Neural Correlates of Telicity in Spanish-Speaking Children with and without Developmental Language Disorder
Abstract
1. Introduction
2. Materials and Methods
2.1. Participants
2.2. Stimuli and Procedure
2.2.1. Linguistic Material
2.2.2. Task
2.2.3. EEG Recording
2.2.4. Analysis
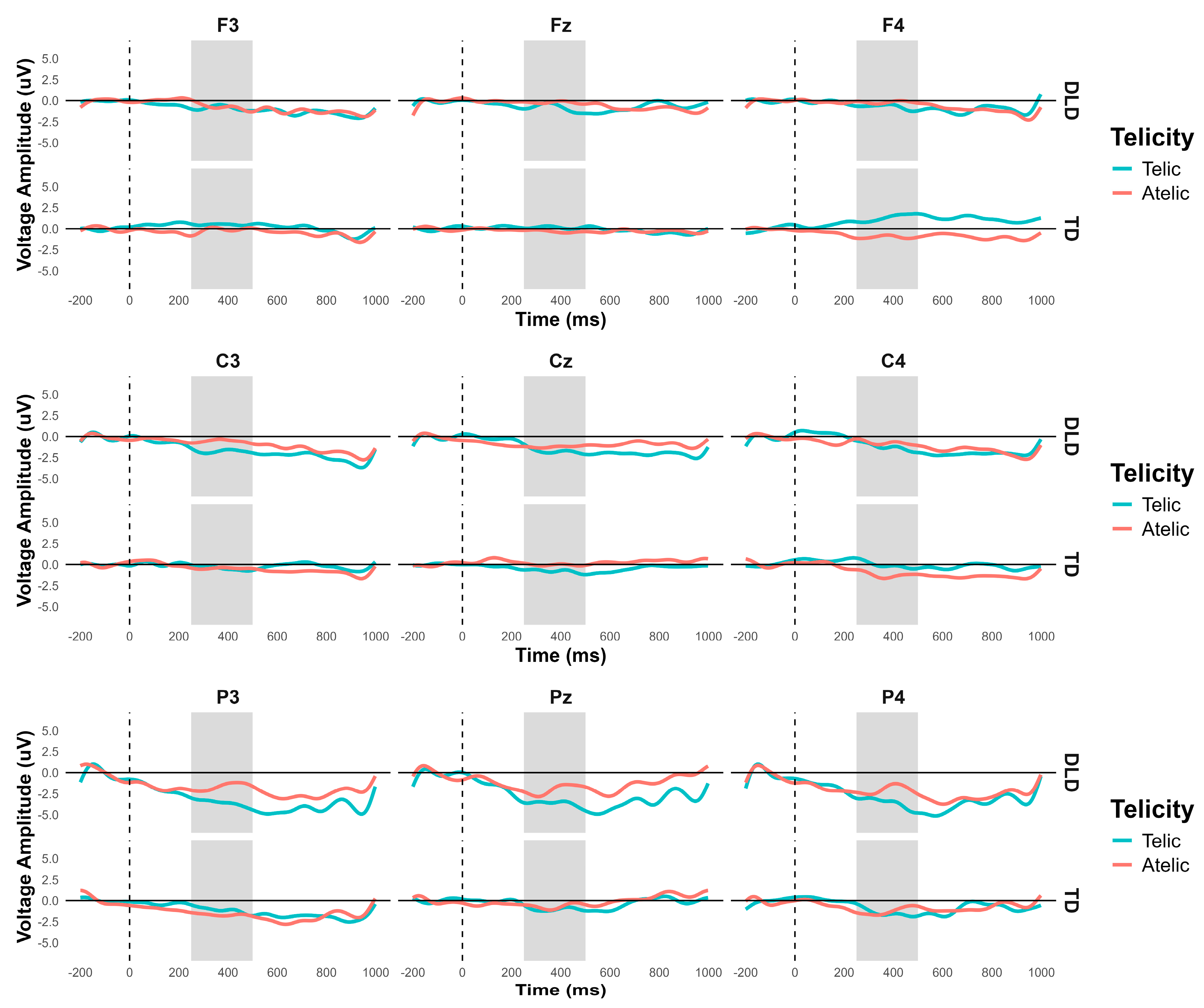
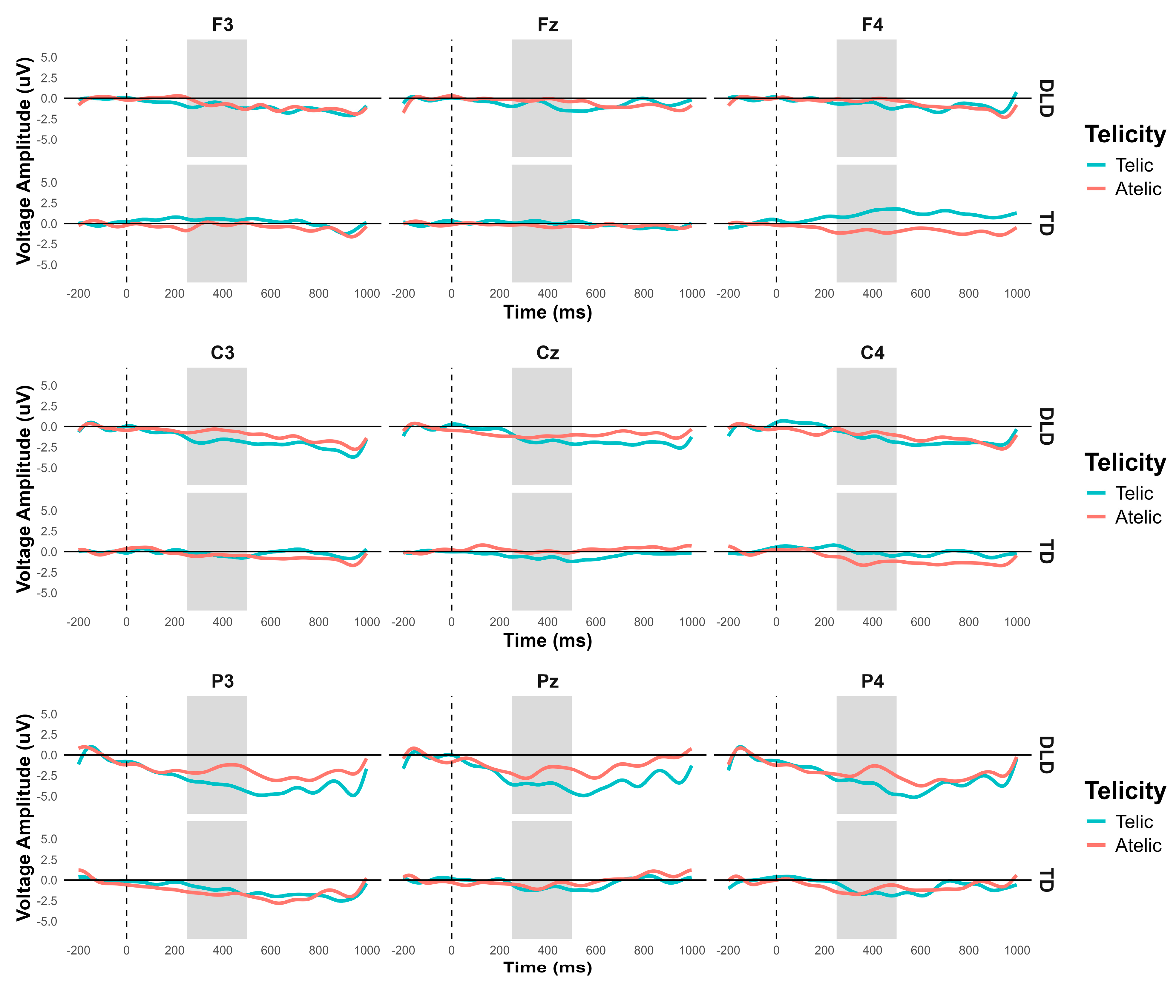
3. Results
3.1. ERP Results
3.1.1. N400 Effects in Verb Segment
3.1.2. Post-N400 Effects in Verb Segment
3.1.3. N400 Effects in Direct Object Segment
3.1.4. P600 Effects in Direct Object Segment
3.2. Behavioral Results
4. Discussion
4.1. Discussion of Verb Results
4.2. Discussion of Direct Object Results
4.3. Discussion of Behavioral Results
5. Conclusions
Author Contributions
Funding
Institutional Review Board Statement
Informed Consent Statement
Data Availability Statement
Conflicts of Interest
References
- Bishop, D.V.; Snowling, M.J.; Thomson, P.A.; Greenhalgh, T.; The Catalise-2 Consortium. Phase 2 of CATALISE: A multinational and multidisciplinary Delphi consensus study of problems with language development: Terminology. J. Child. Psychol. Psychiatry 2017, 58, 1068–1080. [Google Scholar] [CrossRef]
- Aguilar-Mediavilla, E.; Buil-Legaz, L.; Esteller-Cano, A.; Pérez-Castelló, J. Desde el trastorno Específico del lenguaje (TEL) hasta el trastorno del Desarrollo del Lenguaje (TDL): Un cambio de concepción sobre los trastornos del lenguaje. Leng. Soc. Comun. 2019, 17, 70–85. [Google Scholar] [CrossRef]
- Norbury, C.F.; Gooch, D.; Wray, C.; Baird, G.; Charman, T.; Simonoff, E.; Vamvakas, G.; Pickles, A. The impact of non-verbal ability on prevalence and clinical presentation of language disorder: Evidence from a population study. J. Child. Psychol. Psychiatry 2016, 57, 1247–1257. [Google Scholar] [CrossRef] [PubMed]
- Andreu, L.; Igualada, A.; Ahufinger, N.; Sanz-Torrent, M. La situación del trastorno específico del lenguaje en los países hispanohablantes. Rev. Investig. Logop. 2021, 12, 1. [Google Scholar] [CrossRef]
- Forsythe, R.; Murphy, C.; Tulip, J.; Law, J. Why Clinicians Choose Their Language Intervention Approach: An International Perspective on Intervention for Children with Developmental Language Disorder. Folia Phoniatr. Logop. 2021, 73, 537–551. [Google Scholar] [CrossRef]
- Lee, J.; Nopoulos, P.; Tomblin, J. Abnormal subcortical components of the corticostriatal system in young adults with DLI: A combined structural MRI and DTI study. Neuropsychologia 2013, 51, 2154–2161. [Google Scholar] [CrossRef]
