 2 , and element distribution ratio η 3 were defined. The slag ratio referred to the weight ratio of the slag to the raw material after the reaction, and the burning loss ratio referred to the weight proportion of the substance transferred to the smoke and dust to the raw material after the chlorination and melting process. The element distribution ratio in soot referred to the weight proportion of the mass of an element transferred to soot to the total mass of the element in the raw material.
η 1 = M s l a g   M
η 2 = 1 M s l a g   M
η 3 = 1 M s l a g   × W s l a g   M × W
M s l a g -Slag mass; M-Sample mass; W s l a g -Mass fraction of a heavy metal in slag; W-mass fraction of a heavy metal in a sample.
The environmental risk of slag after smelting needs to be assessed by a leaching test. The toxic leaching analysis of the slag was carried out according to the vitrification standard shown in Table 3, including the acid dissolution test, water leaching test, and acid leaching test [23]. Although there is no provision for Cl and Na in the vitrification standard, they will be considered to control them at a lower level in this research.
Acid dissolution ratio referred to the weight proportion of the loss in acetic acid/sodium acetate buffer solution to the raw material before dissolution, and it was used as a reference index to measure the proportion of soluble substances in vitrification products. The acid dissolution test process was to put a 100 g slag sample and 1 L acetic acid-sodium acetate buffer solution (pH 4.6) into an airtight leaching bottle. Then, the leaching bottle was rotated for 6 h at a rate of 20 rpm. Finally, the leaching pulp was filtered, and the filter residue was weighed after drying. The acid loss ratio was calculated according to the following formula:
P M = 100 ( M 2 M 1 ) 100 × 100
In the formula:
P M -Acid dissolution ratio of vitrification products, %;
M1-Dry mass of filter membrane before acid dissolution test, g;
M2-The dry mass of filter membrane and residual solid after acid dissolution test, g.
Water leaching and acid leaching tests were used to simulate the leaching risk of heavy metals in slag in the natural environment. In the water leaching test, 100 g glass slag sample and 1 L deionized water were placed into a 2 L smooth bottle, which oscillated for 8 h at a frequency of 110 Hz, and left to stand for 16 h. The leachate was obtained from the filtered slurry, which was sent to determine the contents of Cl, Na, Pb, and Zn. In the acid leaching test, 10 g glass slag and 500 mL deionized water were put in a 1 L beaker and then reacted for 2 h under rotor stirring. The filtered residue of the leaching pulp and 500 mL deionized water were put into the beaker, the pH was controlled at 3.2 ± 0.5, and then reacted for 7 h. Finally, the filtered solution was mixed with the filtrate that had been reacted for 2 h, and the volume of mixed liquid was fixed to 2 L as the acid leaching solution, which was sent to determine the contents of Cl, Na, Pb, and Zn. The potential of hydrogen (pH) was regulated by NaOH solution and the mixed solution of sulfuric acid and nitric acid in the reaction process.

2.4. Material Characterization Techniques

The element content was determined by ICP-OES/MS, which was an inductively coupled plasma spectrometer with a model ICPS-7510 PLUS and a wavelength range of 160–850 nm. The main crystalline species in the fly ash and slag were detected by XRD (Rigaku Dmax-2400, RIGAKU, Tokyo, Japan) with Cu Kα radiation. Scanning electron microscopy was performed on a field emission Hitachi Smart 4800 instrument operating at an accelerating voltage of 10 kV.

3. Results and Discussion

Before the experimental study via the process, the direct leaching test of fly ash was conducted as a reference, and the test results are shown in Table 4. The acid loss ratio of fly ash was 51.05 wt.%. The direct leaching test showed that there were more than half of the soluble substances contained in the fly ash, which have a great impact on the environment. Na and Cl were leached in large quantities in water and acidic medium. Although Na and Cl are not stipulated in the vitrification standard, excessive leaching was obviously not conducive to harmlessness and resource utilization. The leaching value of Pb and Zn in water and acid medium far exceeded the provisions of the standard, which would do great harm to the environment and needed to be disposed of properly.

