Emission Performance, Environmental Disclosure, and Firm Value: Evidence from Southeast Asia
Abstract
1. Introduction
2. Literature Review and Hypotheses Development
2.1. Sustainability Risks Theory
2.2. GHG Emissions as a Source of Corporate Risk
2.3. Corporate Environmental Disclosure
2.4. Influence of Emission Score on Environmental Disclosure
2.5. Influence of Environmental Disclosure on Firm Value
3. Results
3.1. Descriptives
3.2. ANOVA
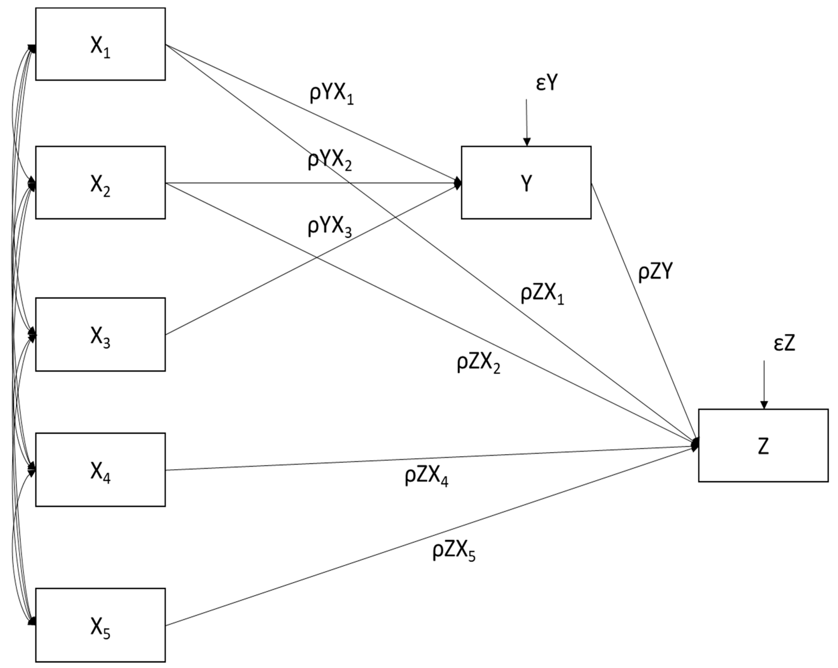
3.3. SEM—Path Analysis
3.4. Robustness Test
4. Discussion
5. Methods
6. Conclusions
Author Contributions
Funding
Data Availability Statement
Conflicts of Interest
References
- Abdul Rahman, Roszaini, and Mohammad Faisal Alsayegh. 2021. Determinants of Corporate Environment, Social and Governance (ESG) Reporting among Asian Firms. Journal of Risk and Financial Management 14: 167. [Google Scholar] [CrossRef]
- Aboagye-Otchere, Francis Kwasi, Samuel Nii Simpson, and Joseph Ato Kusi. 2019. The influence of environmental performance on environmental disclosures: An empirical study in Ghana. Business Strategy & Development 3: 98–111. [Google Scholar]
- Aboud, Ahmed, and Ayman Diab. 2018. The impact of social, environmental and corporate governance disclosures on firm value: Evidence from Egypt. Journal of Accounting in Emerging Economies 8: 442–58. [Google Scholar] [CrossRef]
- Adeniyi Olubunmi, Felicia, Oladipo Sunday, and Gbenga Adeniran Busari. 2025. Does Sustainability Reporting Influence Firm Value of Emerging Economies? International Journal of Innovative Science and Research Technology 10: 2425–37. [Google Scholar] [CrossRef]
- Adhariani, Desi, and Charl de Villiers. 2019. Integrated reporting: Perspectives of corporate report preparers and other stakeholders. Sustainability Accounting, Management and Policy Journal 10: 126–56. [Google Scholar] [CrossRef]
- Adhariani, Desi, and Estelle du Toit. 2020. Readability of sustainability reports: Evidence from Indonesia. Journal of Accounting in Emerging Economies 10: 621–36. [Google Scholar] [CrossRef]
- Alsayegh, Mohammad Faisal, Samaneh Homayoun, and Roszaini Abdul Rahman. 2020. Corporate Economic, Environmental, and Social Sustainability Performance Transformation through ESG Disclosure. Sustainability 12: 3910. [Google Scholar] [CrossRef]
- Al-Tuwaijri, Saud A., Theodore E. Christensen, and K. E. Hughes, II. 2004. The relations among environmental disclosure, environmental performance, and economic performance: A simultaneous equations approach. Accounting, Organizations and Society 29: 447–71. [Google Scholar] [CrossRef]
- Amidjaya, Prima Gusti, and Antonius Kurniawan Widagdo. 2020. Sustainability reporting in Indonesian listed banks: Do corporate governance, ownership structure and digital banking matter? Journal of Applied Accounting Research 21: 231–47. [Google Scholar] [CrossRef]
- Ammer, Mohammed A., Mohammed A. Alyahya, and Majed M. Aliedan. 2020. Do Corporate Environmental Sustainability Practices Influence Firm Value? The Role of Independent Directors: Evidence from Saudi Arabia. Sustainability 12: 9768. [Google Scholar] [CrossRef]
- Amran, Azlan, Dato’ Mohd Amir Naim, Mohd Mohid Zain, Faizah Darus, Mehdi Nejati, Yuli Purwanto, Haslinda Yusoff, and Hasan Fauzi. 2017. Social responsibility disclosure in Islamic banks: A comparative study of Indonesia and Malaysia. Journal of Financial Reporting and Accounting 15: 99–115. [Google Scholar] [CrossRef]
- Arian, Ali Gheisari, and John Sands. 2024. Do corporate carbon emissions affect risk and capital costs? International Review of Economics & Finance 93: 1363–77. [Google Scholar] [CrossRef]
- Arif, Muhammad, Hasan Al-Bataineh, and Christopher Gan. 2023. Global evidence on the association between environmental, social, and governance disclosures and future earnings risk. Business Strategy and the Environment 33: 2497–517. [Google Scholar] [CrossRef]
- Auerswald, Heike, Marcel Thum, and Kai A. Konrad. 2017. Adaptation, mitigation and risk-taking in climate policy. Journal of Economics 124: 269–87. [Google Scholar] [CrossRef]
- Bae, Sung Min, Jong Dae Kim, and Md Abdus Salam Masud. 2018. A Cross-Country Investigation of Corporate Governance and Corporate Sustainability Disclosure: A Signaling Theory Perspective. Sustainability 10: 2611. [Google Scholar] [CrossRef]
- Bakker, Sjoukje, Duncan Liefferink, Martine van Maarseveen, Nguyen Thi Tuan, Gerda Gunthawong, Kristine Dematera Contreras, Monica Kappiantari, Mark Zuidgeest, and Manuel Guillen. 2017. Low-Carbon Transport Policy in Four ASEAN Countries: Developments in Indonesia, the Philippines, Thailand and Vietnam. Sustainability 9: 1217. [Google Scholar] [CrossRef]
