Abstract
This work presents the design of a novel electrochemical sensor for highly sensitive determination of LEV, utilizing a sensing platform based on a newly synthesized, high-purity manganese (III) porphyrin complex [5,10,15,20-tetrayltetrakis(2-methoxybenzene-4,1-diyl) tetraisonicotinateporphyrinato] manganese (III) porphyrin (MnTMIPP). The successful synthesis of the MnTMIPP complex was verified using ultraviolet–visible (UV–Vis) and infrared spectroscopy (IR). The sensing electrode was fabricated by depositing the synthesized material onto an indium tin oxide (ITO) electrode via a drop-coating method. Under optimized experimental conditions, the proposed sensor demonstrated a wide dynamic range, from 10−9 M to 10−3 M, with a low calculated detection limit of 4.82 × 10−10 M. Furthermore, the MnTMIPP/ITO electrode displayed interesting metrological performance: high selectivity, reproducibility, and stability. Successful application in spiked river water and saliva samples with satisfactory recovery rates confirms the sensor’s potential as a reliable and cost-effective platform for monitoring LEV in real-world environments.
1. Introduction
Levofloxacin (LEV) is identified as (S)-9-fluoro-2,3-dihydro-3-methyl 10-(4-methyl- 1-piperazinyl)-7-oxo-7H-pyrodi [1,2, 3-de]-1, 4 benzoxazine-6-carboxylic acid (Figure 1). It is a broad-spectrum fluoroquinolone antibiotic, extensively prescribed for treating severe bacterial infections of the respiratory and urinary tracts. Its bactericidal action arises from the inhibition of bacterial DNA gyrase and topoisomerase IV enzymes [1,2]. While effective, its therapeutic use requires careful dosage control, as overexposure has been linked to serious adverse effects, including cardiotoxicity, tendon damage, and metabolic disturbances [3,4,5]. A growing environmental concern is the discharge of untreated or partially treated wastewater from pharmaceutical production and healthcare facilities, which introduces significant concentrations of LEV into aquatic ecosystems [6,7,8]. This contamination poses a direct risk to human health through the consumption of contaminated water and presents a greater threat to wildlife, potentially contributing to the development and spread of antimicrobial resistance.
Figure 1.
Structure of levofloxacin.
Conventional methods for LEV detection, such as high-performance liquid chromatography (HPLC) [9,10], mass spectrometry [11], and capillary electrophoresis [12], are highly sensitive. Their limitations include lengthy analysis times, high operational costs, and the need for sophisticated laboratory infrastructure and trained personnel. In contrast, label-free electrochemical sensors have emerged as a promising alternative, offering the potential for rapid, sensitive, low-cost, and on-site analysis [13,14,15,16,17,18,19,20,21].
The performance of an electrochemical sensor critically depends on the choice of sensing material, which must combine high stability with specific affinity for the target analyte. Various materials, including polymers [19], metal–organic frameworks (MOFs) [20], and aptamers, have been explored for this purpose. Porphyrins and their metallo-derivatives are particularly attractive for electrochemical applications [21,22] due to their π-conjugated macrocyclic structure, exceptional electron transfer, and redox catalytic properties. The incorporation of transition metal ions into the porphyrin core and the availability of axial coordination sites allow precise tuning of their functionality and interaction with target molecules [23,24,25]. Metalloporphyrins also offer high chemical and thermal stability, ease of synthesis, and structural flexibility, making them excellent candidates for sensor design [26,27,28]. In comparison, MOFs exhibit a low conductivity and should be associated with free metallic ions to improve the charge transfer rate [20], which will induce a more complex synthetic procedure.
Manganese (III) porphyrins, in particular, are well-studied for their well-defined coordination geometry and straightforward synthesis. The redox-active Mn center enhances electron transfer and sensitivity, while the extended π-conjugation improves charge delocalization and catalytic efficiency. These properties make manganese porphyrins highly effective for electrocatalytic and biomimetic applications, and particularly promising for electrochemical sensing [29,30].
Capitalizing on the advantageous properties of metalloporphyrins, this study reports the development of a novel MnTMIPP-based electrochemical sensor for the selective and sensitive detection of levofloxacin (LEV) in complex real samples, including saliva and river water. The sensor was fabricated by modifying an ITO electrode with the synthesized [5,10,15,20-tetrayltetrakis(2-methoxybenzene-4,1-diyl) tetraisonicotinateporphyrinato] manganese (III) porphyrin (MnTMIPP). The successful synthesis of the complex was confirmed by UV–Vis and IR spectroscopy. The MnTMIPP/ITO sensor was prepared via drop-casting, and its electrochemical response to LEV was systematically investigated using cyclic voltammetry (CV), with optimization of key parameters including pH, scan rate, and potential interfering substances. This approach demonstrates, for the first time, that MnTMIPP can provide a simple, stable, and highly selective platform for LEV detection, outperforming previously reported electrochemical sensors in terms of practical applicability to complex matrices.
2. Materials and Methods
2.1. Material
In this paper, all of the analytical reagents employed were procured from Sigma-Aldrich (Saint Quentin-Fallavier (France)). Some of these reagents are levofloxacin, lomefloxacin, enrofloxacin. The solvents employed encompass ethanol, N,N-dimethylformamide (DMF), dichloromethane (DCM), and double-distilled water.
2.2. Apparatus
Various analytical techniques were employed to characterize the synthesized materials. UV–visible spectra were recorded using a SPECORD PLUS Win ASPECT spectrophotometer (version 4.2). Fourier-transform infrared (FTIR) spectra were obtained with a PerkinElmer Spectrum Two instrument.
Electrochemical studies were performed using a standard three-electrode system composed of an indium tin oxide working electrode (substrates 15 mm × 30 mm, thickness 1.1 mm, R = 80 W/square) from Solems (Palaiseau, France), a platinum wire counter electrode, and an Ag/AgCl reference electrode. Measurements were carried out in 0.1 M phosphate-buffer solution (PBS, pH 7) as the supporting electrolyte. The electrochemical data were collected and analyzed using the SPELEC system (SPELEC, Ivry-sur-Seine, France) with the DropView SPELEC software interface. To ensure statistical reliability, the reported analytical performance was based on measurements from 5 independently fabricated electrodes, with three replicate measurements performed for each experimental condition.