3.1. The Effect of Melting Temperature on the Migration and Transformation of Elements

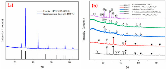
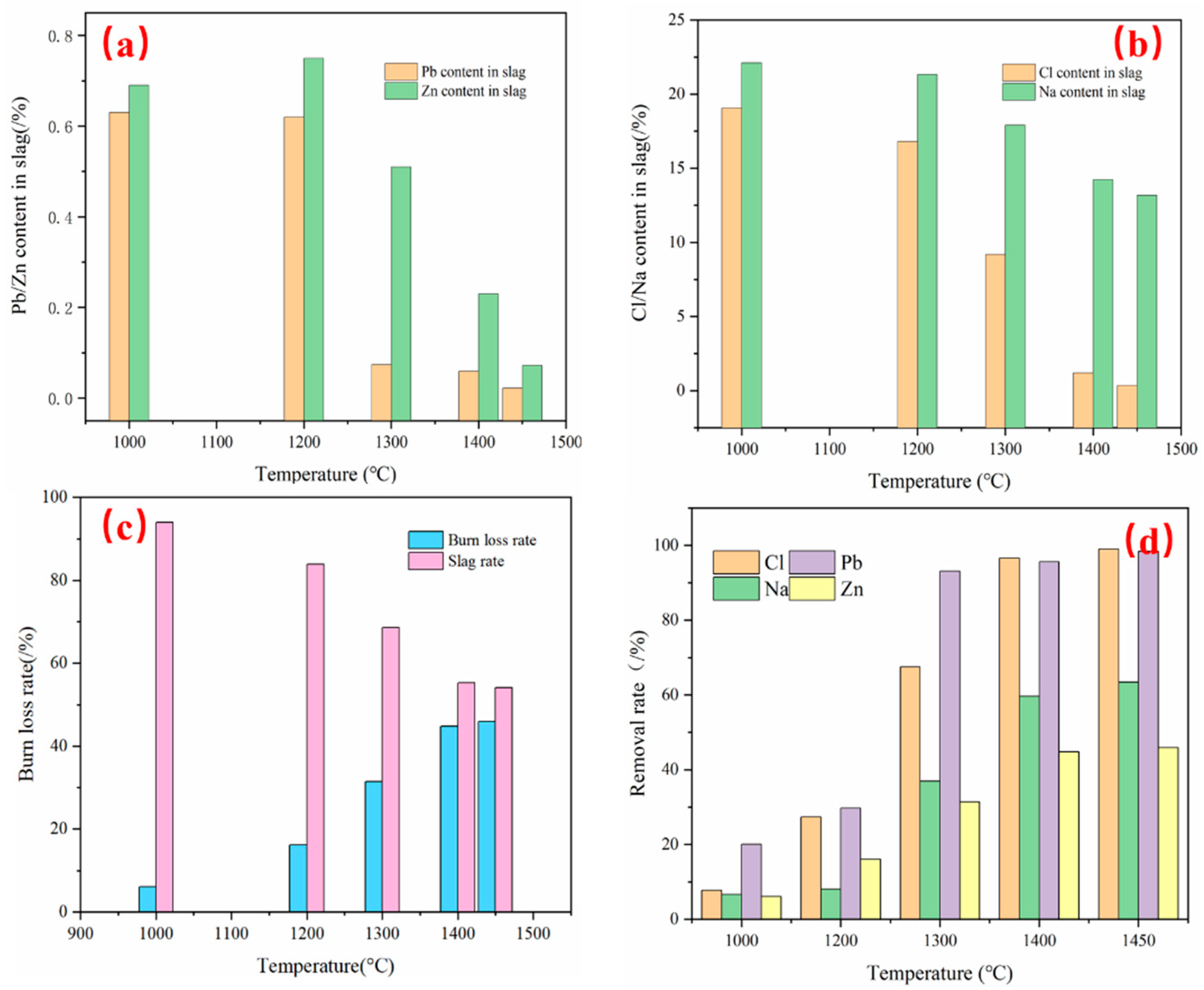
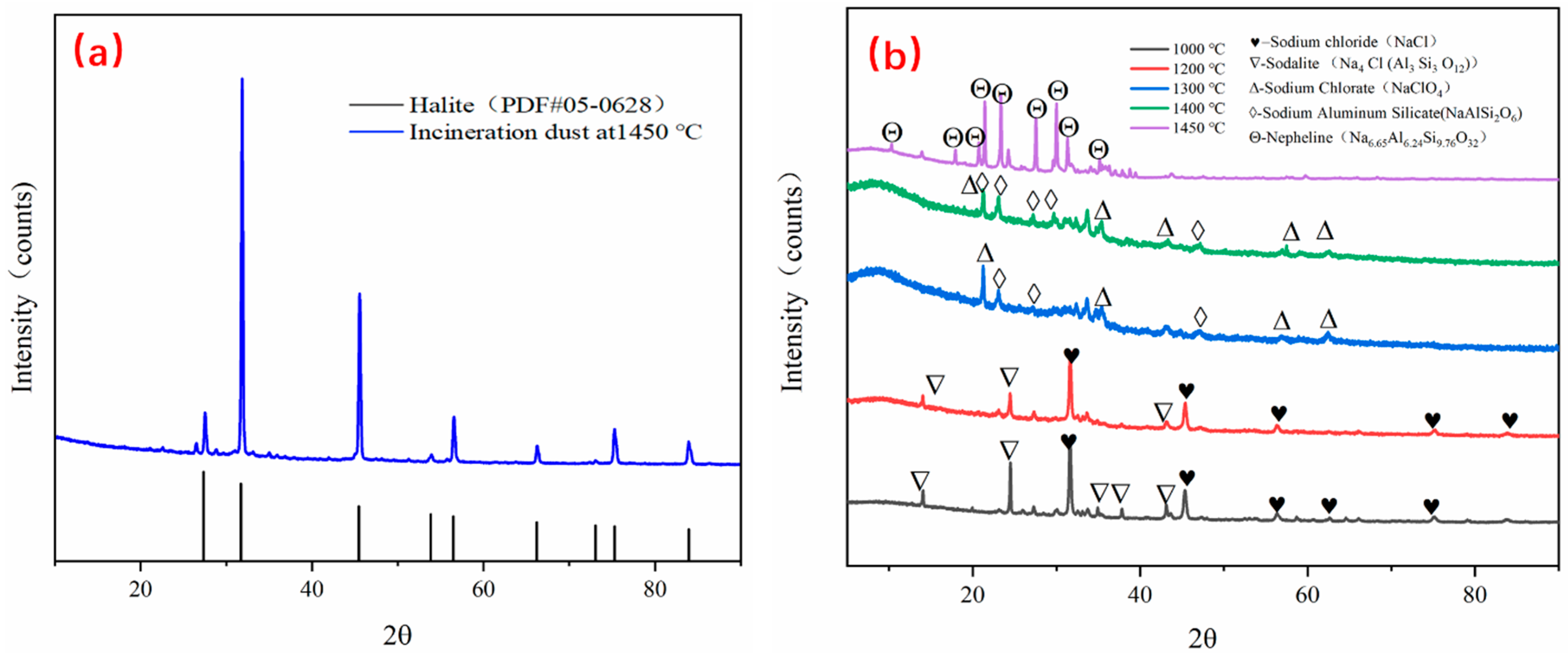
As shown in Figure 5, with the increasing reaction temperature, the slag ratio of molten slag decreased significantly, and the corresponding ignition loss ratio increased greatly. At 1450 °C, the slag ratio was 54.08 wt.% and the burning loss ratio was 45.92 wt.%. It showed that a large amount of material in the fly ash migrated into the smoke and dust at high temperatures. According to the results of elemental analysis of glass slag, Cl, Na, and heavy metals were mainly transferred to soot. The heavy metals Pd and Zn are focused on their high ratio values in raw materials. With the increasing temperature, the contents of Cl and Na in glass slag decreased, and the decrease was obvious when the temperature was higher than 1300 °C. After the treatment at the temperature 1450 °C, the contents of Cl and Na in glass slag were 0.35 wt.% and 13.17 wt.%, respectively, and the distribution ratio in soot was as high as 99.02% and 63.42%. The XRD spectra s of the soot collected after smelting were shown in Figure 6a, which suggests that the main substance was halite. It could be concluded that most of the sodium chloride in the raw material was converted into halite to soot in the process of high temperature.
Most Cl was in the gas phase, while a certain amount of Na remained in the glass slag, as shown in the previous experimental results. Inorganic salts containing Na were generally soluble in water, which would seriously affect the use of vitrification products in the preparation of materials, so it was necessary to analyze the phase of Na in slag. After melting at different temperatures and cooling via, the obtained XRD test results are shown in Figure 6b.
The diffraction peaks of the slag were sharp at 1000 °C and 1200 °C temperatures, indicating that no glass was formed. When the melting temperature was above 1300 °C, there was an apparent steamed bread peak on the XRD peak at the crystal plane angle of 22.0°–38.0° [23], which was the XRD diffraction characteristic of the glassy state. The melt slag can be prepared into glass when the process temperature is higher than its fluidity temperature (1270 °C). However, there was also a crystallization peak in the diffraction spectra of the slag obtained at temperatures above 1270 °C, which was due to an insufficient cooling rate resulting in incomplete vitreous formation. The main phases of Na and Cl in slag at different temperatures are shown in Table 5: sodium chloride, sodalite, and sodium chlorite below 1300 °C. Sodium chlorate was the main phase of Cl at 1300 °C and 1400 °C. Sodium aluminosilicate and nepheline formed at 1400 °C and 1450 °C, respectively were insoluble. Therefore, the phase of Na and Cl in the slag was converted from highly soluble NaCl to insoluble matter as the temperature increased [24].
Cl, Na, and most of the Pb and Zn in fly ash migrated to the flue gas. With the increase in temperature, the content of Pb and Zn in slag decreased gradually, especially for the content of Pb. When the temperature was higher than 1200 °C, the decrease was significant. When the temperature was 1450 °C, the content of Pb and Zn in the slag was 0.022 wt.% and 0.072 wt.%, respectively. Additionally, the distribution ratios in smoke and dust were 98.38% and 45.92%, respectively, as shown in Figure 5. Pb and Zn existed mainly in the form of oxides in fly ash, and most of them migrated to the flue gas because of chlorination volatilization. Melting temperature is an important factor affecting chlorination reaction and volatilization [25]. With the increase in temperature, the standard Gibbs free energy of the chlorination reaction of heavy metal oxides gradually decreased, as shown in Figure 7, which resulted in the gradual enhancement of the chlorination volatilization effect.
Decomposition reaction of NaCl:
2NaCl + 1/2O2 = Na2O + Cl2
2NaCl + 1/2O2 + SiO2 = Na2SiO3 + Cl2
Chlorination of heavy metal oxides:
PbO + 1/2Cl2 = PbCl2 + 1/2O2
ZnO + 1/2Cl2 = ZnCl2 + 1/2O2
The reaction process of sodium chloride in raw materials with PbO and ZnO at high temperatures may be complex [21]. It was difficult for NaCl to react directly with metal oxides, as in reactions (1) and (2). The chlorination reaction was likely to be carried out step by step. First, NaCl was decomposed to obtain Cl2, such as reaction formula (3), and then Cl2 reacted with metal oxides, as shown in reverse reactions (5) and (6). NaCl decomposition was an essential step and usually promoted chlorination with the participation of acid oxides, such as reaction (4). Compared with PbO, the degree of chlorination reaction of ZnO was lower, which was concluded from Figure 7. The binding ability of Pb to Cl is more vital than that of Zn to Cl, and Zn can form stable compounds such as silicate ZnSiO4 and aluminate ZnAlO4 [3]. Pb and Zn can be selectively separated according to their differences in the chlorination melting process.