- Beirne, John, Nuobu Renzhi, and Ulrich Volz. 2021. Bracing for the Typhoon: Climate change and sovereign risk in Southeast Asia. Sustainable Development 29: 537–51. [Google Scholar] [CrossRef]
- Boura, Maria, Spyridon Lioukas, and Dimitris A. Tsouknidis. 2020. The Role of pro--Social Orientation and National Context in Corporate Environmental Disclosure. European Management Review 17: 1027–40. [Google Scholar] [CrossRef]
- Broadstock, David C., Alan Collins, Lester C. Hunt, and Konstantinos Vergos. 2017. Voluntary disclosure, greenhouse gas emissions and business performance: Assessing the first decade of reporting. The British Accounting Review 50: 48–59. [Google Scholar] [CrossRef]
- Cadez, Simon, Achim Czerny, and Peter Letmathe. 2018. Stakeholder pressures and corporate climate change mitigation strategies. Business Strategy and the Environment 28: 1–14. [Google Scholar] [CrossRef]
- Cahan, Steven F., Charl de Villiers, David C. Jeter, Vic Naiker, and Chris J. van Staden. 2016. Are CSR Disclosures Value Relevant? Cross-Country Evidence. European Accounting Review 25: 579–611. [Google Scholar] [CrossRef]
- Cai, Chen, Samer A. Hazaea, Mohammed Hael, Emad M. Al-Matari, Abdullah Alhebri, and Ahmad M. Alfadhli. 2024. Mapping the Landscape of the Literature on Environmental, Social, Governance Disclosure and Firm Value: A Bibliometric Analysis and Systematic Review. Sustainability 16: 4239. [Google Scholar] [CrossRef]
- Carroll, Archie B., and Kareem M. Shabana. 2010. The Business Case for Corporate Social Responsibility: A Review of Concepts, Research and Practice. International Journal of Management Reviews 12: 85–105. [Google Scholar] [CrossRef]
- Cho, Charles H., and Dennis M. Patten. 2007. The role of environmental disclosures as tools of legitimacy: A research note. Accounting, Organizations and Society 32: 639–47. [Google Scholar] [CrossRef]
- Clarkson, Peter M., Yue Li, Gordon D. Richardson, and Florin P. Vasvari. 2008. Revisiting the relation between environmental performance and environmental disclosure: An empirical analysis. Accounting, Organizations and Society 33: 303–27. [Google Scholar] [CrossRef]
- Córdova, Carlos, Pedro Merello, and Ana Zorio-Grima. 2018. Carbon Emissions by South American Companies: Driving Factors for Reporting Decisions and Emissions Reduction. Sustainability 10: 2411. [Google Scholar] [CrossRef]
- Creswell, John W., and J. David Creswell. 2018. Research Design: Qualitative, Quantitative, and Mixed Methods Approaches. Los Angeles: Sage. [Google Scholar]
- Deegan, Craig. 2002. Introduction: The legitimising effect of social and environmental disclosures—A theoretical foundation. Accounting, Auditing & Accountability Journal 15: 282–311. [Google Scholar]
- Del Gesso, Cristina, and Rab Nawaz Lodhi. 2024. Theories underlying environmental, social and governance (ESG) disclosure: A systematic review of accounting studies. Journal of Accounting Literature 47: 433–61. [Google Scholar] [CrossRef]
- Derouez, Fouad, and Atef Ifa. 2025. Assessing the Sustainability of Southeast Asia’s Energy Transition: A Comparative Analysis. Energies 18: 287. [Google Scholar] [CrossRef]
- Ding, Xi, Yuxin Yang, Olga Efimova, Anna Steblyanskaya, Liang Ye, and Jing Zhang. 2022. The Impact Mechanism of Environmental Information Disclosure on Corporate Sustainability Performance—Micro-Evidence from China. Sustainability 14: 12366. [Google Scholar] [CrossRef]
- Dissanayake, Dammika, Suren Kuruppu, Wei Qian, and Carol Tilt. 2021. Barriers for sustainability reporting: Evidence from Indo-Pacific region. Meditari Accountancy Research 29: 264–93. [Google Scholar] [CrossRef]
- Donkor, Anthony, Tita Trireksani, and Handan G. Djajadikerta. 2024. Incremental value relevancies in the development of reporting of sustainability performance. Journal of Corporate Accounting & Finance 35: 44–65. [Google Scholar] [CrossRef]
- Downar, Benjamin, Stefan Schwenen, Jens Ernstberger, André Zaklan, and Stefan Reichelstein. 2021. The impact of carbon disclosure mandates on emissions and financial operating performance. Review of Accounting Studies 26: 1137–75. [Google Scholar] [CrossRef]
- Du, Shuili, Chitrabhan B. Bhattacharya, and Sankar Sen. 2010. Maximizing Business Returns to Corporate Social Responsibility (CSR): The Role of CSR Communication. International Journal of Management Reviews 12: 8–19. [Google Scholar] [CrossRef]
- Eccles, Robert G., and George Serafeim. 2013. The Performance Frontier: Innovating for a Sustainable Strategy. Harvard Business Review 91: 50–60. [Google Scholar]