- Herbert, M.; Ziegler, D.; Makris, N.; Bakardjiev, A.; Hodgson, J.; Adrien, K.; Kennedy, D.; Filipek, P.; Caviness, V.J. Larger brain and white matter volumes in children with developmental language disorder. Dev. Sci. 2003, 6, F11–F22. [Google Scholar] [CrossRef]
- Soriano-Mas, C.; Pujol, J.; Ortiz, H.; Deus, J.; López-Sala, A.; Sans, A. Age-related brain structural alterations in children with specific language impairment. Hum. Brain Mapp. 2009, 30, 1626–1636. [Google Scholar] [CrossRef] [PubMed]
- Abbott, N.; Love, T. Bridging the Divide: Brain and Behavior in Developmental Language Disorder. Brain Sci. 2023, 13, 1606. [Google Scholar] [CrossRef] [PubMed]
- Lee, J.; Dick, A.; Tomblin, J. Altered brain structures in the dorsal and ventral language pathways in individuals with and without developmental language disorder (DLD). Brain Imaging Behav. 2020, 14, 2569–2586. [Google Scholar] [CrossRef] [PubMed]
- Watkins, K.; Vargha-Khadem, F.; Ashburner, J.; Passingham, R.; Connelly, A.; Friston, K.; Frackowiak, R.; Mishkin, M.; Gadian, D. MRI analysis of an inherited speech and language disorder: Structural brain abnormalities. Brain 2002, 125, 465–478. [Google Scholar] [CrossRef] [PubMed]
- Lou, H.; Henriksen, L.; Bruhn, P. Focal cerebral dysfunction in developmental learning disabilities. Lancet 1990, 335, 8–11. [Google Scholar] [CrossRef]
- Leonard, L.B.; Deevy, P.; Horvath, S.; Christ, S.L.; Karpicke, J.; Kueser, J.B. Can Retrieval Practice Facilitate Verb Learning in Children with Developmental Language Disorder and Their Peers With Typical Language Development? J. Speech Lang. Hear. R. 2023, 66, 1309–1333. [Google Scholar] [CrossRef]
- Horvath, S.; Arunachalam, S. Optimal Contexts for Verb Learning. Perspect. ASHA Spec. Interest. Groups 2019, 4, 1239–1249. [Google Scholar] [CrossRef]
- Castilla-Earls, A.; Auza, A.; Pérez-Leroux, A.T.; Fulcher-Rood, K.; Barr, C. Morphological Errors in Monolingual Spanish-Speaking Children with and Without Developmental Language Disorders. Lang. Speech Hear. Serv. Sch. 2020, 51, 270–281. [Google Scholar] [CrossRef]
- Krok, W.C.; Leonard, L.B. Past Tense Production in Children with and without Specific Language Impairment Across Germanic Languages: A Meta-Analysis. J. Speech Lang. Hear. R. 2015, 58, 1326–1340. [Google Scholar] [CrossRef] [PubMed]
- Schulz, P. Telicity in typical and impaired acquisition. In Semantics in Language Acquisition; Syrett, K., Arunachalam, S., Eds.; John Benjamins Publishing Company: Amsterdam, The Netherlands, 2018. [Google Scholar]
- Morgan, G.; Restrepo, M.; Auza, A. Comparison of Spanish morphology in monolingual and Spanish–English bilingual children with and without language impairment. Biling. Lang. Cogn. 2013, 16, 578–596. [Google Scholar] [CrossRef]