3.2. The Effect of Melting Temperature on Leaching of Slag

According to Figure 8, the acid dissolution ratio decreased rapidly with increasing melting temperature and slightly after 1400 °C. The lowest acid dissolution ratio was 7.30% at 1400 °C, which was significantly lower than the proportion of 51.05% of direct acid dissolution of raw materials. The acid dissolution ratio illustrates the content of soluble crystals in the slag. The main reason for the decrease of the content was that NaCl, which belonged to the soluble crystal phase in the raw material, had migrated ratios to the flue gas through chlorination volatilization, and most of the residue had been converted into the glass phase.
Figure 8a suggests that the reaction and migration of NaCl could impact acid dissolution because the variation trend of Cl and Na content in an aqueous extract with temperature was consistent with the acid dissolution ratio. The content of Cl and Cl and Na in the three water extracts reached the lowest value at 1400 °C and was 229.00 mg/L and 344.05 mg/L, respectively. Compared with the direct leaching of fly ash, the content was significantly reduced, even though it was still at a relatively high leaching value, which will be further optimized in the follow-up. Figure 8b shows that the melting temperature had a significant effect on the leaching result of the slag, and the Pb and Zn of the leaching solution decreased gradually with the increase of temperature. When the temperature was 1450 °C, the Pb and Zn in the water extract were 0.007 mg/L and 0.147 mg/L, respectively, in the water extract that met the corresponding standard.
Figure 9 shows the test results of slag acid leaching at different temperatures. Compared with water leaching, the acid leaching concentrations of Cl and Na were lower. It was generally believed that salts could be leached easily under acidic conditions, but the acid leaching result of Cl and Na is not consistent with it. This showed that the leaching of Cl and Na compounds was not sensitive to the medium’s acidity. This may be due to the higher liquid-solid ratio in the water immersion test and better conditions for mass transfer [24]. The acid leaching concentration of Pb and Zn was much higher than that of water leaching, for they had better soluble properties in an acidic medium. At 1400 °C, the Pb and Zn concentrations of the acid leaching solution were 0.020 mg/L and 1.013 mg/L, respectively, which accorded with the standard of Pb and slightly exceeded the standard of Zn.
Regardless of whether it is water leaching or acid leaching, the concentration of Cl and Na in the leaching solution increases at 1450 °C compared with that at 1400 °C, which is mainly caused by the decrease in vitreous body content, as shown in Figure 6b. The degree of vitrification of the slag decreases gradually with the temperature changing from 1300 °C to 1450 °C. This was mainly due to the strong crystallization trend caused by insufficient cooling speed, when the temperature difference between slag and the environment was large. Combined with the diffraction spectra of slag at different temperatures in Figure 6b and electron microscope-energy spectrum in Figure 10, it was known that the main crystalline phases at 1400 °C were sodium chlorite and sodium aluminosilicate, and the main crystalline phase at 1450 °C was nepheline. Crystal nepheline is insoluble and should not dissolve much, but a large amount of Na was dissolved in the actual slag. The possible reason is that except nepheline, there are other soluble phases containing Na and Cl in the crystal phase, and they are not detected because of their low content. Therefore, increasing the vitreous body content is an effective way to prevent the leaching of Na and Cl.
The leaching solution of Pb and Zn decreased with increasing temperature in the water leaching or acid leaching test and was not obviously affected by the glass transition degree of the slag. Because the leaching characteristics of elements in the slag were determined by chlorination and glass curing, Pb and Zn were mainly affected by chlorination reaction, and the difference in vitreous body content was not enough to affect the changing trend of leaching concentration.