- Eccles, Robert G., Ioannis Ioannou, and George Serafeim. 2014. The Impact of Corporate Sustainability on Organizational Processes and Performance. Management Science 60: 2835–57. [Google Scholar] [CrossRef]
- Forcadell, Francisco Javier, Elena Aracil, and Ana Lorena. 2022. The firm under the spotlight: How stakeholder scrutiny shapes corporate social responsibility and its influence on performance. Corporate Social Responsibility and Environmental Management 30: 1258–72. [Google Scholar] [CrossRef]
- Friedman, Andrew L., and Samantha Miles. 2006. Stakeholders: Theory and Practice. Oxford: OUP Oxford. [Google Scholar]
- Galeone, Giuseppe, Giuseppe Dicuonzo, Maria Shini, and Sergio Ranaldo. 2023. Sustainability Reporting: Evidence from Global Systemically Important Banks (G-SIBs). Journal of Financial Management, Markets and Institutions 11: 2350011. [Google Scholar] [CrossRef]
- Gerged, Ali Mohammed, Ehesan Beddewela, and Christopher J. Cowton. 2020. Is corporate environmental disclosure associated with firm value? A multicountry study of Gulf Cooperation Council firms. Business Strategy and the Environment 30: 185–203. [Google Scholar] [CrossRef]
- Giannarakis, Grigoris, Eleni Zafeiriou, and Nikos Sariannidis. 2017. The Impact of Carbon Performance on Climate Change Disclosure. Business Strategy and the Environment 26: 1078–94. [Google Scholar] [CrossRef]
- Gnanaweera, K. A. Keshan, and Naoki Kunori. 2018. Corporate sustainability reporting: Linkage of corporate disclosure information and performance indicators. Cogent Business & Management 5: 1423872. [Google Scholar] [CrossRef]
- Hamad, Shakir, Foo Wei Lai, Muhammad Kashif Shad, Sidra Farooq Khatib, and Shahid Ehsan Ali. 2023. Assessing the implementation of sustainable development goals: Does integrated reporting matter? Sustainability Accounting, Management and Policy Journal 14: 49–74. [Google Scholar] [CrossRef]
- Handayani, Kharina, Putra Anugrah, Farid Goembira, Indra Overland, Beni Suryadi, and Ahmad Swandaru. 2022. Moving beyond the NDCs: ASEAN pathways to a net-zero emissions power sector in 2050. Applied Energy 311: 118580. [Google Scholar] [CrossRef]
- Hetze, Katharina. 2016. Effects on the (CSR) Reputation: CSR Reporting Discussed in the Light of Signalling and Stakeholder Perception Theories. Corporate Reputation Review 19: 281–96. [Google Scholar] [CrossRef]
- Homroy, Swarnodeep. 2022. GHG emissions and firm performance: The role of CEO gender socialization. Journal of Banking & Finance 148: 106721. [Google Scholar] [CrossRef]
- Huang, Zhiqi, Shuo Zhang, and Yi Huang. 2024. The Possibility and Improvement Directions of Achieving the Paris Agreement Goals from the Perspective of Climate Policy. Sustainability 16: 4212. [Google Scholar] [CrossRef]
- Husnaini, Wiwi, and Bambang Basuki. 2020. ASEAN Corporate Governance Scorecard: Sustainability Reporting and Firm Value. The Journal of Asian Finance, Economics and Business 7: 315–26. [Google Scholar] [CrossRef]
- Ibishova, Bektur, Bent Misund, and Roar Tveterås. 2024. Driving green: Financial benefits of carbon emission reduction in companies. International Review of Financial Analysis 96: 103757. [Google Scholar] [CrossRef]
- Ifada, Laily Maisa, and Nur Masykur Saleh. 2022. Environmental performance and environmental disclosure relationship: The moderating effects of environmental cost disclosure in emerging Asian countries. Management of Environmental Quality 33: 1553–71. [Google Scholar] [CrossRef]
- Istianingsih, Istianingsih, Tita Trireksani, and Debora T. Hutagaol Manurung. 2020. The Impact of Corporate Social Responsibility Disclosure on the Future Earnings Response Coefficient (ASEAN Banking Analysis). Sustainability 12: 9671. [Google Scholar] [CrossRef]
- Jain, Anshul, Zabihollah Rezaee, and Prem K. Jain. 2016. Value-Relevance of Corporate Social Responsibility: Evidence from Short Selling. Journal of Management Accounting Research 28: 29–52. [Google Scholar] [CrossRef]
- Jamil, Ahmad, Nor Azila Ghazali, and Sharon P. Nelson. 2021. The influence of corporate governance structure on sustainability reporting in Malaysia. Social Responsibility Journal 17: 1251–78. [Google Scholar] [CrossRef]
- Jayarathna, Chathuri P., Lynne Dawes, Michaela Miska, and Dogan Agdas. 2021. Exploring sector-specific sustainability indicators: A content analysis of sustainability reports in the logistics sector. European Business Review 34: 321–43. [Google Scholar] [CrossRef]
