Abstract
We study the shape of the Bachelier-implied volatility of a spread option on two assets following correlated local volatility models. This includes the limiting case of spread options on two correlated Black–Scholes (BS) assets. We give an analytical result for the at-the-money (ATM) skew of the spread-implied volatility, which depends only on the components’ ATM volatilities and skews. We also compute the ATM convexity of the implied spread option for the case when the assets follow correlated BS models. The results are extracted from the short-maturity asymptotics for basket options obtained previously by Avellaneda, Boyer-Olson, Busca and Friz and, thus, become exact in the short-maturity limit. Numerical testing of the short-maturity analytical results under the Black–Scholes model and in a local volatility model show good agreement for strikes sufficiently close to the ATM point. Numerical experiments suggest that a linear approximation for the spread Bachelier volatility constructed from the ATM spread volatility and skew gives a good approximation for the spread volatility for highly correlated assets.
1. Introduction
Spread options are popular derivatives in the commodity markets. The European spread options on two assets have a payoff in the form , where corresponds to call/put spread options. See Carmona and Durrleman (2003) for an overview with discussions of their practical applications.
Several approximations and numerical methods have been proposed for their pricing under various assumptions for the distributional properties of the underlying assets (). We summarize briefly a few of these methods below, distinguishing between methods that assume correlated log-normally distributed assets and methods that allow for components’ smiles.
The simplest setting assumes that are correlated log-normals. This arises, for example, when the underlying assets are assumed to follow correlated geometric Brownian motions (2 GBMs). Several pricing formulae have been proposed for this case. The simplest approach is the Kirk approximation (Kirk 1995), which assumes that the spread follows a displaced log-normal distribution. Shimko (1994) uses the Bachelier model for the spread and applies a correction, which approximates the true distribution of the spread using the Edgeworth expansion in terms of its skewness and kurtosis, following the Jarrow–Rudd approach. The Shimko approach has been extended to spread options on three assets by Schaefer (Schaefer 2002).
An analytical approximation for spread options’ prices was presented by Carmona and Durrleman (2003), which also gave constraining bounds. Bjerksund and Stensland (2014) proposed an equivalent result and a simpler approximation with a good numerical performance. A good overview of existing analytical methods for pricing spread options on correlated log-normal assets is given by Deng et al. (2008). They also presented an analytical approximation based on an approximation for the optimal exercise boundary, see also Galeeva and Wang (2024). The Kirk approximation has been extended to spread options on three assets in Alos et al. (2011), who also studied the short-maturity limit of these options using asymptotic methods (Avellaneda et al. 2003, 2002; Bayer and Laurence 2004). Liquidity risk effects in pricing spread options have been considered by Pirvu and Yazdanian (2015) and Pirvu and Zhang (2024).
In relaxing the log-normal assumption for the underlying assets (), several methods have been proposed for pricing spread options. Alexander and Scourse (2004) assume that the components have a bivariate log-normal mixture distribution. If the joint characteristic function of is known, Caldana and Fusai (2013) reduce the spread-pricing problem to the evaluation of one-dimensional integrals. Their method was extended to spread options on multiple assets by Pellegrino (2016). Copula-based methods have been discussed by Herath et al. (2011) and Berton and Mercuri (2024).
In financial practice, the prices of spread options are often quoted in terms of the Bachelier volatility. The Bachelier volatility is appropriate for this case, as the underlying of the spread options can take either sign. As an illustration, we show in Figure 1 the Bachelier implied volatilities of exchange-traded 1-month Calendar Spread Options (CSOs) on WTI crude oil futures, obtained from settlement prices on 12 March 2025 from the CME Group.1 The 1-month CSO payoff is linked to the difference () between consecutive futures contracts at maturity.
Figure 1.
Bachelier implied volatilities of the 1-month WTI calendar spread options. The dashed blue curve shows a quadratic fit in the strike, and the vertical line shows the spread forward. Settlement values as of 12 March 2025. Source: CME Group.
In the spread options literature, the focus has been on computing the prices of these options. We show, here, that there are advantages to working instead with the Bachelier implied volatility of the spread options, which is more tractable in certain respects. Specifically, assuming that the underlying assets follow correlated local volatility models, we show that the expansion of the spread-implied volatility around the at-the-money strike is simply related to the corresponding expansion of the single-asset-implied volatilities in log-moneyness. This is important for spread options on assets with implied volatility smiles, as it gives a simple way to include smile effects in pricing the spread option.