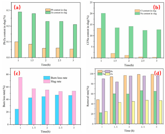
3.3. Effect of Melting Time on the Migration and Transformation of Elements

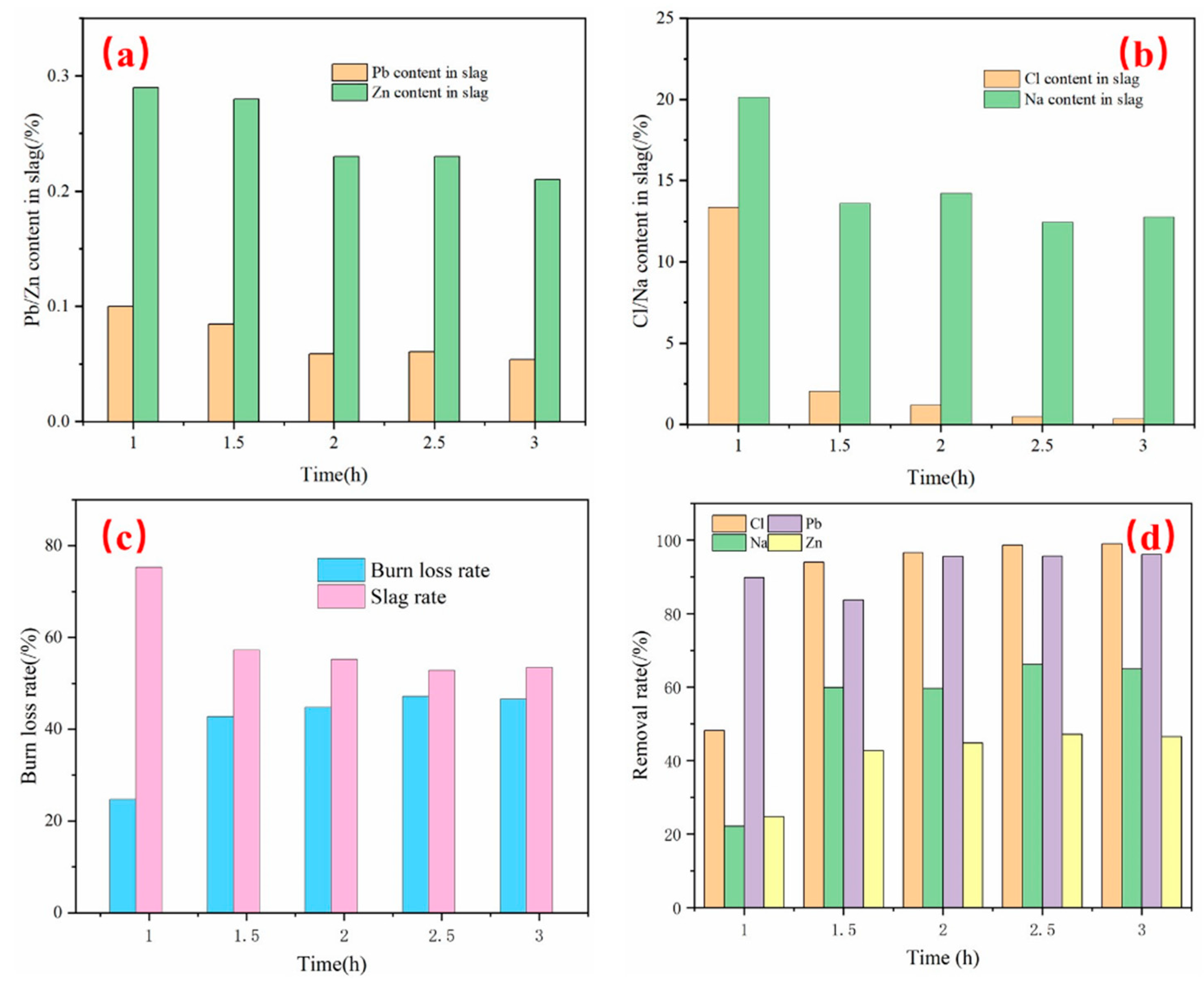
Time is an essential kinetic parameter related to the degree of chlorination reaction and the homogenization of molten slag [26]. This section investigated the effects of time on the migration and phase transformation for Cl, Na, Pb, and Zn in the chlorination melting process. Figure 11 shows that the slag ratio of molten slag decreased significantly with melting temperature, and the corresponding burning loss ratio increased significantly. The reaction lasted for 3.0 h at 1300 °C, and the burning loss ratio of the reaction was 46.54%. It showed that when the temperature was not high, such as 1300 °C, enough melting time could make a large amount of material in the fly ash migrate to the dust.
With the extension of smelting time, the distribution ratio of Cl and Na in soot increased gradually, and almost reached the maximum at 2.5 h. When the melting time was 2.5 h, the content of Cl and Na in the slag was 0.50 wt.% and 12.47 wt.%, respectively, and the corresponding distribution ratio was as high as 98.64% and 66.16% in the dust, respectively. Most of the Cl in the fly ash had migrated to the gas phase, while a certain amount of Na remained in the glass slag. The XRD spectra of the slag obtained from different melting times are shown in Figure 12.
According to the XRD results of the slag, as shown in Figure 12, the main phase in the slag after a melting time of 1.0 h was sodium chloride, which was the same as fly ash. The glass was formed when the melting time was more than 1.5 h. When the melting temperature was 1300 °C, enough melting time was needed to maintain the excellent fluidity of the melt and facilitate the formation of glass. As shown in Table 6, the phase occurrence states of Cl and Na in the slag were affected by melting times: sodium chloride and sodium aluminosilicate at 1.5 h and sodium aluminum silicate and sodium chlorate at more than 2 h. These different phases containing Cl and Na may affect their leaching characteristics.