- Joseph, Chris, Fenny Roshayati Cahaya, Siti Nur Syafiqa Yusuf, Anisah Nur Probohudono, and Eni Marlia Kurniawati. 2023. Corporate ethical values disclosure: Evidence from Malaysian and Indonesian top companies. International Journal of Accounting & Information Management 32: 369–89. [Google Scholar] [CrossRef]
- Kalogiannidis, Spyridon, Michail Chalaris, Dimitrios Kalfas, and Christina Patitsa. 2024. Relationship between Climate Change and Business Risk: Strategies for Adaptation and Mitigation: Evidence from a Mediterranean Country. WSEAS Transactions on Environment and Development 20: 276–94. [Google Scholar] [CrossRef]
- Kalyani, Soumi, and Ritam Mondal. 2024. Is ESG disclosure creating value propositions for the firms? An SLR and meta-analysis of how ESG affects the financials of a firm. Corporate Ownership and Control 21: 96–117. [Google Scholar] [CrossRef]
- Kono, Vina Rahmon, Nuryan Restuningdiah, and Dwi Juliardi. 2023. Corporate Sustainability Reporting in Southeast Asia: A Scoping Review. Journal of Applied Business, Taxation and Economics Research (JABTER) 3: 182–99. [Google Scholar] [CrossRef]
- Kourula, Arno, Niccolò Pisani, and Ans Kolk. 2017. Corporate sustainability and inclusive development: Highlights from international business and management research. Current Opinion in Environmental Sustainability 24: 14–18. [Google Scholar] [CrossRef]
- Kuasirikun, Naruemol, and Michael Sherer. 2004. Corporate social accounting disclosure in Thailand. Accounting, Auditing & Accountability Journal 17: 629–60. [Google Scholar] [CrossRef]
- Kurnia, Pipin, Edfan Darlis, and Adhitya Agri Putra. 2020. Carbon emission disclosure, good corporate governance, financial performance, and firm value. The Journal of Asian Finance, Economics and Business 7: 223–31. [Google Scholar] [CrossRef]
- Kusuma, Komang Nova, and Lili Gani. 2024. Implementation of Published Ifrs S1 and S2 Standards Globaly. Dinasti International Journal of Economics, Finance & Accounting 5: 943–54. [Google Scholar] [CrossRef]
- Laskar, Nandini, and Sudhakar G. Maji. 2016. Corporate sustainability reporting practices in India: Myth or reality? Social Responsibility Journal 12: 625–41. [Google Scholar] [CrossRef]
- Li, Feng. 2024. Challenges and Opportunities for Sustainable Supply Chain Management. Frontiers in Business, Economics and Management 15: 160–63. [Google Scholar] [CrossRef]
- Liu, Fen-Her, David Demeritt, and Shui-Yan Tang. 2019. Accounting for Sustainability in Asia: Stock Market Regulation and Reporting in Hong Kong and Singapore. Economic Geography 95: 362–84. [Google Scholar] [CrossRef]
- Liu, Yi-Sheng, Xinyi Zhou, Jia-Hao Yang, Andreas G. Hoepner, and Nino Kakabadse. 2023. Carbon emissions, carbon disclosure and organizational performance. International Review of Financial Analysis 90: 102846. [Google Scholar] [CrossRef]
- Mageto, Jackson. 2021. Big Data Analytics in Sustainable Supply Chain Management: A Focus on Manufacturing Supply Chains. Sustainability 13: 7101. [Google Scholar] [CrossRef]
- Mahmud, Ahmad Basri, Nurul Bahiah Hassan, and Hafizah binti Rosli. 2024. Assessing the Impact of Regulatory Frameworks on the Success of Green Building Projects in Singapore. Frontiers in Management Science 3: 58–66. [Google Scholar] [CrossRef]
- Mailani, Dina, Mhd. Zulfan T. Hulu, Marlon R. Simamora, and Siti Aisyah Kesuma. 2024. Resource-Based View Theory to Achieve a Sustainable Competitive Advantage of the Firm: Systematic Literature Review. International Journal of Entrepreneurship and Sustainabilities Studies 4: 1–15. [Google Scholar] [CrossRef]
- Miras-Rodríguez, Maria Dolores María, Beatriz Escobar-Pérez, and David Martínez-Martínez. 2018. Which Corporate Governance Mechanisms Drive CSR Disclosure Practices in Emerging Countries? Sustainability 11: 61. [Google Scholar] [CrossRef]
- Moussa, Ahmed Samir, and Mohamed Elmarzouky. 2024. Sustainability Reporting and Market Uncertainty: The Moderating Effect of Carbon Disclosure. Sustainability 16: 5290. [Google Scholar] [CrossRef]
- Neuman, W. Lawrence. 2014. Social Research Methods: Qualitative and Quantitative Approaches. Essex: Pearson. [Google Scholar]
- Nguyen, Cuong The, Nam Quang Nguyen, and Lan Thu Nguyen. 2022. Corporate social responsibility and financial performance: The case in Vietnam. Cogent Economics & Finance 10: 2075600. [Google Scholar] [CrossRef]
- Noor, Ahmad, and Yenni Latief Ginting. 2022. Influence Of Carbon Emission Disclosure on Firm Value of Industrial Firms in Indonesia. International Journal of Contemporary Accounting 4: 151–68. [Google Scholar] [CrossRef]
- O’Donovan, Gary. 2002. Environmental disclosures in the annual report: Extending the applicability and predictive power of legitimacy theory. Accounting, Auditing & Accountability Journal 15: 344–71. [Google Scholar]