The wettability of the electrode surfaces was determined through water contact angle (WCA) measurements using a Digidrop analyzer (GBX Scientific Instruments, Romans-sur-Isere, France) operated with Windrop software. A 3 μL water droplet was carefully deposited at a rate of 10.50 µL/s onto the electrode surface, and contact angles were determined by tangential fitting at the droplet edges. Each sample was tested at least three times to ensure measurement reproducibility.
To analyze the surface composition, FTIR spectra were also obtained with a Bruker Vertex 70 spectrometer equipped with a DTGS detector and a Platinum ATR accessory containing a diamond crystal. Data were collected over 128 scans with a 4 cm−1 resolution.
The surface morphology of the MnTMIPP-modified electrodes was characterized by high-resolution scanning electron microscopy (MIRAN3 TESCAN) (TESCAN, Fuveau, France) operating at an accelerating voltage of 7 keV, without the need for metallization. Additionally, the film thickness and surface roughness (Ra) were evaluated using an Alpha-Step IQ profilometer (KLA Tencor, Rousset, France) with a 2.5 µm stylus tip. Measurements were conducted over a scan length of 14,583 µm at a scanning rate of 90 µm/s, and average values were calculated from at least three measurements taken at different positions on each sample to ensure accuracy.
2.3. Synthesis of [5,10,15,20-Tetrayltetrakis(2-methoxybenzene-4,1-diyl) Tetraisonicotinateporphyrinato] Manganese (III): [MnTMIPP]
The Synthesis of porphyrin-5,10,15,20-tetrayltetrakis(2-methoxybenzene-4,1-diyl) tetraisonicotinate (H2TMIPP) was prepared by using the Alder and Longo method [31].
The preparation of the (acetato) [meso tetrayltetrakis(2-methoxybenzene-4,1-diyl) tetraisonicotinateporphyrinato] manganese (III) [MnTMIPP (OAc)] was made following the synthesis route of [MnTMPP (OAc)] [32] (Figure 2), where TMPP is the meso tetra(para-methoxyphenyl) porphyrin. Manganese (III) acetate dihydrate [Mn (OAc)3⋅2H2O] (240 mg. 0.330 mmol) was injected into a DMF solution of H2TMIPP (240 mg of H2TMIPP (0.330 mmol) in 30 mL of DMF). The mixture was refluxed for 4 h at 150 °C, under magnetic stirring. After filtration, the mixture was washed with water. The obtained precipitate was dried under vacuum. The solid was recrystallized in chloroform/n-hexane; a light purple solid corresponding to the [MnTMIPP] complex (570 mg, yield 97%) was obtained.
Figure 2.
Scheme of the synthesis of [5,10,15,20-tetrayltetrakis(2-methoxybenzene-4,1-diyl) tetraisonicotinateporphyrinato] manganese (III): MnTMIPP.
2.4. Preparation of MnTMIPP/ITO Electrode
Before modification, a commercial indium tin oxide (ITO) electrode with a geometric working area of 4.5 cm2 was thoroughly cleaned to obtain a smooth and contaminant-free surface. The cleaning process involved successive sonication in isopropanol and acetone to remove organic impurities, followed by rinsing with distilled water and drying in an oven at 60 °C. For reproducible surface modification, a 10−2 M MnTMIPP solution was prepared in DMF (N,N-dimethylformamide). An aliquot of 10 µL of this solution was then deposited onto the active area of the ITO electrode via the drop-casting method. The coated electrode was subsequently heated at 100 °C for 1 h 30 min to allow solvent evaporation and ensure the formation of a uniform and adherent thin film. This standardized procedure resulted in a consistent film thickness verified by profilometry and was the key to achieving the high reproducibility reported in the electrochemical performance.
3. Results and Discussion
3.1. Characterization of MnTMIPP
3.1.1. IR Spectroscopies
The IR spectrum of the MnTMIPP is depicted in Figure 3. The H2TMIPP exhibits a characteristic The IR spectrum of a meso-arylporphyrin presents ν(NH) and ν(CH) stretching frequencies at 3316 cm−1 and in the range [2998–2830] cm−1, respectively. The δ(CCH) bending frequency is at 967 cm−1 [33]. The metalation of the H2TMIPP with Mn (III) leads to the disappearance of the ν(NH) stretching and the shift toward the high fields of the absorption band of the δ(CCH) bending from 967 to 998 cm−1.
Figure 3.
IR spectrum of the [MnTMIPP].
3.1.2. UV/Vis Spectrometry
The UV/Vis spectra of the [MnTMIPP (OAc)] is presented in Figure 4. In Table 1 are reported the UV/Vis data of these species and those of several selected Mn (III) porphyrin complexes. The three absorption bands (VI, Va, and V), respectively, at 375 nm, 400 nm and 470 nm are known as the Soret band). Between 470 and 700 nm, there are two Q absorption bands (QIV and QIII) [34,35]. These absorption bands are characteristic of Mn (III) high-spin (S = 2) meso-arylmetalloporphyrins.
Figure 4.
Electronic absorption spectra of [MnTMIPP (OAc)] at room temperature with concentration ~10−6 M in dichloromethane.
Table 1.
UV/Vis data of a selection of manganese (III) metalloporphyrins.
3.2. Morphological and Structural Characterization of MnTMIPP/ITO Electrode
The surface morphology of the bare ITO electrode and the electrode modified with the MnTMIPP membrane was characterized using Scanning Electron Microscopy (SEM). As shown in Figure 5a, the bare ITO substrate exhibits a characteristically smooth and uniform surface. In contrast, following the immobilization of MnTMIPP, the modified electrode surface (Figure 5b) displays a layer of uniformly distributed porous aggregates. This distinct morphological change is consistent with the successful formation of a MnTMIPP layer on the ITO surface, a process likely driven by physicochemical interactions such as coordination bonding and π-π stacking [41].
Figure 5.
SEM images of (a) bare ITO and (b) MnTMIPP modified electrode.