3.4. Effect of Melting Time on the Leaching of Slag

Figure 13a shows that the content of Cl and Na in the aqueous extract of slag decreased gradually with increasing melting time from 1.0 h to 2.5 h. When the melting time was prolonged, more Cl and Na had migrated ratios into the flue gas, as shown in Figure 11d, so the amount of slag that could be leached was less. The acid loss ratio was positively correlated with the content of the soluble crystalline phase, so its trend change was very similar to the Cl content in the water leaching solution. With increasing melting time, the content of Pb and Zn in the aqueous extract of the mixture decreased gradually, and increased from 2.5 h to 3.0 h, as shown in Figure 13b. The melting time was 2.5 h, and the Pb and Zn content of the mixture water extract was 0.006 mg/L and 0.2916 mg/L, which met the vitrification standard.
In the acid leaching test, the content of Pb and Zn in the leaching solution gradually decreased, and then increased with the extension of melting time from 2.5 h to 3.0 h, as shown in Figure 14, which was similar to the trend of water leaching. When the melting time was 2.5 h, the Pb and Zn content in the acid leaching solution was 0.017 mg/L and 2.004 mg/L, respectively, in which Pb met the relevant standard, but Zn did not. Figure 12 shows that the fly ash was transformed into glassy slag when the melting treatment time ranged from 1.5 h to 3.0 h, but a sharp crystallization peak appeared in the diffraction spectrum at 3.0 h. It can be deduced that melting for 3.0 h had the appearance of a soluble crystalline phase, which led to the increase of Cl, Na, Pb, and Zn content in water leaching solution and acid leaching solution.

3.5. Effect of Auxiliary Agent on the Leaching of Slag

Compared with direct leaching, fly ash was leached after chlorination melting and air cooling, which led to significantly reduced Pb and Zn content in the leaching solution, as shown in the above experimental results. However, the leaching index did not fully meet the standard, and the acid dissolution ratio did not reach an index of less than 2%. Moreover, only at 1450 °C could Pb and Zn meet the standard completely, which would consume a large amount of energy. Therefore, it is necessary to promote the formation of glass through an appropriate auxiliary agent and simultaneously reduce the energy consumption of the process. The auxiliary agent adjusts the structure to form glass with a higher degree of polymerization, which is conducive to the solidification of heavy metals.
After melting chlorination, the slag composition is characterized by low SiO2 and high Na2O. SiO2 is a vital glass-forming oxide that uses the structural components of [SiO4] to form a continuous irregular network, which is used as the skeleton of the glass [23]. According to the characteristics of the material, the SiO2 content should be increased appropriately. As an external oxide of the glass network, Na2O provides free oxygen to increase the ratio of O/Si in the glass structure and reduce the degree of polymerization of the glass structure. The high content of Na2O in the slag is not conducive to the formation of the vitreous body, which is why the vitreous body often contains the crystalline phase in the previous test. CaO can be added to strengthen sodium silicate glass because of the solid chemical bonding force between alkaline earth metal-oxygen ions and nonbridging oxygen, and calcium ions can accumulate to strengthen the network to weaken the dissociation of Na2O [27].
The CaO-SiO2-Al2O3 ternary phase diagram was drawn by FactSage thermodynamics software under the restriction of slag composition. The green zone is the liquid surface of SiO2-Na2O-CaO ternary system [28], as shown in Figure 15, in which it was easy to form glass [29,30]. By adding 12%CaO+5%SiO2, the composition point of fly ash was from the O point (the starting point of the arrow) to the E point (the starting point of the arrow), which was in the glass forming area. Because of the addition of CaO as a fluxing agent, a lower temperature of 1300 °C was selected for melting for 2 h. The diffraction result of the slag obtained from the experiment is shown in Figure 15b. The XRD spectra displayed the steamed bread peak as a characteristic of the glassy substance, and there was no diffraction peak of crystal. Consequently, vitreous bodies with few crystals were obtained in the test, indicating that the composition design has been achieved. The toxic leaching test of the slag obtained from the test was carried out, and the results are shown in Table 7, and all the leaching indexes met the standard. In this way, the fly ash was completely harmless through the process with proper composition adjustment at low temperatures.

4. Conclusions

In this research, a new harmless process with fly ash as the representative of chlorine-containing solid waste was developed, which ultimately realized the innocuity of heavy metals in fly ash through two stages, chlorination melting and glass curing. The main results are listed as follows:
(1) Chlorination melting can efficiently transfer heavy metals, Pb and Zn, from raw materials to soot and enrich them, which is beneficial to comprehensively recover and reduce the vitrification pressure of heavy metals in slag. The heavy metals retained in the slag after chlorination can be solidified by vitrification, which can realize the harmlessness of heavy metals. The process technology has been well applied in the solid waste disposal project in Hebei Province.
(2) Increasing melting temperature and roasting time can significantly promote the distribution ratio of Cl, Na, Pb, and Zn in soot. After the raw materials were smelted at 1450 °C for 2 h under a nitrogen atmosphere with a flow ratio of 1 L/min, the distribution ratios of Cl, Na, Pb, and Zn in soot were 99.02%, 63.41%, 98.38%, and 45.92%, respectively.
(3) The leaching effect of Na and Cl in slag is determined by chlorination and vitrification, while the leaching effect of Pb and Zn is mainly affected by the degree of chlorination reaction. According to the change in roasting temperature and time, the phases of Na and Cl in the slag are different.
(4) When 12 wt.% CaO and 5 wt.% SiO2 were added, the N2 flow ratio was at 1 L/min, and held the melting temperature of 1300 °C for 2 h. The leaching index was determined; the acid dissolution ratio was 2.00%, and the Pb and Zn content of the water leaching solution was 0.008 mg/L, 0.313 mg/L respectively. In addition, the Pb and Zn content of the acid leaching solution was 0.003 mg/L, 0.453 mg/L respectively. Above all, the results met the vitrification standard.

Author Contributions

Y.H.—Conceptualization, Methodology, Formal analysis, Investigation, Data curation, Writing. Z.C.—Methodology, Data curation, Revising draft; Y.J.—Validation; W.C.—Data curation. L.L.—Supervision, Project administration; X.W.—Conceptualization, Supervision, Funding acquisition, Resource, Revising draft. All authors have read and agreed to the published version of the manuscript.

Funding

This work was funded by the National Key Research and Development Plan of China (2018YFC1901505 and 2018YFC1901503), Shanxi Unveiling Bidding Project (20191101007), Ministry of Land and Resources Public Welfare Industry Research Project (201511062-02), and National Natural Science Foundation of China (51672006).