- Omran, Mohammed A., and Devina Ramdhony. 2015. Theoretical Perspectives on Corporate Social Responsibility Disclosure: A Critical Review. International Journal of Accounting and Financial Reporting 5: 38. [Google Scholar] [CrossRef]
- Orlitzky, Marc, Frank L. Schmidt, and Sara L. Rynes. 2003. Corporate Social and Financial Performance: A Meta-Analysis. Organization Studies 24: 403–41. [Google Scholar] [CrossRef]
- Overland, Indra, Henrik Fløttum Sagbakken, Hiu-Ying Chan, Mutia Merdekawati, Beni Suryadi, Nugroho Adi Utama, and Roman Vakulchuk. 2020. The ASEAN climate and energy paradox. Energy and Climate Change 2: 100019. [Google Scholar] [CrossRef]
- Ozata Canli, Sibel Nur, and Mustafa Sercemeli. 2025. The impact of environmental, social and governance (ESG) disclosures on corporate financial performance in the energy sector. International Journal of Energy Sector Management, ahead of print. [Google Scholar] [CrossRef]
- Pedrini, Monica, and Laura Maria Ferri. 2019. Stakeholder management: A systematic literature review. Corporate Governance: The International Journal of Business in Society 19: 44–59. [Google Scholar] [CrossRef]
- Pratama, Arie. 2017. Clustering Indonesian companies’ Annual Reports: Preliminary assessment of the implementation of integrated reporting by Indonesian listed companies. International Journal of Globalisation and Small Business 9: 46. [Google Scholar] [CrossRef]
- Pratama, Arie. 2022. Is Tax Accounting Information Relevant to Users? The Case of Indonesia. International Journal of Applied Economics, Finance and Accounting 14: 77–90. [Google Scholar] [CrossRef]
- Pratama, Arie, Putri Sofia, Krisna Muhammad, Nur Dewi, and Lita R. Megawati. 2024. Sustainability Reporting Ecosystem and IFRS S1 and S2: How Accounting Research can assist its Implementation. Journal of Ecohumanism 3: 3101–29. [Google Scholar] [CrossRef]
- Preston, Brian J. 2020. The Influence of the Paris Agreement on Climate Litigation: Legal Obligations and Norms (Part I). Journal of Environmental Law 33: 1–32. [Google Scholar] [CrossRef]
- Qosasi, Achmad, Hendra Susanto, Astami Rusmin, Endang Widjajarso, and Andrew Brown. 2022. An alignment effect of concentrated and family ownership on carbon emission performance: The case of Indonesia. Cogent Economics & Finance 10: 2140906. [Google Scholar] [CrossRef]
- Raimo, Nicola, Francesco Vitolla, Giuseppe Nicolò, and Pasquale Tartaglia Polcini. 2022. Corporate governance and risk disclosure: Evidence from integrated reporting adopters. Corporate Governance: The International Journal of Business in Society 22: 1462–90. [Google Scholar] [CrossRef]
- Rudyanto, Arif, and Khalid Pirzada. 2021. The role of sustainability reporting in shareholder perception of tax avoidance. Social Responsibility Journal 17: 669–85. [Google Scholar] [CrossRef]
- Saka, Chiharu, and Tetsuo Oshika. 2014. Disclosure effects, carbon emissions and corporate value. Sustainability Accounting, Management and Policy Journal 5: 22–45. [Google Scholar] [CrossRef]
- Saraite-Sariene, Laura, Carmen Caba-Pérez, Francisco Galán-Valdivieso, and José Alonso-Cañadas. 2019. Non-Financial Information versus Financial as a Key to the Stakeholder Engagement: A Higher Education Perspective. Sustainability 12: 331. [Google Scholar] [CrossRef]
- Setiarini, Anindita, Lili Gani, Diana Adhariani, and Vania Diyanty. 2023. Strategic orientation, risk--taking, corporate life cycle and environmental, social and governance (ESG) practices: Evidence from ASEAN countries. Business Strategy & Development 6: 491–502. [Google Scholar]
- Shao, Jing, and Zhong He. 2022. How does social media drive corporate carbon disclosure? Evidence from China. Frontiers in Ecology and Evolution 10: 971077. [Google Scholar] [CrossRef]
- Singhania, Monica, and Nidhi Saini. 2021. Institutional framework of ESG disclosures: Comparative analysis of developed and developing countries. Journal of Sustainable Finance & Investment 13: 516–59. [Google Scholar] [CrossRef]
- Siregar, Sylvia Veronica, Agnes Fitry Mita, Rina Mahmud, and Fadli Amarullah. 2024. Sustainability practices and firm performance: The moderating role of firm-, industry-, and country-level factors. Business Strategy & Development 7: e345. [Google Scholar]
- Sumarta, Ni Luh Hartati, Mulyadi Rahardjo, Krisna Kusuma Satriya, Eko Supriyono, and Prima Gusti Amidjaya. 2023. Bank ownership structure and reputation through sustainability reporting in Indonesia. Social Responsibility Journal 19: 989–1002. [Google Scholar] [CrossRef]