Furthermore, profilometry measurements revealed that the deposition of the MnTMIPP layer led to a film thickness of about 550.60 ± 6.54 nm, along with a surface roughness value of 7.20 ± 0.82 nm.
The EDX spectrum exhibits characteristic peaks for the constituent elements of the metalloporphyrin, 0.2 keV, 0.34 keV, 0.5 keV, and 0.61 keV, corresponding, respectively, to carbon (C) (70 wt%), nitrogen (N) (9 wt%), oxygen (O) (16 wt%), and manganese (Mn) (4.5 wt%) [42].
The FTIR spectra presented in Figure 6 display well-defined vibrational bands characteristic of the MnTMIPP molecular structure. A slight shift in several absorption peaks toward lower wavenumbers, compared with those of MnTMIPP in Figure 3, confirms the successful immobilization of the porphyrin. The δ(CCH) stretching vibration is detected at approximately 803.05 cm−1, the ν(C–N) vibration is detected around 1020 cm−1, while the band appearing at 1407.02 cm−1 corresponds to C=N ring stretching. The signal at 1556.82 cm−1 is attributed to C=C stretching modes, and the ν(C=O) band is observed near 1702 cm−1. The ν(CH) bending vibration is also evident near 2931.15 cm−1. These shifts collectively suggest strong interactions between the MnTMIPP framework and the ITO surface, slightly altering the electronic environment of the functional groups.
Figure 6.
FTIR spectra of MnTMIPP/ITO modified electrode.
The hydrophobic character of the electrode surface before and after modification was evaluated through water contact angle measurements (Table 2). The contact angle increased significantly from 56° for the bare ITO electrode to 75° following the immobilization of the MnTMIPP layer. This substantial change confirms that the functionalized surface exhibits enhanced hydrophobicity. This shift toward a more hydrophobic surface is directly attributed to the low-surface-energy aromatic structure of the MnTMIPP porphyrin layer. The π-π interactions between adjacent porphyrin macrocycles facilitate a tightly packed molecular arrangement, which minimizes polar interactions with water droplets [43,44].
Table 2.
WCA of ITO bare electrode and MnTMIPP/ITO.
The identity and high purity of the porphyrin complex were rigorously confirmed using a combination of standard spectroscopic and elemental techniques suitable for metalloporphyrins:
- UV–Vis Spectroscopy: The spectrum exhibited the characteristic, sharp Soret and Q bands with the expected profile for a manganese (III) porphyrin. The absence of extraneous peaks indicates no significant organic impurities or demetallation.
- FTIR Spectroscopy: The spectrum confirmed the presence of all key functional groups from the porphyrin ligand. Crucially, it showed the absence of vibrational bands diagnostic of common impurities or unreacted starting materials.
- Energy-Dispersive X-ray (EDX) Spectroscopy: This analysis provided direct elemental evidence, confirming the presence of Mn, N, C, and O. The obtained wt% of Mn, N, C, O were consistent with the expected stoichiometry, ruling out major inorganic contaminants or free Mn ions.
This multi-technique approach provides strong, consistent evidence for a well-defined, pure complex suitable for sensor fabrication. However, the paramagnetic nature of the Mn (III) center broadens NMR signals, making 1H NMR unsuitable for purity assessment, which is a common constraint in transition-metal porphyrin chemistry. Therefore, our characterization strategy was tailored to provide the most informative and unambiguous data possible for this system.
3.3. Electrochemical Behavior of MnTMIPP Membrane in the Presence of Levofloxacin
The electrochemical interaction between the MnTMIPP-modified ITO electrode and levofloxacin was probed using cyclic voltammetry. Measurements were conducted in a PBS solution (0.1 M, pH 7) solution at a scan rate of 50 mV/s. A potential range of 0 to 1.3 V was applied, which was chosen to fully encompass the oxidation signal of interest while remaining below the threshold for ITO degradation or significant solvent oxidation, thereby ensuring electrode integrity throughout the experiments and the lifetime of the sensors. As shown in Figure 7, the addition of 10 µM LEV to the solution resulted in the appearance of a distinct oxidation peak at 0.7 V. This electrocatalytic oxidation of LEV produced a current intensity change (ΔI) of 0.494 µA. The emergence of this well-defined signal demonstrates a strong and specific affinity between the MnTMIPP film and LEV molecules, confirming the sensor’s efficacy for levofloxacin detection.
Figure 7.
Electrochemical response of MnTMIPP/ITO electrode in PBS buffer (C = 0.1 M, pH = 7) in the absence and in the presence of 10 µM LEV.
3.4. Optimization of Experimental Conditions
3.4.1. pH Effect
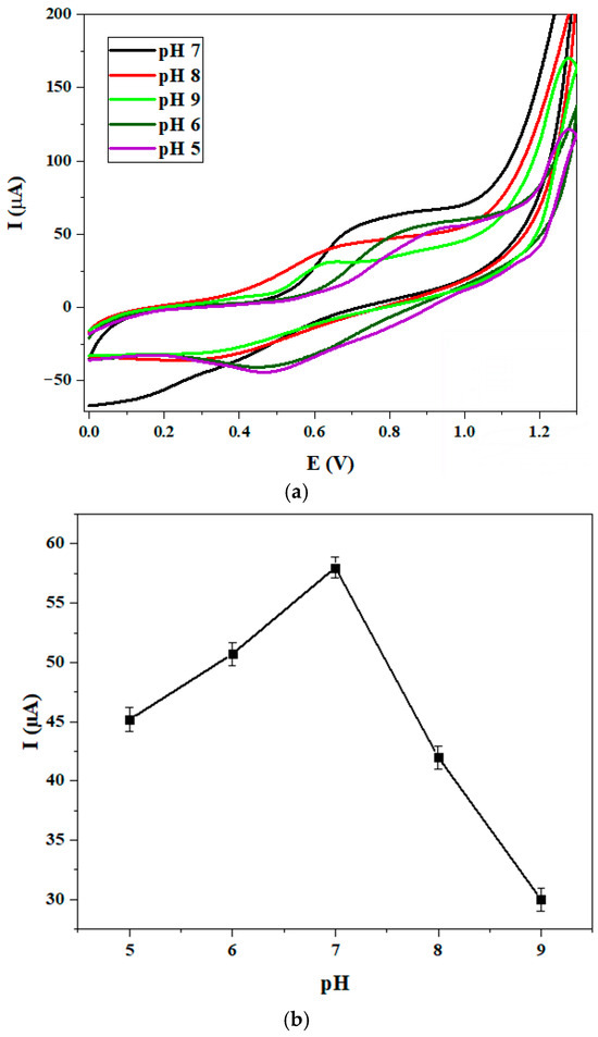
The pH of the electrolyte medium is a critical parameter influencing the electrochemical detection of levofloxacin. To systematically evaluate this effect, the performance of the MnTMIPP/ITO sensor was investigated using cyclic voltammetry in PBS containing 10 µM LEV, across a pH range of 5.0 to 9.0 at a scan rate of 50 mV/s (Figure 8a).