Institutional Review Board Statement

Not applicable.

Informed Consent Statement

Not applicable.

Data Availability Statement

Not applicable.

Conflicts of Interest

The authors declare no conflict of interest.

References

  1. Clavier, K.A.; Paris, J.M.; Ferraro, C.C.; Townsend, T.G. Opportunities and challenges associated with using municipal waste incineration ash as a raw ingredient in cement production—A review. Resour. Conserv. Recycl. 2020, 160, 104888. [Google Scholar] [CrossRef]
  2. Wang, P.; Hu, Y.; Cheng, H. Municipal solid waste (MSW) incineration fly ash as an important source of heavy metal pollution in China. Environ. Pollut. 2019, 252, 461–475. [Google Scholar] [CrossRef] [PubMed]
  3. Geng, C.; Chen, C.; Shi, X.; Wu, S.; Jia, Y.; Du, B.; Liu, J. Recovery of metals from municipal solid waste incineration fly ash and red mud via a co-reduction process. Resour. Conserv. Recycl. 2020, 154, 104600. [Google Scholar] [CrossRef]
  4. Huang, B.; Gan, M.; Ji, Z.; Fan, X.; Zhang, D.; Chen, X.; Sun, Z.; Huang, X.; Fan, Y. Recent progress on the thermal treatment and resource utilization technologies of municipal waste incineration fly ash: A review. Process Saf. Environ. Protect. 2022, 159, 547–565. [Google Scholar] [CrossRef]
  5. Xue, Y.; Liu, X. Detoxification, solidification and recycling of municipal solid waste incineration fly ash: A review. Chem. Eng. J. 2021, 420, 130349. [Google Scholar] [CrossRef]
  6. Wang, Q.; Tian, S.; Wang, Q.; Huang, Q.; Yang, J. Melting characteristics during the vitrification of MSWI fly ash with a pilot-scale diesel oil furnace. J. Hazard. Mater. 2008, 160, 376–381. [Google Scholar] [CrossRef]
  7. Quina, M.J.; Bordado, J.C.; Quinta-Ferreira, R.M. Treatment and use of air pollution control residues from MSW incineration: An overview. Waste Manag. 2008, 28, 2097–2121. [Google Scholar] [CrossRef] [Green Version]
  8. Song, G.J.; Kim, K.H.; Seo, Y.C.; Kim, S.C. Characteristics of ashes from different locations at the MSW incinerator equipped with various air pollution control devices. Waste Manag. 2004, 24, 99–106. [Google Scholar] [CrossRef]
  9. Pan, Y.; Wu, Z.M.; Zhou, J.Z.; Zhao, J.; Ruan, X.X.; Liu, J.Y.; Qian, G.R. Chemical characteristics and risk assessment of typical municipal solid waste incineration (MSWI) fly ash in China. J. Hazard. Mater. 2013, 261, 269–276. [Google Scholar] [CrossRef]
  10. Wang, X.; Zhang, L.; Zhu, K.; Li, C.; Zhang, Y.; Li, A. Distribution and chemical species transition behavior of chlorides in municipal solid waste incineration fly ash during the pressure-assisted sintering treatment. Chem. Eng. J. 2021, 415, 128873. [Google Scholar] [CrossRef]
  11. Zhang, J.; Liu, B.; Zhang, S. A review of glass ceramic foams prepared from solid wastes: Processing, heavy-metal solidification and volatilization, applications. Sci. Total Environ. 2021, 781, 146727. [Google Scholar] [CrossRef] [PubMed]
  12. Aloisi, M.; Karamanov, A.; Taglieri, G.; Ferrante, F.; Pelino, M. Sintered glass ceramic composites from vitrified municipal solid waste bottom ashes. J. Hazard. Mater. 2006, 137, 138–143. [Google Scholar] [CrossRef] [PubMed]
  13. Ma, W.; Fang, Y.; Chen, D.; Chen, G.; Xu, Y.; Sheng, H.; Zhou, Z. Volatilization and leaching behavior of heavy metals in MSW incineration fly ash in a DC arc plasma furnace. Fuel 2017, 210, 145–153. [Google Scholar] [CrossRef] [Green Version]
  14. Yang, Y.; Xiao, Y.; Voncken, J.H.L.; Wilson, N. Thermal treatment and vitrification of boiler ash from a municipal solid waste incinerator. J. Hazard Mater. 2008, 154, 871–879. [Google Scholar] [CrossRef] [PubMed]
  15. Guo, B.; Liu, B.; Yang, J.; Zhang, S. The mechanisms of heavy metal immobilization by cementitious material treatments and thermal treatments: A review. J. Environ. Manag. 2017, 193, 410–422. [Google Scholar] [CrossRef] [PubMed]
  16. Change, Y.; Xu, X.; Wang, Y. Chloridizing Roasting expanding test of pyrite cinder. Nonferrous Matals 2013, 1–3. [Google Scholar] [CrossRef]
  17. Liu, H.X.; Wang, W.Z.; Yang, X.Q.; Sun, Z.; Zhao, L.M. Research on the process of chlordizing roasting for treating cyanidation residue. Min. Metall. 2016, 25, 75–77. [Google Scholar] [CrossRef]
  18. Chen, Z.W.; Wang, H.; Wang, M.H.; Liu, L.L.; Wang, X.D. Investigation of cooling processes of molten slags to develop multilevel control method for cleaner production in mineral wool. J. Clean. Prod. 2022, 339, 130548. [Google Scholar] [CrossRef]
  19. Zhao, S.; Liu, B.; Ding, Y.; Zhang, J.; Wen, Q.; Ekberg, C.; Zhang, S. Study on glass-ceramics made from MSWI fly ash, pickling sludge and waste glass by one-step process. J. Clean. Prod. 2020, 271, 122674. [Google Scholar] [CrossRef]
  20. Chen, Z.; Wang, M.; Wang, H.; Liu, L.; Wang, X. ANN-based structure-viscosity relationship model of multicomponent slags for production design in mineral wool. Construct. Build. Mater. 2022, 319, 126010. [Google Scholar] [CrossRef]
  21. Wang, S.; He, P.; Xia, Y.; Lu, W.; Shao, L.; Zhang, H. Role of sodium chloride and mineral matrixes in the chlorination and volatilization of lead during waste thermal treatment. Fuel Process. Technol. 2016, 143, 130–139. [Google Scholar] [CrossRef]
  22. Chiang, K.Y.; Wang, K.S.; Lin, F.L.; Chu, W.T. Chloride effects on the speciation and partitioning of heavy metal during the municipal solid waste incineration process. Sci. Total Environ. 1997, 203, 129–140. [Google Scholar] [CrossRef]
  23. National Technical Committee for Standardization of Product Recycling Foundation and Management. Technical Requirements for Vitrification Products of Solid Waste: GB/T41015-2021. Available online: http://openstd.samr.gov.cn/bzgk/gb/newGbInfo?hcno=357357FB018F8EF537A43B99B2CD88F6 (accessed on 23 February 2022).
  24. Alam, Q.; Lazaro, A.; Schollbach, K.; Brouwers, H.J.H. Chemical speciation, distribution and leaching behavior of chlorides from municipal solid waste incineration bottom ash. Chemosphere 2020, 241, 124985. [Google Scholar] [CrossRef] [PubMed]
  25. Tian, S.; Li, J.; Liu, F.; Guan, J.; Dong, L.; Wang, Q. Behavior of heavy metals in the vitrification of MSWI fly ash with a pilot-scale diesel oil furnace. Procedia Environ. Sci. 2012, 16, 214–221. [Google Scholar] [CrossRef] [Green Version]
  26. Nowak, B.; Pessl, A.; Aschenbrenner, P.; Szentannai, P.; Mattenberger, H.; Rechberger, H.; Hermann, L.; Winter, F. Heavy metal removal from municipal solid waste fly ash by chlorination and thermal treatment. J. Hazard. Mater. 2010, 179, 323–331. [Google Scholar] [CrossRef]
  27. Zhao, Y.Z.; Yin, H.R. Glass Technology; Chemical Industry Press: Beijing, China, 2006; pp. 16–18. [Google Scholar]
  28. He, S.-P.; Wang, Q.; Xie, D.; Xu, C.-S.; Li, Z.; Mills, K. Solidification and crystallization properties of CaO-SiO2-Na2O based mold fluxes. Int. J. Miner. Met. Mater. 2009, 16, 261–264. [Google Scholar] [CrossRef]
  29. Sharifikolouei, E.; Baino, F.; Salvo, M.; Tommasi, T.; Pirone, R.; Fino, D.; Ferraris, M. Vitrification of municipal solid waste incineration fly ash: An approach to find the successful batch compositions. Ceram. Int. 2021, 47, 7738–7744. [Google Scholar] [CrossRef]
  30. Ma, W.; Shi, W.; Shi, Y.; Chen, D.; Liu, B.; Chu, C.; Li, D.; Li, Y.; Chen, G. Plasma vitrification and heavy metals solidification of MSW and sewage sludge incineration fly ash. J. Hazard. Mater. 2021, 408, 124809. [Google Scholar] [CrossRef]
Figure 1. A novel process for harmless disposal of solid waste containing chlorine.
Figure 1. A novel process for harmless disposal of solid waste containing chlorine.