- Leonard, L.B. Time-related grammatical use by children with SLI across languages: Beyond tense. Int. J. Speech Lang. Pathol. 2015, 17, 545–555. [Google Scholar] [CrossRef] [PubMed]
- Schulz, P.; Wymann, K.; Penner, Z. The early acquisition of verb meaning in German by normally developing and language impaired children. Brain Lang. 2001, 77, 407–418. [Google Scholar] [CrossRef]
- Schulz, P.; Wittek, A. Opening doors and Sweeping floors: What children with specific language impairment know about telic and atelic verbs. In Proceedings of the 27th annual Boston University Conference on Language Development: BUCLD 27, Boston, MA, USA, 1–3 November 2003; Beachley, B., Brown, A., Conlin, F., Eds.; Cascadilla Press: Somerville, MA, USA, 2003; pp. 727–738. [Google Scholar]
- Penner, Z.; Schulz, P.; Wymann, K. Learning the meaning of verbs: What distinguishes language-impaired from normally developing children. Linguistics 2003, 41, 289–319. [Google Scholar] [CrossRef]
- Leonard, L.B.; Deevy, P. Tense and aspect in sentence interpretation by children with specific language impairment. J. Child. Lang. 2010, 37, 395–418. [Google Scholar] [CrossRef] [PubMed][Green Version]
- Grinstead, J.; Lintz, P.; De la Mora, J.; Cantú-Sánchez, M.; Flores, B. Prototypical tense-aspect alignment and the tense deficit in the spontaneous speech of Spanish-speaking children with SLI. Probus 2016, 28, 145–163. [Google Scholar] [CrossRef]
- Owen Van Horne, A.; Green Fager, M. Quantifying the relative contributions of lexical and phonological factors to regular past tense accuracy. Int. J. Speech Lang. Pathol. 2015, 17, 605–616. [Google Scholar] [CrossRef] [PubMed]
- Owen Van Horne, A.; Fey, M.; Curran, M. Do the Hard Things First: A Randomized Controlled Trial Testing the Effects of Exemplar Selection on Generalization Following Therapy for Grammatical Morphology. J. Speech Lang. Hear. R. 2017, 60, 2569–2588. [Google Scholar] [CrossRef] [PubMed]
- Christou, S.; Andreu, L.; Coloma, C.J.; Guerra, E.; Araya, C.; Rodriguez-Ferreiro, J.; Sanz-Torrent, M. Insights from real-time comprehension of Spanish verbal tense in children with developmental language disorder: An eye-tracking study. Appl. Psycholinguist. 2022, 43, 641–662. [Google Scholar] [CrossRef]
- Mertins, B. The use of experimental methods in linguistic research: Advantages, problems and possible pitfalls. In Slavic Languages in Psycholinguistics: Chances and Challenges for Empirical and Experimental Research; Narr Francke Attempto: Tübingen, Germany, 2016; pp. 15–33. [Google Scholar]