Figure 8.
pH effect on the electrochemical response MnTMIPP/ITO toward LEV: (a) CV of 10 µM LEV in 0.1 M PBS with different pH values from 5 to 9; (b,c) variation in peak current and peak potential with pH.
As depicted in Figure 8b, the anodic peak current increased significantly within the pH range of 5.0 to 7.0, indicating a more facilitated electrochemical oxidation of LEV at the sensor surface. This optimal pH window aligns with the zwitterionic form of LEV, where the protonated piperazinyl nitrogen facilitates the oxidation. A subsequent decrease in the peak current was observed from pH 7.0 to 9.0, due to the deprotonation of LEV (iep = 6.77) [45]. Consequently, a pH of 7.0 was identified as the optimum for achieving maximum sensor sensitivity.
Furthermore, the relationship between the oxidation peak potential (E) and the solution pH was analyzed (Figure 8c). A linear dependence was observed, described by the equation:
E = −0.057 pH + 1.135 (R2 = 0.99)
The slope of this plot was 57 mV/pH, which is very close to the theoretical Nernstian value of −59 mV/pH [46]. This strongly suggests that the electrochemical oxidation of LEV involves an equal number of electrons and protons.
3.4.2. Effect of Scan Rate
The influence of scan rate on the electrochemical oxidation of levofloxacin was investigated to elucidate the reaction mechanism. Cyclic voltammetry was performed in a 0.1 M PBS buffer (pH 7.0) containing 10 µM LEV, across a potential window of 0 to 1.3 V at various scan rates (Figure 9a). Figure 9b demonstrates that the anodic peak current (Ip) increases linearly with the scan rate (v) over the range of 30 to 140 mV/s. This linear dependence is characteristic of an adsorption-controlled electrochemical process [47].
Figure 9.
Scan rate effect on the electrochemical response MnTMIPP/ITO toward LEV: (a) cyclic voltammograms of 10 µM LEV at various scan rates (30–140 mV/s); (b) plot of peak potential vs. log (v); (c) plot of I vs. scan rate.
Conversely, Figure 9c shows the relationship between the peak potential and the decimal logarithm of the scan rate. The data fit the equation E (V) = 0.113 log (v) + 0.552 (R2 = 0.99). This relationship aligns with the Laviron model for adsorbed species [48], described by:
where R is the gas constant, T is the temperature (298 K), F is Faraday’s constant, α is the charge transfer coefficient (assumed to be 0.5 for a fully irreversible system [26]), n is the number of electrons, and k0 is the standard heterogeneous rate constant. The slope of the Ep vs. ln v plot is equal to RT/αnF. Using the experimental slope of 0.113 V and assuming α = 0.5, the product αn was calculated to be approximately 0.98 at 298 K. This value indicates that the number of electrons (n) involved is 2.
3.5. Analytical Performance of the Proposed Sensor
The analytical performance of the MnTMIPP/ITO based sensor for levofloxacin detection was assessed by cyclic voltammetry. Measurements were carried out in a 0.1 M PBS buffer solution (pH 7) at a scan rate of 50 mV/s, within a potential window ranging from 0 to 1.2 V.
3.5.1. Determination of LEV
As shown in Figure 10a, the CV responses of the sensor were recorded over a levofloxacin concentration range from 10−9 M to 10−3 M. A gradual increase in the oxidation peak current was observed with increasing LEV concentration, indicating a concentration-dependent electrochemical response.
Figure 10.
(a) CV response of MnTMIPP at various concentrations of LEV in PBS (C = 0.1 M, pH = 7); (b) calibration plot of the oxidation peak current versus log [LEV].
A calibration curve was constructed by plotting the oxidation peak current against the logarithm of the LEV concentration (log [LEV]), as illustrated in Figure 10b. The data exhibited a linear relationship, which was fitted to the equation:
I = 6.688 log [LEV] + 85.455 (R2 = 0.99)
Based on the calibration curve, the sensor’s limit of detection (LOD) was calculated to be 4.82 × 10−10 M. The LOD was determined using the formula LOD = 3σ/S, where σ is the standard deviation of the blank signal, obtained from 3 independent blank measurements, and S is the slope of the linear portion of the calibration plot constructed using seven concentration levels [49]. This calculated LOD is among the lowest reported for levofloxacin in the literature (Table 3), highlighting the superior sensitivity of the developed MnTMIPP/ITO platform.
Table 3.
Comparison of the prepared sensor for the detection of LEV with other published sensors.
The high sensitivity observed for levofloxacin detection may originate from a dual mechanism. Initially, π-π stacking interactions between the conjugated porphyrin structure and LEV’s aromatic rings [54]. The subsequent electrochemical response is governed by the formation of a coordination complex. The applied potential then drives the simultaneous two-electron oxidation of the piperazinyl nitrogen [14,55], a process that can be summarized by the following reaction (Figure 11):
Figure 11.
Redox reaction of levofloxacin.
3.5.2. Reproducibility, Repeatability, and Stability
The reproducibility and repeatability of the MnTMIPP/ITO based sensor were assessed by monitoring its response toward 10 µM levofloxacin using three independently fabricated electrodes. For reproducibility, the relative standard deviation (RSD) from the five electrodes was 3.13%, confirming that the sensor membrane provides consistent signal responses across different electrodes. Repeatability was evaluated by performing three successive measurements with the same electrode, yielding an RSD of 3.89%, which indicates good operational stability.