Processes 10 00526 g001
Figure 2. Schematic diagram of the novel process for fly ash disposal.
Figure 2. Schematic diagram of the novel process for fly ash disposal.
Processes 10 00526 g002
Figure 3. The basic characteristics of fly ash: (a) morphology under different electron microscope magnifications; (b) particle size distribution, and (c) XRD spectra.
Figure 3. The basic characteristics of fly ash: (a) morphology under different electron microscope magnifications; (b) particle size distribution, and (c) XRD spectra.
Processes 10 00526 g003
Figure 4. Schematic diagram of chlorination melting device for fly ash: 1-gas mixing chamber; 2-gas cylinder; 3-gas flow meter; 4-electrical control cabinet; 5-electrical furnace; 6-high-temperature thermocouple; 7-sample crucible; 8-exhaust absorbing flask; 9-exhaust fan; 10-cooling chamber.
Figure 4. Schematic diagram of chlorination melting device for fly ash: 1-gas mixing chamber; 2-gas cylinder; 3-gas flow meter; 4-electrical control cabinet; 5-electrical furnace; 6-high-temperature thermocouple; 7-sample crucible; 8-exhaust absorbing flask; 9-exhaust fan; 10-cooling chamber.
Processes 10 00526 g004
Figure 5. The effect of melting temperature over: (a) Cl and Na content in slag; (b) Pb and Zn content in slag; (c) ignition loss ratio and slag ratio; (d) distribution ratio of Cl, Na, Pb, and Zn in soot.
Figure 5. The effect of melting temperature over: (a) Cl and Na content in slag; (b) Pb and Zn content in slag; (c) ignition loss ratio and slag ratio; (d) distribution ratio of Cl, Na, Pb, and Zn in soot.
Processes 10 00526 g005
Figure 6. (a) XRD spectra of soot collected in fly ash smelting at 1450 °C and Halite standard spectra; (b) XRD spectra of the slag at different temperatures.
Figure 6. (a) XRD spectra of soot collected in fly ash smelting at 1450 °C and Halite standard spectra; (b) XRD spectra of the slag at different temperatures.
Processes 10 00526 g006
Figure 7. Standard Gibbs free energy of PbO/ZnO chlorination reaction at different temperatures and linear fitting results.
Figure 7. Standard Gibbs free energy of PbO/ZnO chlorination reaction at different temperatures and linear fitting results.
Processes 10 00526 g007
Figure 8. Test results of acid dissolution and water leaching of slag at different temperatures: (a) acid dissolution ratio and Cl and Na contents in water leaching solution; (b) Pb and Zn content in the water leaching solution.
Figure 8. Test results of acid dissolution and water leaching of slag at different temperatures: (a) acid dissolution ratio and Cl and Na contents in water leaching solution; (b) Pb and Zn content in the water leaching solution.
Processes 10 00526 g008
Figure 9. The acid leaching test results of slag at different temperatures: (a) Cl and Na contents in acid leaching solution; (b) Pb and Zn content in acid leaching solution.
Figure 9. The acid leaching test results of slag at different temperatures: (a) Cl and Na contents in acid leaching solution; (b) Pb and Zn content in acid leaching solution.
Processes 10 00526 g009
Figure 10. The morphology of slag under SEM and energy spectrum analysis: (a) 1400 °C; (b) 1450 °C.
Figure 10. The morphology of slag under SEM and energy spectrum analysis: (a) 1400 °C; (b) 1450 °C.
Processes 10 00526 g010
Figure 11. The effect of melting time over: (a) Cl and Na content in slag; (b) Pb and Zn content in slag; (c) ignition loss ratio and slag ratio; and (d) distribution ratio of Cl, Na, Pb, and Zn in soot.
Figure 11. The effect of melting time over: (a) Cl and Na content in slag; (b) Pb and Zn content in slag; (c) ignition loss ratio and slag ratio; and (d) distribution ratio of Cl, Na, Pb, and Zn in soot.
Processes 10 00526 g011
Figure 12. The XRD spectra of slag at different smelting time.
Figure 12. The XRD spectra of slag at different smelting time.
Processes 10 00526 g012
Figure 13. Test results of acid dissolution and water leaching of slag at different smelting times (a) acid dissolution ratio and Cl, Na content in water leaching solution; (b) Pb and Zn contents in water leaching solution.
Figure 13. Test results of acid dissolution and water leaching of slag at different smelting times (a) acid dissolution ratio and Cl, Na content in water leaching solution; (b) Pb and Zn contents in water leaching solution.
Processes 10 00526 g013
Figure 14. The acid leaching test results of slag under different smelting times (a) Cl and Na content in acid leaching solution; (b) Pb and Zn contents in acid leaching solution.
Figure 14. The acid leaching test results of slag under different smelting times (a) Cl and Na content in acid leaching solution; (b) Pb and Zn contents in acid leaching solution.
Processes 10 00526 g014
Figure 15. (a) The phase diagram of CaO-SiO2-Al2O3; (b) X-ray diffraction results of slag from additive test.
Figure 15. (a) The phase diagram of CaO-SiO2-Al2O3; (b) X-ray diffraction results of slag from additive test.
Processes 10 00526 g015
Table 1. The main elements of fly ash.
Table 1. The main elements of fly ash.
ElementNaKClFeCaMgAlSiPbZnLOI
wt (%)19.470.41 19.40 6.51 3.10 0.73 3.03 4.89 0.74 0.76 5.99
Table 2. Test and analysis results of the ash fusibility of fly ash (°C).
Table 2. Test and analysis results of the ash fusibility of fly ash (°C).
Deformation Temperature (DT)Softening Temperature (ST)Hemispheric Temperature (HT)Flow Temperature (FT)
970103010501270
Table 3. The toxicity index of fly ash leaching should be in accordance with the vitrification standard of solid waste.
Table 3. The toxicity index of fly ash leaching should be in accordance with the vitrification standard of solid waste.
IndexAcid Dissolution Ratio (%)Water Leaching Solution (mg/L)Acid Leaching Solution (mg/L)
Requirements≤2.00PbZnPbZn
≤0.01≤1.00≤0.30≤1.00
Table 4. Test results of direct leaching of fly ash.
Table 4. Test results of direct leaching of fly ash.
IndexAcid Dissolution Ratio (%)Water Leaching Solution (mg/L)Acid Leaching Solution (mg/L)
NaClPbZnNaClPbZn
Requirements [23]≤2.00≤0.010≤1.000≤0.300≤1.000
Test results51.0511,136.913,450.00.3391.7461103.7959.52.3611.56
Table 5. The phases of Na and Cl mainly existed in the residue at different temperatures.
Table 5. The phases of Na and Cl mainly existed in the residue at different temperatures.
Temperature/°C10001200130014001450
Main phaseSodium chloride (NaCl)
Sodalite
(Na4 Cl (Al3 Si3 O12))
Sodium chloride (NaCl)
Sodalite
(Na4 Cl (Al3 Si3 O12))
Sodium chlorate (NaClO4)
Sodium aluminum silicate
(NaAlSi2O6)
Sodium chlorate (NaClO4)
Sodium aluminum silicate
(NaAlSi2O6)
Nepheline (Na6.65Al6.24Si9.76O32)
Table 6. The main occurrence phases of Na and Cl in slag with different melting time.
Table 6. The main occurrence phases of Na and Cl in slag with different melting time.
Melting Time/h1.01.52.02.53.0
Main phaseSodium chloride (NaCl)Sodium chloride (NaCl)
Sodium Aluminum Silicate (NaAlSi2O6)
Sodium Chlorate (NaClO4)
Sodium Aluminum Silicate (NaAlSi2O6)
Sodium Chlorate (NaClO4)
Sodium Aluminum Silicate (NaAlSi2O6)
Sodium Chlorate (NaClO4)
Sodium Aluminum Silicate (NaAlSi2O6)
Table 7. The leaching test results of slag from the auxiliary agent test.
Table 7. The leaching test results of slag from the auxiliary agent test.
IndexAcid Dissolution Ratio (%)Water Leaching Solution (mg/L)Acid Leaching Solution (mg/L)
Test results2.00PbZnPbZn
0.0080.3130.0030.453
Publisher’s Note: MDPI stays neutral with regard to jurisdictional claims in published maps and institutional affiliations.