- Pijnacker, J.; Davids, N.; van Weerdenburg, M.; Verhoeven, L.; Knoors, H.; van Alphen, P. Semantic Processing of Sentences in Preschoolers with Specific Language Impairment: Evidence from the N400 Effect. J. Speech Lang. Hear. R. 2017, 60, 1. [Google Scholar] [CrossRef] [PubMed]
- Courteau, É.; Royle, P.; Steinhauer, K. Number agreement processing in adolescents with and without developmental language disorder (DLD): Evidence from event-related brain potentials. Sci. Rep. 2023, 13, 22836. [Google Scholar] [CrossRef] [PubMed]
- Faul, F.; Erdfelder, E.; Buchner, A.; Lang, A.G. Statistical power analyses using G*Power 3.1: Tests for correlation and regression analyses. Behav. Res. Methods 2009, 41, 1149–1160. [Google Scholar] [CrossRef]
- Pérez, D.; Cáceres, P.; Cáceres, S.; Calderón, C.; Góngora, B. Instrumento de Diagnóstico para los Trastornos Específicos del Lenguaje en Edad Escolar; Ediciones Universidad de Valparaíso: Valparaíso, Chile, 2014. [Google Scholar]
- Martínez Vera, G.; López Otero, J.C.; Sokolova, M.Y.; Cleveland, A.; Marshall, M.T.; Sánchez, L. Aspectual se and Telicity in Heritage Spanish Bilinguals: The Effects of Lexical Access, Dominance, Age of Acquisition, and Patterns of Language Use. Languages 2023, 8, 201. [Google Scholar] [CrossRef]
- Microsoft Clipchamp; Microsoft Corporation: Redmond, WA, USA, 2023.
- Microsoft PowerPoint, Version 2405; Microsoft Corporation: Redmond, WA, USA, 2023.
- Psychology Software Tools, [E-Prime 3.0]. 2016. Available online: https://support.pstnet.com (accessed on 4 October 2023).
- Psychology Software Tools, [Chronos]. 2016. Available online: https://pstnet.com/products/chronos (accessed on 4 October 2023).
- R Core Team. A Language and Environment for Statistical Computing; R Foundation for Statistical Computing; R Foundation: Vienna, Austria, 2021; Available online: https://www.R-project.org (accessed on 26 June 2024).
- Atchley, R.; Rice, M.; Betz, S.; Kwasny, K.; Sereno, J.; Jongman, A. A comparison of semantic and syntactic event-related potentials generated by children and adults. Brain Lang. 2006, 99, 236–246. [Google Scholar] [CrossRef]
- Leone-Fernandez, B.; Molinaro, N.; Carreiras, M.; Barber, H. Objects, events and ‘‘to be’’ verbs in Spanish—An ERP study of the syntax–semantics interface. Brain Lang. 2012, 120, 127–134. [Google Scholar] [CrossRef] [PubMed]
- Field, A. Discovering Statistics Using IBM SPSS Statistics, 4th ed.; Sage Publications: Los Angeles, CA, USA, 2013. [Google Scholar]