We assume that the assets follow correlated local volatility models. The local volatility model (Dupire 1994; Gatheral 2006) is the simplest dynamic model, which is consistent with observed implied volatility smiles for each underlying asset. From this point of view, our modeling choice is parsimonious. However, we note that more complex models are available: Piterbarg (2006) and Hagan et al. (2020) include stochastic volatility in pricing spread options. The local correlation model used for basket options, see, for example, Guyon and Henry-Labordere (2014) (Chapter 12), can also be applied for spread options. Jump-diffusion models could also be considered. All these models would introduce additional parameters, which require calibration. On the other hand, under the model assumed here, we derive analytical approximations for spread options, which depend only on observable parameters for the underlying assets, and their correlation.
Specifically, we assume that the asset prices follow the process
This formulation of the local volatility model is appropriate for cases when the asset prices () are strictly positive, as in equities, FX, and certain futures on positive definite assets. For this case, it is natural to quote implied volatilities as Black–Scholes (log-normal) volatilities.
We use short-maturity asymptotic methods to derive the ATM level and skew of the Bachelier-implied volatility of the spread option. The main result is stated in Proposition 1. An analytical result for the spread convexity is given in Proposition 2 for the case of spread options on log-normally distributed assets. The method of the proof is similar to that used in Pirjol (2023) to extract the ATM skew of a basket option from the short-maturity asymptotic results for basket options in Avellaneda et al. (2002). The result is also similar in spirit to those in Durrleman and El Karoui (2007), which gave analytical results for the ATM volatility, skew, and convexity of FX spread options.
For certain applications, it is convenient to relax the positivity assumption for the asset prices, for example, when these assets are interest rates. The model (1) must be modified by replacing .2 For this case, it is natural to express the ATM spread volatility and skew in terms of the Bachelier ATM volatility and skews of the individual names. The result is given in Proposition 3 and reproduces the result of Piterbarg (2006).
The theoretical predictions for the spread-implied volatility are tested in Section 3 for spread options on log-normally distributed assets, compared with direct spread-option pricing by numerical integration. Similar tests are presented in Section 4 for spread options on two assets with an implied volatility smile, by comparing with a Monte Carlo simulation.
2. Spread Options’ Bachelier-Implied Volatility
Consider spread options on the spread between two assets (), which follow correlated local volatility models with local volatility functions ():
The initial conditions are .
We consider spread options on these two assets. The call and put spread options have prices
The underlying for spread options is the spread , which can take either sign. Therefore, the appropriate volatility quotation is in terms of the Bachelier-implied volatility.
Recall the Bachelier call option pricing formula for the (undiscounted) price of an option on an asset with forward price :
where is the so-called normal or Bachelier-implied volatility. The Bachelier price depends only on and .
The Bachelier-implied volatility of a spread option () is defined in terms of the spread option price () as
where is the forward spread, expressed in terms of the forwards of the two spread components ().
One unusual feature of the Bachelier-implied volatility is that it is bounded from above, in contrast to the usual Black–Scholes (log-normal)-implied volatility, which may take arbitrarily high values. As increases, the Bachelier price (5) increases monotonically and can exceed the Merton bound (). This bound holds only if an explicit upper bound on is enforced. However, this is not expected to be an issue for spread options for which there is no analog of the Merton upper bound on prices.
The implied volatility of the spread option () is expanded around the ATM point as follows (we drop the dependence on T for simplicity):
where the ATM spread option volatility is , and the higher-order coefficients are the ATM spread skew () and convexity ().
Assume that the Black–Scholes (log-normal)-implied volatilities of the single-name options on are known. This is the case for equities, FX, and futures, which can take only positive values. The analogous result for the case when the single-name Bachelier implied volatilities are known is given below in Proposition 3.
Denote as the implied volatility of an option on asset with log-moneyness . The first two terms in the expansion of in powers of log-moneyness give the ATM level and skew of the asset’s implied volatility.
The following result gives the short-maturity asymptotics for the ATM spread volatility () and skew () in terms of the single-name parameters () and the correlation (). Recall that the ATM point for the spread option corresponds to strike . Since we work in the short-maturity limit, all maturity T dependence disappears, and we drop, for simplicity, the maturity argument (T) in all the quantities involved.
Proposition 1.