The long-term stability of the sensor was examined by storing it at room temperature for two weeks (Figure 12). After this period, the electrode retained approximately 85% of its initial response toward 1 µM levofloxacin, indicating the stability of the ITO electrode and of the porphyrin film. These findings demonstrate that the developed sensor exhibits excellent reproducibility, repeatability, and stability, making it a reliable platform for practical monitoring applications.
Figure 12.
The stability curve of the response MnTMIPP/ITO in 1 µM of LEV in PBS (C = 0.1 M, pH = 7) during two weeks.
3.5.3. Selectivity
Selectivity is a critical performance metric for sensors, defining their capacity to accurately identify a target analyte within a complex sample containing structurally similar or chemically competing species. To investigate this property, the MnTMIPP/ITO sensor was interrogated with a solution containing 10 µM levofloxacin in the simultaneous presence of several potential interfering substances, each at a concentration 100-fold higher than LEV (Enrofloxacin, Lomefloxacin, Cd2+, Pb2+). The electrochemical response, measured via the oxidation peak current, exhibited a relative standard deviation (RSD) of less than 5% across these challenging conditions, as illustrated in the histogram (Figure 13). This minimal deviation in signal confirms the exceptional selectivity of the sensor, underscoring its potential for the accurate analysis of LEV in real-world, multi-component environmental or biological samples.
Figure 13.
Influence of interferents, 100-fold concentration, on the electrode response towards 10 µM LEV (Enrofloxacin, Lomefloxacin, Cd2+, Pb2+).
3.6. Real Sample Analysis
To assess its practical utility, the MnTMIPP/ITO sensor was deployed for the quantification of levofloxacin in complex real-world samples, including saliva and river water. Prior to analysis, the samples were prepared to minimize matrix effects. River water was filtered through a 0.45 µm membrane, and the pH of both saliva and river water samples was adjusted to 7.0. For measurements, 4 mL of each prepared sample was mixed with 36 mL of phosphate-buffer saline (PBS, 0.1 M, pH 7). Cyclic voltammetry was performed after adding known concentrations of LEV. No LEV was detected in the original samples, and then the samples were tested with increasing concentrations of LEV. As summarized in Table 4, the sensor achieved an average recovery rate of approximately 104.9 ± 3.7%.
Table 4.
Levofloxacin monitoring with the proposed sensor in a real sample test.
A standard addition method was used for the previous detection of LEV in the water and saliva samples. No presence of LEV was measured. The recovery rates slightly exceeding 100% suggest the presence of matrix effects that can be attributed to certain components in saliva and river water (e.g., ions or organic matter) that slightly enhance charge transfer at the electrode surface.
4. Conclusions
The present study developed a novel electrochemical approach for levofloxacin detection, employing a manganese metalloporphyrin (MnTMIPP) film integrated onto an ITO electrode. Through a combination of characterization techniques, including cyclic voltammetry (CV), scanning electron microscopy (SEM), Fourier-transform infrared spectroscopy (FTIR), and mechanical profilometry, the successful formation and stability of the MnTMIPP layer were confirmed. The developed sensor exhibited a wide linear detection range (10−9–10−3 M) with an impressive detection limit of 4.82 × 10−10 M. In addition, it demonstrated outstanding reproducibility, repeatability, and long-term stability. Its excellent selectivity and satisfactory recovery rate of about 103% in biological and environmental sample analysis further validate its efficiency.
Author Contributions
Writing—original draft preparation, methodology, validation, F.R.; Writing—original draft preparation, N.E.D.; writing—review and editing, methodology, supervision, N.J.-R.; supervision, writing—review and editing, formal analysis, methodology, H.B.H. All authors have read and agreed to the published version of the manuscript.
Funding
F. Rejab thanks the University of Monastir for her traineeship grants.
Data Availability Statement
The data that support the findings of this study are available from the corresponding author up on reasonable request.
Conflicts of Interest
The authors report no potential conflicts of interest.
References
- Petitjeans, F.; Nadaud, J.; Perez, J.P.; Debien, B.; Olive, F.; Villevieille, T.; Pats, B. A Case of Rhabdomyolysis with Fatal Outcome after a Treatment with Levofloxacin. Eur. J. Clin. Pharmacol. 2003, 59, 779–780. [Google Scholar] [CrossRef]
- Boyanova, L.; Ilieva, J.; Gergova, G.; Mitov, I. Levofloxacin Susceptibility Testing against Helicobacter Pylori: Evaluation of a Modified Disk Diffusion Method Compared to E Test. Diagn. Microbiol. Infect. Dis. 2016, 84, 55–56. [Google Scholar] [CrossRef] [PubMed]