- Suwandaru, Aditya, Yeyen Fristin, Andi Shawdari, and Wahyu Sudiyono. 2024. Understanding the Economic Drivers of Climate Change in Southeast Asia: An Econometric Analysis. Economies 12: 200. [Google Scholar] [CrossRef]
- Tamimi, Neda, and Rose Sebastianelli. 2017. Transparency among S&P 500 companies: An analysis of ESG disclosure scores. Management Decision 55: 1660–80. [Google Scholar] [CrossRef]
- Tangang, Fredolin, Devastating Sein, Dwi Gunawan, Pradit Singhruck, Francisco Cruz, Edvin Aldrian, Gemma Narisma, Grigory Nikulin, Anna R. C. Remedio, Debra Hein-Griggs, and et al. 2018. Future changes in annual precipitation extremes over Southeast Asia under global warming of 2 °C. APN Science Bulletin 8: 3–8. [Google Scholar] [CrossRef]
- Taylor, James, Dong Yim, and Jacob Vithayathil. 2018. Are corporate social responsibility (CSR) initiatives such as sustainable development and environmental policies value enhancing or window dressing? Corporate Social Responsibility and Environmental Management 25: 971–80. [Google Scholar] [CrossRef]
- Tehseen, Shehnaz, and Shamshubaridah Sajilan. 2016. Network competence based on resource-based view and resource dependence theory. International Journal of Trade and Global Markets 9: 60. [Google Scholar] [CrossRef]
- Thijssens, Thomas, Harold Hassink, and Laurens Bollen. 2015. Secondary Stakeholder Influence on CSR Disclosure: An Application of Stakeholder Salience Theory. Journal of Business Ethics 132: 873–91. [Google Scholar] [CrossRef]
- Thomson, Ian, Colin Dey, and Sally Russell. 2015. Activism, arenas and accounts in conflicts over tobacco control. Accounting, Auditing & Accountability Journal 28: 809–45. [Google Scholar] [CrossRef]
- Tran, Minh, and Ehesan Beddewela. 2020. Does context matter for sustainability disclosure? Institutional factors in Southeast Asia. Business Ethics: A European Review 29: 282–302. [Google Scholar] [CrossRef]
- Tran, Minh Duc, and Huu Hoang Ha. 2023. Corporate governance disclosure and annual reports quality: An investigation in Vietnam context. Cogent Economics & Finance 11: 2173125. [Google Scholar] [CrossRef]
- Truant, Enrico, Laura Corazza, and Silvia Scagnelli. 2017. Sustainability and Risk Disclosure: An Exploratory Study on Sustainability Reports. Sustainability 9: 636. [Google Scholar] [CrossRef]
- Unerman, Jeffrey. 2000. Methodological Issues Reflections on Quantification in Corporate Social Reporting Content Analysis. Accounting, Auditing & Accountability Journal 13: 667–81. [Google Scholar] [CrossRef]
- Utomo, Mochamad Nurul, Sri Rahayu, Kusnadi Kaujan, and Syahfrizal A. Irwandi. 2020. Environmental performance, environmental disclosure, and firm value: Empirical study of non-financial companies at Indonesia Stock Exchange. Green Finance 2: 100–13. [Google Scholar] [CrossRef]
- Wasara, Thulani Moses, and Faiez Ganda. 2019. The Relationship Between Corporate Sustainability Disclosure and Firm Financial Performance in Johannesburg Stock Exchange (JSE) Listed Mining Companies. Sustainability 11: 4496. [Google Scholar] [CrossRef]
- Wichianrak, Jutarat, Ken Wong, Tariq Khan, Priyantha Siriwardhane, and Stergios Dellaportas. 2022. Soft law, institutional signalling—Thai corporate environmental disclosures. Social Responsibility Journal 18: 205–20. [Google Scholar] [CrossRef]
- Yang, Yu, Jiajia Wen, and Yu Li. 2020. The Impact of Environmental Information Disclosure on the Firm Value of Listed Manufacturing Firms: Evidence from China. International Journal of Environmental Research and Public Health (IJERPH) 17: 916. [Google Scholar] [CrossRef]
- Yu, Hsueh-Chuan, Mei-Fang Kao, and Li Kuo. 2017. The relationship between CSR disclosure and competitive advantage. Sustainability Accounting, Management and Policy Journal 8: 547–70. [Google Scholar] [CrossRef]



| Variables | Mean | Std. Dev. | Min | Max |
|---|---|---|---|---|
| X1 | 57.82 | 26.23 | 0.00 | 99.92 |
| X2 | 21.34 | 1.96 | 17.17 | 27.05 |
| X3 | 32.78 | 19.81 | 3.04 | 124.00 |
| X4 | 0.05 | 0.07 | −0.43 | 0.51 |
| X5 | 1.94 | 2.40 | 0.08 | 18.96 |
| Y | 0.44 | 0.19 | 0.08 | 0.92 |
| Z | 2.74 | 5.84 | 0.14 | 55.58 |
| Environmental Disclosure | Indonesia | Malaysia | Singapore | Thailand | Overall |
|---|---|---|---|---|---|
| Environmental Data Assurance Standard | 33.33% | 13.69% | 37.10% | 32.09% | 25.62% |
| Environmental Data Independent Verification | 35.71% | 17.86% | 38.71% | 32.84% | 27.83% |
| Environmental Materials Sourcing | 59.52% | 54.17% | 67.74% | 73.13% | 63.05% |
| Environmental Supply Chain Management | 92.86% | 91.07% | 96.77% | 92.54% | 92.61% |