Assume that the two assets () follow correlated local volatility models (1). The implied spread parameters () are expressed in terms of the components’ Black–Scholes-implied volatilities and skews (), defined as in (8), as follows:
The ATM-implied Bachelier volatility of the spread option is
The ATM skew of the spread-implied volatility is
where
Proof.
The proof is given in Appendix B. □
Remark 1.
Assume that the two assets follow correlated Black–Scholes models (). In the limiting case of assets with the same forward price (), the ATM spread level and skew become
The ATM skew vanishes at the equal volatility limit, regardless of the correlation.
The result of Proposition 1 is easily extended also to the ATM convexity of the implied spread volatility. This results in lengthy formulae, so we give, here, only the result for the spread option on correlated Black–Scholes assets.
Proposition 2.
The convexity of the Bachelier spread option implied volatility in the Black–Scholes model has the form
where the coefficients are given in Appendix C.
Spread Options on Assets Described by Bachelier Volatility
In some cases, the individual assets () can take either sign. This can happen, for example, with spread options on interest rates. For this case, the appropriate implied volatility for single-name options is the Bachelier (normal)-implied volatility. Denote the single-name Bachelier-implied volatilities as . They are expanded in powers of the differences () as
with and as the ATM level and skew of the Bachelier-implied volatility.
The following result gives the ATM Bachelier level and skew of the implied spread volatility, expressed in terms of and .
Proposition 3.
Assume that the Bachelier single-name ATM volatilities () and skews () are given.
Then, the ATM spread Bachelier volatility is
The ATM skew of the spread-implied volatility is
Proof.
The proof is a simple modification of the proof of Proposition 1 and is omitted. □
Remark 2.
Results (16) and (17) can be recovered from Proposition 6.2 in Piterbarg (2006) by taking the local volatility limit in that result—by setting the stochastic volatility factor . The relation between the notations of Piterbarg (2006) and those used here is
and is analogous for the spread quantities (). Substituting and into the expressions for p and q in Piterbarg (2006) yields the same results as (16) and (17).
In the limiting case, when the two assets follow Bachelier models and, thus, have vanishing skews (), the spread skew also vanishes. This is intuitively clear, since the difference of two normally distributed random variables is also normally distributed.
3. Numerical Tests in the Black–Scholes Model
We present, in this section, a few numerical tests for the predictions of this paper, considering spread options on two correlated Black–Scholes assets. The valuation of the spread options for this case can be performed numerically by integration over the bivariate normal distribution. For convenience, we summarize the relevant formulae in the Appendix A.
Test 1. Correlation dependence. In the first test, we compare the short-maturity predictions for the ATM level and skew of the spread-implied volatility against exact numerical evaluations by varying the correlation () at fixed .
Consider a spread option on two Black–Scholes assets with parameters
The short-maturity spread ATM volatility and skew given in (9) and (10) are shown as the solid curves in Figure 2 as functions of the correlation . The left plot shows the ATM Bachelier spread volatility from the short-maturity result (9) (solid curve) and from a numerical evaluation of the spread option (red dots) by numerical integration over the bivariate joint distribution. The right plot shows the ATM spread skew, evaluated by central finite differences () with .
Figure 2.
Test 1. The correlation dependence of the spread ATM volatility () (left) and skew () (right) for parameters (19). The spread volatility is expressed as normal (Bachelier) volatility. The solid curves show the short-maturity approximation (9) and (10). The red dots show the exact (numerical) ATM spread volatility and skew obtained by numerical integration. The skew is evaluated by finite differences with .
In a previous paper Pirjol (2023), we showed that the ATM skew of a basket of correlated Black–Scholes assets is non-negative in the short-maturity limit for any volatilities and correlation structure. From (10), we see that this does not hold for the ATM skew of a spread option. As , the term becomes negative and approaches . This shows that for values sufficiently low, the ATM spread skew may become negative in the BS model.
Test 2. Strike dependence. In the second test, we compare the exact Bachelier spread-implied volatility () obtained by numerical integration against the short-maturity asymptotic result, constructed using the ATM level and skew given by Proposition 1 and the convexity from Proposition 2.
Using the analytical predictions for the ATM spread volatility, skew, and convexity (, , and ), we can construct a linear and a quadratic approximation for the spread volatility, defined as
These parameters are given explicitly in terms of the Black–Scholes parameters of the underlyings by Proposition 1 (with ) and by Proposition 2.
Assume the same forward prices for the two assets as in the previous test , , which corresponds to a spread forward of .