- Venuta, F.; Rendina, E.A. Combined Pulmonary Artery and Bronchial Sleeve Resection. Oper. Tech. Thorac. Cardiovasc. Surg. 2008, 13, 260–273. [Google Scholar] [CrossRef]
- Famularo, G.; Pizzicannella, M.; Gasbarrone, L. Levofloxacin and Seizures: What Risk for Elderly Adults? J. Am. Geriatr. Soc. 2014, 62, 2018. [Google Scholar] [CrossRef] [PubMed]
- Bansal, N.; Manocha, D.; Madhira, B. Life-Threatening Metabolic Coma Caused by Levofloxacin. Am. J. Ther. 2015, 22, e48–e51. [Google Scholar] [CrossRef]
- Liu, Y.M.; Cao, J.T.; Tian, W.; Zheng, Y.L. Determination of Levofloxacin and Norfloxacin by Capillary Electrophoresis with Electrochemiluminescence Detection and Applications in Human Urine. Electrophoresis 2008, 29, 3207–3212. [Google Scholar] [CrossRef]
- Dumka, V.K. Disposition Kinetics and Dosage Regimen of Levofloxacin on Concomitant Administration with Paracetamol in Crossbred Calves. J. Vet. Sci. 2007, 8, 357–360. [Google Scholar] [CrossRef]
- Hernando, M.D.; Mezcua, M.; Fernández-Alba, A.R.; Barceló, D. Environmental Risk Assessment of Pharmaceutical Residues in Wastewater Effluents, Surface Waters and Sediments. Talanta 2006, 69, 334–342. [Google Scholar] [CrossRef]
- Szerkus, O.; Jacyna, J.; Wiczling, P.; Gibas, A.; Sieczkowski, M.; Siluk, D.; Matuszewski, M.; Kaliszan, R.; Markuszewski, M.J. Ultra-High Performance Liquid Chromatographic Determination of Levofloxacin in Human Plasma and Prostate Tissue with Use of Experimental Design Optimization Procedures. J. Chromatogr. B 2016, 1029–1030, 48–59. [Google Scholar] [CrossRef]
- Zheng, Y.; Wang, Z.Q.; Lui, G.; Hirt, D.; Treluyer, J.M.; Benaboud, S.; Aboura, R.; Gana, I. Simultaneous quantification of levofloxacin, pefloxacin, ciprofloxacin and moxifloxacin in microvolumes of human plasma using high-performance liquid chromatography with ultraviolet detection. Biomed. Chromatogr. 2019, 33, e4506. [Google Scholar] [CrossRef]
- Zheng, Y.J.; He, J.M.; Zhang, R.P.; Wang, Y.C.; Wang, J.X.; Wang, H.Q.; Wu, Y.; He, W.Y.; Abliz, Z. An integrated approach for detection and characterization of the trace impurities in levofloxacin using liquid chromatography-tandem mass spectrometry. Rapid Publ. Mass Spectrom. 2014, 28, 1164–1174. [Google Scholar] [CrossRef] [PubMed]
- Tsai, Y.H.; Bair, M.J.; Hu, C.C. Determination of Levofloxacin in Human Urine with Capillary Electrophoresis and Fluorescence Detector. J. Chin. Chem. Soc. 2007, 54, 991–995. [Google Scholar] [CrossRef]
- Huang, J.Y.; Bao, T.; Hu, T.X.; Wen, W.; Zhang, X.H.; Wang, S.F. Voltammetric Determination of Levofloxacin Using a Glassy Carbon Electrode Modified with Poly(o-Aminophenol) and Graphene Quantum Dots. Microchim. Acta 2017, 184, 127–135. [Google Scholar] [CrossRef]
- Wong, A.; Santos, A.M.; Fatibello-Filho, O. Simultaneous Determination of Paracetamol and Levofloxacin Using a Glassy Carbon Electrode Modified with Carbon Black, Silver Nanoparticles and PEDOT:PSS Film. Sens. Actuators B Chem. 2018, 255, 2264–2273. [Google Scholar] [CrossRef]
- Wang, F.; Zhu, L.; Zhang, J. Electrochemical Sensor for Levofloxacin Based on Molecularly Imprinted Polypyrrole–Graphene–Gold Nanoparticles Modified Electrode. Sens. Actuators B Chem. 2014, 192, 642–647. [Google Scholar] [CrossRef]
- Tang, L.; Tong, Y.; Zheng, R.; Liu, W.; Gu, Y.; Li, C.; Chen, R.; Zhang, Z. Ag Nanoparticles and Electrospun CeO2-Au Composite Nanofibers Modified Glassy Carbon Electrode for Determination of Levofloxacin. Sens. Actuators B Chem. 2014, 203, 95–101. [Google Scholar] [CrossRef]
- Chi, Y.; Li, J. Determination of Levofloxacin Hydrochloride with Multiwalled Carbon Nanotubes-Polymeric Alizarin Film Modified Electrode. Russ. J. Electrochem. 2010, 46, 155–160. [Google Scholar] [CrossRef]
- Radi, A.; El-Sherif, Z. Determination of Levofloxacin in Human Urine by Adsorptive Square-Wave Anodic Stripping Voltammetry on a Glassy Carbon Electrode. Talanta 2002, 58, 319–324. [Google Scholar] [CrossRef]
- Cheng, Q.; Abdiryim, T.; Jamal, R.; Liu, X.; Xue, C.; Xie, S.; Tang, X.; Wei, J. A Novel Molecularly Imprinted Electrochemical Sensor from Poly (3, 4-Ethylenedioxythiophene)/Chitosan for Selective and Sensitive Detection of Levofloxacin. Int. J. Biol. Macromol. 2024, 267, 131321. [Google Scholar] [CrossRef]
- Jin, Y.; Xu, G.; Li, X.; Ma, J.; Yang, L.; Li, Y.; Zhang, H.; Zhang, Z.; Yao, D.; Li, D. Fast Cathodic Reduction Electrodeposition of a Binder-Free Cobalt-Doped Ni-MOF Film for Directly Sensing of Levofloxacin. J. Alloys Compd. 2021, 851, 156823. [Google Scholar] [CrossRef]
- Thi Nguyen, Q.X.; Dang, T.D.; Cao, H.H.; La, D.D. Self-Assembled Porphyrin on Fe/Graphene: A Versatile Electrode for Nitrofurantoin Antibiotic Sensing. Microchem. J. 2025, 212, 113418. [Google Scholar] [CrossRef]