- Stuart, N.; van der Lely, H. Role of aspect in understanding tense: An investigation with adolescents with SLI. Int. J. Lang. Commun. Disord. 2015, 50, 187–201. [Google Scholar] [CrossRef] [PubMed]
- Courteau, É.; Martignetti, L.; Royle, P.; Steinhauer, K. ERPs for Number Mismatches in Grammatical Sentences. Front. Psychol. 2019, 10, 1152. [Google Scholar] [CrossRef]
- Kornilov, S.; Magnuson, J.; Rakhlin, N.; Landi, N.; Grigorenko, E. Lexical processing deficits in children with developmental language disorder: An event-related potentials study. Dev. Psychopathol. 2015, 27, 459–476. [Google Scholar] [CrossRef] [PubMed]
- Bishop, D.; McArthur, G. Individual differences in auditory processing in specific language impairment: A follow-up study using event-related potentials and behavioural thresholds. Cortex 2005, 41, 327–341. [Google Scholar] [CrossRef] [PubMed]
- Malins, J.; Desroches, A.; Robertson, E.; Newman, R.; Archibald, L.; Joanisse, M. ERPs reveal the temporal dynamics of auditory word recognition in specific language impairment. Dev. Cogn. Neurosci. 2013, 5, 134–148. [Google Scholar] [CrossRef] [PubMed]
- Zapparrata, N.; Brooks, P.; Ober, T. Developmental Language Disorder Is Associated with Slower Processing Across Domains: A Meta-Analysis of Time-Based Tasks. J. Speech Lang. Hear. Res. 2023, 66, 325–346. [Google Scholar] [CrossRef]
- Lowe, H.; Henry, L.; Müller, L.; Joffe, V. Vocabulary intervention for adolescents with language disorder: A systematic review. Int. J. Lang. Commun. Disord. 2018, 53, 199–217. [Google Scholar] [CrossRef]













| Variable | DLD (n = 18) | TD (n = 18) | Comparison | ||||
|---|---|---|---|---|---|---|---|
| M | SD | Min–Max | M | SD | Min–Max | ||
| Age (months) | 91.83 | 3.70 | 83–95 | 91.78 | 4.50 | 83–97 | t = −0.04 p = 0.98 |
| IDTEL Score | 56.39 | 6.71 | 38–66 | 104.56 | 13.70 | 83–124 | t = −13.39 p = <0.001 |
| Variable | Telic–Coherent | Telic–Incoherent | Atelic–Coherent | Atelic–Incoherent |
|---|---|---|---|---|
| Sentence | Papá gana la carrera/Dad wins the race | Papá gana la carrera/Dad wins the race | Papá corre la carrera/Dad runs the race | Papá corre la carrera/Dad runs the race |
| Video | Dad crosses the finish line | Another runner wins, dad is right behind him | Dad comes running | Dad is sitting watching the race |
| Sentence | Mamá enchufa el secador/Mom plugs in the hairdryer | Mamá enchufa el secador/Mom plugs in the hairdryer | Mamá usa el secador/Mom uses the hairdryer | Mamá usa el secador/Mom uses the hairdryer |