We consider several scenarios:
Scenario (i): The two assets have the same volatility (). The total spread Bachelier volatility () is shown in Figure 3 as the solid black curve for several choices of the correlation.
Figure 3.
Test 2, scenario (i). The Bachelier spread volatility (solid black curve) () for the spread option on two BS assets vs. K for several choices of the correlation. The dashed black line is the linear approximation, and the dashed red curve shows the quadratic approximation. The horizontal dashed blue line shows the short-maturity ATM-implied volatility. The red dot shows the exact spread volatility at , following from the Margrabe formula (22).
Scenario (ii): The two assets have different volatilities ( and ). The total spread Bachelier volatility () is shown in Figure 4 as the solid black curves for several choices of the correlation.
Figure 4.
Test 2, scenario (ii). The Bachelier spread volatility (solid black curve) () for the spread option on two BS assets vs. K for several choices of the correlation. The dashed black line is the linear approximation, and the dashed blue line shows the short-maturity ATM-implied volatility. The red dots show the exact spread volatility at following from the Margrabe formula (22).
Scenario (iii): The same as in (i) and (ii) but with and . The total spread Bachelier volatility () is shown in Figure 5 as solid black curves for several choices of the correlation. For this scenario, the ATM spread skew is negative.
Figure 5.
(Test 2, scenario iii). The same as Figure 4 but with the parameters and .
The spread option prices with zero strike () are known exactly in the Black–Scholes model from the Margrabe formula (Margrabe 1978):
with .
For each scenario, the red dot shows the exactly known value of the spread volatility () from the Margrabe formula (22). Agreement with this value is a test for the quality of the numerical integration over the bivariate normal distribution used to obtain , shown as the solid black curve.
The linear approximation (20) is shown as the black dashed line and the quadratic approximation as the red dashed curve. The horizontal dashed blue line shows the ATM spread volatility (). The linear and quadratic approximations reproduce well the trend of the actual spread volatility around the ATM point, although there is a gap, which is due to subleading corrections. The agreement of the linear and quadratic approximations with the numerical valuation improves markedly for large positive correlations for all the scenarios considered.
Test 3. Option maturity sensitivity tests. We present, here, tests for the accuracy of the asymptotic result for the Bachelier volatility of the spread options for several option maturities (T). The tests use the same parameters as above: and , with corresponding to scenarios (ii) and (iii). We compare the exact spread volatility computed by numerical integration with the asymptotic result.
The results are shown in Table 1 and Table 2. The tables show the exact Bachelier-implied volatility of an ATM spread option () obtained by numerical integration, and the analytical asymptotic result, for several maturities. The two tables correspond to scenarios (ii) and (iii), which have higher volatility than scenario (i) and are, thus, more conservative. The second row for each maturity shows the relative error of the asymptotic result. In all the cases considered with maturity T up to 1 year, the relative error of the asymptotic result is less than 0.4%. The error is much smaller for large and positive correlations (), which is often relevant in practical applications of spread options on futures contracts.
Table 1.
Maturity dependence test. Scenario (ii). The table shows the exact Bachelier-implied volatility of a spread option with parameters , , and , as shown for several maturities (T). The second row shows the relative error with respect to the asymptotic prediction (shown in the last row).
Table 2.
Maturity dependence test. Scenario (iii). Same as Table 1.
Test 4. Spread option pricing tests. We also give performance tests of the linear approximation (20) for pricing spread options. For this test, we use the same parameters as those in Bjerksund and Stensland (2014). Consider a spread option on two assets with maturity . The spot prices, volatilities, and dividend yields of the two assets are
The short rate is . The forward prices are
Table 3 shows the exact (first row) and linear approximation (second row) results for the spread option prices with several strikes and correlations. The third row shows the relative error of the linear approximation. For , we also show the exact result from the Margrabe formula as a check on the exact evaluation by numerical integration.
Table 3.
Numerical tests for spread options with parameters (23), as in Bjerksund and Stensland (2014). The first row shows the result of the numerical integration and the second row the result from the linear approximation for the spread Bachelier volatility. The third row is the relative error of the linear approximation. For , the fourth row shows the exact result from the Margrabe formula.
The relative error of the linear approximation is less than 1% in almost all the cases (except for and , which have larger errors due to the low option prices). This suggests that the linear approximation could be useful for fast spread option valuation when the desired accuracy is below the 1% level.