- Kong, X.; Jiang, J.; Guo, Z.; Zhao, S.; Song, J.; Lu, G.; Zhu, X.; Liu, Q. Nonenzymatic Flexible Electrochemical Sensor For Levofloxacin Detecting Based on Bimetallic Sulfide Modified Porphyrin Composites. SSRN 2025. [Google Scholar] [CrossRef]
- Wang, W.; Li, X.; Wang, X.; Shang, H.; Liu, X.; Lu, X. Comparative Electrochemical Behaviors of a Series of SH-Terminated- Functionalized Porphyrins Assembled on a Gold Electrode by Scanning Electrochemical Microscopy (SECM). J. Phys. Chem. B 2010, 114, 10436–10441. [Google Scholar] [CrossRef] [PubMed]
- Hsine, Z.; Bizid, S.; Zahou, I.; Ben Haj Hassen, L.; Nasri, H.; Mlika, R. A Highly Sensitive Impedimetric Sensor Based on Iron (III) Porphyrin and Thermally Reduced Graphene Oxide for Detection of Bisphenol A. Synth. Met. 2018, 244, 27–35. [Google Scholar] [CrossRef]
- Ishihara, S.; Labuta, J.; Van Rossom, W.; Ishikawa, D.; Minami, K.; Hill, J.P.; Ariga, K. Porphyrin-Based Sensor Nanoarchitectonics in Diverse Physical Detection Modes. Phys. Chem. Chem. Phys. 2014, 16, 9713–9746. [Google Scholar] [CrossRef]
- Qu, L.; Lin, Z.; Liu, F.; Kong, F.; Zhang, Y.; Ni, X.; Zhang, X.; Zhao, Y.; Lu, Q.; Zou, B. Research Progress on the Application of Metal Porphyrin Electrochemical Sensors in the Detection of Phenolic Antioxidants in Food. Polymers 2025, 17, 789. [Google Scholar] [CrossRef]
- Paolesse, R.; Nardis, S.; Monti, D.; Stefanelli, M.; Di Natale, C. Porphyrinoids for Chemical Sensor Applications. Chem. Rev. 2017, 117, 2517–2583. [Google Scholar] [CrossRef]
- Duc La, D.; Khong, H.M.; Nguyen, X.Q.; Dang, T.D.; Bui, X.T.; Nguyen, M.K.; Ngo, H.H.; Nguyen, D.D. A Review on Advances in Graphene and Porphyrin-Based Electrochemical Sensors for Pollutant Detection. Sustain. Chem. One World 2024, 3, 100017. [Google Scholar] [CrossRef]
- Peng, R.; Offenhäusser, A.; Ermolenko, Y.; Mourzina, Y. Biomimetic Sensor Based on Mn(III) Meso-Tetra(N-Methyl-4-Pyridyl) Porphyrin for Non-Enzymatic Electrocatalytic Determination of Hydrogen Peroxide and as an Electrochemical Transducer in Oxidase Biosensor for Analysis of Biological Media. Sens. Actuators B Chem. 2020, 321, 128437. [Google Scholar] [CrossRef]
- Boakye, A.; Yu, K.; Asinyo, B.K.; Chai, H.; Raza, T.; Xu, T.; Zhang, G.; Qu, L. A Portable Electrochemical Sensor Based on Manganese Porphyrin-Functionalized Carbon Cloth for Highly Sensitive Detection of Nitroaromatics and Gaseous Phenol. Langmuir 2022, 38, 12058–12069. [Google Scholar] [CrossRef]
- Adleb, A.D.; Longo, F.R.; Finarelli, J.D.; Goldmacher, J.; Assour, J.; Korsakoff, L. A Simplified Synthesis for Meso-Tetraphenylporphine. J. Org. Chem. 1967, 32, 476. [Google Scholar] [CrossRef]
- Mkacher, H.; Ben Taheur, F.; Amiri, N.; Almahri, A.; Loiseau, F.; Molton, F.; Vollbert, E.M.; Roisnel, T.; Turowska-Tyrk, I.; Nasri, H. DMAP and HMTA Manganese(III) Meso-Tetraphenylporphyrin-Based Coordination Complexes: Syntheses, Physicochemical Properties, Structural and Biological Activities. Inorganica Chim. Acta 2023, 545, 121278. [Google Scholar] [CrossRef]
- Dardouri, N.E.; Hrichi, S.; Torres, P.; Chaâbane-Banaoues, R.; Sorrenti, A.; Roisnel, T.; Turowska-Tyrk, I.; Babba, H.; Crusats, J.; Moyano, A.; et al. Synthesis, Characterization, X-Ray Molecular Structure, Antioxidant, Antifungal, and Allelopathic Activity of a New Isonicotinate-Derived Meso-Tetraarylporphyrin. Molecules 2024, 29, 3163. [Google Scholar] [CrossRef] [PubMed]
- Boucher, L.J. Manganese Porphyrin Complexes. III. Spectroscopy of Chloroaquo Complexes of Several Porphyrins. J. Am. Chem. Soc. 1970, 92, 2725–2730. [Google Scholar] [CrossRef]
- Fodor, M.A.; Szabó, P.; Lendvay, G.; Horváth, O. Characterization of the UV-Visible Absorption Spectra of Manganese(III) Porphyrins with Time-Dependent Density Functional Theory Calculations. Z. Für Phys. Chem. 2022, 236, 27–51. [Google Scholar] [CrossRef]
- Harhouri, W.; Dhifaoui, S.; Denden, Z.; Roisnel, T.; Blanchard, F.; Nasri, H. Synthesis, Spectroscopic Characterizations, Cyclic Voltammetry Investigation and Molecular Structure of the High-Spin Manganese(III) Trichloroacetato Meso-Tetraphenylporphyrin and Meso-Tetra-(Para-Bromophenyl)Porphyrin Complexes. Polyhedron 2017, 130, 127–135. [Google Scholar] [CrossRef]
- Harhouri, W.; McHiri, C.; Najmudin, S.; Bonifácio, C.; Nasri, H. Synthesis, FT-IR Characterization and Crystal Structure of Aqua(5,10,15,20-Tetraphenylporphyrinato-Κ4 N)Manganese(III) Trifluoromethanesulfonate. Acta Crystallogr. Sect. E Crystallogr. Commun. 2016, 72, 720–723. [Google Scholar] [CrossRef]
- Gaughan, R.R.; Shriver, D.F.; Boucher, L.J. Resonance Raman Spectra of Manganese (III) Tetraphenylporphin Halides. Proc. Natl. Acad. Sci. USA 1975, 72, 433–436. [Google Scholar] [CrossRef]
- Hill, C.L.; Hollander, F.J. Structural Characterization of a Complex of Manganese(V): Nitrido[Tetrakis(p-Methoxyphenyl)Porphinato]-Manganese(V). J. Am. Chem. Soc. 1982, 104, 7318–7319. [Google Scholar] [CrossRef]