| Environmental Supply Chain Monitoring | 95.24% | 100.00% | 100.00% | 100.00% | 99.51% |
| Environmental Restoration Initiatives | 88.10% | 41.67% | 51.61% | 69.40% | 57.14% |
| Environmental Expenditures Investments | 61.90% | 26.19% | 8.06% | 30.60% | 28.57% |
| Environmental Investments Initiatives | 35.71% | 25.00% | 8.06% | 22.39% | 22.66% |
| Environmental Partnership | 71.43% | 49.40% | 70.97% | 51.49% | 55.67% |
| Environmental Products | 50.00% | 38.10% | 53.23% | 58.21% | 48.28% |
| Environmental Assets Under Management | 0.00% | 2.38% | 6.45% | 4.48% | 3.45% |
| Environmental Project Financing | 9.52% | 5.95% | 12.90% | 10.45% | 8.87% |
| Variable/Explanation | 2-Years Average Score for X1 | 2-Years Average Score for Y | ||
|---|---|---|---|---|
| Mean | Std. Dev | Mean | Std. Dev | |
| Per Country | ||||
| Indonesia | 65.388 | 21.638 | 0.527 | 0.148 |
| Malaysia | 49.821 | 28.870 | 0.388 | 0.181 |
| Singapore | 62.751 | 20.886 | 0.460 | 0.183 |
| Thailand | 63.199 | 23.758 | 0.481 | 0.211 |
| ANOVA test-score | 9.552 | 9.443 | ||
| Sig | 0.000 * | 0.000 * | ||
| Per Industry | ||||
| Financials | 71.810 | 18.550 | 0.550 | 0.214 |
| Industrials | 54.586 | 27.951 | 0.400 | 0.154 |
| Real Estate | 57.732 | 14.444 | 0.356 | 0.117 |
| Communication Services | 59.622 | 18.116 | 0.453 | 0.156 |
| Consumer Staples | 56.948 | 19.094 | 0.424 | 0.178 |
| Information Technology | 53.398 | 26.244 | 0.353 | 0.199 |
| Consumer Discretionary | 51.231 | 34.753 | 0.419 | 0.190 |
| Utilities | 52.836 | 22.013 | 0.523 | 0.173 |
| Materials | 46.758 | 30.517 | 0.424 | 0.209 |
| Energy | 77.045 | 26.734 | 0.520 | 0.245 |
| Health Care | 77.419 | 12.897 | 0.605 | 0.131 |
| ANOVA test-score | 5.188 | 4.555 | ||
| Sig | 0.000 * | 0.000 * | ||
| SEM Goodness of Fit Tests | Score | Sig. | Criteria for Good Fit | Interpretation |
|---|---|---|---|---|
| Absolute Test | ||||
| Chi-Square test | 4.060 | 0.260 | sig ≥ 0.05 | Good fit |
| Root Mean Square Error of Approximation (RMSEA) | 0.022 | 0.660 | RMSEA < 0.05 | Good fit |
| Goodness of Fit Index (GFI) | 1.000 | GFI > 0.90 | Good fit | |
| Incremental Test | ||||
| Adjusted Goodness of Fit Index (AGFI) | 0.980 | AGFI > 0.9 | Good fit | |
| Normed Fit Index (NFI) | 1.000 | NFI > 0.9 | Good fit | |
| Comparative Fit Index (CFI) | 1.000 | CFI > 0.9 | Good fit | |
| Incremental Fit Index (IFI) | 1.000 | IFI > 0.9 | Good fit | |
| Parsimony Test | ||||
| Parsimonious Goodness of Fit Index (PGFI) | 0.11 | PGFI small | Good fit | |
| Parsimonious Normed Fit Index (PNFI) | 0.14 | PNFI small | Good fit | |
| Akaike Information Criterion (AIC) | 53.59 | AIC small | Good fit | |
| Consistent Akaike Information Criterion (CAIC) | 178.75 | CAIC small | Good fit | |
| Critical N | 1282.04 | Critical N > 200 | Good fit | |
| Path Coefficient | Coefficient Score | R2 Model | t-Test | Hypothesis Testing Results |
|---|---|---|---|---|
| PYX1 | 0.42 | 0.55 | 10.73 | Accepted |
| PYX2 | 0.40 | 9.92 | ||
| PYX3 | 0.10 | 2.64 | ||
| εY | 0.45 | |||
| PZX1 | 0.10 | 0.2 | 1.96 | |
| PZX2 | −0.34 | −2.89 | ||
| PZX4 | 0.33 | 3.27 | ||
| PZX5 | 0.34 | 3.96 | ||
| PZY | 0.08 | 0.83 | Rejected | |
| εZ | 0.80 |
| Classical Assumption Test | Criteria for Good Fit | Equation (3) | Equation (4) | Equation (5) | Test Result |
|---|---|---|---|---|---|
| Normality test (Jarque-Berra test) | sig > 0.05 | 0.108 | 0.000 | 0.000 | Equation (3): Passed Equation (4): Not Passed Equation (5): Not Passed |
| Multicolinearity test (Variance Inflation Factor) | VIF < 10 | 1.063–1.451 | 1.097–2.374 | 1.057–2.460 | Equation (3): Passed Equation (4): Passed Equation (5): Passed |
| Heteroscedasticity test (White test) | sig > 0.05 | 0.1243 | 0.000 | 0.000 | Equation (3): Passed Equation (4): Not Passed Equation (5): Not Passed |
| Autocorellation test (Serial Correlation test) | sig > 0.05 | 0.1537 | 0.9280 | 0.7598 | Equation (3): Passed Equation (4): Passed Equation (5): Passed |
| Panel Data Estimation Test | Equation (3) Score | Equation (4) Score | Equation (5) Score |
|---|---|---|---|
| Chow Test | 0.0000 | 0.0000 | 0.0000 |
| Hausman Test | 0.2228 | 0.0778 | 0.0740 |
| Fixed/Random Effect | Random Effect | Random Effect | Random Effect |
| Variable | Equation (3) | Equation (4) | Equation (5) | |||
|---|---|---|---|---|---|---|
| Coefficient | Sig. | Coefficient | Sig. | Coefficient | Sig. | |
| C | −0.6460 | 0.0208 * | 21.2343 | 0.1169 | 22.2471 | 0.1051 |
| Y | – | – | 0.8239 | 0.0587 | 1.3017 | 0.0609 |
| X1 | 0.0031 | 0.0229 * | 0.0393 | 0.2735 | 0.0395 | 0.2734 |
| X2 | 0.0427 | 0.0131 * | −1.0670 | 0.1313 | –1.1145 | 0.1185 |
| X3 | 0.0304 | 0.2544 | – | – | ||