4. Numerical Tests for Spread Options on Assets with Smiles
This section presents the numerical tests of our predictions for spread options on assets with non-zero skew. For this test, we assume that the underlyings follow correlated local volatility models () with local volatility
The function is the short-maturity limit of the local volatility of the log-normal SABR model (Hagan et al. 2014) with spot volatility , vol-of-vol , and correlation . The short-maturity asymptotic volatility of this local volatility model coincides with the short-maturity limit of the implied volatility in the stochastic SABR model (Hagan et al. 2002)
with . The ATM-implied volatility level and skew in this model are
Numerical tests. For the numerical tests, we choose the parameters , , and , as in Table 4. The risk-free interest rate is . The spot volatility values () correspond to those in Scenario (i) for the Black–Scholes testing.
Table 4.
Model parameters of the spread components for the local volatility test.
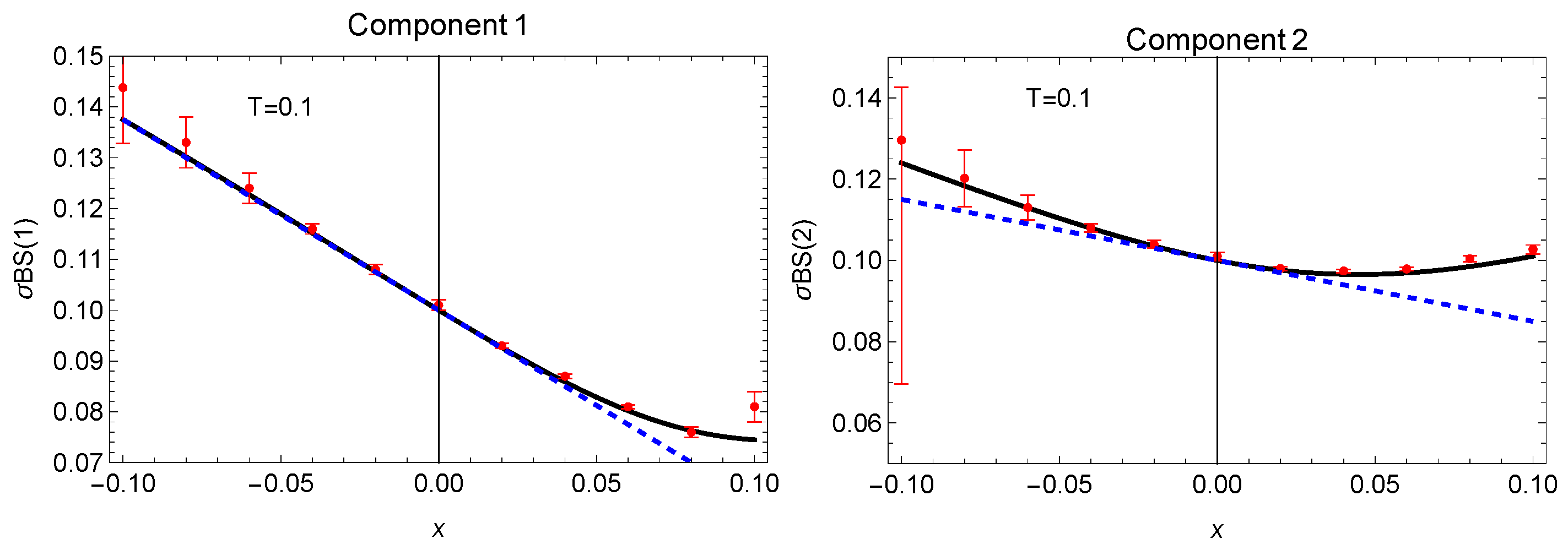
Figure 6 shows the BS-implied volatility of the options on the two spread components obtained by MC simulation with paths (red) for maturity , compared with the short-maturity asymptotics (26) (black). The dashed line is a linear approximation with coefficients given by (27)
Figure 6.
Implied volatility of options on the two components of the spread option. The red dots show the results of an MC simulation, the black curve is the asymptotic result, and the dashed blue line is the linear approximation with skew .
Consider, now, a spread call option with payoff , where follow correlated local volatility models with in (25) and correlation . We computed the Bachelier-implied volatility of the spread option by MC simulation with paths and time steps. The option maturity is years.
The ATM spread skew can be estimated by MC simulation using the exact relation
where is the digital call option with payoff .