- Mkacher, H.; Gassoumi, B.; Dardouri, N.E.; Nasri, S.; Loiseau, F.; Molton, F.; Roisnel, T.; Turowska-Tyrk, I.; Ghala, H.; Acherar, S.; et al. Photophysical, Cyclic Voltammetry, Electron Paramagnetic Resonance, X-Ray Molecular Structure, DFT Calculations and Molecular Docking Study of a New Mn(III) Metalloporphyrin. J. Mol. Struct. 2025, 1319, 139455. [Google Scholar] [CrossRef]
- Rejab, F.; Dardouri, N.E.; Rouis, A.; Echabaane, M.; Jaffrezic-Renault, N.; Ben Halima, H. Highly Sensitive Electrochemical Sensor Based on Zn Porphyrin for Environmental Monitoring of Glyphosate. Electroanalysis 2025, 37, e70037. [Google Scholar] [CrossRef]
- Ramesh, S.; Karuppasamy, K.; Msolli, S.; Kim, H.-S.; Kim, H.S.; Kim, J.-H. A nanocrystalline structured NiO/MnO2@nitrogendoped graphene oxide hybrid nanocomposite for high performance supercapacitors. New J. Chem. 2017, 41, 15517. [Google Scholar] [CrossRef]
- Monti, D.; Nardis, S.; Stefanelli, M.; Paolesse, R.; Di Natale, C.; D’Amico, A. Porphyrin-Based Nanostructures for Sensing Applications. Sensors 2009, 2009, 856053. [Google Scholar] [CrossRef]
- Ebdelli, R.; Rouis, A.; Mlika, R.; Bonnamour, I.; Jaffrezic-Renault, N.; Ben Ouada, H.; Davenas, J. Electrochemical Impedance Detection of Hg2+, Ni2+ and Eu3+ Ions by a New Azo-Calix[4]Arene Membrane. J. Electroanal. Chem. 2011, 661, 31–38. [Google Scholar] [CrossRef]
- Alagumalai, K.; Palanisamy, S.; Kumar, P.S.; ElNaker, N.A.; Kim, S.C.; Chiesa, M.; Prakash, P. Improved Electrochemical Detection of Levofloxacin in Diverse Aquatic Samples Using 3D Flower-like Co@CaPO4 Nanospheres. Environ. Pollut. 2024, 343, 123189. [Google Scholar] [CrossRef]
- Rejab, F.; Dardouri, N.E.; Rouis, A.; Echabaane, M.; Nasri, H.; Lakard, B.; Ben Halima, H.; Jaffrezic-Renault, N. A Selective Electrochemical Sensor for Bisphenol A Detection Based on Cadmium (II) (Bromophenyl)Porphyrin and Gold Nanoparticles. Micromachines 2024, 15, 1508. [Google Scholar] [CrossRef]
- Rejab, F.; Rouis, A.; Echabaane, M.; Ben Khelifa, A.; Ezzayani, K. A Novel Electrochemical Sensor for the Detection of Endocrine Disruptor Bisphenol A Based on Magnesium (II) Porphyrin. Water Air Soil Pollut. 2025, 236, 698. [Google Scholar] [CrossRef]
- Rejab, F.; Dardouri, N.E.; Rouis, A.; Echabaane, M.; Nasri, H.; Ben Halima, H.; Jaffrezic-Renault, N. A Novel Electrochemical Platform Based on Cadmium (II) (Fluorophenyl)Porphyrin and Gold Nanoparticles Modified Screen-Printed Electrode Electrode for the Sensitive Detection of Bisphenol A. Electroanalysis 2025, 37, e12017. [Google Scholar] [CrossRef]
- Rejab, F.; Echabaane, M.; Rouis, A.; Ben Ouada, H. A Novel Impedimetric Platform Based on Extracellular Polymeric Substances Production in Spirulina (Arthrospira sp.) Functionalized Platinum Electrode for Detection of Copper. Water Air Soil Pollut. 2023, 234, 6. [Google Scholar] [CrossRef]
- Fekry, A.M. An Innovative Simple Electrochemical Levofloxacin Sensor Assembled from Carbon Paste Enhanced with Nano-Sized Fumed Silica. Biosensors 2022, 12, 906. [Google Scholar] [CrossRef]
- El Azab, N.F.; Mahmoud, A.M.; Trabik, Y.A. Point-of-Care Diagnostics for Therapeutic Monitoring of Levofloxacin in Human Plasma Utilizing Electrochemical Sensor Mussel-Inspired Molecularly Imprinted Copolymer. J. Electroanal. Chem. 2022, 918, 116504. [Google Scholar] [CrossRef]
- Bhimaraya, K.; Manjunatha, J.G.; Moulya, K.P.; Tighezza, A.M.; Albaqami, M.D.; Sillanpää, M. Detection of Levofloxacin Using a Simple and Green Electrochemically Polymerized Glycine Layered Carbon Paste Electrode. Chemosensors 2023, 11, 191. [Google Scholar] [CrossRef]
- Yu, T.; Kasturi, P.R.; Breslin, C.B. Ultra-Sensitive Electrochemical Detection of Levofloxacin Using a Binder-Free Copper and Graphene Composite. Talanta 2024, 275, 126132. [Google Scholar] [CrossRef]
- Zhao, Y.; Li, J.; Gu, H.; Wei, D.; Xu, Y.C.; Fu, W.; Yu, Z. Conformational Preferences of π-π Stacking Between Ligand and Protein, Analysis Derived from Crystal Structure Data Geometric Preference of π-π Interaction. Interdiscip. Sci. 2015, 7, 211–220. [Google Scholar] [CrossRef]
- Lage, A.L.A.; Marciano, A.C.; Venâncio, M.F.; da Silva, M.A.N.; Martins, D.C.d.S. Water-Soluble Manganese Porphyrins as Good Catalysts for Cipro- and Levofloxacin Degradation: Solvent Effect, Degradation Products and DFT Insights. Chemosphere 2021, 268, 129334. [Google Scholar] [CrossRef]
Disclaimer/Publisher’s Note: The statements, opinions and data contained in all publications are solely those of the individual author(s) and contributor(s) and not of MDPI and/or the editor(s). MDPI and/or the editor(s) disclaim responsibility for any injury to people or property resulting from any ideas, methods, instructions or products referred to in the content. |
© 2025 by the authors. Licensee MDPI, Basel, Switzerland. This article is an open access article distributed under the terms and conditions of the Creative Commons Attribution (CC BY) license.