| Video | She picks up the cord and plugs it in | She applies perfume, and the hairdryer is on the vanity | She applies perfume, and the hairdryer is on the vanity | She applies perfume, and the hairdryer is on the vanity |
| Sentence | Emma rompe el celular/Emma breaks the phone | Emma rompe el celular/Emma breaks the phone | Emma revisa el celular/Emma checks the phone | Emma revisa el celular/Emma checks the phone |
| Video | She throws the phone on the ground and it breaks | She puts the phone in her bag without looking | She has the phone in her hands and checks it | She reads a book without looking at the phone |
| Sentence | Charlie mancha el sillón/Charlie stains the couch | Charlie mancha el sillón/Charlie stains the couch | Charlie duerme en el sillón/Charlie sleeps on the couch | Charlie duerme en el sillón/Charlie sleeps on the couch |
| Video | He spills ice cream on the couch | He plays with blocks on the couch | He sleeps on the couch | He jumps on the couch |
Disclaimer/Publisher’s Note: The statements, opinions and data contained in all publications are solely those of the individual author(s) and contributor(s) and not of MDPI and/or the editor(s). MDPI and/or the editor(s) disclaim responsibility for any injury to people or property resulting from any ideas, methods, instructions or products referred to in the content. |
© 2024 by the authors. Licensee MDPI, Basel, Switzerland. This article is an open access article distributed under the terms and conditions of the Creative Commons Attribution (CC BY) license (https://creativecommons.org/licenses/by/4.0/).
Share and Cite
Urrutia, M.; Sanhueza, S.; Marrero, H.; Pino, E.J.; Troncoso-Seguel, M. Neural Correlates of Telicity in Spanish-Speaking Children with and without Developmental Language Disorder. Children 2024, 11, 982. https://doi.org/10.3390/children11080982
Urrutia M, Sanhueza S, Marrero H, Pino EJ, Troncoso-Seguel M. Neural Correlates of Telicity in Spanish-Speaking Children with and without Developmental Language Disorder. Children. 2024; 11(8):982. https://doi.org/10.3390/children11080982
Chicago/Turabian StyleUrrutia, Mabel, Soraya Sanhueza, Hipólito Marrero, Esteban J. Pino, and María Troncoso-Seguel. 2024. "Neural Correlates of Telicity in Spanish-Speaking Children with and without Developmental Language Disorder" Children 11, no. 8: 982. https://doi.org/10.3390/children11080982
APA StyleUrrutia, M., Sanhueza, S., Marrero, H., Pino, E. J., & Troncoso-Seguel, M. (2024). Neural Correlates of Telicity in Spanish-Speaking Children with and without Developmental Language Disorder. Children, 11(8), 982. https://doi.org/10.3390/children11080982