Proof.
The option price can be written in terms of the Bachelier spread implied volatility () as
Taking the derivative with respect to the strike and setting , we get
The left-hand side is expressed in terms of the digital call option as , which reproduced the stated result (29). □
Table 5 shows the ATM () and skew () of the Bachelier spread implied volatility obtained by MC simulation. These are compared with the analytical results for the ATM level and skew () and skew () given by Proposition 1, see Equation (27), for several values of . The theoretical result reproduces (within errors) the results of the MC simulation.
Table 5.
Test results for the ATM spread Bachelier volatility and skew, compared with the short-maturity asymptotics (in the last two columns). The model parameters are as in Table 4, and maturity T = . The MC simulation used k samples and a discretization with time steps.
5. Summary and Conclusions
In this paper, we studied the shape of the Bachelier-implied volatility of a spread option on two assets following correlated local volatility models in the near-ATM region. In this region, the spread-implied volatility can be expanded in moneyness with coefficients given by the ATM level, skew, and convexity. We show that these parameters are determined by the same parameters for the single-asset-implied volatility, and the correlation among assets. We present analytical formulae for the ATM spread skew in terms of single-asset smile parameters for both cases when the single-asset smile is quoted in Black–Scholes (log-normal) and Bachelier (normal) forms. A similar result holds for the ATM spread convexity.
The analytical results follow from the short-maturity asymptotics of multi-asset options obtained by Avellaneda et al. (2002) and become exact in the short-maturity or volatility limit. The results have a local property in the sense that near-ATM spread options depend only on near-ATM single-asset-implied volatilities and the correlation among the two assets. This is in contrast with alternative methods, such as the copula-based methods, where the entire shape of the single-asset smile is required. The availability of analytical results also allows a qualitative understanding of the spread option sensitivities with respect to these parameters.
Numerical testing on spread options on correlated log-normally distributed assets shows that the analytical result reproduces correctly the ATM slope of the Bachelier-implied volatility. The analytical spread skew formula can be used to construct a linear approximation for the exact Bachelier volatility as in (20), which should be useful for pricing spread options with strikes close to the ATM point. Numerical testing shows that the linear approximation is most accurate for highly correlated assets. This is relevant for practical applications, for example, for pricing calendar spreads on futures contracts, which are highly correlated.
Funding
This research received no external funding.
Data Availability Statement
No new data were created or analyzed in this study. Data sharing is not applicable to this article.
Conflicts of Interest
The author declares no conflicts of interest.
Abbreviations
The following abbreviations are used in this manuscript:
| ATM | At the Money |
| BS | Black–Scholes |
| MC | Monte Carlo |
Appendix B. Proofs
We give, in this Appendix, the details for the proof of Proposition 1. The proof is analogous to that used for basket options in Pirjol (2023), up to minimal changes introduced by the use of the Bachelier volatility for the spread volatility. The spread local volatility function is written in Bachelier form, and its short-maturity limit is expressed as an extremal problem, as shown in Avellaneda et al. (2002) for the basket option. The result is expanded in moneyness . The zeroth-order coefficient gives the ATM spread volatility, and the first-order term in this expansion gives the ATM spread skew.
Proof of Proposition 1.
The one-dimensional projection for the spread process () is written in Bachelier form as a diffusion with coefficients and
where is a new standard Brownian motion. The spread local volatility () is given by a conditional expectation, see, for example, Equation (7.18) in Henry-Labordere (2009) (p. 191), in the context of basket options
A similar expression holds for ; however, this is not needed, as the drift does not contribute to the leading order.
The leading term in the short-maturity expansion of the spread volatility () can be obtained using the short-time asymptotics of Varadhan (1967). The result is analogous to that for the basket option obtained in Avellaneda et al. (2003, 2002) and is given by
where are the solutions of the extremal problem for
with and . See Equations (4) and (6) in Avellaneda et al. (2002). The infimum in (A18) is taken, subject to the constraint .