Share and Cite

MDPI and ACS Style

Hu, Y.; Chen, Z.; Jiao, Y.; Chen, W.; Liu, L.; Wang, X. Experimental Investigation of Vitrification Process for the Disposal of Hazardous Solid Waste Containing Chlorides. Processes 2022, 10, 526. https://doi.org/10.3390/pr10030526

AMA Style

Hu Y, Chen Z, Jiao Y, Chen W, Liu L, Wang X. Experimental Investigation of Vitrification Process for the Disposal of Hazardous Solid Waste Containing Chlorides. Processes. 2022; 10(3):526. https://doi.org/10.3390/pr10030526

Chicago/Turabian Style

Hu, Yihang, Ziwei Chen, Yang Jiao, Weibin Chen, Lili Liu, and Xidong Wang. 2022. "Experimental Investigation of Vitrification Process for the Disposal of Hazardous Solid Waste Containing Chlorides" Processes 10, no. 3: 526. https://doi.org/10.3390/pr10030526

APA Style

Hu, Y., Chen, Z., Jiao, Y., Chen, W., Liu, L., & Wang, X. (2022). Experimental Investigation of Vitrification Process for the Disposal of Hazardous Solid Waste Containing Chlorides. Processes, 10(3), 526. https://doi.org/10.3390/pr10030526

Note that from the first issue of 2016, this journal uses article numbers instead of page numbers. See further details here.

Article Metrics

Back to TopTop