| X4 | – | – | 0.6429 | 0.1354 | 0.6650 | 0.1091 |
| X5 | – | – | 0.0120 | 0.1442 | 0.0101 | 0.3207 |
| M1 | 4.4816 | 0.1517 | ||||
| M2 | −0.0104 | 0.7398 | ||||
| Adjusted R2 | 0.421 | 0.049 | 0.049 | |||
| F-statistic | 99.203 | 5.133 | 3.976 | |||
| Prob(F-statistic) | 0.000 * | 0.000 * | 0.000 * | |||
| SEM Goodness of Fit Tests | Criteria for Good Fit | Score (Sig.) for Environment Sensitive Industry | Interpretation | Score (Sig.) for Environment Non-Sensitive Industry | Interpretation |
|---|---|---|---|---|---|
| Absolute Test | |||||
| Chi-Square test | sig ≥ 0.05 | 27.30 (0.000) | Bad Fit | 16.10 (0.001) | Bad Fit |
| Root Mean Square Error of Approximation (RMSEA) | RMSEA < 0.05 | 0.21 (0.000) | Bad Fit | 0.19 (0.000) | Bad Fit |
| Goodness of Fit Index (GFI) | GFI > 0.90 | 0.97 | Good Fit | 0.96 | Good Fit |
| Incremental Test | |||||
| Adjusted Goodness of Fit Index (AGFI) | AGFI > 0.9 | 0.71 | Bad Fit | 0.59 | Bad Fit |
| Normed Fit Index (NFI) | NFI > 0.9 | 0.91 | Good Fit | 0.95 | Good Fit |
| Comparative Fit Index (CFI) | CFI > 0.9 | 0.91 | Good Fit | 0.96 | Good Fit |
| Incremental Fit Index (IFI) | IFI > 0.9 | 0.91 | Good Fit | 0.96 | Good Fit |
| Parsimony Test | |||||
| Parsimonious Goodness of Fit Index (PGFI) | PGFI small | 0.10 | Good Fit | 0.10 | Good Fit |
| Parsimonious Normed Fit Index (PNFI) | PNFI small | 0.13 | Good Fit | 0.14 | Good Fit |
| Akaike Information Criterion (AIC) | AIC small | 78.47 | Good Fit | 74.71 | Good Fit |
| Consistent Akaike Information Criterion (CAIC) | CAIC small | 185.42 | Good Fit | 183.39 | Good Fit |
| Critical N | Critical N > 200 | 78.72 | Bad Fit | 96.96 | Bad Fit |
| Path Coefficient | Environmentally Sensitive Industry | Environmentally Non-Sensitive Industry | ||||
|---|---|---|---|---|---|---|
| Coefficient Score | R2 Model | t-Test | Coefficient Score | R2 Model | t-Test | |
| PYX1 | 0.46 | 0.53 | 8.32 | 0.37 | 0.57 | 6.49 |
| PYX2 | 0.36 | 6.10 | 0.51 | 9.25 | ||
| PYX3 | 0.02 | 0.35 | 0.12 | 2.20 | ||
| εY | 0.47 | 0.43 | ||||
| PZX1 | 0.13 | 0.13 | 1.07 | 0.17 | 0.14 | 2.37 |
| PZX2 | −0.27 | −3.48 | −0.58 | −2.57 | ||
| PZX4 | 0.24 | 3.36 | 0.33 | 2.85 | ||
| PZX5 | −0.18 | −2.89 | 0.08 | 1.04 | ||
| PZY | −0.05 | −0.59 | 0.21 | 1.32 | ||
| εZ | 0.87 | 0.86 | ||||
| Variable | Indicator/Measurement |
|---|---|
| Firm Value (Z) | Price-to-Book Value (PBV): market price per share ÷ book value per share. PBV for year t measured in Q1 of year t + 1. |
| Environmental Disclosure (Y) | Disclosure Score = (number of disclosed items ÷ 12) × 100% as provided by Refinitiv LSEG Items include:
|
| Emission Score (X1) | Emission score (0–100) provided by Refinitiv LSEG Scores closer to 0 indicate weak GHG management and poor disclosure, while scores closer to 100 indicate strong GHG reduction performance and high transparency. |
| Firm Size (X2) | Natural logarithm of total assets (USD). |
| Firm Age (X3) | Number of years since establishment until the end of observation year. |
| Profitability (X4) | Measured using Return on Assets (ROA) Net income after taxes: Total Assets |
| Leverage (X5) | Measured using Debt to Equity Ratio (DER) total liabilities ÷ total equity. |
Disclaimer/Publisher’s Note: The statements, opinions and data contained in all publications are solely those of the individual author(s) and contributor(s) and not of MDPI and/or the editor(s). MDPI and/or the editor(s) disclaim responsibility for any injury to people or property resulting from any ideas, methods, instructions or products referred to in the content. |
© 2025 by the authors. Licensee MDPI, Basel, Switzerland. This article is an open access article distributed under the terms and conditions of the Creative Commons Attribution (CC BY) license (https://creativecommons.org/licenses/by/4.0/).
Share and Cite
Munir, A.R.; Pratama, A. Emission Performance, Environmental Disclosure, and Firm Value: Evidence from Southeast Asia. Risks 2025, 13, 235. https://doi.org/10.3390/risks13120235
Munir AR, Pratama A. Emission Performance, Environmental Disclosure, and Firm Value: Evidence from Southeast Asia. Risks. 2025; 13(12):235. https://doi.org/10.3390/risks13120235
Chicago/Turabian StyleMunir, Alya Rahma, and Arie Pratama. 2025. "Emission Performance, Environmental Disclosure, and Firm Value: Evidence from Southeast Asia" Risks 13, no. 12: 235. https://doi.org/10.3390/risks13120235
APA StyleMunir, A. R., & Pratama, A. (2025). Emission Performance, Environmental Disclosure, and Firm Value: Evidence from Southeast Asia. Risks, 13(12), 235. https://doi.org/10.3390/risks13120235