Introduce the forward spread () and the moneyness of the spread option (). The constrained extremal problem (A18) reduces to the solution of the unconstrained extremal problem for
The extremal conditions () give the master equations
The Lagrange multiplier () is determined by the constraint
The master Equations (A20) are solved by expanding in z, by substituting expansions for the optimal and the Lagrange multiplier on the right-hand side
The expansion of in powers of is expressed in terms of observable parameters as
The ATM-implied volatility skew (s) and convexity () for each underlying are defined by the expansion of the implied volatility in log-moneyness
We present, next, the solution of the master equations (A20) in an expansion in z.
terms. Keeping the terms in the expansion of the master equations gives
The normalization equation () determines . Thus, we get
terms. From the terms in the expansion of the master equations, we get
and
The normalization condition
determines . The final results for , , and are rather lengthy, so they are given in Appendix C only for the case of the Black–Scholes model. They are used to compute the spread convexity (), which is given in Equation (14), again, for the case of the Black–Scholes model.
Finally, we compute the asymptotic spread local volatility () as an expansion in the spread moneyness ().
This expansion is obtained by substituting the solutions for from (A22) and expanding in z. The ATM spread-implied Bachelier volatility, skew, and convexity are related to the coefficients in this expansion as
The leading order term is
This gives the ATM spread Bachelier volatility. The coefficient of the term gives . By Equation (A32) this gives the ATM spread skew. This proves the stated result. □
Appendix C. Spread Convexity
We give, here, the coefficients () appearing in the convexity of the Bachelier spread-implied volatility () for spread options on two Black–Scholes assets in Proposition 2.
In the perfectly correlated limit (), the numerator simplifies and becomes
Proof of Proposition 2.
We outline, here, the main steps in the derivation of the spread convexity (). This is given by Equation (A32) and requires the skew and convexity of the spread local volatility () and (). The skew () follows from the coefficients ( and ), which are given in (A27). The convexity () requires the coefficients ( and ), which are given above in (A28) and (A29). The results for these coefficients in the Black–Scholes model are
and
The coefficient is determined from the normalization condition
This gives the somewhat lengthy result
where we defined . This result for must be substituted into the expressions for and above, which gives the final results for these coefficients.
and
Notes
| 1 | The volatilities were obtained from the Option Settlement Tool from Quikstrike, available at https://www.cmegroup.com/tools-information/quikstrike/option-settlement.html (accessed on 15 March 2025). |
| 2 | The short-maturity expansion in the resulting model is similar to that in the usual local volatility model, see Costeanu and Pirjol (2011) for a detailed discussion. |
References
- Alexander, Carol, and Andrew Scourse. 2004. Bivariate normal mixture spread option valuation. Quantitative Finance 4: 637–48. [Google Scholar] [CrossRef]
- Alòs, Elisa, Alexander Eydeland, and Peter Laurence. 2011. A Kirk’s and a Bachelier’s formula for three asset spread options. Energy Risk 8: 52–57. [Google Scholar]
- Avellaneda, Marco, David Boyer-Olson, Jerome Busca, and Peter Friz. 2002. Reconstructing volatility. Risk, 87–91. [Google Scholar]
- Avellaneda, Marco, David Boyer-Olson, Jerome Busca, and Peter Friz. 2003. Application of large deviation theory to the pricing of index options in finance. Comptes Rendus Mathematique 336: 263–66. [Google Scholar] [CrossRef]
- Bayer, Christian, and Peter Laurence. 2004. Asymptotics beats Monte Carlo: The case of correlated local vol baskets. Communications on Pure and Applied Mathematics 67: 1618–57. [Google Scholar] [CrossRef]
- Berton, Eduardo, and Lorenzo Mercuri. 2024. An efficient unified approach for spread option pricing in a copula market model. Annals of Operations Research 336: 307–29. [Google Scholar] [CrossRef]
- Bjerksund, Petter, and Gunnar Stensland. 2014. Closed form spread option valuation. Quantitative Finance 14: 1785–94. [Google Scholar] [CrossRef]
- Caldana, Ruggero, and Gianluca Fusai. 2013. A general closed-form spread option pricing formula. Journal of Banking and Finance 37: 4893–906. [Google Scholar] [CrossRef]
- Carmona, Rene, and Valdo Durrleman. 2003. Pricing and hedging spread options. SIAM Review 45: 627–85. [Google Scholar] [CrossRef]
- Costeanu, Viorel, and Dan Pirjol. 2011. Asymptotic expansion for the normal implied volatility in the local volatility model. arXiv arXiv:1105.3359. [Google Scholar] [CrossRef]
- Deng, Shijie, Minqiang Li, and Jieyun Zhou. 2008. Closed-form approximations for spread option prices and Greeks. Journal of Derivatives 15: 58–80. [Google Scholar]
- Dupire, Bruno. 1994. Pricing with a smile. Risk 7: 18–20. [Google Scholar]
- Durrleman, Valdo, and Nicole El Karoui. 2007. Coupling smiles. Quantitative Finance 8: 573–90. [Google Scholar] [CrossRef]
- Galeeva, Roza, and Zi Wang. 2024. Sector formula for approximation of spread option value and applications. Commodities 3: 281–313. [Google Scholar] [CrossRef]
- Gatheral, James. 2006. The Volatility Surface. A Practioner’s Guide. Hoboken: Wiley. [Google Scholar]
- Guyon, Julien, and Pierre Henry-Labordère. 2014. Nonlinear Option Pricing. London: CRC Press. [Google Scholar]
- Hagan, Patrick, Andrew Lesniewski, George E. Skoufis, and Diana E. Woodward. 2020. CMS spread options. Quantitative Finance 21: 1809–24. [Google Scholar] [CrossRef]
- Hagan, Patrick, Deep Kumar, Andrew Lesniewski, and Diana E. Woodward. 2002. Managing smile risk. Wilmott 1: 84–108. [Google Scholar]
- Hagan, Patrick, Deep Kumar, Andrew Lesniewski, and Diana E. Woodward. 2014. Arbitrage-free SABR. Wilmott 69: 60–75. [Google Scholar] [CrossRef]
- Henry-Labordère, Pierre. 2009. Analysis, Geometry and Modeling in Finance. Advanced Methods in Option Pricing. London: CRC Press. [Google Scholar]
- Herath, Hemantha, Pranesh Kumar, and Amin Amershi. 2011. Crack spread option pricing with copulas. Journal of Economics and Finance 37: 1–22. [Google Scholar] [CrossRef]
- Kirk, Edward. 1995. Correlation in the energy markets. In Managing Energy Price Risk. London: Risk Publications. [Google Scholar]
- Margrabe, William. 1978. The value of an option to exchange one asset for another. The Journal of Finance 33: 177–86. [Google Scholar] [CrossRef]
- Pearson, Neil D. 1995. An efficient approach for pricing spread options. Journal of Derivatives 3: 76–91. [Google Scholar] [CrossRef]
- Pellegrino, Tommaso. 2016. A general closed form approximation pricing formula for basket and multi-asset spread options. Journal of Mathematical Finance 6: 944–74. [Google Scholar] [CrossRef]
- Pirjol, Dan. 2023. Smile Consistent Basket Skew. Risk, September 2023. Expanded Version of the Published Paper. Available online: https://ssrn.com/abstract=4702005 (accessed on 15 March 2025).
- Pirvu, Traian A., and Ahmad R. Yazdanian. 2015. Numerical analysis for spread option pricing model in illiquid underlying asset market: Full feedback model. Applied Mathematics and Information Sciences 10: 1271–81. [Google Scholar]
- Pirvu, Traian A., and Shuai Zhang. 2024. Spread option pricing under finite liquidity framework. Risks 12: 173. [Google Scholar] [CrossRef]
- Piterbarg, Vladimir. 2006. Markovian Projection Method for Volatility Calibration. May 25. Available online: https://ssrn.com/abstract=906473 (accessed on 15 March 2025).
- Schaefer, Michael P. 2002. Pricing and hedging European options on futures spreads using the Bachelier spread option model. Paper presented at the NCR-134 Conference on Applied Commodity Price Analysis, Forecasting and Market Risk Management, St. Louis, MO, USA, April 22–23. [Google Scholar]
- Shimko, David C. 1994. Options on futures spreads: Hedging, speculation and valuation. The Journal of Futures Markets 14: 183–213. [Google Scholar] [CrossRef]
- Varadhan, Srinivas R. S. 1967. Diffusion processes in a small time interval. Communications on Pure and Applied Mathematics 20: 659–85. [Google Scholar] [CrossRef]
Disclaimer/Publisher’s Note: The statements, opinions and data contained in all publications are solely those of the individual author(s) and contributor(s) and not of MDPI and/or the editor(s). MDPI and/or the editor(s) disclaim responsibility for any injury to people or property resulting from any ideas, methods, instructions or products referred to in the content. |
© 2025 by the author. Licensee MDPI, Basel, Switzerland. This article is an open access article distributed under the terms and conditions of the Creative Commons Attribution (CC BY) license (https://creativecommons.org/licenses/by/4.0/).





